Predictive Validity of Non-g Residuals of Tests: More Than g
Abstract
:1. Introduction
- What are the most important scientific issues in the domain of human intelligence? Identifying constructs with validity beyond g.
- What are the most promising new ideas and approaches in the study of human intelligence? Investigating the predictive validity of non-g residuals of tests.
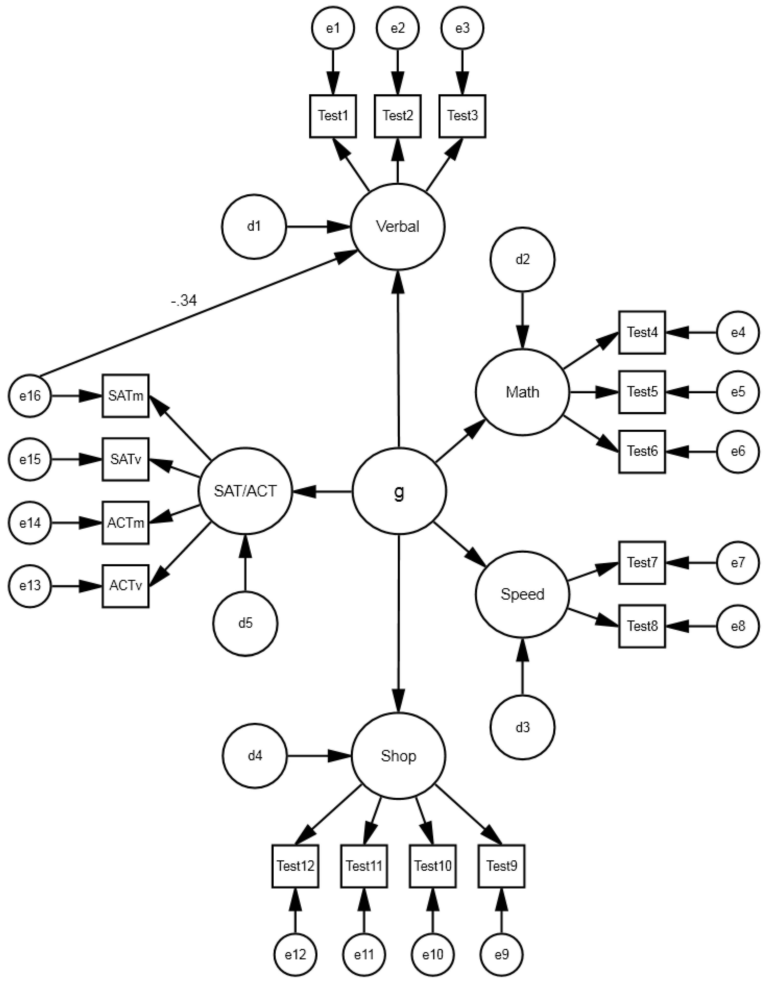
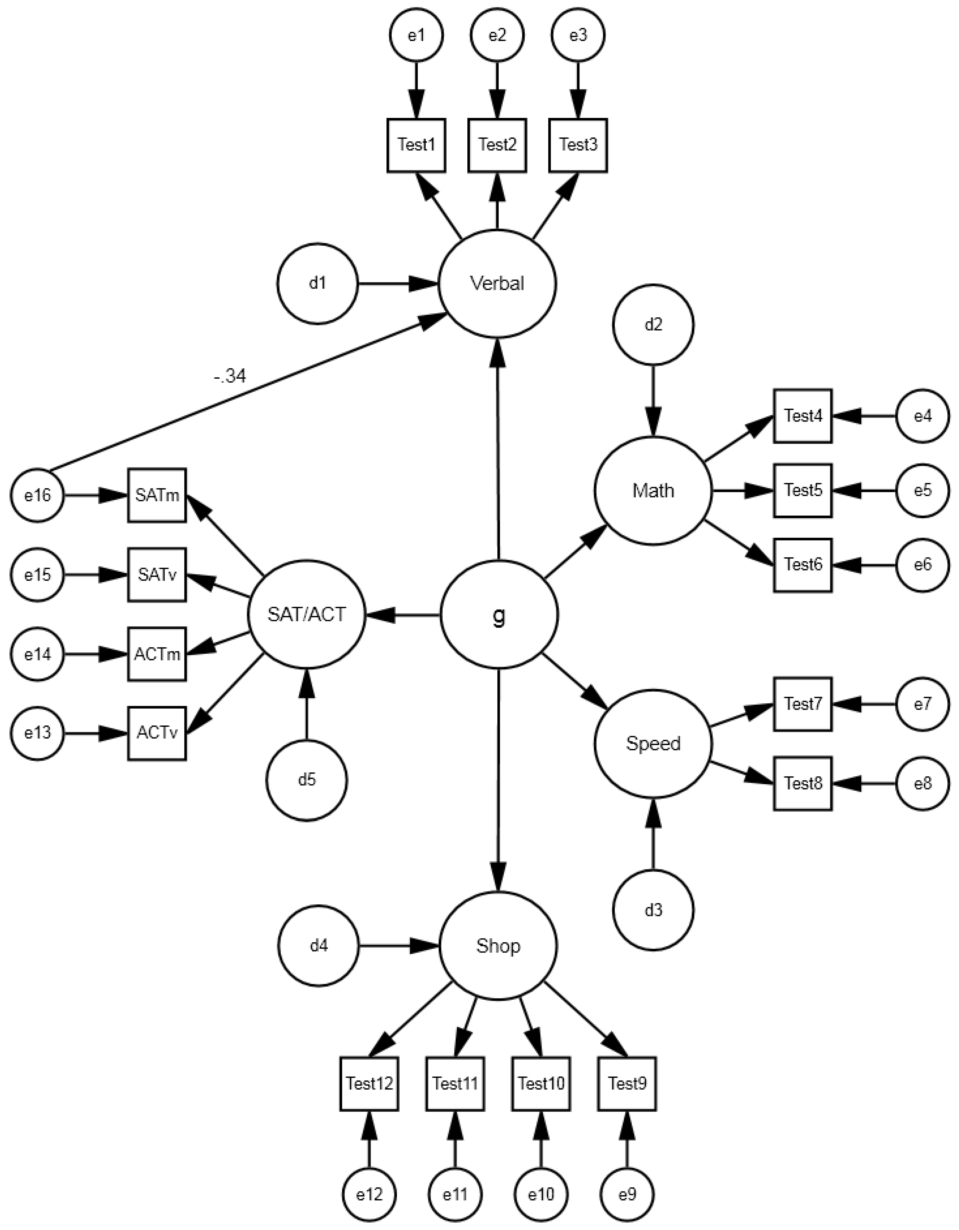
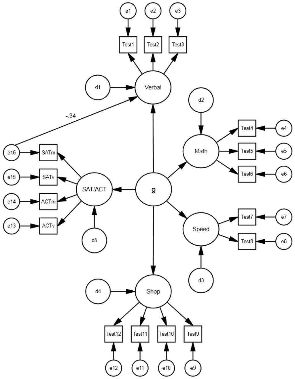
1.1. Non-g Residuals


1.2. Theories
1.3. Future Research
2. Conclusion
Acknowledgments
Conflicts of Interest
References
- De Boeck, P. Intelligence, where to look, where to go? J. Intell. 2013, 1, 5–24. [Google Scholar] [CrossRef]
- Jensen, A.R. The g Factor: The Science of Mental Ability; Praeger: Westport, CT, USA, 1998; pp. 270–305. [Google Scholar]
- Ree, M.J.; Earles, J.A. Predicting occupational criteria: Not much more than g. In Human Abilities: Their Nature and Measurement; Dennis, I., Tapsfield, P., Eds.; Lawrence Erlbaum: Mahwah, NJ, USA, 1996; pp. 151–165. [Google Scholar]
- Coyle, T.R.; Pillow, D.R. SAT and ACT predict college GPA after removing g. Intelligence 2008, 36, 719–729. [Google Scholar] [CrossRef]
- Coyle, T.R.; Snyder, A.C.; Purcell, J.M.; Kochunov, P. Non-g residuals of the SAT and ACT predict specific abilities. Intelligence 2013, 41, 114–120. [Google Scholar] [CrossRef]
- Cattell, R.B. Intelligence: Its Structure, Growth and Action; North-Holland: New York, NY, USA, 1987. [Google Scholar]
- Scarr, S.; McCartney, K. How people make their own environments: A theory of genotype→environment effects. Child Dev. 1983, 54, 424–435. [Google Scholar]
- Hunt, E.; Jaeggi, S.M. Challenges for research on intelligence. J. Intell. 2013, 1, 36–54. [Google Scholar] [CrossRef]
© 2014 by the authors; licensee MDPI, Basel, Switzerland. This article is an open access article distributed under the terms and conditions of the Creative Commons Attribution license (http://creativecommons.org/licenses/by/3.0/).
Share and Cite
Coyle, T.R. Predictive Validity of Non-g Residuals of Tests: More Than g. J. Intell. 2014, 2, 21-25. https://doi.org/10.3390/jintelligence2010021
Coyle TR. Predictive Validity of Non-g Residuals of Tests: More Than g. Journal of Intelligence. 2014; 2(1):21-25. https://doi.org/10.3390/jintelligence2010021
Chicago/Turabian StyleCoyle, Thomas R. 2014. "Predictive Validity of Non-g Residuals of Tests: More Than g" Journal of Intelligence 2, no. 1: 21-25. https://doi.org/10.3390/jintelligence2010021
APA StyleCoyle, T. R. (2014). Predictive Validity of Non-g Residuals of Tests: More Than g. Journal of Intelligence, 2(1), 21-25. https://doi.org/10.3390/jintelligence2010021
