Effect of the Correction of Bilateral Differences in Masseter Muscle Functional Pressure on the Mandible of Growing Rats
Abstract
:1. Introduction
2. Materials and Methods
2.1. Experimental Animals
2.2. Experimental Procedures
2.3. Measurement of Weight
2.4. Setting the Region of Interest
2.5. Tissue Slice Preparation
2.5.1. Paraffin Section
2.5.2. Masseter Muscle Section and Resin Section
2.6. Second Harmonic Generation Imaging
2.7. BAp Crystal Alignment
2.8. Statistical Analysis
3. Results
3.1. Incisor Midline
3.2. Body Weight
3.3. Masseter Muscle Weight
3.4. Histological Observation of Masseter Muscle Fibres
3.5. Histological Observations at the Entheses
3.6. Anisotropy of Collagen Fibre Orientation
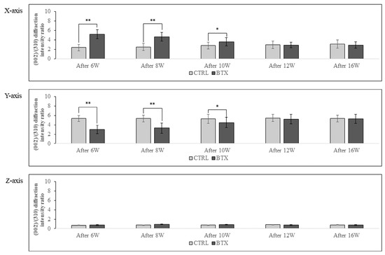
3.7. BAp Crystal Alignment
4. Discussion
5. Conclusions
Author Contributions
Funding
Data Availability Statement
Acknowledgments
Conflicts of Interest
References
- Mossey, P.A. The heritability of malocclusion: Part 1—Genetics, principles and terminology. Br. J. Orthod. 1999, 26, 103–113. [Google Scholar] [CrossRef] [PubMed]
- Mossey, P.A. The heritability of malocclusion: Part 2—The influence of genetics in malocclusion. Br. J. Orthod. 1999, 26, 195–203. [Google Scholar] [CrossRef] [PubMed]
- Enlow, D.H.; Harris, D.B. A study of postnatal growth of the human mandible. Am. J. Orthod. 1964, 50, 25–50. [Google Scholar] [CrossRef]
- Enlow, D.H.; Bang, S. Growth and remodeling of the human maxilla. Am. J. Orthod. 1966, 51, 446–468. [Google Scholar] [CrossRef]
- Enlow, D.H.; Bang, S. A morphogenetic analysis of facial growth. Am. J. Orthod. 1966, 52, 283–299. [Google Scholar] [CrossRef] [PubMed]
- Takada, K.; Lowe, A.A.; Freund, V.K. Canonical correlations between masticatory muscle orientation and dentoskeletal morphology in children. Am. J. Orthod. 1984, 86, 331–341. [Google Scholar] [CrossRef]
- Ingervall, B.; Helkimo, E. Masticatory muscle force and facial morphology in man. Arch. Oral Biol. 1978, 23, 203–206. [Google Scholar] [CrossRef]
- Isola, G.; Anastasi, G.P.; Matarese, G.; Williams, R.C.; Cutroneo, G.; Bracco, P.; Piancino, M.G. Functional and molecular outcomes of the human masticatory muscles. Oral Dis. 2017, 24, 1428–1441. [Google Scholar] [CrossRef]
- Yamada, T.; Sugiyama, G.; Mori, Y. Masticatory muscle function affects the pathological conditions of dentofacial deformities. Jpn. Dent. Sci. Rev. 2020, 56, 56–61. [Google Scholar] [CrossRef]
- Grabowski, R.; Stahl, F. Interrelation between occlusal findings and orofacial myofunctional status in primary and mixed dentition: Part III: Interrelation between malocclusions and orofacial dysfunctions. J. Orofac. Orthop. 2007, 68, 462–476. [Google Scholar] [CrossRef]
- Seemann, J.; Kundt, G.; Stahl de Castrillon, F. Relationship between occlusal findings and orofacial myofunctional status in primary and mixed dentition: Part IV: Interrelation between space conditions and orofacial dysfunctions. J. Orofac. Orthop. 2011, 72, 21–32. [Google Scholar] [CrossRef] [PubMed]
- Saccomanno, S.; Antonini, G.; D’Alatri, L.; D’Angelantonio, M.; Fiorita, A.; Deli, R. Causal relationship between malocclusion and oral muscles dysfunction: A model of approach. Eur. J. Paediatr. Dent. 2012, 13, 321–323. [Google Scholar] [PubMed]
- Lin, L.; Zhao, T.; Qin, D.; Hua, F.; He, H. The impact of mouth breathing on dentofacial development: A concise review. Front. Public Health 2022, 10, 929165. [Google Scholar] [CrossRef]
- Stahl, F.; Grabowski, R.; Gaebel, M.; Kundt, G. Relationship between occlusal findings and orofacial myofunctional status in primary and mixed dentition. Part II: Prevalence of orofacial dysfunctions. J. Orofac. Orthop. 2007, 68, 74–90. [Google Scholar] [CrossRef] [PubMed]
- Wishney, M.; Darendeliler, M.A.; Dalci, O. Myofunctional therapy and prefabricated functional appliances: An overview of the history and evidence. Aust. Dent. J. 2019, 64, 135–144. [Google Scholar] [CrossRef] [PubMed]
- Koletsi, D.; Makou, M.; Pandis, N. Effect of orthodontic management and orofacial muscle training protocols on the correction of myofunctional and myoskeletal problems in developing dentition. A systematic review and meta-analysis. Orthod. Craniofacial Res. 2018, 21, 202–215. [Google Scholar] [CrossRef] [PubMed]
- Nakano, T.; Kaibara, K.; Tabata, Y.; Nagata, N.; Enomoto, S.; Marukawa, E.; Umakoshi, Y. Unique alignment and texture of biological apatite crystallites in typical calcified tissues analyzed by microbeam X-ray diffractometer system. Bone 2020, 31, 479–487. [Google Scholar] [CrossRef] [PubMed]
- Nakano, T.; Kaibara, K.; Ishimoto, T.; Tabata, Y.; Umakoshi, Y. Biological apatite (BAp) crystallographic orientation and texture as a new index for assessing the microstructure and function of bone regenerated by tissue engineering. Bone 2012, 51, 741–747. [Google Scholar] [CrossRef]
- NIH Consensus Development Panel on Osteoporosis Prevention Diagnosis, and Therapy Osteoporosis prevention, diagnosis, and therapy. J. Am. Med. Assoc. 2001, 285, 785–795.
- Yang, S.; Liu, Y.; Shi, Q.; Zou, J.; Yang, H. Characteristics of bone biochemical indices in predicting secondary osteoporotic fracture after intertrochanteric fracture in elderly women. J. Orthop. Transl. 2018, 12, 1–5. [Google Scholar]
- Tao, J.; Battle, K.C.; Pan, H.; Salter, E.A.; Chien, Y.C.; Wierzbicki, A.; De Yoreo, J.J. Energetic basis for the molecular-scale organization of bone. Proc. Natl. Acad. Sci. USA 2015, 112, 326–331. [Google Scholar] [CrossRef] [PubMed]
- Sasaki, N.; Sudoh, Y. X-ray pole figure analysis of apatite crystals and collagen molecules in bone. Calcif. Tissue Int. 1997, 60, 361–367. [Google Scholar] [CrossRef] [PubMed]
- Wang, J.; Ishimoto, T.; Nakano, T. Unloading-induced degradation of the anisotropic arrangement of collagen/apatite in rat femurs. Calcif. Tissue Int. 2017, 100, 87–94. [Google Scholar] [CrossRef] [PubMed]
- Warshaw, J.; Bromage, T.G.; Terranova, C.J.; Enlow, D.H. Collagen fiber orientation in primate long bones. Anat. Rec. 2017, 300, 1189–1207. [Google Scholar] [CrossRef] [PubMed]
- Seok, H.; Kim, S.G.; Kim, M.K.; Jang, I.; Ahn, J. Effect of the masseter muscle injection of botulinum toxin A on the mandibular bone growth of developmental rats. Maxillofac. Plast. Reconstr. Surg. 2018, 40, 5. [Google Scholar] [CrossRef] [PubMed]
- Kusaba, G.; Matsunaga, S.; Kitamura, K.; Kasahara, M.; Shimoo, Y.; Abe, S.; Nakano, T.; Ishimoto, T.; Hikita, A.; Nojima, K.; et al. Micro/nanostructural characteristic changes in the mandibles of rats after injection of botulinum neurotoxin. J. Hard Tissue Biol. 2021, 30, 183–192. [Google Scholar] [CrossRef]
- Liu, Y.; Keikhosravi, A.; Mehta, G.S.; Drifka, C.R.; Eliceiri, K.W. Methods for quantifying fibrillar collagen alignment. Methods Mol. Biol. 2017, 1627, 429–451. [Google Scholar] [PubMed]
- Malta, L.A.; Baccetti, T.; Franchi, L.; Faltin, K., Jr.; McNamara, J.A., Jr. Long-term dentoskeletal effects and facial profile changes induced by bionator therapy. Angle Orthod. 2010, 80, 10–17. [Google Scholar] [CrossRef] [PubMed]
- Tulloch, J.F.; Phillips, C.; Koch, G.; Proffit, W.R. The effect of early intervention on skeletal pattern in Class II malocclusion: A randomized clinical trial. Am. J. Orthod. Dentofac. Orthop. 1997, 111, 391–400. [Google Scholar] [CrossRef] [PubMed]
- Tighe, A.P.; Schiavo, G. Botulinum neurotoxins: Mechanism of action. Toxicon 2013, 67, 87–93. [Google Scholar] [CrossRef]
- Tsai, C.Y.; Lei, Y.Y.; Yang, L.Y.; Chiu, W.C. Changes of masseter muscle activity following injection of botulinum toxin type A in adult rats. Orthod. Craniofacial Res. 2015, 18, 202–211. [Google Scholar] [CrossRef] [PubMed]
- Tsai, C.Y.; Chiu, W.C.; Liao, Y.H.; Tsai, C.M. Effects on craniofacial growth and development of unilateral botulinum neurotoxin injection into the masseter muscle. Am. J. Orthod. Dentofac. Orthop. 2009, 135, 142.e1–142.e6. [Google Scholar] [CrossRef]
- Tsai, C.Y.; Shyr, Y.M.; Chiu, W.C.; Lee, C.M. Bone changes in the mandible following botulinum neurotoxin injections. Eur. J. Orthod. 2011, 33, 132–138. [Google Scholar] [CrossRef] [PubMed]
- Chong, D.A.; Evans, C.A.; Heeley, J.D. Morphology and maturation of the periosteum of the rat mandible. Arch. Oral Biol. 1982, 27, 777–785. [Google Scholar] [CrossRef] [PubMed]
- Elliot, J.C. Structure and Chemistry of the Apatites and Other Calcium Orthophosphates; Elsevier Science: Amsterdam, The Netherlands, 1994; Volume 18, pp. 1–389. [Google Scholar]
- Bacon, G.E.; Bacon, P.J.; Griffiths, R.K. Orientation of apatite crystals in relation to muscle attachment in the mandible. J. Biomech. 1980, 13, 725–729. [Google Scholar] [CrossRef]









Disclaimer/Publisher’s Note: The statements, opinions and data contained in all publications are solely those of the individual author(s) and contributor(s) and not of MDPI and/or the editor(s). MDPI and/or the editor(s) disclaim responsibility for any injury to people or property resulting from any ideas, methods, instructions or products referred to in the content. |
© 2023 by the authors. Licensee MDPI, Basel, Switzerland. This article is an open access article distributed under the terms and conditions of the Creative Commons Attribution (CC BY) license (https://creativecommons.org/licenses/by/4.0/).
Share and Cite
Mizuno, S.; Matsunaga, S.; Kasahara, N.; Kasahara, M.; Shimoo, Y.; Abe, S.; Nakano, T.; Ishimoto, T.; Hikita, A.; Nojima, K.; et al. Effect of the Correction of Bilateral Differences in Masseter Muscle Functional Pressure on the Mandible of Growing Rats. J. Funct. Biomater. 2023, 14, 435. https://doi.org/10.3390/jfb14080435
Mizuno S, Matsunaga S, Kasahara N, Kasahara M, Shimoo Y, Abe S, Nakano T, Ishimoto T, Hikita A, Nojima K, et al. Effect of the Correction of Bilateral Differences in Masseter Muscle Functional Pressure on the Mandible of Growing Rats. Journal of Functional Biomaterials. 2023; 14(8):435. https://doi.org/10.3390/jfb14080435
Chicago/Turabian StyleMizuno, Shuhei, Satoru Matsunaga, Norio Kasahara, Masaaki Kasahara, Yoshiaki Shimoo, Shinichi Abe, Takayoshi Nakano, Takuya Ishimoto, Atsuhiko Hikita, Kunihiko Nojima, and et al. 2023. "Effect of the Correction of Bilateral Differences in Masseter Muscle Functional Pressure on the Mandible of Growing Rats" Journal of Functional Biomaterials 14, no. 8: 435. https://doi.org/10.3390/jfb14080435
APA StyleMizuno, S., Matsunaga, S., Kasahara, N., Kasahara, M., Shimoo, Y., Abe, S., Nakano, T., Ishimoto, T., Hikita, A., Nojima, K., & Nishii, Y. (2023). Effect of the Correction of Bilateral Differences in Masseter Muscle Functional Pressure on the Mandible of Growing Rats. Journal of Functional Biomaterials, 14(8), 435. https://doi.org/10.3390/jfb14080435

