Antimicrobial Activity of Amino-Modified Cellulose Nanofibrils Decorated with Silver Nanoparticles
Abstract
1. Introduction
2. Experimental
2.1. Materials
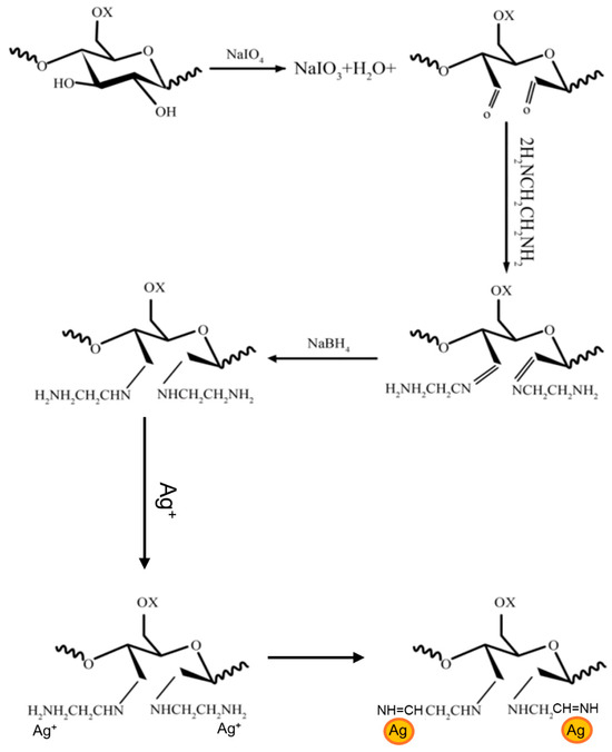
2.2. Preparation of Amino-Functionalized CNFs (NH2−CNFs) Decorated with Silver Nanoparticles (Ag NPs)
2.3. Characterization of NH2−CNFs and Ag/NH2−CNFs
2.4. Evaluation of the Antimicrobial Ability of NH2−CNFs and Ag/NH2−CNFs
3. Results and Discussion
4. Conclusions
- Incorporating nanometer-large Ag NPs does not significantly affect the hydrodynamic size, ζ-potential, or surface charge of NH2−CNFs, i.e., the hybrid retained desirable properties of its organic component.
- The inorganic–organic (Ag/NH2−CNFs) hybrid and NH2−CNFs display similar antimicrobial activity, although the mechanism of their antimicrobial action is different, i.e., electrostatic interactions via amino groups versus Ag+ ions released from Ag NPs.
- The slow release of Ag+ ions and negligible detachment of Ag NPs to surrounding media, i.e., the stability of the prepared hybrid, ensure its long-term antimicrobial action.
Supplementary Materials
Author Contributions
Funding
Institutional Review Board Statement
Informed Consent Statement
Data Availability Statement
Acknowledgments
Conflicts of Interest
References
- Trache, D.; Tarchoun, A.F.; Derradji, M.; Hamidon, T.S.; Masruchin, N.; Brosse, N.; Hussin, M.H. Nanocellulose: From Fundamentals to Advanced Applications. Front. Chem. 2020, 8, 392. [Google Scholar] [CrossRef] [PubMed]
- Thomas, B.; Raj, M.C.; Joy, J.; Moores, A.; Drisko, G.L.; Sanchez, C. Nanocellulose, a versatile green platform: From biosources to materials and their applications. Chem. Rev. 2018, 118, 11575–11625. [Google Scholar] [CrossRef] [PubMed]
- Thomas, P.; Duolikun, T.; Rumjit, N.P.; Moosavi, S.; Lai, C.W.; Johan, M.R.B.; Fen, L.B. Comprehensive review on nanocellulose: Recent developments, challenges and future prospects. J. Mech. Behav. Biomed. 2020, 110, 103884. [Google Scholar] [CrossRef] [PubMed]
- Dalei, G.; Das, S.; Pradhan, M. Dialdehyde cellulose as a niche material for versatile applications: An overview. Cellulose 2022, 29, 5429–5461. [Google Scholar] [CrossRef]
- Thakur, V.; Guleria, A.; Kumar, S.; Sharma, S.; Singh, K. Recent advances in nanocellulose processing, functionalization and applications: A review. Mater. Adv. 2021, 2, 1872–1895. [Google Scholar] [CrossRef]
- Ilić, V.; Šaponjić, Z.; Vodnik, V.; Potkonjak, B.; Jovančić, P.; Nedeljković, J.; Radetić, M. The influence of silver content on antimicrobial activity and color of cotton fabrics functionalized with Ag nanoparticles. Carbohydr. Polym. 2009, 78, 564–569. [Google Scholar] [CrossRef]
- Jia, B.; Mei, Y.; Cheng, L.; Zhou, J.; Zhang, L. Preparation of copper nanoparticles coated cellulose films with antibacterial properties through one-step reduction. ACS Appl. Mater. Inter. 2012, 4, 2897–2902. [Google Scholar] [CrossRef]
- Xu, Y.; Li, S.; Yue, X.; Lu, W. Review of silver nanoparticles (AgNPs)-cellulose antibacterial composites. BioResources 2018, 13, 2150–2170. [Google Scholar] [CrossRef]
- Mihailović, D.; Šaponjić, Z.; Radoičić, M.; Lazović, S.; Baily, C.J.; Jovančić, P.; Nedeljković, J.; Radetić, M. Functionalization of cotton fabrics with corona/air RF plasma and colloidal TiO2 nanoparticles. Cellulose 2011, 18, 811–825. [Google Scholar] [CrossRef]
- Carpenter, B.L.; Scholle, F.; Sadeghifar, H.; Francis, A.J.; Boltersdorf, J.; Weare, W.W.; Argyropoulos, D.S.; Maggard, P.A.; Ghiladi, R.A. Synthesis, characterization, and antimicrobial efficacy of photomicrobicidal cellulose paper. Biomacromolecules 2015, 16, 2482–2492. [Google Scholar] [CrossRef]
- Booshehri, A.Y.; Wang, R.; Xu, R. Simple method of deposition of CuO nanoparticles on a cellulose paper and its antibacterial activity. Chem. Eng. J. 2015, 262, 999–1008. [Google Scholar] [CrossRef]
- Lefatshe, K.; Muiva, C.M.; Kebaabetswe, L.P. Extraction of nanocellulose and in-situ casting of ZnO/cellulose nanocomposite with enhanced photocatalytic and antibacterial activity. Carbohydr. Polym. 2017, 164, 301–308. [Google Scholar] [CrossRef] [PubMed]
- Zhao, S.-W.; Guo, C.-R.; Hu, Y.-Z.; Guo, Y.-R.; Pan, Q.-J. The preparation and antibacterial activity of cellulose/ZnO composite: A review. Open Chem. 2018, 16, 9–20. [Google Scholar] [CrossRef]
- Mokhena, T.C.; John, M.J. Cellulose nanomaterials: New generation materials for solving global issues. Cellulose 2020, 27, 1149–1194. [Google Scholar] [CrossRef]
- Gülsu, A.; Yüksektepe, E. Preparation of gentamicin conjugated cellulose nanocrystals and evaluation of efficacy on different microorganisms. Eur. J. Sci. Tech. 2021, 27, 1105–1112. [Google Scholar] [CrossRef]
- Amara, C.; El Mahdi, A.; Medimagh, R.; Khwaldia, K. Nanocellulose-based composites for packaging applications. Curr. Opin. Green Sust. 2021, 31, 100512. [Google Scholar] [CrossRef]
- Zhang, L.; Yan, P.; Li, Y.; He, X.; Dai, Y.; Tan, Z. Preparation and antibacterial activity of a cellulose-based schiff base derived from dialdehyde cellulose and L-lysine. Ind. Crop Prod. 2020, 145, 112126. [Google Scholar] [CrossRef]
- He, X.; Li, Y.; Zhang, L.; Du, R.; Dai, Y.; Tan, Z. Preparation of,3-dialdehyde microcrystalline cellulose particles crosslinked with ε-poly-L-lysine and their antibacterial activity. Cellulose 2021, 28, 2833–2847. [Google Scholar] [CrossRef]
- Timofeeva, L.; Kleshcheva, N. Antimicrobial polymers: Mechanism of action, factors of activity, and applications. Appl. Microbiol. Biot. 2011, 89, 475–492. [Google Scholar] [CrossRef]
- Bondarenko, O.M.; Heinlaan, M.; Sihtmäe, M.; Ivask, A.; Kurvet, I.; Joonas, E.; Jemec, A.; Mannerström, M.; Heinonen, T.; Rekulapelly, R.; et al. Multilaboratory evaluation of 15 bioassays for (eco) toxicity screening and hazard ranking of engineered nanomaterials: FP7 project NANOVALID. Nanotoxicology 2016, 10, 1229–1242. [Google Scholar] [CrossRef]
- Tavakolian, M.; Jafari, S.M.; van de Ven, T.G. A review on surface-functionalized cellulosic nanostructures as biocompatible antibacterial materials. Nano-Micro Lett. 2020, 12, 73. [Google Scholar] [CrossRef] [PubMed]
- Chen, M.; Feng, Y.G.; Wang, X.; Li, T.C.; Zhang, J.Y.; Qian, D.J. Silver nanoparticles capped by oleylamine: Formation, growth, and self-organization. Langmuir 2007, 23, 5296–5304. [Google Scholar] [CrossRef] [PubMed]
- Mourdikoudis, S.; Liz-Marzan, L.M. Oleylamine in Nanoparticle Synthesis. Chem. Mater. 2013, 25, 1465–1476. [Google Scholar] [CrossRef]
- Vukoje, I.D.; Džunuzović, E.S.; Vodnik, V.V.; Dimitrijević, S.; Ahrenkiel, S.P.; Nedeljković, J.M. Synthesis, characterization, and antimicrobial activity of poly(GMA-co-EGDMA) polymer decorated with silver nanoparticles. J. Mater. Sci. 2014, 49, 6838–6844. [Google Scholar] [CrossRef]
- Vukoje, I.D.; Džunuzović, E.S.; Lončarević, D.R.; Dimitrijević, S.; Ahrenkiel, S.P.; Nedeljković, J.M. Synthesis, characterization, and antimicrobial activity of silver nanoparticles on poly(GMA-co-EGDMA) polymer support. Polym. Compos. 2017, 38, 1206–1214. [Google Scholar] [CrossRef]
- Vukoje, I.D.; Džunuzović, E.S.; Dimitrijević, S.; Ahrenkiel, S.P.; Nedeljković, J.M. Size-Dependent Antibacterial Properties of Ag Nanoparticles Supported by Amino-Functionalized Poly(GMA-co-EGDMA) Polymer. Polym. Compos. 2019, 40, 2901–2907. [Google Scholar] [CrossRef]
- Lazić, V.; Smičiklas, I.; Marković, J.; Lončarević, D.; Dostanić, J.; Ahrenkiel, S.P.; Nedeljković, J.M. Antibacterial ability of supported silver nanoparticles by functionalized hydroxyapatite with 5-aminosalicylic acid. Vacuum 2018, 148, 62–68. [Google Scholar] [CrossRef]
- Lazić, V.; Mihajlovski, K.; Mraković, A.; Illés, E.; Stoiljković, M.; Ahrenkiel, S.P.; Nedeljković, J.M. Antimicrobial activity of silver nanoparticles supported by magnetite. ChemistrySelect 2019, 4, 4018–4024. [Google Scholar] [CrossRef]
- Lazić, V.; Vivod, V.; Peršin, Z.; Stoiljković, M.; Ratnayake, I.S.; Ahrenkiel, P.S.; Nedeljković, J.M.; Kokol, V. Dextran-coated silver nanoparticles for improved barrier and controlled antimicrobial properties of nanocellulose films used in food packaging. Food Packag. Shelf 2020, 26, 100575. [Google Scholar] [CrossRef]
- Ruberto, Y.; Vivod, V.; Grkman, J.J.; Lavrič, G.; Graiff, C.; Kokol, V. Slot-die coating of cellulose nanocrystals and chitosan for improved barrier properties of paper. Cellulose 2024, 31, 3589–3606. [Google Scholar] [CrossRef]
- Kokol, V.; Vivod, V.; Fratnik, Z.P.; Čolić, M.; Kolar, M. Antimicrobial properties of viscose yarns ring-spun with integrated amino-functionalized nanocellulose. Cellulose 2021, 28, 6545–6565. [Google Scholar] [CrossRef]
- Kokol, V.; Novak, S.; Kononenko, V.; Kos, M.; Vivod, V.; Gunde-Cimerman, N.; Drobne, D. Antibacterial and degradation properties of dialdehyded and aminohexamethylated nanocelluloses. Carbohydr. Polym. 2023, 311, 120603–120619. [Google Scholar] [CrossRef] [PubMed]
- Xu, Q.; Huang, X.; Guo, L.; Wang, Y.; Jin, L. Enhancing Removal of Cr(VI), Pb2+, and Cu2+ from Aqueous Solutions Using Amino-Functionalized Cellulose Nanocrystal. Molecules 2021, 26, 7315. [Google Scholar] [CrossRef] [PubMed]
- Tummino, M.L.; Laurenti, E.; Bracco, P.; Cecone, C.; La Parola, V.; Testa, C.V.M.L. Antibacterial properties of functionalized cellulose extracted from deproteinized soybean hulls. Cellulose 2023, 30, 7805–7824. [Google Scholar] [CrossRef]
- Park, S.; Baker, J.O.; Himmel, M.E.; Parilla, P.A.; Johnson, D.K. Cellulose crystallinity index: Measurement techniques and their impact on interpreting cellulase performance. Biotechnol. Biofuels 2010, 3, 10. [Google Scholar] [CrossRef]
- Errokh, A.; Magnin, A.; Putaux, J.-L.; Boufi, S. Morphology of the nanocellulose produced by periodate oxidation and reductive treatment of cellulose fibers. Cellulose 2018, 25, 3899–3911. [Google Scholar] [CrossRef]
- Sonohara, R.; Muramatsu, N.; Ohshima, H.; Kondo, T. Difference in surface properties between Escherichia coli and Staphylococcus aureus as revealed by electrophoretic mobility measurements. Biophys. Chem. 1995, 55, 273–277. [Google Scholar] [CrossRef]
- Mondal, B.K.; Bandyopadhyay, S.S.; Samanta, A.N. Kinetics of CO2 absorption in aqueous hexamethylenediamine. Int. J. Greenh. Gas Control 2017, 56, 116–125. [Google Scholar] [CrossRef]
- Rashki, S.; Shakour, N.; Yousefi, Z.; Rezaei, M.; Homayoonfal, M.; Khabazian, E.; Atyabi, F.; Aslanbeigi, F.; Lapavandani, R.S.; Mazaheri, S.; et al. Cellulose-Based Nanofibril Composite Materials as a New Approach to Fight Bacterial Infections. Front. Bioeng. Biotech. 2021, 9, 732461. [Google Scholar] [CrossRef]
- Rajagopal, M.; Walker, S. Envelope structures of gram-positive bacteria. Curr. Top. Microbiol. Immunol. 2017, 404, 1–44. [Google Scholar]
- Panáček, A.; Kvítek, L.; Prucek, R.; Kolář, M.; Večeřová, R.; Pizúrová, N.; Sharma, V.K.; Nevěčná, T.; Zbořil, R. Silver Colloid Nanoparticles: Synthesis, Characterization, and Their Antibacterial Activity. J. Phys. Chem. B 2006, 110, 16248–16253. [Google Scholar] [CrossRef] [PubMed]
- Feng, Q.L.; Wu, J.; Chen, G.Q.; Cui, F.Z.; Kim, T.N.; Kim, J.O. A mechanistic study of the antibacterial effect of silver ions on Escherichia coli and Staphylococcus aureus. J. Biomed. Mater. Res. 2000, 15, 662–668. [Google Scholar] [CrossRef]
- Agnihotri, S.; Mukherji, S.; Mukherji, S. Size-controlled silver nanoparticles synthesized over the range 5–100 nm using the same protocol and their antibacterial Efficacy. RSC Adv. 2014, 4, 3974–3983. [Google Scholar] [CrossRef]
- Parvekar, P.; Palaskar, J.; Metgud, S.; Maria, R.; Dutta, S. The minimum inhibitory concentration (MIC) and minimum bactericidal concentration (MBC) of silver nanoparticles against Staphylococcus aureus. Biomater. Investig. Dent. 2020, 7, 105–109. [Google Scholar] [CrossRef]
- Ayala-Núñez, N.V.; Villegas, H.H.L.; del Carmen Ixtepan Turrent, L.; Rodríguez Padilla, C. Silver Nanoparticles Toxicity and Bactericidal Effect against Methicillin-Resistant Staphylococcus aureus: Nanoscale Does Matter. NanoBiotechnology 2009, 5, 2–9. [Google Scholar] [CrossRef]
- Agnihotri, S.; Mukherji, S.; Mukherji, S. Immobilized silver nanoparticles enhance contact killing and show highest efficacy: Elucidation of the mechanism of bactericidal action of silver. Nanoscale 2013, 5, 7328–7340. [Google Scholar] [CrossRef]
- Lv, M.; Su, S.; He, Y.; Huang, Q.; Hu, W.; Li, D.; Fan, C.; Lee, S.-T. Long-Term Antimicrobial Effect of Silicon Nanowires Decorated with Silver Nanoparticles. Adv. Mater. 2010, 22, 5463–5467. [Google Scholar] [CrossRef]
- Kokol, V.; Kos, M.; Vivod, V.; Gunde-Cimerman, N. Cationised Fibre-Based Cellulose Multi-Layer Membranes for Sterile and High-Flow Bacteria Retention and Inactivation. Membranes 2023, 13, 284. [Google Scholar] [CrossRef]
- Panáček, A.; Kolář, M.; Večeřová, R.; Prucek, R.; Soukupová, J.; Kryštof, V.; Hamal, P.; Zbořil, R.; Kvítek, L. Antifungal activity of silver nanoparticles against Candida spp. Biomaterials 2009, 30, 6333–6340. [Google Scholar] [CrossRef]






| Sample | Size at pH 7 (μm) | ζ-Potential at pH 7 (mV) | Charge at pH 7 (mmol/g) | Total Charge (mmol/g) |
|---|---|---|---|---|
| CNFs | 4.2 ± 1.0 | −31.6 ± 1.0 | 0.14 ± 0.01 | 0.12 ± 0.01 |
| NH2−CNFs | 10.5 ± 5.6 | +31.3 ± 1.9 | 2.44 ± 0.04 | 5.99 ± 0.04 |
| Ag/NH2−CNFs | 27.7 ± 9.6 | +19.9 ± 4.7 | 1.00 ± 0.01 | 4.64 ± 0.04 |
| NH2−CNFs | Ag/NH2−CNFs | |||||
|---|---|---|---|---|---|---|
| MIC (mg/mL) | MBC (mg/mL) | MIC (mg/mL) | MBC (mg/mL) | |||
| S. aureus | 0.96 | ~3 * | 0.12 ** | 4 * | 1.9 | >12 |
| E. coli | 0.12 | 8 * | 1.9 ** | 16 * | 3.0 | 12 |
| P. aeruginosa | 0.48 | n.d. | n.d. | n.d. | 3.0 | ~12 *** |
| C. albicans | 0.24 | n.d. | 0.24 ** | n.d. | 3.0 | ~12 *** |
Disclaimer/Publisher’s Note: The statements, opinions and data contained in all publications are solely those of the individual author(s) and contributor(s) and not of MDPI and/or the editor(s). MDPI and/or the editor(s) disclaim responsibility for any injury to people or property resulting from any ideas, methods, instructions or products referred to in the content. |
© 2024 by the authors. Licensee MDPI, Basel, Switzerland. This article is an open access article distributed under the terms and conditions of the Creative Commons Attribution (CC BY) license (https://creativecommons.org/licenses/by/4.0/).
Share and Cite
Lazić, V.; Nedeljković, J.M.; Kokol, V. Antimicrobial Activity of Amino-Modified Cellulose Nanofibrils Decorated with Silver Nanoparticles. J. Funct. Biomater. 2024, 15, 304. https://doi.org/10.3390/jfb15100304
Lazić V, Nedeljković JM, Kokol V. Antimicrobial Activity of Amino-Modified Cellulose Nanofibrils Decorated with Silver Nanoparticles. Journal of Functional Biomaterials. 2024; 15(10):304. https://doi.org/10.3390/jfb15100304
Chicago/Turabian StyleLazić, Vesna, Jovan M. Nedeljković, and Vanja Kokol. 2024. "Antimicrobial Activity of Amino-Modified Cellulose Nanofibrils Decorated with Silver Nanoparticles" Journal of Functional Biomaterials 15, no. 10: 304. https://doi.org/10.3390/jfb15100304
APA StyleLazić, V., Nedeljković, J. M., & Kokol, V. (2024). Antimicrobial Activity of Amino-Modified Cellulose Nanofibrils Decorated with Silver Nanoparticles. Journal of Functional Biomaterials, 15(10), 304. https://doi.org/10.3390/jfb15100304
