Palm Date Leaf Clipping: A New Method to Reduce PAPR in OFDM Systems
Abstract
1. Introduction
2. OFDM Systems and PAPR
3. Clipping Methods
4. Analysis and Description of the Proposed Palm Clipping Method
Palm Clipping Function
5. Simulation Results
5.1. PAPR Performances
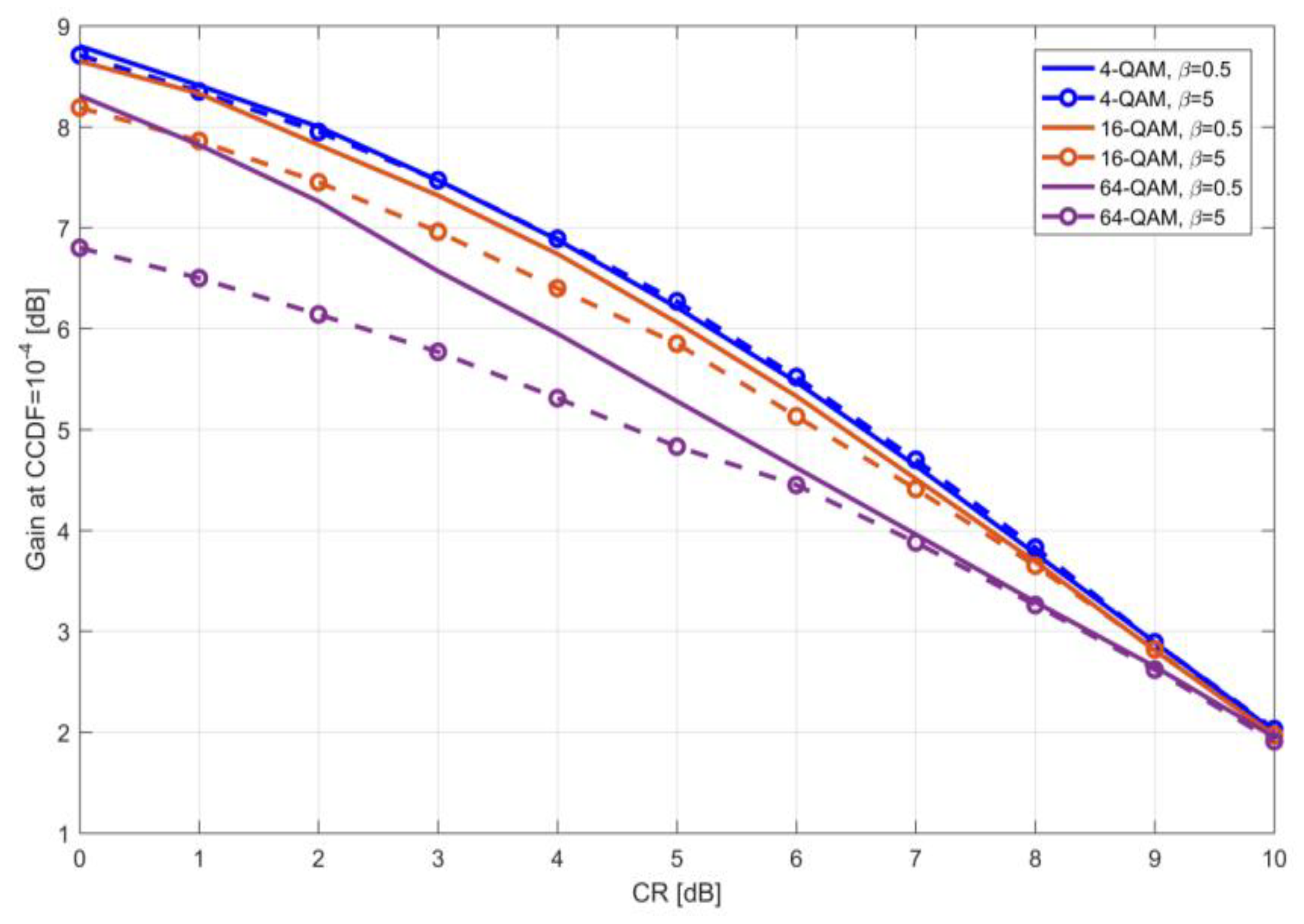
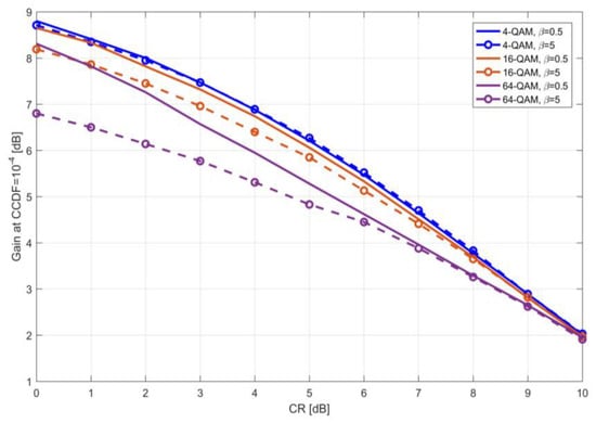
5.1.1. PC-OFDM PAPR with Variable Smoothness Parameter
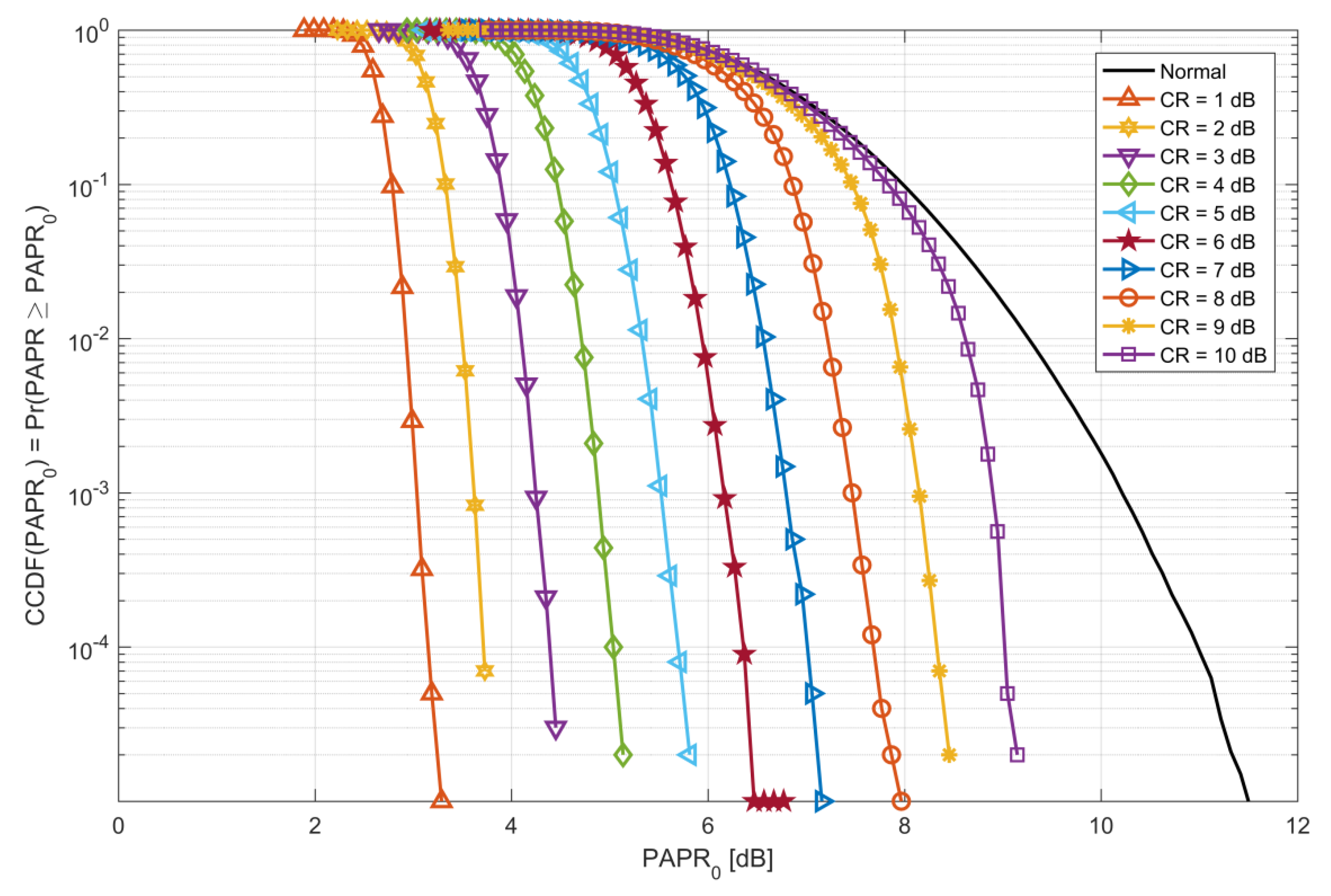
5.1.2. PAPR Performance with Variable CR
5.2. BER Performances
5.3. Comparative Study
5.3.1. PAPR Comparison with PTS Variants
- w = 4 (Phase rotation factors {+1, −1, −j, +j});
- V = 8 (Sub-blocks number);
- P = 30 (Genetic algorithm: population size);
- I = 40 (Genetic algorithms: number of generations or iterations).
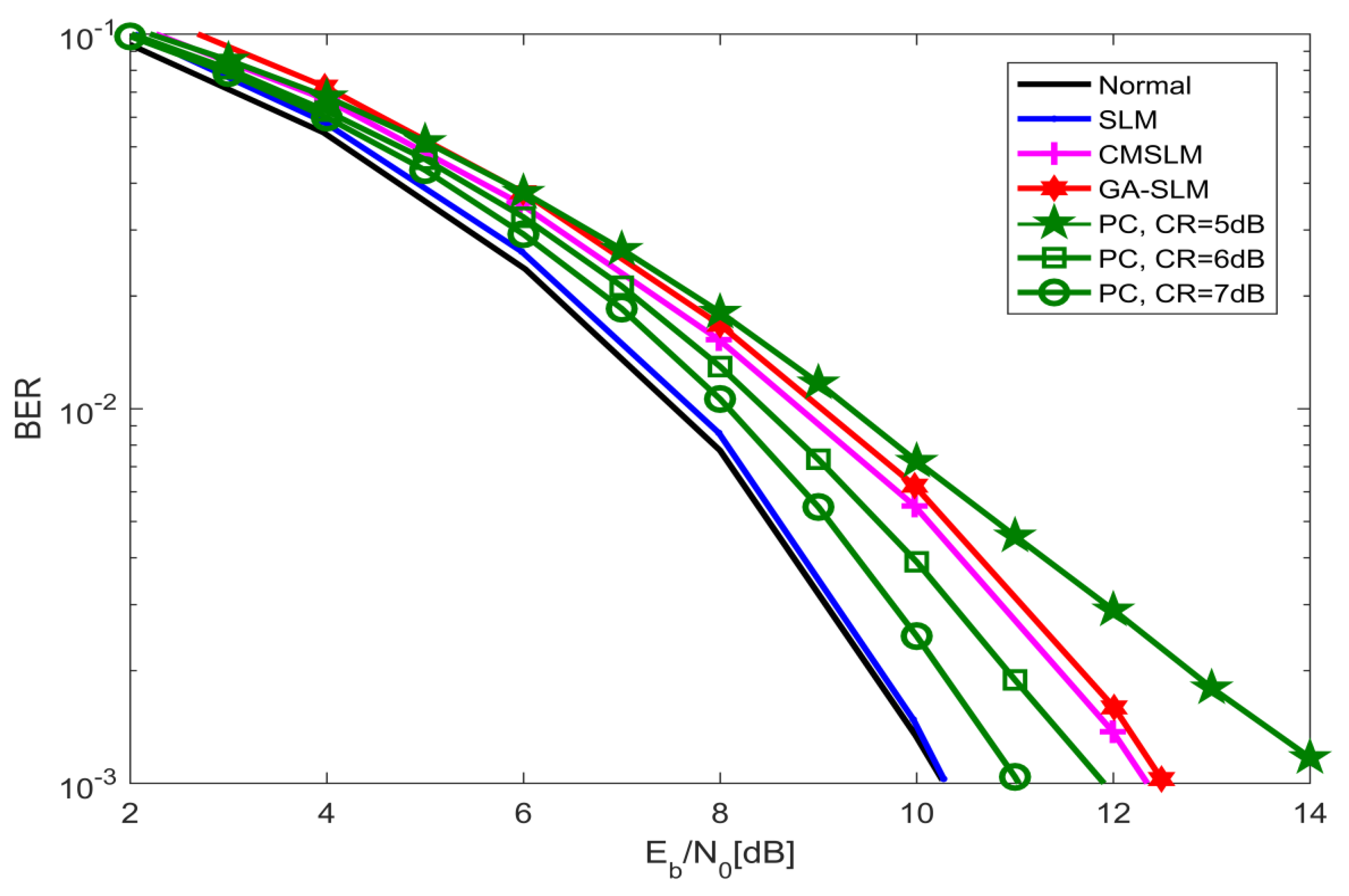
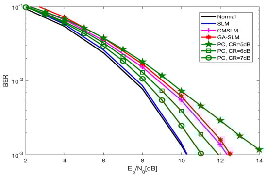
5.3.2. PAPR and BER Comparison with SLM Variants
- w = 4 (Phase rotation factors {+1, −1, −j, +j});
- M = 32 (Sub-blocks number);
- D = 32 (Genetic algorithms: population size);
- I = 30 (Genetic algorithms: number of generations or iterations).
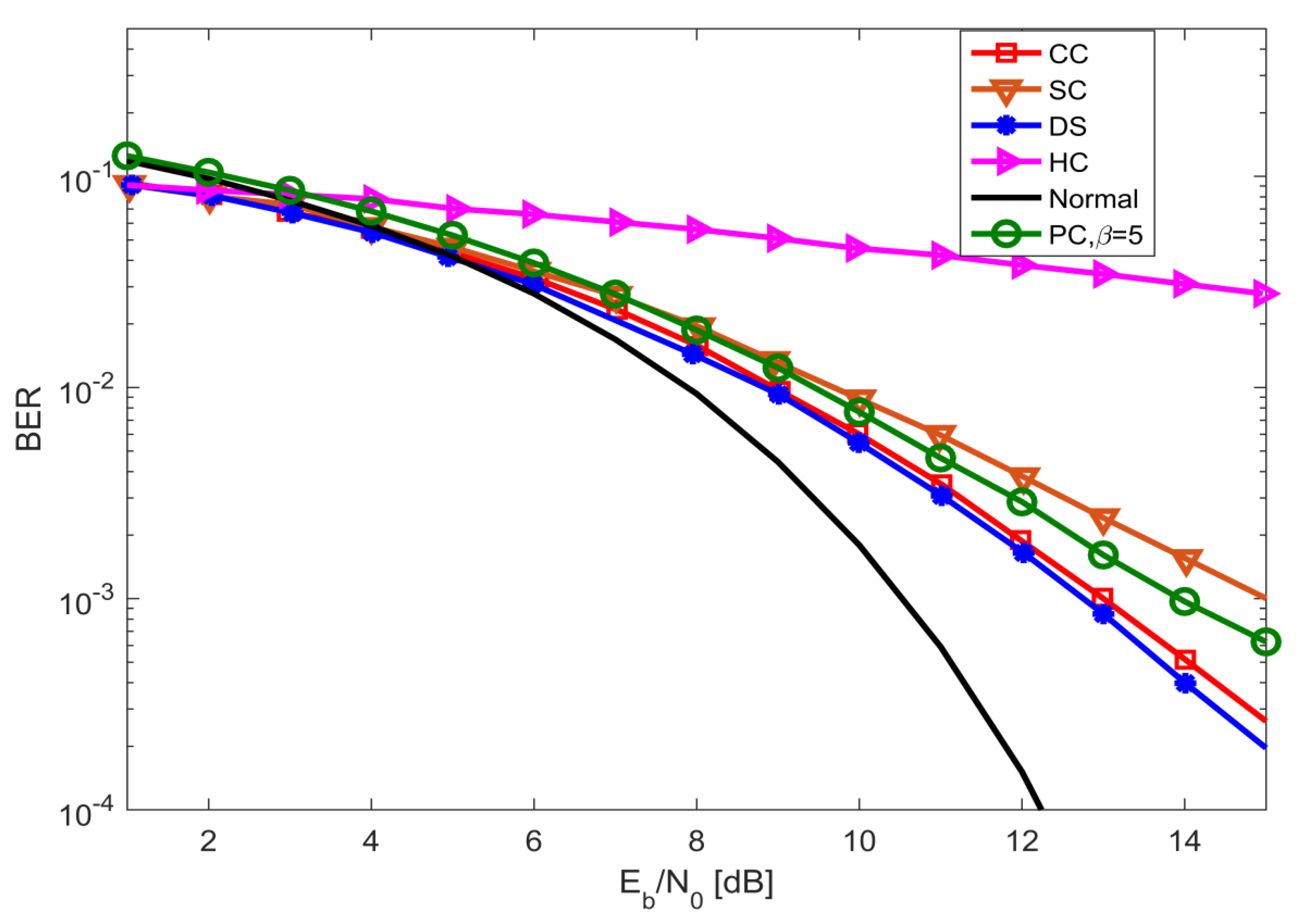
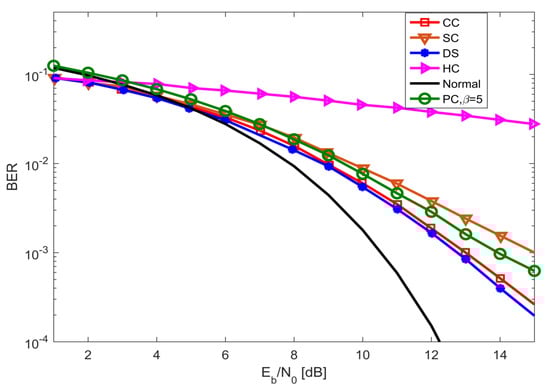
5.3.3. Comparison with other Clipping Techniques Using HPA
5.3.4. Comparison with other Methods
- Destruction (degradation): measures the effect of the method to degrade the BER performance;
- Side information: the additional information needed to ensure the recovery of the signal;
- Iteration: the number of iterations needed to achieve the best PAPR;
- Probabilistic: degree of belief for the method to find its best value to reduce the PARP.
6. Conclusions
Author Contributions
Funding
Acknowledgments
Conflicts of Interest
References
- Liu, L.; Zhao, H.; Li, M.; Zhou, L.; Jin, J.; Zhang, J.; Lv, Z.; Ren, H.; Mao, J. Modelling and Simulation of Pseudo-Noise Sequence-Based Underwater Acoustic OSDM Communication System. Appl. Sci. 2019, 9, 2063. [Google Scholar] [CrossRef]
- Ahmed, R.; Schaich, F.; Wild, T. OFDM Enhancements for 5G Based on Filtering and Windowing. In Multiple Access Techniques for 5G Wireless Networks and Beyond; Springer: Berlin/Heidelberg, Germany, 2019; pp. 39–61. [Google Scholar]
- Imran, M.; Hassan, A.; Khan, A.A. 5G Waveform Competition: Performance Comparison and Analysis of OFDM and FBMC in Slow Fading and Fast Fading Channels. In Proceedings of the Future of Information and Communication Conference, San Francisco, CA, USA, 14–15 November 2019; pp. 51–67. [Google Scholar]
- Kumari, N.; Kaur, S. A Survey on Various PAPR Reduction Techniques in OFDM Communication Systems. Int. Res. J. Eng. Technol. 2015, 2, 24–28. [Google Scholar]
- Jiang, T.; Wu, Y. An overview: Peak-to-average power ratio reduction techniques for OFDM signals. IEEE Trans. Broadcast. 2008, 54, 257–268. [Google Scholar] [CrossRef]
- Prasad, S.; Jayabalan, R. PAPR Reduction in OFDM Systems Using Modified SLM with Different Phase Sequences. Wirel. Pers. Commun. 2020, 110, 913–929. [Google Scholar] [CrossRef]
- Deng, S.K.; Lin, M.C.; Urban, J.; Marsalek, R.; Mounir, M.; Youssef, M.I.; Tarrad, I.F.; Cheng, Y.; Zhang, J.; Zhang, J.; et al. A new PAPR reduction method based on clipping technique using compressive sensing. In Proceedings of the 10th International Symposium on Communication Systems, Networks and Digital Signal Processing (CSNDSP), Prague, Czech Republic, 20–22 July 2016; Volume 23, pp. 1–5. [Google Scholar]
- Sohn, I. New SLM scheme to reduce the PAPR of OFDM signals using a genetic algorithm. ICT Express 2016, 2, 63–66. [Google Scholar] [CrossRef][Green Version]
- Xia, Y.; Ji, J. Low-Complexity Blind Selected Mapping Scheme for Peak-to-Average Power Ratio Reduction in Orthogonal Frequency-Division Multiplexing Systems. Information 2018, 9, 220. [Google Scholar] [CrossRef]
- Luo, R.; Li, R.; Dang, Y.; Yang, J.; Liu, W. Two improved SLM methods for PAPR and BER reduction in OFDM-ROF systems. Opt. Fiber Technol. 2015, 21, 26–33. [Google Scholar] [CrossRef]
- Bäuml, R.W.; Fischer, R.F.H.; Huber, J.B. Reducing the peak-to-average power ratio of multicarrier modulation by selected mapping. Electron. Lett. 1996, 32, 2056–2057. [Google Scholar] [CrossRef]
- Sudha, V.; Anilkumar, B.; Sriramkumar, D. Low-complexity modified SLM method for PAPR reduction in OFDM systems. In Proceedings of the 2nd International Conference on Electronics and Communication Systems (ICECS), Coimbatore, India, 26–27 February 2015; pp. 1324–1328. [Google Scholar]
- Jawhar, Y.A.; Audah, L.; Taher, M.A.; Ramli, K.N.; Shah, N.S.M.; Musa, M.; Ahmed, M.S. A Review of Partial Transmit Sequence for PAPR Reduction in the OFDM Systems. IEEE Access 2019, 7, 18021–18041. [Google Scholar] [CrossRef]
- Cimini, L.J.; Sollenberger, N.R. Peak-to-average power ratio reduction of an OFDM signal using Partial Transmit Sequences with embedded side information. In Proceedings of the Conference Record/IEEE Global Telecommunications Conference, San Francisco, CA, USA, 27 November–1 December 2000; Volume 2, pp. 746–750. [Google Scholar]
- Sharif, A.A.; Hosseinzadeh Aghdam, M. A novel hybrid genetic algorithm to reduce the peak-to-average power ratio of OFDM signals. Comput. Electr. Eng. 2019, 80, 106498. [Google Scholar] [CrossRef]
- Hosseinzadeh Aghdam, M.; Sharifi, A.A. PAPR reduction in OFDM systems: An efficient PTS approach based on particle swarm optimization. ICT Express 2019, 5, 178–181. [Google Scholar] [CrossRef]
- Vittal, M.V.R.; Naidu, K.R. A novel reduced complexity optimized PTS technique for PAPR reduction in wireless OFDM systems. Egypt. Inform. J. 2017, 18, 123–131. [Google Scholar] [CrossRef][Green Version]
- Wang, W.; Hu, M.; Li, Y.; Zhang, H. A Low-Complexity Tone Injection Scheme Based on Distortion Signals for PAPR Reduction in OFDM Systems. IEEE Trans. Broadcast. 2016, 62, 948–956. [Google Scholar] [CrossRef]
- Li, H.; Jiang, T.; Zhou, Y. An improved tone reservation scheme with fast convergence for PAPR reduction in OFDM systems. IEEE Trans. Broadcast. 2011, 57, 902–906. [Google Scholar] [CrossRef]
- Shakeel, I.; Grant, A. Joint Error Correction and PAPR Reduction of OFDM Signals. In Proceedings of the 2006 IEEE Information Theory Workshop—ITW’06, Punta del Este, Uruguay, 22–26 October 2006; pp. 611–615. [Google Scholar]
- Sharma, A.; Salim, M. Polar Code: The Channel Code contender for 5G scenarios. In Proceedings of the 2017 International Conference on Computer, Communications and Electronics (Comptelix), Jaipur, India, 1–2 July 2017; pp. 676–682. [Google Scholar]
- Koudougnon, H.; Chana, I.; Belkasmi, M. Combined coding and companding to reduce both PAPR and BER in OFDM systems. Int. J. Comput. Sci. Issues 2012, 9, 195–201. [Google Scholar]
- Koudougnon, H.; Chana, I.; Saadane, R.; Belkasmi, M. PAPR reduction using block coding combined with companding. In Proceedings of the 5th International Symposium on I/V Communications and Mobile Networks ISIVC 2010, Rabat, Morocco, 30 September–2 October 2010; pp. 1–4. [Google Scholar]
- Suma, M.N.; Sonna, K.; Kanmani, B. PAPR Reduction using SLM and Companding Technique. IJCA Spec. Issue Int. Conf. Electron. Des. Signal. Process. 2013, 2, 19–23. [Google Scholar]
- Aziz, W.; Ahmed, E.; Abbas, G.; Saleem, S.; Islam, Q. PAPR Reduction in OFDM using Clipping and Filtering. World Appl. Sci. J. 2012, 18, 1495–1500. [Google Scholar]
- Li, X.; Cimini, L.J. Effects of clipping and filtering on the performance of OFDM. IEEE Commun. Lett. 1998, 2, 131–133. [Google Scholar]
- Boonsrimuang, P.; Puttawong, E.; Kobayashi, H.; Paungma, T. Reduction Using Smooth Clipping in OFDM System. In Proceedings of the 3rd Information and Computer Engineering Postgraduate Workshop (ICEP 2003), Songkhla, Thailand, 30–31 January 2003; pp. 158–161. [Google Scholar]
- Qian, H.; Raich, R.; Zhou, G.T. On the benefits of deliberately introduced baseband nonlinearities in communication systems. In Proceedings of the ICASSP IEEE International Conference on Acoustics, Speech and Signal Processing, Montreal, QC, Canada, 17–21 May 2004; Volume 2, p. ii-905. [Google Scholar]
- Kimura, S.; Nakamura, T.; Saito, M.; Okada, M. PAPR reduction for OFDM signals based on deep clipping. In Proceedings of the 3rd International Symposium on Communications, Control and Signal Processing, St. Julian’s, Malta, 12–14 March 2008; pp. 911–916. [Google Scholar]
- Bakkas, B.; Chana, I.; Ben-Azza, H. PAPR reduction in MIMO-OFDM based on polar codes and companding technique. In Proceedings of the 2019 International Conference on Advanced Communication Technologies and Networking, CommNet 2019, Rabat, Morocco, 12–14 April 2019. [Google Scholar]
- Jangalwa, M.; Tokekar, V. Performance analysis of Selective Mapping and clipping based multicarrier-CDMA system with and without MIMO technique. AEU Int. J. Electron. Commun. 2019, 101, 62–68. [Google Scholar] [CrossRef]
- Gupta, A.; Bhadauria, S.S. A Hybrid PAPR Reduction Scheme Using Selective Mapping and Amplitude Clipping. Int. J. Emerg. Trends Sci. Technol. 2015, 2, 2073–2077. [Google Scholar]
- Tang, B.; Qin, K.; Chen, C.; Cao, Y. A Novel Clipping-Based Method to Reduce Peak-to-Average Power Ratio of OFDM Signals. Information 2020, 11, 113. [Google Scholar] [CrossRef]
- Lain, J.-K.; Wu, S.-Y.; Yang, P.-H. PAPR reduction of OFDM signals using PTS: A real-valued genetic approach. EURASIP J. Wirel. Commun. Netw. 2011, 2011, 126. [Google Scholar] [CrossRef]
- Kim, M.; Lee, W.; Cho, D.H. A novel PAPR reduction scheme for OFDM system based on deep learning. IEEE Commun. Lett. 2018, 22, 510–513. [Google Scholar] [CrossRef]
- Guel, D.; Palicot, J. Analysis and comparison of clipping techniques for OFDM peak-to-average power ratio reduction. In Proceedings of the16th International Conference on Digital Signal Processing, Santorini, Greece, 5–7 July 2009; pp. 1–6. [Google Scholar]
- Vangala, S.K.; Anuradha, S. Analysis and comparison of clipping techniques for OFDM/OQAM peak-to-average power ratio reduction. In Proceedings of the 2015 International Conference on Applied and Theoretical Computing and Communication Technology (iCATccT), Davangere, India, 29–31 October 2015; pp. 791–795. [Google Scholar]
- Cimini, L.J.; Sollenberger, N.R. Peak-to-average power ratio reduction of an OFDM signal using partial transmit sequences. IEEE Commun. Lett. 2000, 4, 86–88. [Google Scholar] [CrossRef]






















| Parameter | Value |
|---|---|
| Modulation type | 4-QAM, 16-QAM, and 64-QAM |
| Number of symbols | 10,000 |
| Number of subcarriers N | 64 |
| Channel Model | AWGN |
| Clipping Ratios (CR) in dB | 0, 1, 2, 3, 4, 5, 6, 7, 8, 9, and 10 |
| Smooth | 0.5 and 5 |
| HPA type | SSPA |
| HPA parameter | 2 |
| Modulation | 4-QAM | 16-QAM | 64-QAM | |||
|---|---|---|---|---|---|---|
| CR [dB] | = 0.5 | = 5 | = 0.5 | = 5 | = 0.5 | = 5 |
| 0 | 2.25 | 2.33 | 2.34 | 2.81 | 2.67 | 4.18 |
| 1 | 2.63 | 2.69 | 2.67 | 3.13 | 3.17 | 4.48 |
| 2 | 3.04 | 3.09 | 3.18 | 3.54 | 3.72 | 4.85 |
| 3 | 3.57 | 3.58 | 3.68 | 4.04 | 4.41 | 5.22 |
| 4 | 4.17 | 4.15 | 4.26 | 4.60 | 5.04 | 5.67 |
| 5 | 4.83 | 4.78 | 4.94 | 5.14 | 5.70 | 6.16 |
| 6 | 5.57 | 5.52 | 5.67 | 5.87 | 6.37 | 6.54 |
| 7 | 6.41 | 6.34 | 6.49 | 6.59 | 7.03 | 7.11 |
| 8 | 7.27 | 7.21 | 7.31 | 7.35 | 7.69 | 7.73 |
| 9 | 8.15 | 8.15 | 8.19 | 8.18 | 8.34 | 8.37 |
| 10 | 9.03 | 9.01 | 9.03 | 9.03 | 9.04 | 9.08 |
| Modulation | 4-QAM | 16-QAM | 64-QAM | |||
|---|---|---|---|---|---|---|
| CR [dB] | PAPR Gain | BER Loss | PAPR Gain | BER Loss | PAPR Gain | BER Loss |
| 1 | 8.29 | 3.99 | 7.87 | >4 | 6.50 | >5 |
| 2 | 7.89 | 2.584 | 7.46 | >4 | 6.52 | >5 |
| 3 | 7.40 | 1.52 | 6.96 | >4 | 6.15 | >5 |
| 4 | 6.83 | 0.892 | 6.40 | >3.9 | 5.78 | >5 |
| 5 | 6.2 | 0.454 | 5.86 | 3.84 | 5.33 | >5 |
| 6 | 5.46 | 0.22 | 5.13 | 1.33 | 4.84 | >5 |
| 7 | 4.64 | 0.09 | 4.41 | 0.48 | 4.46 | 4.72 |
| 8 | 3.77 | 0.03 | 3.65 | 0.05 | 3.89 | 0.94 |
| 9 | 2.83 | 0.029 | 2.82 | 0.01 | 3.27 | 0.18 |
| 10 | 1.97 | 0 | 1.97 | 0 | 2.63 | 0 |
| Method | PAPR Value | PAPR Gain |
|---|---|---|
| Normal OFDM | 10.67 | - |
| RS (Random Search) [15] | 7.98 | 2.69 |
| IPTS [15] | 7.22 | 3.45 |
| PSO-PTS [16] | 7.08 | 3.59 |
| GA-PTS [17] | 6.65 | 4.02 |
| Palm Clipping (CR = 7 dB) | 6.40 | 4.54 |
| HGA-PTS [15] | 6.13 | 4.85 |
| Palm Clipping (CR = 6 dB) | 5.83 | 4.27 |
| OPTS (Exhaustive search) [15] | 5.82 | 4.84 |
| Palm Clipping (CR = 5 dB) | 5.00 | 5.67 |
| Method | PAPR Value [dB] | PAPR Gain [dB] | BER Loss [dB] |
|---|---|---|---|
| CMSLM [8] | 6.90 | 3.77 | 2.50 |
| SLM [8] | 6.60 | 4.07 | 0 |
| GA-SLM [8] | 6.50 | 4.17 | 2.5 |
| PC (CR = 7 dB) | 6.40 | 4.27 | 0.48 |
| PC (CR = 6 dB) | 5.83 | 4.84 | 1.33 |
| PC (CR = 5 dB) | 5 | 5.67 | 3.48 |
| Method | Destruction | Side Information | Iteration | Probabilistic |
|---|---|---|---|---|
| PTS | No | Yes | Yes | Yes |
| SLM | No | Yes | Yes | Yes |
| TI | No | Yes | Yes | Yes |
| TR | No | Yes | Yes | Yes |
| Companding | Yes | No | No | No |
| Coding | Yes | No | No | Yes |
| Palm Clipping | Yes | No | No | No |
| Other clipping methods | Yes | No | No | No |
© 2020 by the authors. Licensee MDPI, Basel, Switzerland. This article is an open access article distributed under the terms and conditions of the Creative Commons Attribution (CC BY) license (http://creativecommons.org/licenses/by/4.0/).
Share and Cite
Bakkas, B.; Benkhouya, R.; Chana, I.; Ben-Azza, H. Palm Date Leaf Clipping: A New Method to Reduce PAPR in OFDM Systems. Information 2020, 11, 190. https://doi.org/10.3390/info11040190
Bakkas B, Benkhouya R, Chana I, Ben-Azza H. Palm Date Leaf Clipping: A New Method to Reduce PAPR in OFDM Systems. Information. 2020; 11(4):190. https://doi.org/10.3390/info11040190
Chicago/Turabian StyleBakkas, Brahim, Reda Benkhouya, Idriss Chana, and Hussain Ben-Azza. 2020. "Palm Date Leaf Clipping: A New Method to Reduce PAPR in OFDM Systems" Information 11, no. 4: 190. https://doi.org/10.3390/info11040190
APA StyleBakkas, B., Benkhouya, R., Chana, I., & Ben-Azza, H. (2020). Palm Date Leaf Clipping: A New Method to Reduce PAPR in OFDM Systems. Information, 11(4), 190. https://doi.org/10.3390/info11040190

