Understanding Antioxidant Abilities of Dihydroxybenzenes: Local and Global Electron Transfer Properties
Abstract
1. Introduction
2. Experimentation
2.1. Computational Methods
2.2. Chemicals
2.3. DPPH Assay
3. Results and Discussion
3.1. Global Electron Transfer Properties of Dihydroxybenzenes
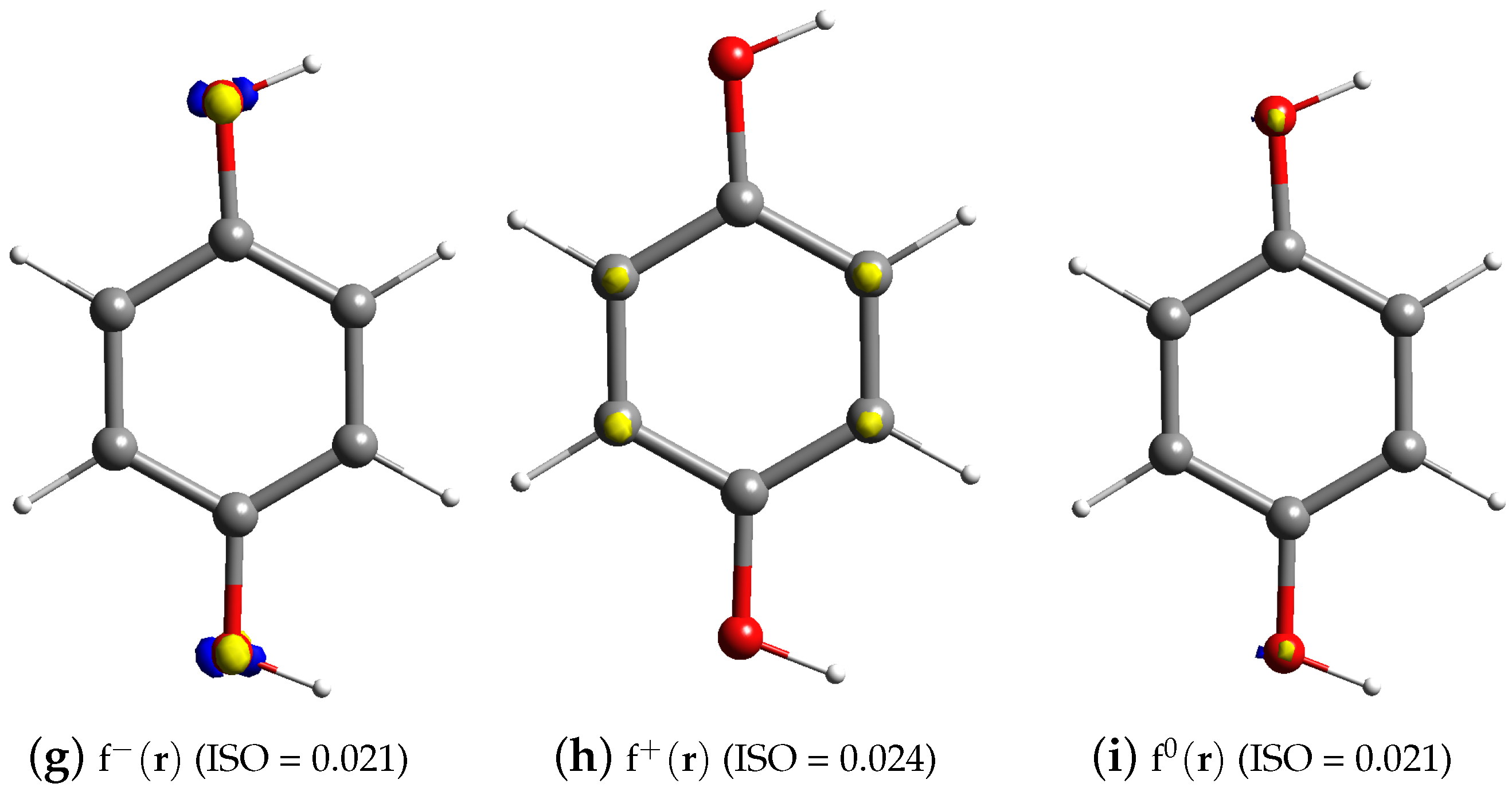
3.2. Local Electron Transfer Properties of Dihydroxy Benzenes
3.2.1. Frontier Molecular Orbital Analysis
3.2.2. Hirshfield Charges
3.2.3. Analytical Fukui Analysis
3.3. Antioxidant Activity (DPPH) of Chemical Compounds
4. Conclusions
Author Contributions
Funding
Institutional Review Board Statement
Informed Consent Statement
Data Availability Statement
Conflicts of Interest
References
- Hosseini, S.; Ketabi, S.; Hasheminasab, G. QSAR study of antituberculosis activity of oxadiazole derivatives using DFT calculations. J. Recept. Signal Transduct. 2022, 42, 503–511. [Google Scholar] [CrossRef] [PubMed]
- Keshavarz, M.H.; Shirazi, Z.; Mohajeri, M. Simple method for assessment of activities of thrombin inhibitors through their molecular structure parameters. Comput. Biol. Med. 2022, 146, 105640. [Google Scholar] [CrossRef] [PubMed]
- Du, Z.; Li, Y. Review and perspective on bioactive peptides: A roadmap for research, development, and future opportunities. J. Agric. Food Res. 2022, 9, 100353. [Google Scholar] [CrossRef]
- Djeradi, H.; Rahmouni, A.; Cheriti, A. Antioxidant activity of flavonoids: A QSAR modeling using Fukui indices descriptors. J. Mol. Model. 2014, 20, 2476. [Google Scholar] [CrossRef]
- Branković, J.; Milovanović, V.M.; Petrović, Z.D.; Simijonović, D.; Petrović, V.P. Pyrazolone-type compounds (part II): In vitro and in silico evaluation of antioxidant potential; structure—Activity relationship. RSC Adv. 2023, 13, 2884–2895. [Google Scholar] [CrossRef]
- Bendary, E.; Francis, R.; Ali, H.; Sarwat, M.; El Hady, S. Antioxidant and structure—Activity relationships (SARs) of some phenolic and anilines compounds. Ann. Agric. Sci. 2013, 58, 173–181. [Google Scholar] [CrossRef]
- Kumar, S.; Stecher, G.; Li, M.; Knyaz, C.; Tamura, K. MEGA X: Molecular Evolutionary Genetics Analysis across Computing Platforms. Mol. Biol. Evol. 2018, 35, 1547–1549. [Google Scholar] [CrossRef]
- Shamsudin, N.F.; Ahmed, Q.U.; Mahmood, S.; Ali Shah, S.A.; Khatib, A.; Mukhtar, S.; Alsharif, M.A.; Parveen, H.; Zakaria, Z.A. Antibacterial Effects of Flavonoids and Their Structure-Activity Relationship Study: A Comparative Interpretation. Molecules 2022, 27, 1449. [Google Scholar] [CrossRef]
- Matulja, D.; Vranješević, F.; Kolympadi Markovic, M.; Pavelić, S.K.; Marković, D. Anticancer Activities of Marine-Derived Phenolic Compounds and Their Derivatives. Molecules 2022, 27, 1449. [Google Scholar] [CrossRef]
- Rajan, V.K.; Muraleedharan, K. A computational investigation on the structure, global parameters and antioxidant capacity of a polyphenol, Gallic acid. Food Chem. 2017, 220, 93–99. [Google Scholar] [CrossRef]
- Flores-Moreno, R.; Pineda-Urbina, K.; Gómez-Sandoval, Z. Sinapsis, Version XII-V. Sinapsis Developers. 2012. Available online: https://sourceforge.net/projects/sinapsis" (accessed on 20 July 2020).
- Geudtner, G.; Calaminici, P.; Carmona-Espíndola, J.; del Campo, J.M.; Domínguez-Soria, V.D.; Moreno, R.F.; Gamboa, G.U.; Goursot, A.; Köster, A.M.; Reveles, J.U.; et al. deMon2k. Wiley Interdiscip. Rev. Comput. Mol. Sci. 2012, 2, 548–555. [Google Scholar] [CrossRef]
- Perdew, J.P.; Burke, K.; Ernzerhof, M. Generalized Gradient Approximation Made Simple. Phys. Rev. Lett. 1996, 77, 3865–3868, Erratum in Phys. Rev. Lett. 1997, 78, 1396–1396. [Google Scholar] [CrossRef] [PubMed]
- Godbout, N.; Salahub, D.R.; Andzelm, J.; Wimmer, E. Optimization of Gaussian-Type Basis Sets for Local Spin Density Functional Calculations. Part I. Boron through Neon, Optimization Technique and Validation. Can. J. Chem. 1992, 70, 560–571. [Google Scholar] [CrossRef]
- Flores-Moreno, R.; Melin, J.; Ortiz, J.V.; Merino, G. Efficient evaluation of analytic Fukui functions. J. Chem. Phys. 2008, 129, 224105. [Google Scholar] [CrossRef]
- Flores-Moreno, R. Symmetry Conservation in Fukui Functions. J. Chem. Theory Comput. 2010, 6, 48–54. [Google Scholar] [CrossRef]
- Chermette, H. Chemical reactivity indexes in density functional theory. J. Comput. Chem. 1999, 20, 129–154. [Google Scholar] [CrossRef]
- Gázquez, J.L.; Cedillo, A.; Vela, A. Electrodonating and Electroaccepting Powers. J. Phys. Chem. A 2007, 111, 1966–1970. [Google Scholar] [CrossRef]
- Parr, R.G.; Yang, W. Density Functional Approach to the Frontier–Electron Theory of Chemical Reactivity. J. Am. Chem. Soc. 1984, 106, 4049–4050. [Google Scholar] [CrossRef]
- Neese, F. The ORCA program system. Wires Comput. Mol. Sci. 2012, 2, 73–78. [Google Scholar] [CrossRef]
- Stephens, P.J.; Devlin, F.J.; Chabalowski, C.F.; Frisch, M.J. Ab initio calculation of vibrational absorption and circular dichroism spectra using density functional force fields. J. Phys. Chem. 1994, 98, 11623–11627. [Google Scholar] [CrossRef]
- Barone, V.; Cossi, M. Quantum Calculation of Molecular Energies and Energy Gradients in Solution by a Conductor Solvent Model. J. Phys. Chem. A 1998, 102, 1995–2001. [Google Scholar] [CrossRef]
- Prabha, M.R.; Vasantha, K. Antioxidant, cytotoxicity and polyphenolic content of Calotropis procera (Ait.) R. Br. Flowers. J. Appl. Pharm. Sci. 2011, 1, 136. [Google Scholar]
- Beyhan, Ö; Elmastas, M.; Gedikli, F. Total phenolic compounds and antioxidant capacity of leaf, dry fruit and fresh fruit of feijoa (Acca sellowiana, Myrtaceae). J. Med. Plants Res. 2010, 4, 1065–1072. [Google Scholar]
- Jayaprakash, G.K.; Flores-Moreno, R. Regioselectivity in hexagonal boron nitride co-doped graphene. New J. Chem. 2018, 42, 18913–18918. [Google Scholar] [CrossRef]
- Jayaprakash, G.K. Pre-post redox electron transfer regioselectivity at the alanine modified nano graphene electrode interface. Chem. Phys. Lett. 2022, 789, 139295. [Google Scholar] [CrossRef]
- Jayaprakash, G.K.; Flores-Moreno, R. Quantum chemical study of Triton X-100 modified graphene surface. Electrochim. Acta 2017, 248, 225–231. [Google Scholar] [CrossRef]
- Kudur Jayaprakash, G.; Swamy, B.K.; Casillas, N.; Flores-Moreno, R. Analytical Fukui and cyclic voltammetric studies on ferrocene modified carbon electrodes and effect of Triton X-100 by immobilization method. Electrochim. Acta 2017, 258, 1025–1034. [Google Scholar] [CrossRef]
- Hirshfeld, F.L. Bonded-atom fragments for describing molecular charge densities. Theor. Chim. Acta 1977, 44, 129–138. [Google Scholar] [CrossRef]
- Kudur Jayaprakash, G.; Casillas, N.; Astudillo-Sánchez, P.D.; Flores-Moreno, R. Role of Defects on Regioselectivity of Nano Pristine Graphene. J. Phys. Chem. A 2016, 120, 9101–9108. [Google Scholar] [CrossRef] [PubMed]
- Zhan, K.; Ejima, H.; Yoshie, N. Antioxidant and Adsorption Properties of Bioinspired Phenolic Polymers: A Comparative Study of Catechol and Gallol. Acs Sustain. Chem. Eng. 2016, 4, 3857–3863. [Google Scholar] [CrossRef]
- Nenadis, N.; Wang, L.F.; Tsimidou, M.; Zhang, H.Y. Estimation of Scavenging Activity of Phenolic Compounds Using the ABTS•+ Assay. J. Agric. Food Chem. 2004, 52, 4669–4674. [Google Scholar] [CrossRef] [PubMed]
- Govindarajan, R.; Rastogi, S.; Vijayakumar, M.; Shirwaikar, A.; Rawat, A.K.S.; Mehrotra, S.; Pushpangadan, P. Studies on the Antioxidant Activities of Desmodium gangeticum. Biol. Pharm. Bull. 2003, 26, 1424–1427. [Google Scholar] [CrossRef] [PubMed]
- Wang, L.; Zhao, H.; He, D.; Wu, Y.; Jin, L.; Li, G.; Su, N.; Li, H.; Xing, X.H. Insights into the molecular-level effects of atmospheric and room-temperature plasma on mononucleotides and single-stranded homo-and hetero-oligonucleotides. Sci. Rep. 2020, 10, 14298. [Google Scholar] [CrossRef] [PubMed]
- Spiegel, M.; Kapusta, K.; Kołodziejczyk, W.; Saloni, J.; Żbikowska, B.; Hill, G.A.; Sroka, Z. Antioxidant Activity of Selected Phenolic Acids–Ferric Reducing Antioxidant Power Assay and QSAR Analysis of the Structural Features. Molecules 2020, 25, 3088. [Google Scholar] [CrossRef] [PubMed]
- Chen, J.; Yang, J.; Ma, L.; Li, J.; Shahzad, N.; Kim, C.K. Structure-antioxidant activity relationship of methoxy, phenolic hydroxyl, and carboxylic acid groups of phenolic acids. Sci. Rep. 2020, 10, 2611. [Google Scholar] [CrossRef] [PubMed]





| Model | IP (Vacuum) eV | IP (Solvent) eV | EA (Vacuum) eV | EA (Solvent) eV | (Vacuum) eV | (Solvent) eV | S (Vacuum) eV | S (Solvent) eV |
|---|---|---|---|---|---|---|---|---|
| Catechol | 5.124 | 6.022 | 0.964 | 0.267 | 2.080 | 2.875 | 0.240 | 0.173 |
| Resorcinol | 5.271 | 6.171 | 0.952 | 0.298 | 2.159 | 2.936 | 0.231 | 0.170 |
| Hydroquinone | 4.901 | 5.795 | 1.225 | 0.517 | 1.838 | 2.639 | 0.272 | 0.189 |
| Model | C1 | C2 | C3 | C4 | B | C6 |
|---|---|---|---|---|---|---|
| Catechol | 0.0561 | −0.0589 | −0.0546 | −0.0581 | −0.0713 | 0.0468 |
| Resorcinol | 0.0722 | −0.0844 | −0.0445 | −0.0845 | 0.0716 | −0.0772 |
| Hydroquinone | 0.0574 | −0.0685 | −0.0689 | 0.0576 | −0.0561 | −0.0544 |
| Compound Name | Varying Concentration of Dihydroxy Benzenes for Determining Free Radical Scavenging Activity (%) | IC | ||||
|---|---|---|---|---|---|---|
| 20 | 40 | 60 | 80 | 100 | ||
| Catechol | 47.55 ± 0.005 | 52.40 ± 0.006 | 55.74 ± 0.009 | 62.22 ± 0.009 | 65.54 ± 0.008 | 12.42 |
| Resorcinol | 24.59 ± 0.005 | 27.87 ± 0.006 | 32.79 ± 0.008 | 36.06 ± 0.007 | 44.27 ± 0.005 | 17.67 |
| Hydroquinone | 60.66 ± 0.005 | 62.30 ± 0.006 | 63.90 ± 0.007 | 65.50 ± 0.005 | 68.85 ± 0.005 | 10.96 |
| Ascorbic acid | 81.96 ± 0.005 | 85.27 ± 0.005 | 88.52 ± 0.005 | 90.16 ± 0.006 | 96.72 ± 0.005 | 6.34 |
Disclaimer/Publisher’s Note: The statements, opinions and data contained in all publications are solely those of the individual author(s) and contributor(s) and not of MDPI and/or the editor(s). MDPI and/or the editor(s) disclaim responsibility for any injury to people or property resulting from any ideas, methods, instructions or products referred to in the content. |
© 2023 by the authors. Licensee MDPI, Basel, Switzerland. This article is an open access article distributed under the terms and conditions of the Creative Commons Attribution (CC BY) license (https://creativecommons.org/licenses/by/4.0/).
Share and Cite
Chauhan, P.; Jayaprakash, G.K.; Soni, I.; Sharma, M.; Mojica-Sànchez, J.P.; Rajendrachari, S.; Naik, P. Understanding Antioxidant Abilities of Dihydroxybenzenes: Local and Global Electron Transfer Properties. Computation 2023, 11, 88. https://doi.org/10.3390/computation11050088
Chauhan P, Jayaprakash GK, Soni I, Sharma M, Mojica-Sànchez JP, Rajendrachari S, Naik P. Understanding Antioxidant Abilities of Dihydroxybenzenes: Local and Global Electron Transfer Properties. Computation. 2023; 11(5):88. https://doi.org/10.3390/computation11050088
Chicago/Turabian StyleChauhan, Priyanka, Gururaj Kudur Jayaprakash, Isha Soni, Mamta Sharma, Juan Pablo Mojica-Sànchez, Shashanka Rajendrachari, and Praveen Naik. 2023. "Understanding Antioxidant Abilities of Dihydroxybenzenes: Local and Global Electron Transfer Properties" Computation 11, no. 5: 88. https://doi.org/10.3390/computation11050088
APA StyleChauhan, P., Jayaprakash, G. K., Soni, I., Sharma, M., Mojica-Sànchez, J. P., Rajendrachari, S., & Naik, P. (2023). Understanding Antioxidant Abilities of Dihydroxybenzenes: Local and Global Electron Transfer Properties. Computation, 11(5), 88. https://doi.org/10.3390/computation11050088

