Effects of Blade Number on the Propulsion and Vortical Structures of Pre-Swirl Stator Pump-Jet Propulsors
Abstract
:1. Introduction
2. Research Object
3. Computational Overview
3.1. Numerical Method
3.2. Mesh and Computational Setting
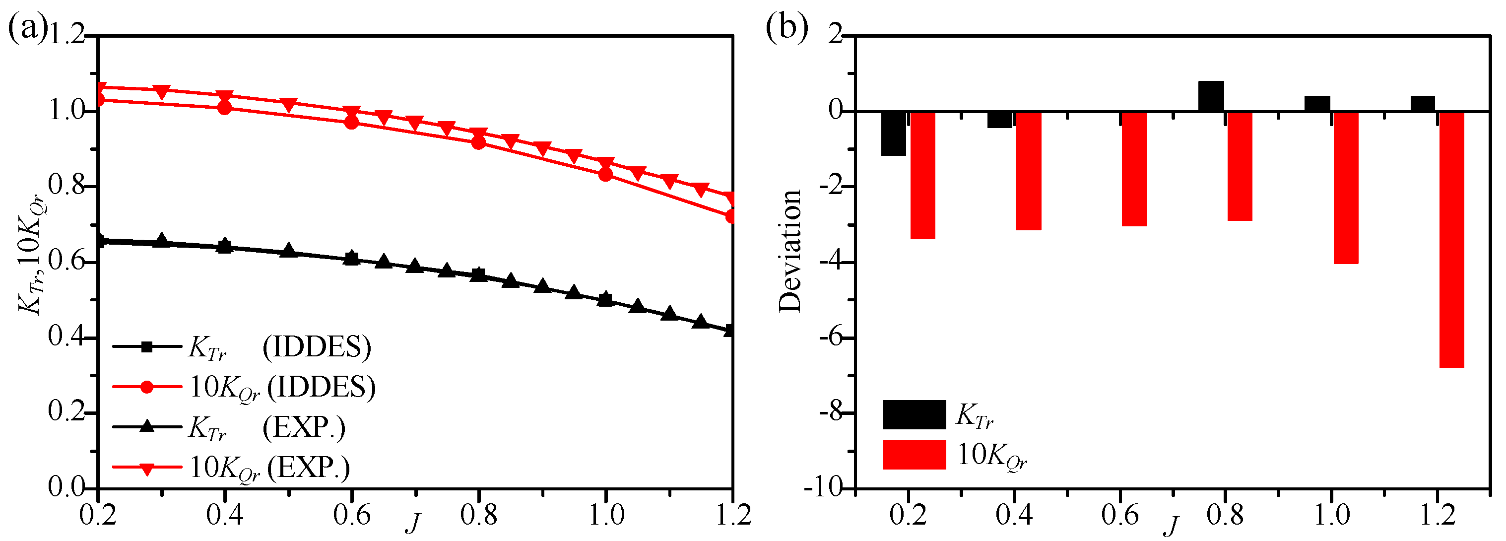
3.3. Comparison with Experiment
4. Results and Discussion
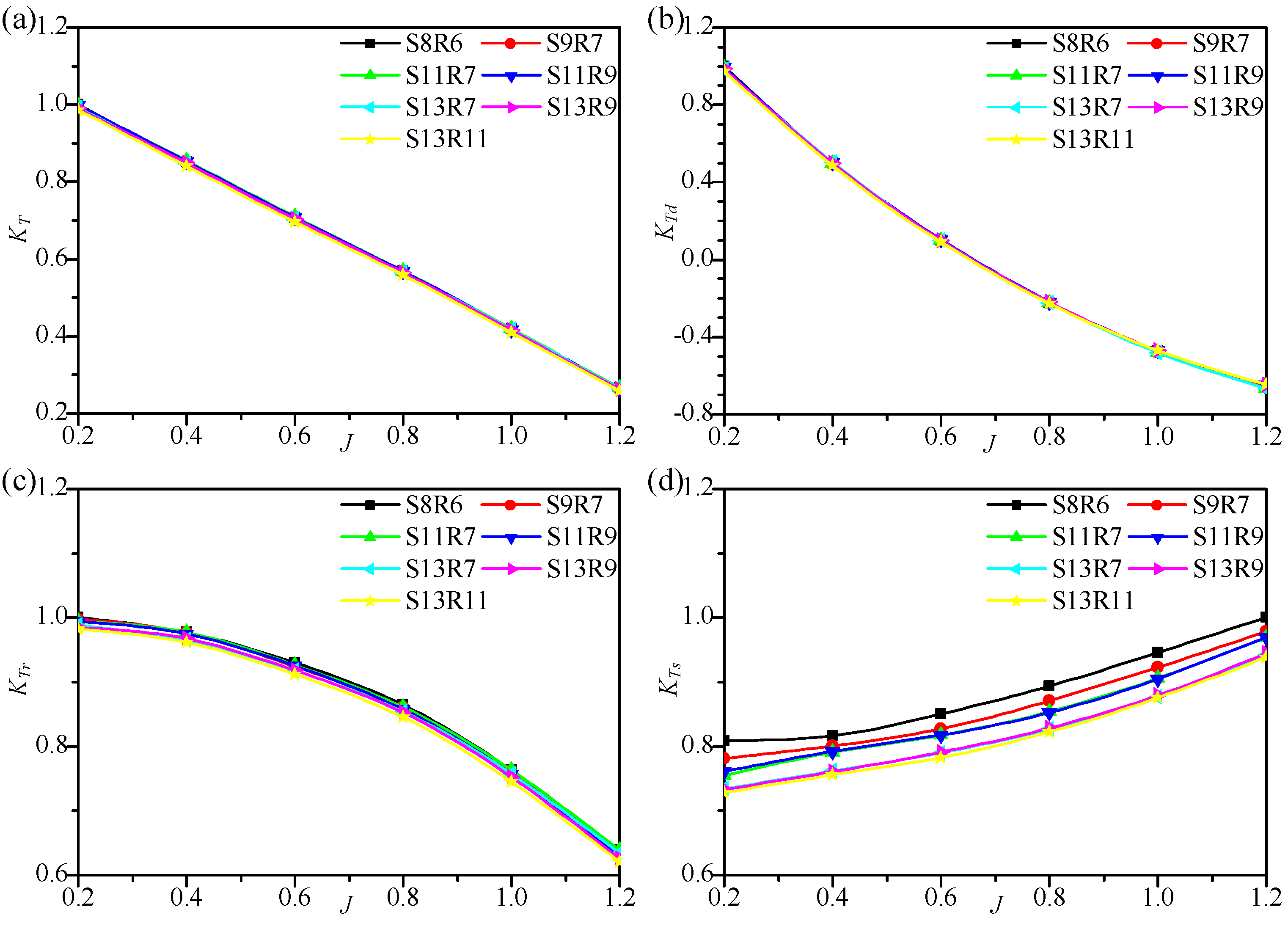
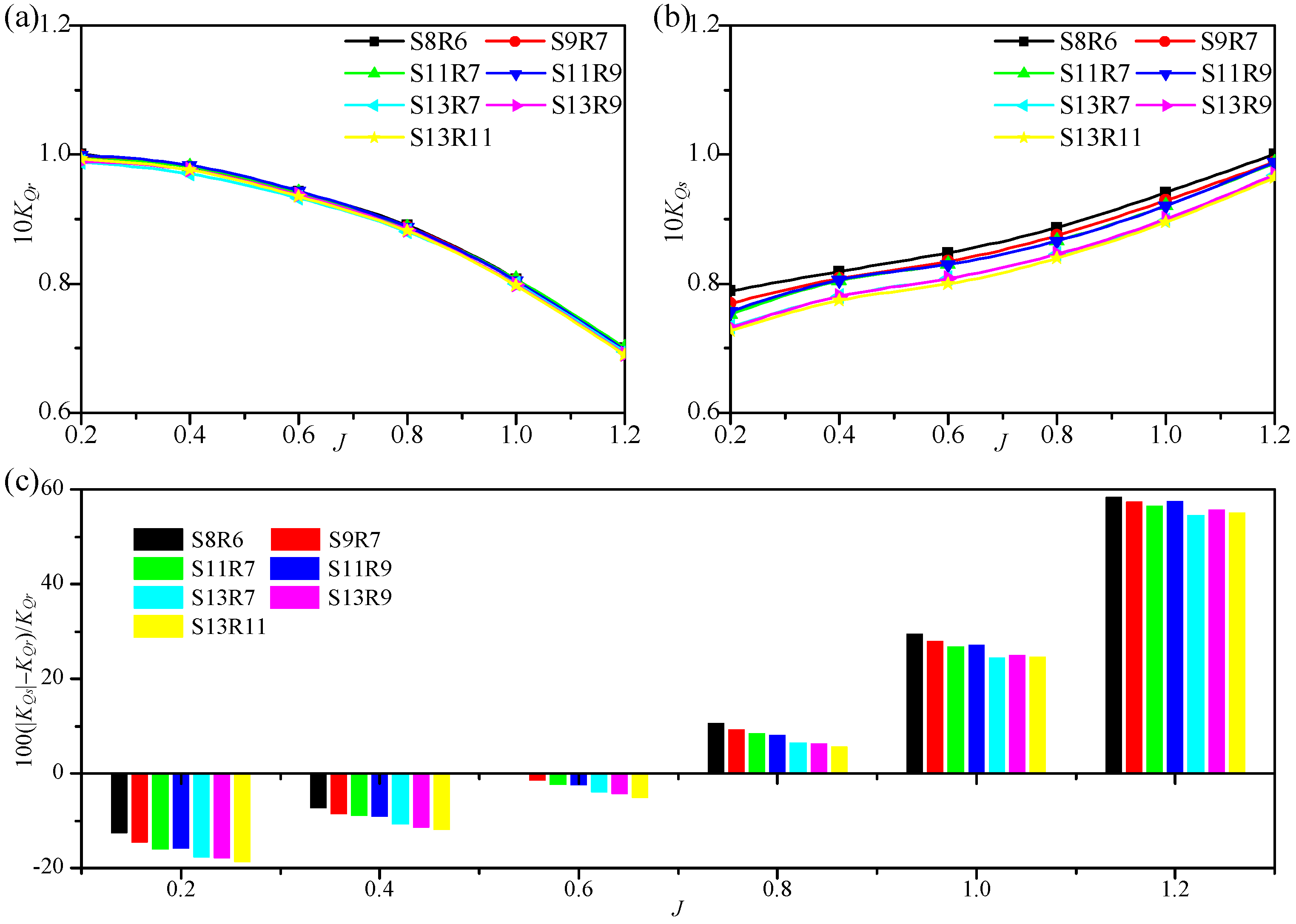
4.1. Propulsion
4.2. Flow Field
4.3. Vortices
5. Conclusions
- (1)
- Changing the blade number does not affect the PJP performance when the solidities of the stator and rotor are not changed;
- (2)
- Adopting coprime blade numbers of the stator and rotor decreases the peak amplitude of the rotor thrust fluctuation in the frequency domain. Nevertheless, the rotor thrust shows a large fluctuant range when the rotor blade number is close to the stators;
- (3)
- The duct side force shows a noticeable fluctuation, and a large difference in blade numbers between the stator and rotor causes high peaks in the frequency domain;
- (4)
- Increasing the rotor blade number decreases the effect range of tip clearance leakage flow on the suction side in the chord direction, while the effect range does not change in the radial direction. A rotor with more blades also results in a radially narrow core region in its wake. The intensity of the tip clearance leakage vortex is also decreased, and hence this vortex prematurely becomes more unstable before it is out of the duct. However, the total break of this vortex is completed after the interaction with the duct shedding vortex. The rotor wake vortices are notably weakened, and hence their effects on the stability of hub vortices decrease. Compared with the effects of stator wake vortices, the rotor wake vortices dominate the effects on the instability of hub vortices. Consequently, the hub vortices maintain a stable primary vortical structure with a long distance when increasing the rotor blade;
- (5)
- Increasing the stator blade number decreases the velocity gradient in the inner radii of the stator wake and results in a radial narrow stator wake in the rotor downstream. The decreased loading per stator blade weakens the high-intensity vortex in the stator wake vortices. Hence, the effects of this high-intensity vortex on the rotor wake vortices decrease.
Author Contributions
Funding
Institutional Review Board Statement
Informed Consent Statement
Data Availability Statement
Conflicts of Interest
References
- Suryanarayana, C.; Satyanarayana, B.; Ramji, K.; Saiju, A. Experimental evaluation of pumpjet propulsor for an axi-symmetric body in wind tunnel. Int. J. Nav. Archit. Ocean Eng. 2010, 2, 24–33. [Google Scholar] [CrossRef] [Green Version]
- Suryanarayana, C.; Satyanarayana, B.; Ramji, K. Performance evaluation of an underwater body and pumpjet by model testing in cavitation tunnel. Int. J. Nav. Archit. Ocean Eng. 2010, 2, 57–67. [Google Scholar] [CrossRef] [Green Version]
- Suryanarayana, C.; Satyanarayana, B.; Ramji, K.; Rao, M.N. Cavitation studies on axi-symmetric underwater body with pumpjet propulsor in cavitation tunnel. Int. J. Nav. Archit. Ocean Eng. 2010, 2, 185–194. [Google Scholar] [CrossRef] [Green Version]
- Ivanell, S. Hydrodynamic Simulation of a Torpedo with Pumpjet Propulsion System; Royal Institute of Technology: Stockholm, Sweden, 2001. [Google Scholar]
- Shirazi, A.T.; Nazari, M.R.; Manshadi, M.D. Numerical and experimental investigation of the fluid flow on a full-scale pump jet thruster. Ocean Eng. 2019, 182, 527–539. [Google Scholar] [CrossRef]
- Li, H.; Pan, G.; Huang, Q. Transient analysis of the fluid flow on a pumpjet propulsor. Ocean Eng. 2019, 191, 106520. [Google Scholar] [CrossRef]
- Yu, H.; Zhang, Z.; Hua, H. Numerical investigation of tip clearance effects on propulsion performance and pressure fluctuation of a pump-jet propulsor. Ocean Eng. 2019, 192, 106500. [Google Scholar] [CrossRef]
- Yu, H.; Duan, N.; Hua, H.; Zhang, Z. Propulsion performance and unsteady forces of a pump-jet propulsor with different pre-swirl stator parameters. Appl. Ocean Res. 2020, 100, 102184. [Google Scholar] [CrossRef]
- Huang, Q.; Li, H.; Pan, G.; Dong, X. Effects of duct parameter on pump-jet propulsor unsteady hydrodynamic performance. Ocean Eng. 2021, 221, 108509. [Google Scholar] [CrossRef]
- Qiu, C.; Pan, G.; Huang, Q.; Shi, Y. Numerical analysis of unsteady hydrodynamic performance of pump-jet propulsor in oblique flow. Int. J. Nav. Archit. Ocean Eng. 2020, 12, 102–115. [Google Scholar] [CrossRef]
- Li, H.; Huang, Q.; Pan, G.; Dong, X. The transient prediction of a pre-swirl stator pump-jet propulsor and a comparative study of hybrid RANS/LES simulations on the wake vortices. Ocean Eng. 2020, 203, 107224. [Google Scholar] [CrossRef]
- Li, H.; Huang, Q.; Pan, G.; Dong, X. Wake instabilities of a pre-swirl stator pump-jet propulsor. Phys. Fluids 2021, 33, 085119. [Google Scholar]
- Shi, Y.; Pan, G.; Huang, Q.; Du, X. Numerical Simulation of Cavitation Characteristics for Pump-jet Propeller. J. Phys. 2015, 640, 012035. [Google Scholar] [CrossRef]
- Pan, G.; Lu, L.; Sahoo, P.K. Numerical simulation of unsteady cavitating flows of pumpjet propulsor. Ships Offshore Struct. 2016, 11, 64–74. [Google Scholar] [CrossRef]
- Sun, Y.; Liu, W.; Li, T.Y. Numerical investigation on noise reduction mechanism of serrated trailing edge installed on a pump-jet duct. Ocean Eng. 2019, 191, 106489. [Google Scholar] [CrossRef]
- Wang, C.; Weng, K.; Guo, C.; Gu, L. Prediction of hydrodynamic performance of pump propeller considering the effect of tip vortex. Ocean Eng. 2019, 171, 259–272. [Google Scholar] [CrossRef]
- Wang, C.; Weng, K.; Guo, C.; Chang, X.; Gu, L. Analysis of influence of duct geometrical parameters on pump jet propulsor hydrodynamic performance. J. Mar. Sci. Technol. 2020, 25, 640–657. [Google Scholar] [CrossRef]
- Kumar, P.; Mahesh, K. Large eddy simulation of propeller wake instabilities. J. Fluid Mech. 2017, 814, 361–396. [Google Scholar] [CrossRef]
- Ahmed, S.; Croaker, P.; Doolan, C.J. On the instability mechanisms of ship propeller wakes. Ocean Eng. 2020, 213, 107609. [Google Scholar] [CrossRef]
- Posa, A.; Broglia, R.; Balaras, E. The wake structure of a propeller operating upstream of a hydrofoil. J. Fluid Mech. 2020, 904. [Google Scholar] [CrossRef]
- Jing, Z.; Ducoin, A. Direct numerical simulation and stability analysis of the transitional boundary layer on a marine propeller blade. Phys. Fluids 2020, 32, 124102. [Google Scholar] [CrossRef]
- Long, Y.; Han, C.; Long, X.; Ji, B.; Huang, H. Verification and validation of Delayed Detached Eddy Simulation for cavitating turbulent flow around a hydrofoil and a marine propeller behind the hull. Appl. Math. Model. 2021, 96, 382–401. [Google Scholar] [CrossRef]
- Li, H.; Pan, G.; Huang, Q.; Shi, Y. Numerical Prediction of the Pumpjet Propulsor Tip Clearance Vortex Cavitation in Uniform Flow. J. Shanghai Jiaotong Univ. 2020, 25, 352–364. [Google Scholar] [CrossRef]
- Yuan, J.; Chen, Y.; Wang, L.; Fu, Y.; Zhou, Y.; Xu, J.; Lu, R. Dynamic analysis of cavitation tip vortex of pump-jet propeller based on DES. Appl. Sci. 2020, 10, 5998. [Google Scholar] [CrossRef]
- Su, Z.; Shi, S.; Huang, X.; Rao, Z.; Hua, H. Vibro-acoustic characteristics of a coupled pump-jet–Shafting system–SUBOFF model under distributed unsteady hydrodynamics by a pump-jet. Ocean Eng. 2021, 235, 109429. [Google Scholar] [CrossRef]
- Ji, X.Q.; Dong, X.Q.; Yang, C.J. Attenuation of the Tip-Clearance Flow in a Pump-Jet Propulsor by Thickening and Raking the Tips of Rotor Blades: A Numerical Study. Appl. Ocean Res. 2021, 113, 102723. [Google Scholar] [CrossRef]
- Gong, J.; Guo, C.Y.; Zhao, D.G.; Wu, T.C.; Song, K.W. A comparative DES study of wake vortex evolution for ducted and non-ducted propellers. Ocean Eng. 2018, 160, 78–93. [Google Scholar] [CrossRef]
- Villa, D.; Gaggero, S.; Tani, G.; Viviani, M. Numerical and experimental comparison of ducted and non-ducted propellers. J. Mar. Sci. Eng. 2020, 8, 257. [Google Scholar] [CrossRef] [Green Version]
- Stark, C.; Shi, W.; Troll, M. Cavitation funnel effect: Bio-inspired leading-edge tubercle application on ducted marine propeller blades. Appl. Ocean Res. 2021, 116, 102864. [Google Scholar] [CrossRef]
- Felli, M.; Guj, G.; Camussi, R. Effect of the number of blades on propeller wake evolution. Exp. Fluids 2008, 44, 409–418. [Google Scholar] [CrossRef]
- Felli, M.; Camussi, R.; Di Felice, F. Mechanisms of evolution of the propeller wake in the transition and far fields. J. Fluid Mech. 2011, 682, 5–53. [Google Scholar] [CrossRef] [Green Version]
- Malmir, R. A CFD study on the correlation between the skew angle and blade number of hydrodynamic performance of a submarine propeller. J. Braz. Soc. Mech. Sci. Eng. 2019, 41, 1–14. [Google Scholar] [CrossRef]
- Wang, L.Z.; Guo, C.Y.; Su, Y.M.; Wu, T.C. A numerical study on the correlation between the evolution of propeller trailing vortex wake and skew of propellers. Int. J. Nav. Archit. Ocean Eng. 2018, 10, 212–224. [Google Scholar] [CrossRef]
- Spalart, P.R. Comments on the feasibility of LES for wings, and on a hybrid RANS/LES approach. In Proceedings of the First AFOSR International Conference on DNS/LES, Ruston, LA, USA, 4–8 August 1997; p. 1. [Google Scholar]
- Strelets, M. Detached eddy simulation of massively separated flows. In Proceedings of the 39th Aerospace Sciences Meeting and Exhibit, Reno, NV, USA, 8–11 January 2001; p. 879. [Google Scholar]
- Gritskevich, M.S.; Garbaruk, A.V.; Schütze, J.; Menter, F.R. Development of DDES and IDDES formulations for the k-ω shear stress transport model. Flow Turbul. Combust. 2012, 88, 431–449. [Google Scholar] [CrossRef]
- Menter, F.R. Two-equation eddy-viscosity turbulence models for engineering applications. AIAA J. 1994, 32, 1598–1605. [Google Scholar] [CrossRef] [Green Version]
- Menter, F.R.; Smirnov, P.E.; Liu, T.; Avancha, R. A one-equation local correlation-based transition model. Flow Turbul. Combust. 2015, 95, 583–619. [Google Scholar] [CrossRef]
- Nicoud, F.; Ducros, F. Subgrid-scale stress modelling based on the square of the velocity gradient tensor. Flow Turbul. Combust. 1999, 62, 183–200. [Google Scholar] [CrossRef]
- Li, H.; Huang, Q.; Pan, G.; Dong, X. Assessment of transition modeling for the unsteady performance of a pump-jet propulsor in model scale. Appl. Ocean Res. 2021, 108, 102537. [Google Scholar] [CrossRef]
- Liu, C.; Wang, Y.; Yang, Y.; Duan, Z. New omega vortex identification method. Sci. China Phys. Mech. Astron. 2016, 59, 1–9. [Google Scholar] [CrossRef]
- Liu, J.m.; Wang, Y.Q.; Gao, Y.S.; Liu, C. Galilean invariance of Omega vortex identification method. J. Hydrodyn. 2019, 31, 249–255. [Google Scholar] [CrossRef]
- Di Mascio, A.; Muscari, R.; Dubbioso, G. On the wake dynamics of a propeller operating in drift. J. Fluid Mech. 2014, 754, 263–307. [Google Scholar] [CrossRef]




























| 0.5 | 0.6 | 0.7 | 0.8 | 0.9 | 1.0 | 1.1 | 1.2 | |
| (rad) | 0.2009 | 0.2716 | 0.3146 | 0.3311 | 0.3246 | 0.2967 | 0.2399 | 0.1705 |
| 0.3 | 0.4 | 0.5 | 0.6 | 0.7 | 0.8 | 0.9 | 1.0 | |
| (rad) | 0.8161 | 0.7061 | 0.6075 | 0.5287 | 0.4649 | 0.4012 | 0.3351 | 0.2658 |
| 0.000 | 0.0250 | 0.050 | 0.075 | 0.100 | 0.200 | 0.300 | 0.400 | |
| 0.6393 | 0.6156 | 0.6053 | 0.5952 | 0.5866 | 0.5582 | 0.5361 | 0.5182 | |
| 0.6393 | 0.6548 | 0.6567 | 0.6588 | 0.6592 | 0.6561 | 0.6445 | 0.6307 | |
| 0.500 | 0.600 | 0.700 | 0.800 | 0.900 | 1.000 | 1.025 | 1.050 | |
| 0.5076 | 0.5060 | 0.5060 | 0.4990 | 0.4762 | 0.4468 | 0.4421 | 0.4387 | |
| 0.6151 | 0.5978 | 0.5758 | 0.5488 | 0.5168 | 0.4795 | 0.4681 | 0.4582 |
| PJP Model | S8R6 | S9R7 | S11R7 | S11R9 | S13R7 | S13R9 | S13R11 |
|---|---|---|---|---|---|---|---|
| ID | 1 | 2 | 3 | 4 | 5 | 6 | 7 |
| 6 | 7 | 7 | 9 | 7 | 9 | 11 | |
| 8 | 9 | 11 | 11 | 13 | 13 | 13 |
| PJP Subdomains | S8R6 | S9R7 | S11R7 | S11R9 | S13R7 | S13R9 | S13R11 |
|---|---|---|---|---|---|---|---|
| rotor | 6.97 | 6.83 | 6.83 | 6.99 | 6.83 | 6.99 | 7.51 |
| stator | 5.73 | 6.14 | 6.76 | 6.76 | 6.96 | 6.96 | 6.96 |
| outer0 | 8.15 | ||||||
| outer1 | 1.89 | ||||||
| outer0 (refined) | 20.63 | ||||||
| outer1 (refined) | 5.70 | ||||||
Publisher’s Note: MDPI stays neutral with regard to jurisdictional claims in published maps and institutional affiliations. |
© 2021 by the authors. Licensee MDPI, Basel, Switzerland. This article is an open access article distributed under the terms and conditions of the Creative Commons Attribution (CC BY) license (https://creativecommons.org/licenses/by/4.0/).
Share and Cite
Li, H.; Huang, Q.; Pan, G.; Dong, X.; Li, F. Effects of Blade Number on the Propulsion and Vortical Structures of Pre-Swirl Stator Pump-Jet Propulsors. J. Mar. Sci. Eng. 2021, 9, 1406. https://doi.org/10.3390/jmse9121406
Li H, Huang Q, Pan G, Dong X, Li F. Effects of Blade Number on the Propulsion and Vortical Structures of Pre-Swirl Stator Pump-Jet Propulsors. Journal of Marine Science and Engineering. 2021; 9(12):1406. https://doi.org/10.3390/jmse9121406
Chicago/Turabian StyleLi, Han, Qiaogao Huang, Guang Pan, Xinguo Dong, and Fuzheng Li. 2021. "Effects of Blade Number on the Propulsion and Vortical Structures of Pre-Swirl Stator Pump-Jet Propulsors" Journal of Marine Science and Engineering 9, no. 12: 1406. https://doi.org/10.3390/jmse9121406
APA StyleLi, H., Huang, Q., Pan, G., Dong, X., & Li, F. (2021). Effects of Blade Number on the Propulsion and Vortical Structures of Pre-Swirl Stator Pump-Jet Propulsors. Journal of Marine Science and Engineering, 9(12), 1406. https://doi.org/10.3390/jmse9121406

