Role of Niobium on the Passivation Mechanisms of TiHfZrNb High-Entropy Alloys in Hanks’ Simulated Body Fluid
Abstract
1. Introduction
2. Materials and Methods
3. Results
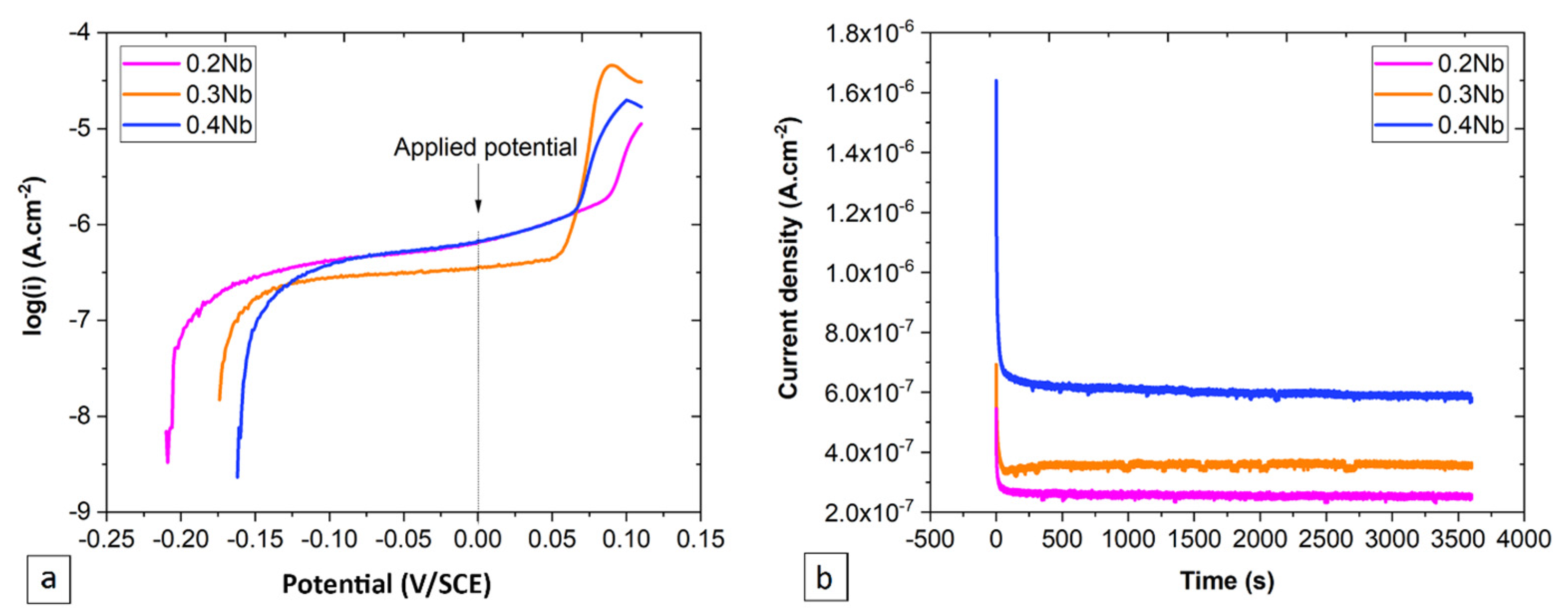
3.1. Observation of Passivation Process
3.1.1. Current Transient Analysis Using HFM
3.1.2. Current Transient Analysis Using DGM
3.2. Diffusivity of Point Defects in the Passive Film
3.2.1. PSP at Different Potentials
3.2.2. EIS after PSP
3.2.3. Semiconductor Properties of the Passive Film
4. Discussion
4.1. Kinetics of the Passivation Process
4.2. Diffusivity of the Point Defects
4.3. Proposed Passivation Mechanism
5. Conclusions
Author Contributions
Funding
Institutional Review Board Statement
Informed Consent Statement
Data Availability Statement
Conflicts of Interest
References
- Gilbert, J.L. 1.2 Electrochemical Behavior of Metals in the Biological Milieu. In Comprehensive Biomaterials II; Ducheyne, P., Ed.; Elsevier: Amsterdam, The Netherlands, 2017; pp. 19–49. [Google Scholar]
- Ali, S.; Rani, A.M.A.; Baig, Z.; Ahmed, S.W.; Hussain, G.; Subramaniam, K.; Hastuty, S.; Rao, T.V. Biocompatibility and corrosion resistance of metallic biomaterials. Corros. Rev. 2020, 38, 381–402. [Google Scholar] [CrossRef]
- Al-Zyoud, W.; Haddadin, D.; Hasan, S.A.; Jaradat, H.; Kanoun, O. Biocompatibility testing for implants: A novel tool for selection and characterization. Materials 2023, 16, 6881. [Google Scholar] [CrossRef] [PubMed]
- Hiromoto, S. 4—Corrosion of metallic biomaterials. In Metals for Biomedical Devices, 2nd ed.; Niinomi, M., Ed.; Woodhead Publishing: Sawston, UK, 2019; pp. 131–152. [Google Scholar]
- Akmal, M.; Hussain, A.; Afzal, M.; Lee, Y.I.; Ryu, H.J. Systematic study of (MoTa) xNbTiZr medium-and high-entropy alloys for biomedical implants-In vivo biocompatibility examination. J. Mater. Sci. Technol. 2021, 78, 183–191. [Google Scholar] [CrossRef]
- Hua, N.; Wang, W.; Wang, Q.; Ye, Y.; Lin, S.; Zhang, L.; Guo, Q.; Brechtl, J.; Liaw, P.K. Mechanical, corrosion, and wear properties of biomedical Ti–Zr–Nb–Ta–Mo high entropy alloys. J. Alloys Compd. 2021, 861, 157997. [Google Scholar] [CrossRef]
- Yang, W.; Pang, S.-J.; Wang, G.; Liu, Y.; Liaw, P.K.; Zhang, T. Ti–Zr–Hf–Nb–Ta–Sn high-entropy alloys with good properties as potential biomaterials. Rare Metals 2022, 41, 2305–2315. [Google Scholar] [CrossRef]
- Gurel, S.; Yagci, M.; Bal, B.; Canadinc, D. Corrosion behavior of novel Titanium-based high entropy alloys designed for medical implants. Mater. Chem. Phys. 2020, 254, 123377. [Google Scholar] [CrossRef]
- Castro, D.; Jaeger, P.; Baptista, A.C.; Oliveira, J.P. An Overview of High-Entropy Alloys as Biomaterials. Metals 2021, 11, 648. [Google Scholar] [CrossRef]
- Tokarewicz, M.; Grądzka-Dahlke, M.; Rećko, K.; Łępicka, M.; Czajkowska, K. Investigation of the Structure and Corrosion Resistance of Novel High-Entropy Alloys for Potential Biomedical Applications. Materials 2022, 15, 3938. [Google Scholar] [CrossRef] [PubMed]
- Zhang, L.; Fu, H.; Ge, S.; Zhu, Z.; Li, H.; Zhang, H.; Wang, A.; Zhang, H. Phase transformations in body-centered cubic NbxHfZrTi high-entropy alloys. Mater. Charact. 2018, 142, 443–448. [Google Scholar] [CrossRef]
- Hori, T.; Nagase, T.; Todai, M.; Matsugaki, A.; Nakano, T. Development of non-equiatomic Ti-Nb-Ta-Zr-Mo high-entropy alloys for metallic biomaterials. Scr. Mater. 2019, 172, 83–87. [Google Scholar] [CrossRef]
- Nagase, T.; Iijima, Y.; Matsugaki, A.; Ameyama, K.; Nakano, T. Design and fabrication of Ti–Zr-Hf-Cr-Mo and Ti–Zr-Hf-Co-Cr-Mo high-entropy alloys as metallic biomaterials. Mater. Sci. Eng. C 2020, 107, 110322. [Google Scholar] [CrossRef] [PubMed]
- Tanji, A.; Fan, X.; Sakidja, R.; Liaw, P.K.; Hermawan, H. Niobium addition improves the corrosion resistance of TiHfZrNbx high-entropy alloys in Hanks’ solution. Electrochim. Acta 2022, 424, 140651. [Google Scholar] [CrossRef]
- Shahryari, A.; Omanovic, S.; Szpunar, J.A. Electrochemical formation of highly pitting resistant passive films on a biomedical grade 316LVM stainless steel surface. Mater. Sci. Eng. C 2008, 28, 94–106. [Google Scholar] [CrossRef]
- Macdonald, D.D. The history of the point defect model for the passive state: A brief review of film growth aspects. Electrochim. Acta 2011, 56, 1761–1772. [Google Scholar] [CrossRef]
- Hakiki, N.; Boudin, S.; Rondot, B.; Belo, M.D.C. The electronic structure of passive films formed on stainless steels. Corros. Sci. 1995, 37, 1809–1822. [Google Scholar] [CrossRef]
- Tranchida, G.; Clesi, M.; Di Franco, F.; Di Quarto, F.; Santamaria, M. Electronic properties and corrosion resistance of passive films on austenitic and duplex stainless steels. Electrochim. Acta 2018, 273, 412–423. [Google Scholar] [CrossRef]
- Burstein, G.; Marshall, P. Growth of passivating films on scratched 304L stainless steel in alkaline solution. Corros. Sci. 1983, 23, 125–137. [Google Scholar] [CrossRef]
- Burstein, G.; Marshall, P. The coupled kinetics of film growth and dissolution of stainless steel repassivating in acid solutions. Corros. Sci. 1984, 24, 449–462. [Google Scholar] [CrossRef]
- Cho, E.-A.; Kim, C.-K.; Kim, J.-S.; Kwon, H.-S. Quantitative analysis of repassivation kinetics of ferritic stainless steels based on the high field ion conduction model. Electrochim. Acta 2000, 45, 1933–1942. [Google Scholar] [CrossRef]
- Lillard, R.; Vasquez, G.; Bahr, D. The kinetics of anodic dissolution and repassivation on stainless steel 304L in solutions containing nitrate. J. Electrochem. Soc. 2011, 158, C194. [Google Scholar] [CrossRef]
- Macdonald, D.D. The point defect model for the passive state. J. Electrochem. Soc. 1992, 139, 3434. [Google Scholar] [CrossRef]
- Ahn, S.; Kwon, H. Diffusivity of point defects in the passive film on Fe. J. Electroanal. Chem. 2005, 579, 311–319. [Google Scholar] [CrossRef]
- Wang, L.; Yu, H.; Wang, S.; Chen, B.; Wang, Y.; Fan, W.; Sun, D. Quantitative analysis of local fine structure on diffusion of point defects in passive film on Ti. Electrochim. Acta 2019, 314, 161–172. [Google Scholar] [CrossRef]
- Engseth, P.; Scully, J. Repassivation studies on an austenitic stainless steel in chloride solutions. Corros. Sci. 1975, 15, 505–519. [Google Scholar] [CrossRef]
- Lee, J.-B. Effects of alloying elements, Cr, Mo and N on repassivation characteristics of stainless steels using the abrading electrode technique. Mater. Chem. Phys. 2006, 99, 224–234. [Google Scholar] [CrossRef]
- Fernández-Domene, R.M.; Blasco-Tamarit, E.; García-García, D.M.; García-Antón, J. Cavitation corrosion and repassivation kinetics of titanium in a heavy brine LiBr solution evaluated by using electrochemical techniques and Confocal Laser Scanning Microscopy. Electrochim. Acta 2011, 58, 264–275. [Google Scholar] [CrossRef]
- Goodman, L.R.; Singh, P.M. Repassivation behavior of X65 pipeline steel in fuel grade ethanol and its implications for the stress corrosion cracking mechanism. Corros. Sci. 2012, 65, 238–248. [Google Scholar] [CrossRef]
- Nakamura, R.; Tokozakura, D.; Nakajima, H.; Lee, J.-G.; Mori, H. Hollow oxide formation by oxidation of Al and Cu nanoparticles. J. Appl. Phys. 2007, 101, 074303. [Google Scholar] [CrossRef]
- Fernández-Domene, R.M.; Blasco-Tamarit, E.; García-García, D.; Antón, J.G. Passivity breakdown of titanium in LiBr solutions. J. Electrochem. Soc. 2013, 161, C25. [Google Scholar] [CrossRef]
- Long, Y.; Li, D.; Chen, D. Influence of square wave anodization on the electronic properties and structures of the passive films on Ti in sulfuric acid solution. Appl. Surf. Sci. 2017, 425, 83–94. [Google Scholar] [CrossRef]
- Sikora, E.; Sikora, J.; Macdonald, D.D. A new method for estimating the diffusivities of vacancies in passive films. Electrochim. Acta 1996, 41, 783–789. [Google Scholar] [CrossRef]
- Gai, X.; Bai, Y.; Li, J.; Li, S.; Hou, W.; Hao, Y.; Zhang, X.; Yang, R.; Misra, R. Electrochemical behaviour of passive film formed on the surface of Ti-6Al-4V alloys fabricated by electron beam melting. Corros. Sci. 2018, 145, 80–89. [Google Scholar] [CrossRef]
- Chen, L.-Y.; Zhang, H.-Y.; Zheng, C.; Yang, H.-Y.; Qin, P.; Zhao, C.; Lu, S.; Liang, S.-X.; Chai, L.; Zhang, L.-C. Corrosion behavior and characteristics of passive films of laser powder bed fusion produced Ti–6Al–4V in dynamic Hank’s solution. Mater. Des. 2021, 208, 109907. [Google Scholar] [CrossRef]
- Brug, G.; van den Eeden, A.L.; Sluyters-Rehbach, M.; Sluyters, J.H. The analysis of electrode impedances complicated by the presence of a constant phase element. J. Electroanal. Chem. Interfacial Electrochem. 1984, 176, 275–295. [Google Scholar] [CrossRef]
- Chao, C.; Lin, L.; Macdonald, D. A point defect model for anodic passive films: I. Film growth kinetics. J. Electrochem. Soc. 1981, 128, 1187. [Google Scholar] [CrossRef]
- Qiao, Y.; Zheng, Y.; Okafor, P.; Ke, W. Electrochemical behaviour of high nitrogen bearing stainless steel in acidic chloride solution: Effects of oxygen, acid concentration and surface roughness. Electrochim. Acta 2009, 54, 2298–2304. [Google Scholar] [CrossRef]
- Cui, Z.; Chen, S.; Dou, Y.; Han, S.; Wang, L.; Man, C.; Wang, X.; Chen, S.; Cheng, Y.F.; Li, X. Passivation behavior and surface chemistry of 2507 super duplex stainless steel in artificial seawater: Influence of dissolved oxygen and pH. Corros. Sci. 2019, 150, 218–234. [Google Scholar] [CrossRef]
- Xu, H.; Sun, D.; Yu, H. Repassivation behavior of 316L stainless steel in borate buffer solution: Kinetics analysis of anodic dissolution and film formation. Appl. Surf. Sci. 2015, 357, 204–213. [Google Scholar] [CrossRef]
- Gharbi, O.; Tran, M.T.; Orazem, M.E.; Tribollet, B.; Turmine, M.; Vivier, V. Impedance response of a thin film on an electrode: Deciphering the influence of the double layer capacitance. ChemPhysChem 2021, 22, 1371–1378. [Google Scholar] [CrossRef] [PubMed]
- Barroux, A.; Delgado, J.; Orazem, M.E.; Tribollet, B.; Laffont, L.; Blanc, C. Electrochemical impedance spectroscopy study of the passive film for laser-beam-melted 17-4PH stainless steel. Corros. Sci. 2021, 191, 109750. [Google Scholar] [CrossRef]
- Azadmanjiri, J.; Berndt, C.C.; Wang, J.; Kapoor, A.; Srivastava, V.K.; Wen, C. A review on hybrid nanolaminate materials synthesized by deposition techniques for energy storage applications. J. Mater. Chem. A 2014, 2, 3695–3708. [Google Scholar] [CrossRef]
- Otgonbaatar, U.; Ma, W.; Youssef, M.; Yildiz, B. Effect of Niobium on the Defect Chemistry and Oxidation Kinetics of Tetragonal ZrO2. J. Phys. Chem. C 2014, 118, 20122–20131. [Google Scholar] [CrossRef]
- Moorehead, M.; Yu, Z.; Borrel, L.; Hu, J.; Cai, Z.; Couet, A. Comprehensive investigation of the role of Nb on the oxidation kinetics of Zr-Nb alloys. Corros. Sci. 2019, 155, 173–181. [Google Scholar] [CrossRef]
- Laganovska, K.; Vitola, V.; Einbergs, E.; Bite, I.; Zolotarjovs, A.; Leimane, M.; Tunens, G.; Smits, K. Impact of Europium and Niobium Doping on Hafnium Oxide (HfO2): Comparative Analysis of Sol–Gel and Combustion Synthesis Methods. Ceramics 2024, 7, 15–28. [Google Scholar] [CrossRef]
- Szklarska-Smialowska, Z. Pitting corrosion of aluminum. Corros. Sci. 1999, 41, 1743–1767. [Google Scholar] [CrossRef]
- Herranen, M.; Carlsson, J.-O. An electrochemical quartz crystal microbalance and in situ SFM study of Ti in sulphuric acid. Corros. Sci. 2001, 43, 365–379. [Google Scholar] [CrossRef]
- Kong, D.-S.; Lu, W.-H.; Feng, Y.-Y.; Yu, Z.-Y.; Wu, J.-X.; Fan, W.-J.; Liu, H.-Y. Studying on the point-defect-conductive property of the semiconducting anodic oxide films on titanium. J. Electrochem. Soc. 2008, 156, C39. [Google Scholar] [CrossRef]
- Yang, J.; Wu, J.; Zhang, C.; Zhang, S.; Yang, B.; Emori, W.; Wang, J. Effects of Mn on the electrochemical corrosion and passivation behavior of CoFeNiMnCr high-entropy alloy system in H2SO4 solution. J. Alloys Compd. 2020, 819, 152943. [Google Scholar] [CrossRef]
- Macdonald, D.D.; Urquidi-Macdonald, M. Theory of steady-state passive films. J. Electrochem. Soc. 1990, 137, 2395. [Google Scholar] [CrossRef]
- Narayan, R. Corrosion and biocompatibility. In ASM Handbook, Volume 23, Materials for Medical Devices; ASM International: Almere, The Netherlands, 2012. [Google Scholar]
- Biological Responses to Metal Implants; Center for Devices and Radiological Health, US Food and Drug Administration: Silver Spring, MD, USA, 2019.
- ASTM. ASTM F2129: Standard Test Method for Conducting Potentiodynamic Measurement to Determine the Corrosion Susceptibility of Small Implant Devices; ASTM International: Almere, The Netherlands, 2019. [Google Scholar]










| Specimen | Passivation Index | cBV (×10−7 C.cm−2) |
|---|---|---|
| 0.2 Nb | 0.12 | 2.53 |
| 0.3 Nb | 0.14 | 7.18 |
| 0.4 Nb | 0.17 | 12.66 |
| Specimen | ipeak (×10−7 A·cm−2) | k (s−1) | A (×10−6 C.cm−2) | b | R2 |
|---|---|---|---|---|---|
| 0.2 Nb | 5.65 | 0.025 ± 0.07 | 32.2 ± 10.1 | 1.06 ± 0.0026 | 0.99 |
| 0.3 Nb | 6.93 | 3.27 ± 1.18 | 0.60 ± 0.00162 | 0.12 ± 0.0016 | 0.99 |
| 0.4 Nb | 16.4 | 6.90 ± 3.37 | 1.26 ± 0.00166 | 0.16 ± 0.0008 | 0.99 |
| Specimen | Potential | Rs (Ω.cm2) | CPEdl (×10−6 F.s(n−1)) | ndl | Rct (Ω.cm2) | CPEf (×10−6 F.s(n−1)) | nf | Rf (×106 Ω.cm2) |
|---|---|---|---|---|---|---|---|---|
| 0.4 Nb | 0.05 V | 6.09 | 7.41 | 0.93 | 3611 | 3.94 | 0.9 | 1.30 |
| 0 V | 6.75 | 8.65 | 0.93 | 3426 | 3.78 | 0.94 | 0.97 | |
| −0.05 V | 7.06 | 9.24 | 0.93 | 3230 | 3.85 | 0.93 | 0.95 | |
| −0.1 V | 7.12 | 10.45 | 0.93 | 2954 | 3.95 | 0.93 | 0.93 | |
| 0.3 Nb | 0.05 V | 7.12 | 13.94 | 0.92 | 2720 | 2.95 | 0.94 | 0.92 |
| 0 V | 7.08 | 15.16 | 0.92 | 2538 | 3.89 | 0.95 | 0.84 | |
| −0.05 V | 7.01 | 17.79 | 0.92 | 2050 | 4.71 | 0.94 | 0.80 | |
| −0.1 V | 6.73 | 29.43 | 0.9 | 774 | 5.03 | 0.92 | 0.79 | |
| 0.2 Nb | 0.05 V | 7.5 | 17.63 | 0.91 | 957 | 5.9 | 0.98 | 0.79 |
| 0 V | 7.8 | 22.08 | 0.9 | 826 | 5.57 | 0.97 | 0.79 | |
| −0.05 V | 7.56 | 28.06 | 0.88 | 774 | 3.21 | 0.97 | 0.72 | |
| −0.1 V | 7.8 | 34.87 | 0.86 | 692 | 3.09 | 0.9 | 0.58 |
Disclaimer/Publisher’s Note: The statements, opinions and data contained in all publications are solely those of the individual author(s) and contributor(s) and not of MDPI and/or the editor(s). MDPI and/or the editor(s) disclaim responsibility for any injury to people or property resulting from any ideas, methods, instructions or products referred to in the content. |
© 2024 by the authors. Licensee MDPI, Basel, Switzerland. This article is an open access article distributed under the terms and conditions of the Creative Commons Attribution (CC BY) license (https://creativecommons.org/licenses/by/4.0/).
Share and Cite
Tanji, A.; Fan, X.; Sakidja, R.; Liaw, P.K.; Hermawan, H. Role of Niobium on the Passivation Mechanisms of TiHfZrNb High-Entropy Alloys in Hanks’ Simulated Body Fluid. J. Funct. Biomater. 2024, 15, 305. https://doi.org/10.3390/jfb15100305
Tanji A, Fan X, Sakidja R, Liaw PK, Hermawan H. Role of Niobium on the Passivation Mechanisms of TiHfZrNb High-Entropy Alloys in Hanks’ Simulated Body Fluid. Journal of Functional Biomaterials. 2024; 15(10):305. https://doi.org/10.3390/jfb15100305
Chicago/Turabian StyleTanji, Ayoub, Xuesong Fan, Ridwan Sakidja, Peter K. Liaw, and Hendra Hermawan. 2024. "Role of Niobium on the Passivation Mechanisms of TiHfZrNb High-Entropy Alloys in Hanks’ Simulated Body Fluid" Journal of Functional Biomaterials 15, no. 10: 305. https://doi.org/10.3390/jfb15100305
APA StyleTanji, A., Fan, X., Sakidja, R., Liaw, P. K., & Hermawan, H. (2024). Role of Niobium on the Passivation Mechanisms of TiHfZrNb High-Entropy Alloys in Hanks’ Simulated Body Fluid. Journal of Functional Biomaterials, 15(10), 305. https://doi.org/10.3390/jfb15100305

