Breaking-Wave Induced Transient Pore Pressure in a Sandy Seabed: Flume Modeling and Observations
Abstract
1. Introduction
2. Physical Modeling
2.1. Experimental Setup
2.2. Test Procedures
- (1)
- The wave flume and the centrally located soil box were firstly emptied and cleaned. The argil-covers of the PPTs were fully saturated to ensure being free of air.
- (2)
- The de-aired PPTs were then installed at various depths in the soil (z = 1.0, 3.0, 6.0, 10.0, 15.0 cm at Location B; z = 0 at Location A) with the support of the fixing racks (see Figure 1).
- (3)
- The fine-sand bed was carefully prepared by employing the sand-raining technique, i.e., the dry sand particles in a reciprocating trolley were rained into the clean water in the soil box. With such sand-raining technique, the bed was generally homogeneous and saturated. The surface of the sand-bed was then leveled off smoothly with a scraper.
- (4)
- The wave flume was slowly filled with water to a given depth (h = 0.6 m).
- (5)
- The piston-type wave maker was then activated and the progressive waves were generated. Meanwhile, the multichannel synchronous sampling system was started to simultaneously measure the free surface elevation of progressive waves and transient pore-pressure in the sand-bed with WGs and PPTs, respectively.
2.3. Generation of Breaking-Waves
3. Results and Discussion
3.1. Elevations of the Free Water Surface of Breaking-Waves
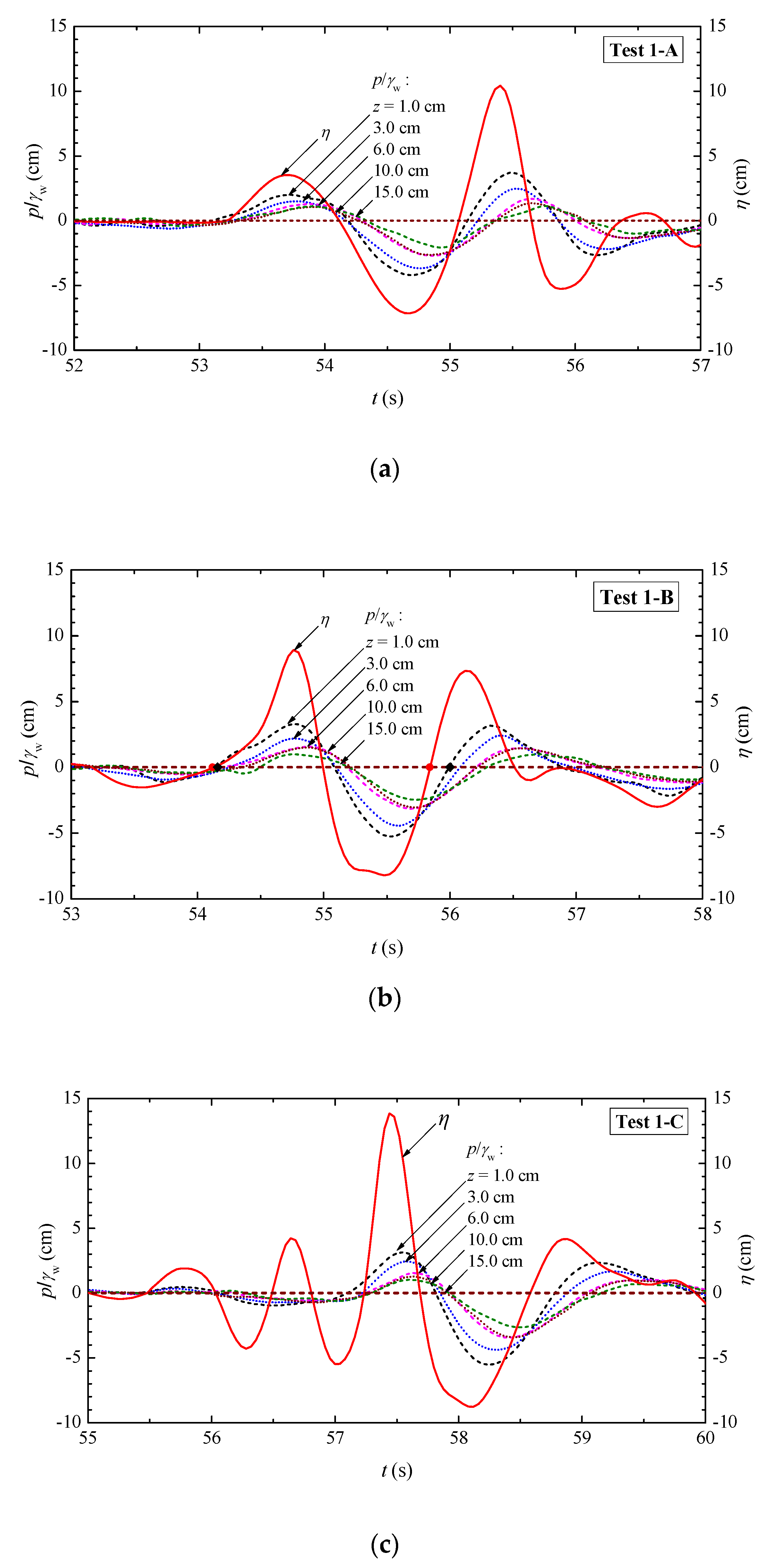
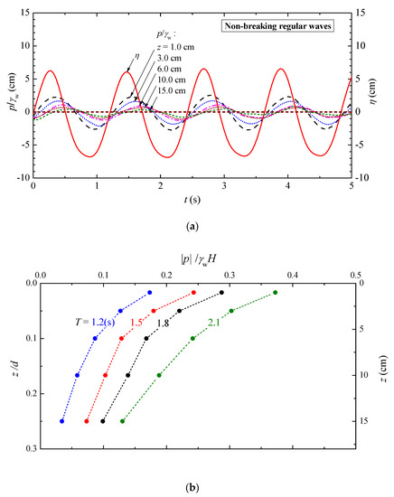
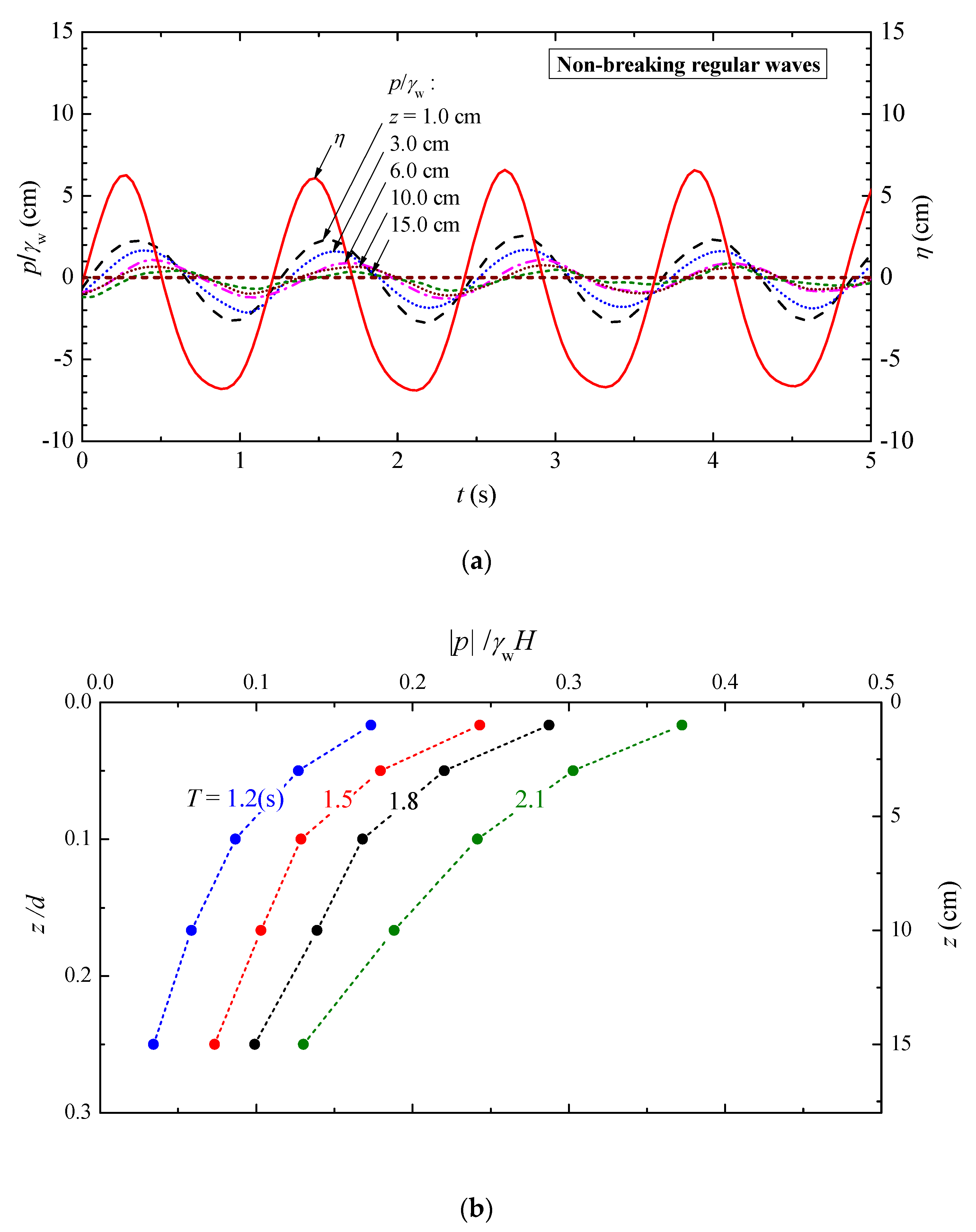
3.2. Pore-Pressure Responses: Under Breaking-Waves, and under Non-Breaking Regular Waves
- The characteristic wave height (Hm) is the variation between the highest wave crest and the following wave trough within a complete wave period.
- Correspondingly, the characteristic period of the transient pore-pressure (Tp) and the oscillation magnitude of the transient pore-pressure (pm) can also be identified.
- To describe the large wave-crest of the breaking wave and the corresponding pore-pressure, the time intervals between the upward zero-crossing and downward zero-crossing of η and p are defined as tw and tp, respectively.
- The phase-lag between the pore-pressure peak and the wave crest could also be identified.
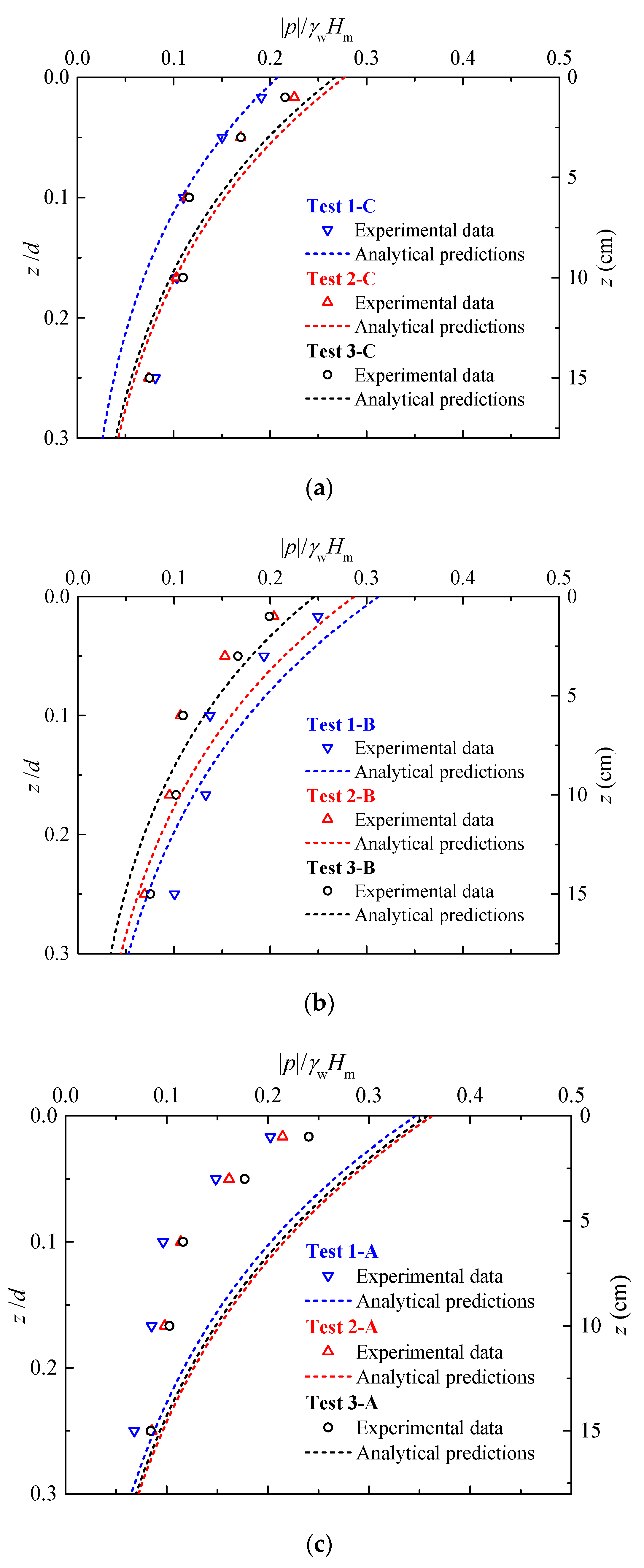
3.3. Comparison between Experimental Results and Analytical Predictions
4. Conclusions
- (1)
- A plunging-type of breaking-waves was generated by superimposing a series of longer waves onto the foregoing shorter waves at a specified location in a flume. It was observed that once the shorter waves seemed to be swallowed up by the following longer waves, the breaking of progressive waves occurred suddenly and the wave height was greatly diminished during wave breaking.
- (2)
- Flume observations indicate that both water surface elevations and the corresponding transient pore-pressure responses are featured with irregularity and asymmetry in the process of wave breaking. Fourier spectra are obtained for the breaking waves and those for the pore-pressures, indicating the peak frequencies of the surface waves are generally larger than those of the pore-pressures. As expected, the high-frequency components of superimposing surface waves were hardly detected by the pore-pressure transduces. From time developments of water surface elevations and pore-pressures under breaking waves, the characteristic parameters can be well identified graphically, including the characteristic wave period (Tw), wave height (Hm), and the period of transient pore-pressure (Tp), etc. The measured values of the characteristic time parameters for the pore-pressures are generally larger than those for the wave surface elevations. After wave breaking, the magnitude of transient pore-pressure oscillation was decreased significantly.
- (3)
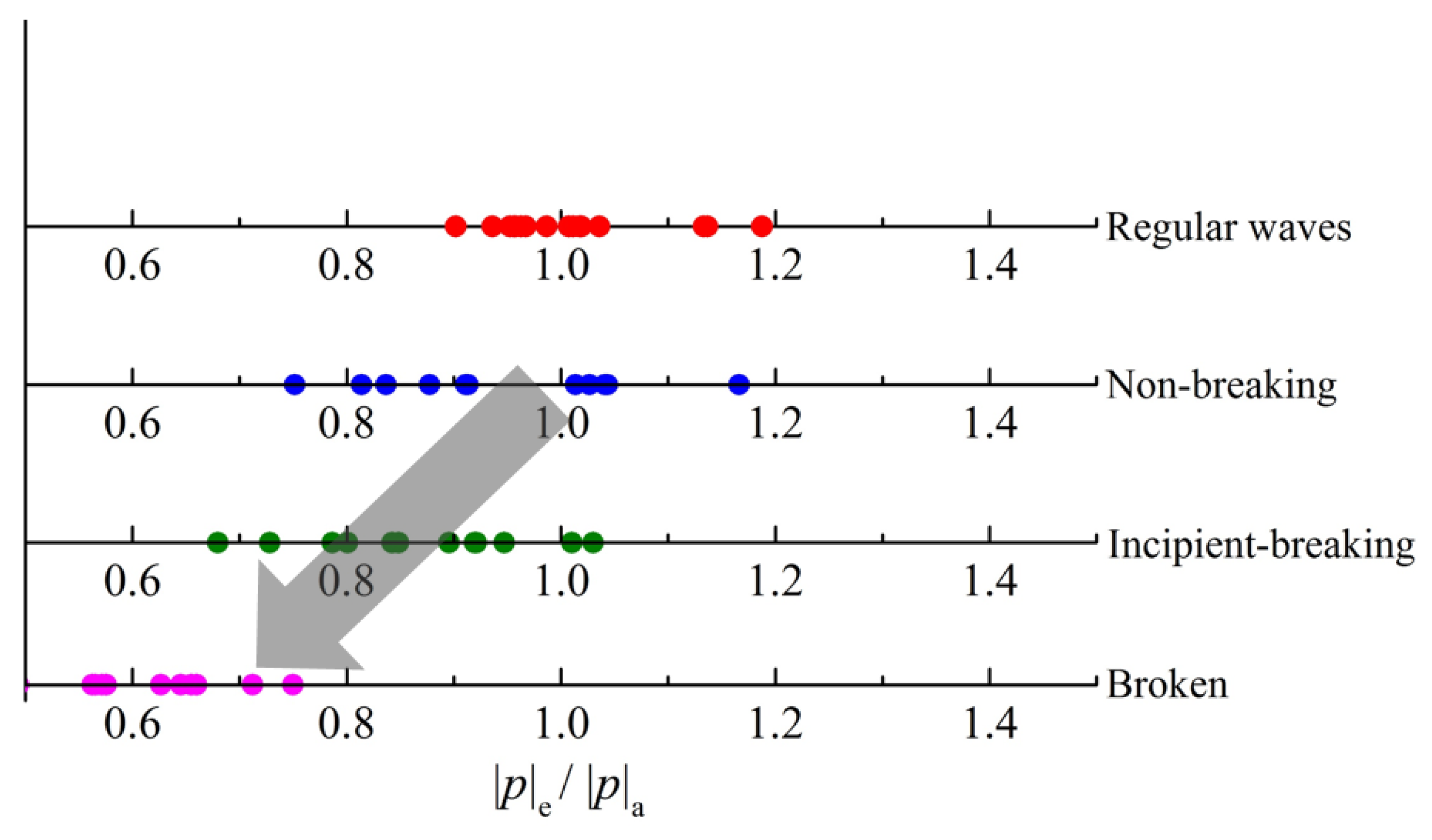
- The experimental results of the pore-pressure under breaking-waves are compared with the predicted values with the analytical solution by Yamamoto et al. (1978) for non-breaking regular waves. The comparisons indicate that under incipient-breaking or broken waves, the measured values of pore-pressure amplitude are generally smaller than the analytical predictions with equivalent values of the characteristic wave height and wave period. Such deviations between the experimental results and analytical predictions tend to increase with the time development of wave breaking, which could be attributed to the wave energy dissipation during wave breaking.
Author Contributions
Funding
Institutional Review Board Statement
Informed Consent Statement
Data Availability Statement
Acknowledgments
Conflicts of Interest
Notations
| c | Phase velocity of the wave |
| c′ | Coefficient in Equation (5) |
| cg | Group velocity of a wave train |
| d | Thickness of the sand bed |
| d10 | Effective size of sand grains |
| d50 | Mean size of sand grains |
| Dr | Relative density of the sand |
| e | Void ratio of the sand |
| E | Energy density |
| f | Frequency |
| g | Gravitational acceleration |
| G | Shear modulus of the soil |
| h | Water depth |
| H | Wave height |
| H0 | Wave height of the initially generated waves near the wave maker |
| Hm | Wave height of the breaking-wave (see Figure 9) |
| i | Imaginary number |
| ks | Coefficient of permeability of the sand |
| K′ | Apparent bulk modulus of the pore-fluid |
| lb | Distance between the flume inlet and the breaking location |
| L | Wavelength |
| m | Coefficient in Equation (5) |
| n | Soil porosity of the sand |
| nw | Coefficient in Equation (1) |
| p | Transient pore-pressure in the sand-bed |
| p0-a | Theoretical prediction of the wave pressure amplitude at the sand-bed surface |
| pm | Oscillation magnitude of transient pore-pressure (see Figure 9) |
| |p| | Transient pore-pressure amplitude at a certain soil depth |
| |p|a | Analytical prediction of the pore-pressure amplitude |
| |p|e | Measured value of the pore-pressure amplitude in the flume tests |
| Pb | Wave pressure fluctuation at the sand-bed surface |
| s | Specific gravity of the sand grains |
| Sr | Degree of saturation of the sand |
| t | Time |
| t0 | Propagation time of the firstly generated wave |
| ti | The time when the following longer waves were generated |
| T | Wave period |
| T0 | Wave period of the firstly generated wave |
| Ti | Wave period of the following wave generated at time ti |
| Tw, tw | Time parameters of the breaking-wave (see Figure 9) |
| Tp, tp | Time parameters of the transient pore-pressure (see Figure 9) |
| z | Soil depth calculated from the mudline |
| λ | Wave number |
| Buoyant unit weight of the sand | |
| γw | Unit weight of the water |
| ω | Angular frequency of the wave |
| Coefficient in Equation (5) | |
| Coefficient in Equation (5) | |
| ν | Poisson’s ratio of soil |
| λ | Coefficient in Equation (5) |
| λ” | Coefficient in Equation (5) |
| α | Coefficient in Equation (5) |
| β | Coefficient in Equation (5) |
| η | Free water surface elevation |
| c0, cg0, nw0, λ0, ω0 | Parameters of the firstly generated wave |
| ci, cgi, nwi, λi, ωi | Parameters of the following longer wave generated at time ti |
References
- Sumer, B.M.; Fredsøe, J.; Christensen, S.; Lind, M.T. Sinking/floatation of pipelines and other objects in liquefied soil under waves. Coast. Eng. 1999, 38, 53–90. [Google Scholar] [CrossRef]
- Jeng, D.S.; Seymour, B.; Gao, F.P.; Wu, Y.X. Ocean waves propagating over a porous seabed: Residual and oscillatory mechanisms. Sci. China Ser. E Technol. Sci. 2007, 50, 81–89. [Google Scholar] [CrossRef]
- Gao, F.P. Flow-pipe-soil coupling mechanisms and predictions for submarine pipeline instability. J. Hydrodyn. 2017, 29, 763–773. [Google Scholar] [CrossRef]
- Qi, W.G.; Shi, Y.M.; Gao, F.P. Uplift soil resistance to a shallowly-buried pipeline in the sandy seabed under waves: Poro-elastoplastic modeling. Appl. Ocean Res. 2020, 95, 102024. [Google Scholar] [CrossRef]
- Randolph, M.F.; Gourvenec, S. Offshore Geotechnical Engineering; Spon Press: New York, NY, USA, 2011. [Google Scholar]
- Sumer, B.M. Liquefaction Around Marine Structures; World Scientific: Singapore, 2014. [Google Scholar]
- Gao, F.P.; Li, J.H.; Qi, W.G.; Hu, C. On the instability of offshore foundations: Theory and mechanism. Sci. China-Phys. Mech. Astron. 2015, 58, 124701. [Google Scholar] [CrossRef]
- Jeng, D.-S. Mechanics of Wave-Seabed-Structure Interactions: Modelling, Processes and Applications; Cambridge University Press: Cambridge, UK, 2018. [Google Scholar]
- Celli, D.; Li, Y.; Ong, M.C.; Di Risio, M. Random wave-induced momentary liquefaction around rubble mound breakwaters with submerged berms. J. Mar. Sci. Eng. 2020, 8, 338. [Google Scholar] [CrossRef]
- Yamamoto, T.; Koning, H.L.; Sellmeijer, H.; Hijum, E.V. On the response of a poro-elastic bed to water waves. J. Fluid Mech. 1978, 87, 193–206. [Google Scholar] [CrossRef]
- Madsen, O.S. Wave-induced pore-pressures and effective stresses in a porous bed. Geotechnique 1978, 28, 377–393. [Google Scholar] [CrossRef]
- Hsu, J.R.C.; Jeng, D.-S. Wave-induced soil response in an unsaturated anisotropic seabed of finite thickness. Int. J. Numer. Anal. Methods Geomech. 1994, 18, 785–807. [Google Scholar] [CrossRef]
- Mase, H.; Sakai, T.; Sakamoto, M. Wave-induced porewater pressures and effective stresses around breakwater. Ocean Eng. 1994, 21, 361–379. [Google Scholar] [CrossRef]
- Cheng, L.; Sumer, B.M.; Fredsoe, J. Solution of pore pressure buildup due to progressive waves. Int. J. Numer. Anal. Meth. GeoMech. 2001, 25, 885–907. [Google Scholar] [CrossRef]
- Zhang, C.; Sui, T.T.; Zheng, J.H.; Xie, M.X.; Nguyen, V.T. Modelling wave-induced 3D non-homogeneous seabed response. Appl. Ocean Res. 2016, 61, 101–114. [Google Scholar] [CrossRef]
- Tsui, Y.T.; Helfrich, S.C. Wave-induced pore pressures in submerged sand layer. J. Geotech. Eng. 1983, 109, 603–618. [Google Scholar] [CrossRef]
- Liu, B.; Jeng, D.-S.; Ye, G.L.; Yang, B. Laboratory study for pore pressures in sandy deposit under wave loading. Ocean Eng. 2015, 106, 207–219. [Google Scholar] [CrossRef]
- Qi, W.G.; Li, C.F.; Jeng, D.S.; Gao, F.P.; Liang, Z. Combined wave-current induced excess pore-pressure in a sandy seabed: Flume observations and comparisons with theoretical models. Coast. Eng. 2019, 147, 89–98. [Google Scholar] [CrossRef]
- Jeng, D.-S. Wave-induced sea floor dynamics. Appl. Mech. Rev. 2003, 56, 407–429. [Google Scholar] [CrossRef]
- Jeng, D.-S. Porous Models for Wave-Seabed Interactions; Springer: Heidelberg, Germany, 2013. [Google Scholar]
- Galvin, C.J. Breaker type classification on three laboratory beaches. J. Geophys. Res. 1968, 73, 3651–3659. [Google Scholar] [CrossRef]
- Basco, D.R.; Asce, M.A. Qualitative Description of Wave Breaking. J. Waterw. Port Coast. Ocean Eng. 1985, 111, 171–188. [Google Scholar] [CrossRef]
- Zelt, J.A. The run-up of nonbreaking and breaking solitary waves. Coast. Eng. 1991, 15, 205–246. [Google Scholar] [CrossRef]
- Ting, F.C.K.; Kirby, J.T. Observation of undertow and turbulence in a laboratory surf zone. Coast. Eng. 1994, 24, 51–80. [Google Scholar] [CrossRef]
- Ting, F.C.K.; Kirby, J.T. Dynamics of surf-zone turbulence in a strong plunging breaker. Coast. Eng. 1995, 24, 177–204. [Google Scholar] [CrossRef]
- Chang, K.A.; Liu, P.L.-F. Velocity, acceleration and vorticity under a breaking wave. Phys. Fluids 1998, 10, 327–329. [Google Scholar] [CrossRef]
- Shin, S.; Cox, D. Laboratory observations of inner surf and swash-zone hydrodynamics on a steep slope. Cont. Shelf Res. 2006, 26, 561–573. [Google Scholar] [CrossRef]
- Calabrese, M.; Buccino, M.; Pasanisi, F. Wave breaking macrofeatures on a submerged rubble mound breakwater. J. Hydro-Environ. Res. 2008, 1, 216–225. [Google Scholar] [CrossRef]
- Moragues, M.V.; Clavero, M.; Losada, M.A. Wave Breaker Types on a Smooth and Impermeable 1:10 Slope. J. Mar. Sci. Eng. 2020, 8, 296. [Google Scholar] [CrossRef]
- Corvaro, S.; Mancinelli, A.; Brocchini, M.; Seta, E.; Lorenzoni, C. On the wave damping due to a permeable seabed. Coast. Eng. 2010, 57, 1029–1041. [Google Scholar] [CrossRef]
- Lin, P.; Liu, P.L.-F. A numerical study of breaking waves in the surf zone. J. Fluid Mech. 1998, 359, 239–264. [Google Scholar] [CrossRef]
- Zhang, Q.; Liu, P.L.-F. A numerical study of swash flows generated by bores. Coast. Eng. 2008, 55, 1113–1134. [Google Scholar] [CrossRef]
- Lakehal, D.; Liovic, P. Turbulence structure and interaction with steep breaking waves. J. Fluid Mech. 2011, 674, 522–577. [Google Scholar] [CrossRef]
- Zijlema, M.; Stelling, G.; Smit, P. SWASH: An operational public domain code for simulating wave fields and rapidly varied flows in coastal waters. Coast. Eng. 2011, 58, 992–1012. [Google Scholar] [CrossRef]
- Jeng, D.-S.; Zhang, H. An integrated three-dimensional model of wave-induced pore pressure and effective stresses in a porous seabed: II. breaking waves. Ocean Eng. 2005, 32, 1950–1967. [Google Scholar] [CrossRef][Green Version]
- Ulker, M.B.C.; Rahman, M.S.; Guddati, M.N. Breaking wave-induced response and instability of seabed around caisson breakwater. Int. J. Numer. Anal. Methods Geomech. 2012, 36, 362–390. [Google Scholar] [CrossRef]
- Ye, J.H.; Jeng, D.-S.; Liu, P.L.-F.; Chan, A.H.C.; Wang, R.; Zhu, C.Q. Breaking wave-induced response of composite breakwater and liquefaction in seabed foundation. Coast. Eng. 2014, 85, 72–86. [Google Scholar]
- Sarpkaya, T.; Isaacson, M. Mechanics of Wave Forces on Offshore Structures; Van Nostrand Reinhold Company: New York, NY, USA, 1981. [Google Scholar]
- Niu, J.; Xu, J.; Dong, P.; Li, G. Pore water pressure responses in silty sediment bed under random wave action. Sci. Rep. 2019, 9, 11685. [Google Scholar] [CrossRef]
- Biot, M.A. General theory of three-dimensional consolidation. J. Appl. Phys. 1941, 12, 155–164. [Google Scholar] [CrossRef]














| Soil Properties | Values |
|---|---|
| Mean size of grains d50 (mm) | 0.12 |
| Effective size of grains d10 (mm) | 0.03 |
| Specific gravity of grains s | 2.65 |
| Buoyant unit weight (N/m3) | 9.70 × 103 |
| Coefficient of permeability ks (m/s) | 9.60 × 10−5 |
| Degree of saturation Sr | 0.993 |
| Void ratio e | 0.67 |
| Relative density Dr | 0.62 |
| Shear modulus G (Pa) | 23.8 × 106 |
| Poisson’s ratio ν | 0.30 |
| Test Number | H0 (cm) | T0 (s) | t0 (s) | Breaking Location/lb (m) | Hm (cm) | Tw (s) |
|---|---|---|---|---|---|---|
| 1-A | 8.0 | 0.7 | 33.86 | Location A/18.5 | 15.68 | 1.92 |
| 1-B | 8.0 | 0.7 | 38.43 | Location B/21.0 | 17.11 | 1.72 |
| 1-C | 8.0 | 0.7 | 43.01 | Location C/23.5 | 22.62 | 1.32 |
| 2-A | 8.0 | 0.9 | 25.72 | Location A/18.5 | 12.02 | 2.04 |
| 2-B | 8.0 | 0.9 | 29.20 | Location B/21.0 | 20.09 | 1.60 |
| 2-C | 8.0 | 0.9 | 32.67 | Location C/23.5 | 18.99 | 1.56 |
| 3-A | 10.0 | 0.7 | 33.86 | Location A/18.5 | 14.06 | 2.0 |
| 3-B | 10.0 | 0.7 | 38.43 | Location B/21.0 | 24.59 | 1.44 |
| 3-C | 10.0 | 0.7 | 43.01 | Location C/23.5 | 24.09 | 1.52 |
Publisher’s Note: MDPI stays neutral with regard to jurisdictional claims in published maps and institutional affiliations. |
© 2021 by the authors. Licensee MDPI, Basel, Switzerland. This article is an open access article distributed under the terms and conditions of the Creative Commons Attribution (CC BY) license (http://creativecommons.org/licenses/by/4.0/).
Share and Cite
Li, C.; Gao, F.; Yang, L. Breaking-Wave Induced Transient Pore Pressure in a Sandy Seabed: Flume Modeling and Observations. J. Mar. Sci. Eng. 2021, 9, 160. https://doi.org/10.3390/jmse9020160
Li C, Gao F, Yang L. Breaking-Wave Induced Transient Pore Pressure in a Sandy Seabed: Flume Modeling and Observations. Journal of Marine Science and Engineering. 2021; 9(2):160. https://doi.org/10.3390/jmse9020160
Chicago/Turabian StyleLi, Changfei, Fuping Gao, and Lijing Yang. 2021. "Breaking-Wave Induced Transient Pore Pressure in a Sandy Seabed: Flume Modeling and Observations" Journal of Marine Science and Engineering 9, no. 2: 160. https://doi.org/10.3390/jmse9020160
APA StyleLi, C., Gao, F., & Yang, L. (2021). Breaking-Wave Induced Transient Pore Pressure in a Sandy Seabed: Flume Modeling and Observations. Journal of Marine Science and Engineering, 9(2), 160. https://doi.org/10.3390/jmse9020160

