Numerical Study on Interaction between Submarine Landslides and a Monopile Using CFD Techniques
Abstract
:1. Introduction
2. Interaction Model
3. Numerical Research Methods
3.1. General
3.2. CFD Model Setup
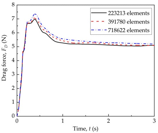
3.3. Comparison and Validation
4. Results and Discussion
4.1. Load Characteristic of the Pile
4.2. Influence of the Submarine Debris Flow Heights
4.3. Influence of Peak and Stable Drag Force Coefficients
5. Conclusions
- (1)
- The numerical results agreed well with the experimental results. Therefore, such a CFD method may be utilized to investigate the interaction between the submarine debris flows and a monopile with similar settings.
- (2)
- The typical load characteristics of the drag force acting on the monopile were analyzed. Two modes of the drag force were proposed. The flow velocity and the flow height of submarine debris flows were found to have an influence on the mode of the drag force. The underlying mechanism was revealed using a hybrid model combining the effects resulting from submarine debris flows differential pressure inertia force, viscous strength force and static pressure force.
- (3)
- For low Reynolds number (Renon-Newtonian < Rec), the flow height of the submarine debris flows (H) has a non-negligible influence on CD, which should be a major consideration in future studies. Moreover, the influence of H on CD-P and CD-S is different. The maximum rates of change of CD-S and CD-P with respect to different H can reach up to 54% and 91%, respectively.
- (4)
- The gap between CD-P and CD-S changes with Re and H. The maximum gap appears at Rec = 165.5 and H = D in this study. That is, in engineering design, the peak value, which represents the hazard level of the monopile, may also need to be considered.
Author Contributions
Funding
Institutional Review Board Statement
Informed Consent Statement
Data Availability Statement
Conflicts of Interest
References
- Randolph, M.; Gourvenec, S. Offshore Geotechnical Engineering; CRC Press: Boca Raton, FL, USA, 2017. [Google Scholar]
- Bea, R. How sea floor slides affect offshore structures. Oil Gas J. 1971, 69, 88–92. [Google Scholar]
- Su, C.C.; Tseng, J.Y.; Hsu, H.H.; Chiang, C.S.; Yu, H.S.; Lin, S.; Liu, J.T. Records of submarine natural hazards off SW Taiwan. Geol. Soc. Lond. Spec. Publ. 2012, 361, 41–60. [Google Scholar] [CrossRef]
- Hance, J.J. Development of a Database and Assessment of Seafloor Slope Stability Based on Published Literature; University of Texas at Austin: Austin, TX, USA, 2003. [Google Scholar]
- Colella, A.; Prior, D. Coarse-Grained Deltas; John Wiley & Sons: Hoboken, NJ, USA, 2009; Volume 27. [Google Scholar]
- Silver, M.; Dugan, B. The influence of clay content on submarine slope failure: Insights from laboratory experiments and numerical models. Geol. Soc. Lond. Spec. Publ. 2020, 500, 301–309. [Google Scholar] [CrossRef] [Green Version]
- Prior, D.; Suhayda, J.; Lu, N.; Bornhold, B.; Keller, G.; Wiseman, W.; Wright, L.; Yang, Z. Storm wave reactivation of a submarine landslide. Nature 1989, 341, 47–50. [Google Scholar] [CrossRef]
- Zhang, M.; Huang, Y.; Bao, Y. The mechanism of shallow submarine landslides triggered by storm surge. Nat. Hazards 2016, 81, 1373–1383. [Google Scholar] [CrossRef]
- Coleman, J.M.; Prior, D.B.; Garrison, L.E. Submarine landslides in the Mississippi River delta. In Proceedings of the Offshore Technology Conference, Houston, TX, USA, 7–10 May 1978. [Google Scholar]
- Norem, H.; Locat, J.; Schieldrop, B. An approach to the physics and the modeling of submarine flowslides. Mar. Georesour. Geotechnol. 1990, 9, 93–111. [Google Scholar] [CrossRef]
- Zeng, J.; Lowe, D.R.; Prior, D.B.; Wiseman, W.J., Jr.; Bornhold, B.D. Flow properties of turbidity currents in Bute Inlet, British Columbia. Sedimentology 1991, 38, 975–996. [Google Scholar] [CrossRef]
- Dong, Y. Runout of Submarine Landslides and Their Impact on Subsea Infrastructure Using Material Point Method. Ph.D. Thesis, The University of Western Australia, Perth, WA, Australia, 2017. [Google Scholar]
- Dengler, A.; Wilde, P.; Noda, E.; Normark, W. Turbidity currents generated by Hurricane Iwa. Geo Mar. Lett. 1984, 4, 5–11. [Google Scholar] [CrossRef]
- Cornforth, D.H.; Lowell, J.A. The 1994 submarine slope failure at Skagway, Alaska. In Proceedings of the Landslides, Trondheim, Norway, 17 June 1996; pp. 527–532. [Google Scholar]
- Nodine, M.C.; Gilbert, R.B.; Kiureghian, S.G.W.; Cheon, J.Y.; Wrzyszczynski, M.; Coyne, M.; Ward, E. Impact of hurricane-induced mudslides on pipelines. In Proceedings of the Offshore Technology Conference, Houston, TX, USA, 30 April–3 May 2007. [Google Scholar]
- Bea, R.G.; Wright, S.G.; Sircar, P.; Niedoroda, A.W. Wave-induced slides in south pass block 70, Mississippi Delta. J. Geotech. Eng. 1983, 109, 619–644. [Google Scholar] [CrossRef]
- Dou, J.; Chen, J.; Zhang, Z.-J. Influence of large-diameter pipe pile driving on surrounding marine soils and adjacent submarine pipelines. Mar. Georesour. Geotechnol. 2021, 39, 15–33. [Google Scholar] [CrossRef]
- Zhang, Q.; Zhou, X.L.; Wang, J.H.; Guo, J.J. Wave-induced seabed response around an offshore pile foundation platform. Ocean Eng. 2017, 130, 567–582. [Google Scholar] [CrossRef]
- Brückl, E.; Scheidegger, A.E. Application of the theory of plasticity to slow mud flows. Geotechnique 1973, 23, 101–107. [Google Scholar] [CrossRef]
- Zakeri, A. Review of state-of-the-art: Drag forces on submarine pipelines and piles caused by landslide or debris flow impact. J. Offshore Mech. Arct. Eng. 2009, 131, 014001. [Google Scholar] [CrossRef]
- Zakeri, A.; Høeg, K.; Nadim, F. Submarine debris flow impact on pipelines—Part I: Experimental investigation. Coast. Eng. 2008, 55, 1209–1218. [Google Scholar] [CrossRef]
- Zakeri, A.; Høeg, K.; Nadim, F. Submarine debris flow impact on pipelines—Part II: Numerical analysis. Coast. Eng. 2009, 56, 1–10. [Google Scholar] [CrossRef]
- Liu, J.; Tian, J.; Yi, P. Impact forces of submarine landslides on offshore pipelines. Ocean Eng. 2015, 95, 116–127. [Google Scholar] [CrossRef]
- Zakeri, A. Submarine debris flow impact on suspended (free-span) pipelines: Normal and longitudinal drag forces. Ocean Eng. 2009, 36, 489–499. [Google Scholar] [CrossRef]
- Wang, Z.; Zhang, Y.; Yu, L.; Yang, Q. Centrifuge modelling of active pipeline-soil loading under different impact angle in soft clay. Appl. Ocean Res. 2020, 98, 102129. [Google Scholar] [CrossRef]
- Fan, N.; Fauzan, S.; Zhang, W.C.; Nian, T.K.; Randolph, M. Effect of pipeline-seabed gaps on the vertical forces of a pipeline induced by submarine slide impact. Ocean Eng. 2021, 221, 108506. [Google Scholar] [CrossRef]
- Guo, X.S.; Zheng, D.F.; Nian, T.K.; Yin, P. Effect of different span heights on the pipeline impact forces induced by deep-sea landslides. Appl. Ocean Res. 2019, 87, 38–46. [Google Scholar] [CrossRef]
- Zhang, Y.; Wang, Z.; Yang, Q.; Wang, H. Numerical analysis of the impact forces exerted by submarine landslides on pipelines. Appl. Ocean Res. 2019, 92, 101936. [Google Scholar] [CrossRef]
- Guo, X.S.; Nian, T.K.; Wang, Z.T.; Zhao, W.; Fan, N.; Jiao, H.B. Low-temperature rheological behavior of submarine mudflows. J. Waterw. Port Coast. Ocean Eng. 2020, 146, 04019043. [Google Scholar] [CrossRef]
- Fan, N.; Nian, T.K.; Jiao, H.B.; Jia, Y.G. Interaction between submarine landslides and suspended pipelines with a streamlined contour. Mar. Georesour. Geotechnol. 2018, 36, 652–662. [Google Scholar] [CrossRef]
- Guo, X.S.; Nian, T.K.; Fan, N.; Jia, Y.G. Optimization design of a honeycomb-hole submarine pipeline under a hydrodynamic landslide impact. Mar. Georesour. Geotechnol. 2020, 1–16. [Google Scholar] [CrossRef]
- Perez-Gruszkiewicz, S.E. Reducing underwater-slide impact forces on pipelines by streamlining. J. Waterw. Port Coast. Ocean Eng. 2012, 138, 142–148. [Google Scholar] [CrossRef]
- Dutta, S.; Hawlader, B. Pipeline–soil–water interaction modelling for submarine landslide impact on suspended offshore pipelines. Géotechnique 2019, 69, 29–41. [Google Scholar] [CrossRef]
- Dong, Y.; Wang, D.; Randolph, M. Quantification of impact forces on fixed mudmats from submarine landslides using the material point method. Appl. Ocean Res. 2020, 102, 102227. [Google Scholar] [CrossRef]
- Dong, Y.; Wang, D.; Randolph, M. Investigation of impact forces on pipeline by submarine landslide using material point method. Ocean Eng. 2017, 146, 21–28. [Google Scholar] [CrossRef]
- Qian, X.; Xu, J.; Bai, Y.; Das, H.S. Formation and estimation of peak impact force on suspended pipelines due to submarine debris flow. Ocean Eng. 2020, 195, 106695. [Google Scholar] [CrossRef]
- Sahdi, F.; Gaudin, C.; Tom, J.G.; Tong, F. Mechanisms of soil flow during submarine slide-pipe impact. Ocean Eng. 2019, 186, 106079. [Google Scholar] [CrossRef]
- Feng, B.; Sun, H.L.; Qiang, C.Y.; Dong, P.X.; Li, S. Experimental study of submarine landslide impact on offshore wind power piles. Ocean Eng. 2019, 37, 114–121. (In Chinese) [Google Scholar]
- Elverhoi, A.; Breien, H.; De Blasio, F.V.; Harbitz, C.B.; Pagliardi, M. Submarine landslides and the importance of the initial sediment composition for run-out length and final deposit. Ocean Dyn. 2010, 60, 1027–1046. [Google Scholar] [CrossRef] [Green Version]
- White, F.M.; Corfield, I. Viscous Fluid Flow; McGraw-Hill: New York, NY, USA, 2006; Volume 3. [Google Scholar]
- Dey, R.; Hawlader, B.; Phillips, R.; Soga, K. Modeling of large-deformation behaviour of marine sensitive clays and its application to submarine slope stability analysis. Can. Geotech. J. 2016, 53, 1138–1155. [Google Scholar] [CrossRef] [Green Version]
- Wang, D.; Randolph, M.; White, D. A dynamic large deformation finite element method based on mesh regeneration. Comput. Geotech. 2013, 54, 192–201. [Google Scholar] [CrossRef]
- Shi, C.; An, Y.; Wu, Q.; Liu, Q.; Cao, Z. Numerical simulation of landslide-generated waves using a soil–water coupling smoothed particle hydrodynamics model. Adv. Water Resour. 2016, 92, 130–141. [Google Scholar] [CrossRef] [Green Version]
- Pastor, M.; Blanc, T.; Haddad, B.; Petrone, S.; Morles, M.S.; Drempetic, V.; Issler, D.; Crosta, G.; Cascini, L.; Sorbino, G. Application of a SPH depth-integrated model to landslide run-out analysis. Landslides 2014, 11, 793–812. [Google Scholar] [CrossRef] [Green Version]
- Jiang, M.; Sun, C.; Crosta, G.B.; Zhang, W. A study of submarine steep slope failures triggered by thermal dissociation of methane hydrates using a coupled CFD-DEM approach. Eng. Geol. 2015, 190, 1–16. [Google Scholar] [CrossRef]
- Si, P.; Shi, H.; Yu, X. A general numerical model for surface waves generated by granular material intruding into a water body. Coast. Eng. 2018, 142, 42–51. [Google Scholar] [CrossRef]
- Lee, C.H.; Huang, Z. Multi-phase flow simulation of impulsive waves generated by a sub-aerial granular landslide on an erodible slope. Landslides 2021, 18, 881–895. [Google Scholar] [CrossRef]
- Ma, G.; Kirby, J.T.; Shi, F. Numerical simulation of tsunami waves generated by deformable submarine landslides. Ocean Model. 2013, 69, 146–165. [Google Scholar] [CrossRef]
- Zhang, Y.; Lu, X.; Zhang, X.; Li, P. Numerical simulation on flow characteristics of large-scale submarine mudflow. Appl. Ocean Res. 2021, 108, 102524. [Google Scholar] [CrossRef]
- Romano, A.; Lara, J.; Barajas, G.; Di Paolo, B.; Bellotti, G.; Di Risio, M.; Losada, I.; De Girolamo, P. Tsunamis Generated by Submerged Landslides: Numerical Analysis of the Near-Field Wave Characteristics. J. Geophys. Res. Ocean. 2020, 125, e2020JC016157. [Google Scholar] [CrossRef]
- Zakeri, A.; Hawlader, B. Drag forces caused by submarine glide block or out-runner block impact on suspended (free-span) pipelines—Numerical analysis. Ocean Eng. 2013, 67, 89–99. [Google Scholar] [CrossRef]
- Ansys, I. ANSYS Fluent Theory Guide; Ansys. Inc.: Canonsburg, PA, USA, 2020. [Google Scholar]
- Guo, X.S.; Nian, T.K.; Zheng, D.F.; Yin, P. A methodology for designing test models of the impact of submarine debris flows on pipelines based on Reynolds criterion. Ocean Eng. 2018, 166, 226–231. [Google Scholar] [CrossRef]
- Elger, D.F.; LeBret, B.A.; Crowe, C.T.; Roberson, J.A. Engineering Fluid Mechanics; John Wiley & Sons: Hoboken, NJ, USA, 2020. [Google Scholar]












| Submarine Landslide | Mass Fraction (%) | Herschel–Bulkley Rheological Model | Density (kg/m3) | |||||
|---|---|---|---|---|---|---|---|---|
| Clay | Water | Sand | τy (Pa) | K (Pa·sn) | n | R2 | ||
| 15% Clay | 15 | 50 | 35 | 0.50 | 1.50 | 0.42 | 0.987 | 1763 |
| 20% Clay | 20 | 45 | 35 | 1.80 | 1.40 | 0.54 | 0.976 | 1774 |
| 25% Clay | 25 | 40 | 35 | 3.70 | 1.20 | 0.60 | 0.979 | 1788 |
| 30% Clay | 30 | 35 | 35 | 5.90 | 0.90 | 0.87 | 0.986 | 1796 |
| Parameter | Value |
|---|---|
| Rheological model | Submarine debris flow of 20% clay in Table 1 |
| Flow height, H | D, 3D, 5D, 7D, 9D |
| Flow velocity of the inlet, U∞ | 0.1, 0.15, 0.2, 0.25, 0.3, 0.35, 0.4, 0.45, 0.5, 0.6, 0.75, 1, 1.25, 1.5, 1.75, 2, 2.5 m/s |
Publisher’s Note: MDPI stays neutral with regard to jurisdictional claims in published maps and institutional affiliations. |
© 2021 by the authors. Licensee MDPI, Basel, Switzerland. This article is an open access article distributed under the terms and conditions of the Creative Commons Attribution (CC BY) license (https://creativecommons.org/licenses/by/4.0/).
Share and Cite
Li, R.-Y.; Chen, J.-J.; Liao, C.-C. Numerical Study on Interaction between Submarine Landslides and a Monopile Using CFD Techniques. J. Mar. Sci. Eng. 2021, 9, 736. https://doi.org/10.3390/jmse9070736
Li R-Y, Chen J-J, Liao C-C. Numerical Study on Interaction between Submarine Landslides and a Monopile Using CFD Techniques. Journal of Marine Science and Engineering. 2021; 9(7):736. https://doi.org/10.3390/jmse9070736
Chicago/Turabian StyleLi, Ru-Yu, Jin-Jian Chen, and Chen-Cong Liao. 2021. "Numerical Study on Interaction between Submarine Landslides and a Monopile Using CFD Techniques" Journal of Marine Science and Engineering 9, no. 7: 736. https://doi.org/10.3390/jmse9070736
APA StyleLi, R.-Y., Chen, J.-J., & Liao, C.-C. (2021). Numerical Study on Interaction between Submarine Landslides and a Monopile Using CFD Techniques. Journal of Marine Science and Engineering, 9(7), 736. https://doi.org/10.3390/jmse9070736
