Optimization of the Mashaer Shuttle-Bus Service in Hajj: Arafat-Muzdalifah Case Study
Abstract
:1. Introduction
2. Literature Review
2.1. Bus GPS Applications
2.2. Shuttle Bus GPS Applications
3. Model Development
3.1. Setting
- = The length of one cycle at office i
- = The average pick-up time at the office i in Arafat
- = The average travel time on the link between Arafat and Muzdalifah
- = The average drop-off time at office i in Muzdalifah
- = The average travel time on the returning link between Muzdalifah and Arafat
- = The number of buses can be assigned to office i during one cycle
- = The total number of pre-specified buses in the Establishment
- = The total number of pilgrims waiting for shuttle buses at the Arafat office stop i
- = The bus seat capacity
- = The time gap between the departure of one bus and arrival of another at the stop
- = The total number of cycles required for an office i to transfer all its pilgrims to Muzdalifah
3.2. Formulation
- = The overall service time of the Establishment
- = The number of buses required in the last cycle in any office i
3.3. Optimization
4. Numerical Analysis
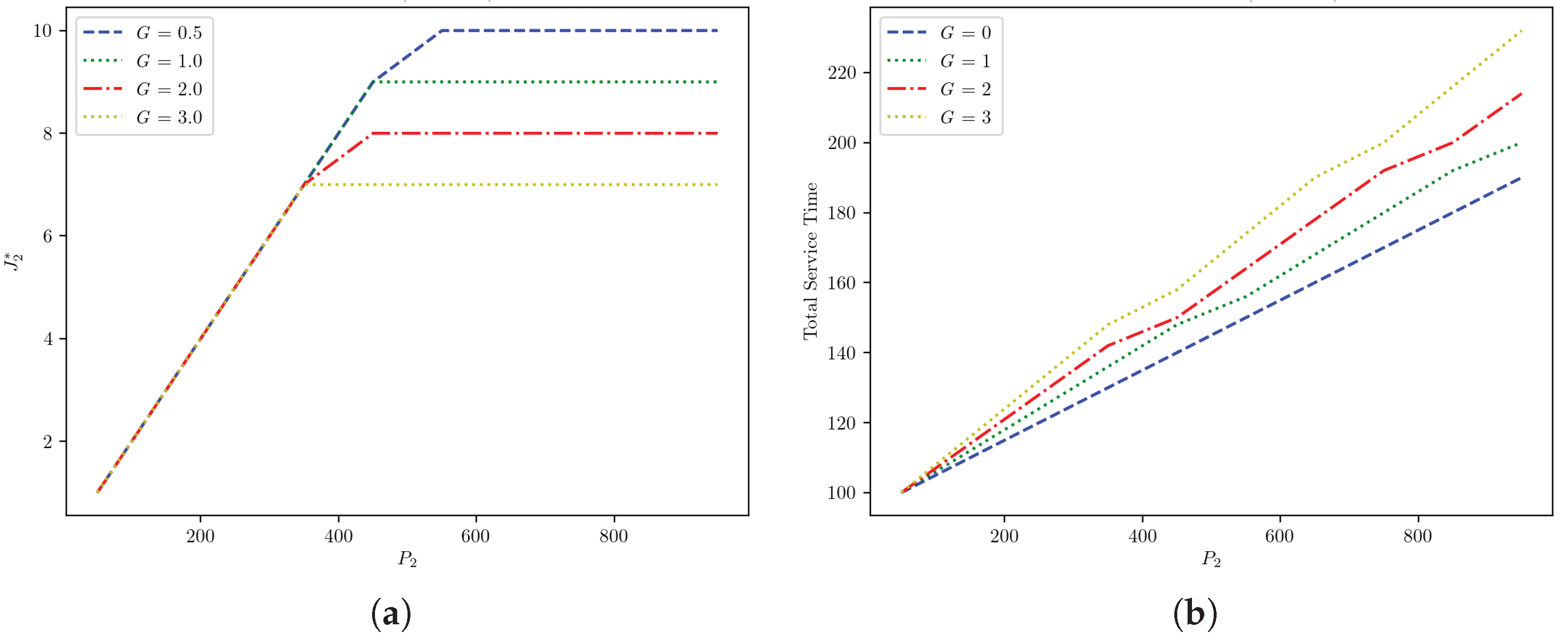
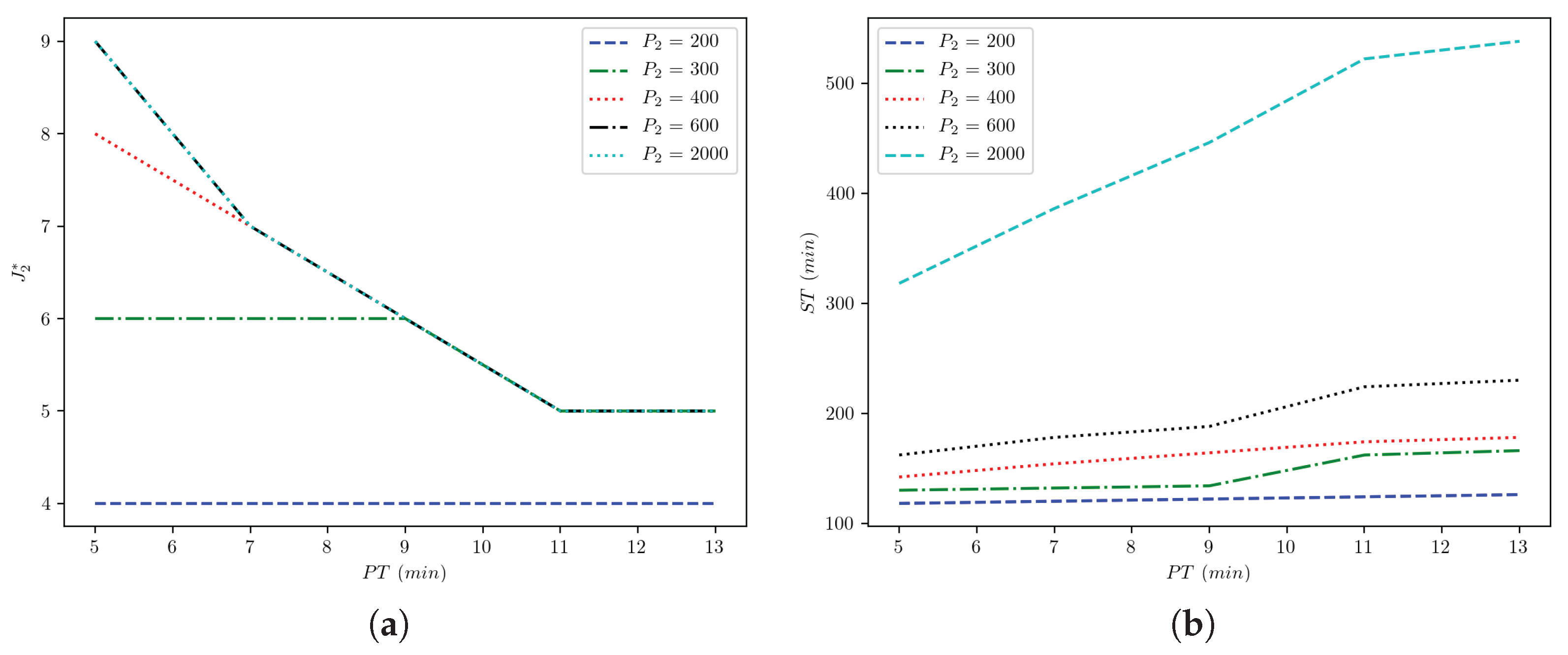
4.1. Sensitivity Analysis
4.2. Case Study
4.2.1. Data Collection
4.2.2. Data Management
4.2.3. Data Enrichment
4.2.4. Knowledge Extraction
4.2.5. Model Evaluation
5. Conclusions
Author Contributions
Funding
Institutional Review Board Statement
Informed Consent Statement
Data Availability Statement
Acknowledgments
Conflicts of Interest
References
- Felemban, E.; Rehman, F.U.; Biabani, A.A.; Naseer, A.; Hussain, O.; Warriach, E.U. An Interactive System for Analyzing Movement of Buses in Hajj. J. Theor. Appl. Inf. Technol. 2020, 98, 3468–3481. [Google Scholar]
- Felemban, E.; Rehman, F.U.; Biabani, A.A.; Naseer, A.; AlAbdulwahab, U. Towards Building an Interactive Platform for Analyzing Movement of Buses in Hajj. In Proceedings of the IEEE International Conference on Big Data (Big Data), Los Angeles, CA, USA, 9–12 December 2019; pp. 3775–3778. [Google Scholar] [CrossRef]
- Kumar, G.K.; Aishwarya, C.; Mounika, A.S. College Bus Tracking Android Application using GPS. Int. J. New Innov. Eng. Technol. 2016, 4, 40–44. [Google Scholar]
- Bie, Y.; Gong, X.; Liu, Z. Time of day intervals partition for bus schedule using GPS data. Transp. Res. Part C Emerg. Technol. 2015, 60, 443–456. [Google Scholar] [CrossRef]
- Fan, W.; Gurmu, Z. Dynamic Travel Time Prediction Models for Buses Using Only GPS Data. Int. J. Transp. Sci. Technol. 2015, 4, 353–366. [Google Scholar] [CrossRef]
- Chang, H.; Park, D.; Lee, S.; Lee, H.; Baek, S. Dynamic multi-interval bus travel time prediction using bus transit data. Transportmetrica 2010, 6, 19–38. [Google Scholar] [CrossRef]
- Zhang, M.; Xiao, F.; Chen, D. Bus Arrival Time Prediction Based on GPS Data. In Proceedings of the 4th International Conference on Transportation Engineering, ICTE 2013, Chengdu, China, 19–20 October 2013; pp. 1470–1475. [Google Scholar] [CrossRef]
- Bie, Y.; Wang, D.; Qi, H. Prediction model of bus arrival time at signalized intersection using GPS data. J. Transp. Eng. 2012, 138, 12–20. [Google Scholar] [CrossRef]
- Stoll, N.B.; Glick, T.; Figliozzi, M.A. Using high-resolution bus GPS data to visualize and identify congestion hot spots in urban arterials. Transp. Res. Rec. 2016, 2539, 20–29. [Google Scholar] [CrossRef] [Green Version]
- Zeng, W.; Miwa, T.; Morikawa, T. Exploring trip fuel consumption by machine learning from GPS and CAN bus data. J. East. Asia Soc. Transp. Stud. 2015, 11, 906–921. [Google Scholar]
- Weng, J.; Wang, C.; Huang, H.; Wang, Y.; Zhang, L. Real-time bus travel speed estimation model based on bus GPS data. Adv. Mech. Eng. 2016, 8, 1687814016678162. [Google Scholar] [CrossRef] [Green Version]
- Stoll, N.B. Potential of Using High Resolution Bus GPS Data to Assess Traffic Speeds. 26; Civil and Environmental Engineering Master’s Project Reports; 2016; Available online: https://pdxscholar.library.pdx.edu/cengin_gradprojects/26/ (accessed on 22 November 2021).
- Chen, C.; Zhang, D.; Zhou, Z.H.; Li, N.; Atmaca, T.; Li, S. B-planner: Night bus route planning using large-scale taxi GPS traces. In Proceedings of the IEEE International Conference on Pervasive Computing and Communications, PerCom 2013, San Diego, CA, USA, 18–22 March 2013; pp. 225–233. [Google Scholar] [CrossRef] [Green Version]
- Lei, S.; Li, Z.; Wu, B.; Wang, H. Research on multi-objective bus route planning model based on taxi GPS data. In Proceedings of the International Conference on Cyber-Enabled Distributed Computing and Knowledge Discovery (CyberC), Chengdu, China, 13–15 October 2016; pp. 249–255. [Google Scholar]
- Zhou, P.; Zheng, Y.; Li, M. How long to wait? Predicting bus arrival time with mobile phone based participatory sensing. In Proceedings of the 10th International Conference on Mobile Systems, Applications, and Services, Ambleside, UK, 25–29 June 2012; pp. 379–392. [Google Scholar]
- Noor, R.M.; Rasyidi, N.B.G.; Nandy, T.; Kolandaisamy, R. Campus Shuttle Bus Route Optimization Using Machine Learning Predictive Analysis: A Case Study. Sustainability 2021, 13, 225. [Google Scholar] [CrossRef]
- Ali, S.; Qureshi, A.; Gupta, R.K. Genetic Algorithm based Optimization of Travel Time from Source to Destination. In Proceedings of the 7th International Conference on Reliability, Infocom Technologies and Optimization (Trends and Future Directions) (ICRITO), Noida, India, 29–31 August 2018; pp. 893–901. [Google Scholar] [CrossRef]
- Pholprasit, T.; Pongnumkul, S.; Saiprasert, C.; Mangkorn-ngam, S.; Jaritsup, L. LiveBusTrack: High-frequency location update information system for shuttle/bus riders. In Proceedings of the 13th International Symposium on Communications and Information Technologies (ISCIT), Surat Thani, Thailand, 4–6 September 2013; pp. 565–569. [Google Scholar]
- Juhari, M.N.Z.; Mansor, H. IIUM Bus On Campus Monitoring System. In Proceedings of the International Conference on Computer and Communication Engineering (ICCCE), Kuala Lumpur, Malaysia, 26–27 July 2016; pp. 138–143. [Google Scholar]
- Chit, S.M.; Chaw, L.Y.; Thong, C.L.; Lee, C.Y. A pilot study: Shuttle bus tracker app for campus users. In Proceedings of the International Conference on Research and Innovation in Information Systems (ICRIIS), Langkawi, Malaysia, 16–17 July 2017; pp. 1–6. [Google Scholar]
- Kong, X.; Li, M.; Tang, T.; Tian, K.; Moreira-Matias, L.; Xia, F. Shared subway shuttle bus route planning based on transport data analytics. IEEE Trans. Autom. Sci. Eng. 2018, 15, 1507–1520. [Google Scholar] [CrossRef]
- Liu, Y.; Jia, G.; Tao, X.; Xu, X.; Dou, W. A stop planning method over big traffic data for airport shuttle bus. In Proceedings of the IEEE Fourth International Conference on Big Data and Cloud Computing, Sydney, Australia, 3–5 December 2014; pp. 63–70. [Google Scholar]
- Low, B.Y.; Dahlan, S.H.; Abd Wahab, M.H. Real-time bus location and arrival information system. In Proceedings of the IEEE Conference on Wireless Sensors (ICWiSE), Langkawi, Malaysia, 10–12 October 2016; pp. 50–53. [Google Scholar]
- Martinez, M.V.; Simari, G.I.; Castillo, C.D.; Peer, N.J. A GPS-Based On-Demand Shuttle Bus System; Technical Report; Department of Computer Science, University of Maryland: College Park, MD, USA, 2006. [Google Scholar]
- Abas, M.A.; Ardani, I.; Mohamad, M.; Ling, C.H.; Latif, S.; Mohamad, S.; Halim, M. The efficiency of electric bus shuttle services in UTM campus: A pilot study. AIP Conf. Proc. 2019, 2059, 020028. [Google Scholar] [CrossRef]
- Balsa-Barreiro, J.; Ambuühl, L.; Menéndez, M.; Pentland, A. Mapping Time-Varying Accessibility and Territorial Cohesion with Time-Distorted Maps. IEEE Access 2019, 7, 41702–41714. [Google Scholar] [CrossRef]
- Iclodean, C.; Cordos, N.; Varga, B.O. Autonomous Shuttle Bus for Public Transportation: A Review. Energies 2020, 13, 2917. [Google Scholar] [CrossRef]
- Abdessemed, F. An integrated system for tracking and control pilgrims shuttle buses. In Proceedings of the 14th International IEEE Conference on Intelligent Transportation Systems (ITSC), Washington, DC, USA, 5–7 October 2011; pp. 384–389. [Google Scholar]
- Seliaman, M.E. A Simulation Model for the Shuttle Bus Traffic during Nafrah Period. Ph.D. Thesis, King Fahd University of Petroleum and Minerals, Dhahran, Saudi Arabia, 2001. [Google Scholar]
- Andijani, A.; Duffuaa, S.; Seliaman, M. The Use of Shuttle Buses in Hajj to Transport Pilgrims: A Simulation Study. In Proceedings of the Seventh ISSAT International Conference on Reliability and Quality in Design, Las Vegas, NV, USA, 1–3 August 2001. [Google Scholar]
- Seliaman, M.; Duffuaa, S.; Andijani, A. AStochastic Simulation Model for the Design of a Shuttle Bus System to Transport Pilgrims in Hajj; Researchgate: Berlin, Germany, 2013. [Google Scholar]
- Al-Sabban, S.A.; Ramadan, H.M. A Simulation study of the shuttle-bus pilgrim transportation system between the Holy sites for the 1422H Hajj Season. Eng. Sci. 2005, 16, 22. [Google Scholar] [CrossRef] [Green Version]
- Ramadan, H.M.; Al-Sabban, S.A. Performance Analysis of the New Shuttle-bus Pilgrim Transportation System for the Pilgrims of South East Asia in the 1424 Hajj Season Using Computer Simulation Models. J. King Saud Univ. Eng. Sci. 2007, 19, 1427. [Google Scholar]
- Montero Villar, G.; Lindblad, D.; Andersson, N. Multi-Objective Optimization of an Counter Rotating Open Rotor using Evolutionary Algorithms. In Proceedings of the Multidisciplinary Analysis and Optimization Conference, Volterra, Italy, 13–16 September 2018. [Google Scholar]
- Montero Villar, G.; Lindblad, D.; Andersson, N. Effect of Airfoil Parametrization on the Optimization of Counter Rotating Open Rotors. In Proceedings of the AIAA Scitech 2019 Forum, San Diego, CA, USA, 7–11 January 2019. [Google Scholar]











| ID | Bus ID | Comp ID | Angle | Lat | Long | 
| 409717755 | 144621610 | 28 | 20 | 21.3530 | 39.9903 | 
| 409717756 | 14621610 | 28 | 0 | 21.3688 | 39.9583 | 
| 409717759 | 164621610 | 30 | 0 | 24.4624 | 39.6169 | 
| GSM | GPS | Ignition | Movement | Speed | Record-Time | 
| 3 | 2 | ON | 1 | 50 | 20/08/2018 19:36:44 | 
| 3 | 2 | ON | 0 | 0 | 20/08/2018 19:36:44 | 
| 3 | 2 | OFF | 0 | 0 | 20/08/2018 19:36:44 | 
| Office ID | G | |||||||
|---|---|---|---|---|---|---|---|---|
| 1 | 3224 | 31.9 | 25.9 | 5.5 | 2.9 | 0.5 | 15 | 4.3 | 
| 2 | 3016 | 31.9 | 25.9 | 5.5 | 2.9 | 0.5 | 15 | 4 | 
| 3 | 2817 | 31.9 | 25.9 | 5.5 | 2.9 | 0.5 | 15 | 3.7 | 
| Publisher’s Note: MDPI stays neutral with regard to jurisdictional claims in published maps and institutional affiliations. | 
© 2021 by the authors. Licensee MDPI, Basel, Switzerland. This article is an open access article distributed under the terms and conditions of the Creative Commons Attribution (CC BY) license (https://creativecommons.org/licenses/by/4.0/).
Share and Cite
Hussain, O.; Felemban, E.; Rehman, F.U. Optimization of the Mashaer Shuttle-Bus Service in Hajj: Arafat-Muzdalifah Case Study. Information 2021, 12, 496. https://doi.org/10.3390/info12120496
Hussain O, Felemban E, Rehman FU. Optimization of the Mashaer Shuttle-Bus Service in Hajj: Arafat-Muzdalifah Case Study. Information. 2021; 12(12):496. https://doi.org/10.3390/info12120496
Chicago/Turabian StyleHussain, Omar, Emad Felemban, and Faizan Ur Rehman. 2021. "Optimization of the Mashaer Shuttle-Bus Service in Hajj: Arafat-Muzdalifah Case Study" Information 12, no. 12: 496. https://doi.org/10.3390/info12120496
APA StyleHussain, O., Felemban, E., & Rehman, F. U. (2021). Optimization of the Mashaer Shuttle-Bus Service in Hajj: Arafat-Muzdalifah Case Study. Information, 12(12), 496. https://doi.org/10.3390/info12120496
 
         
                                                

 
       