Physiological Responses of Intrinsic Small Abalone Haliotis diversicolor aquatilis under High Temperature Stress by Low Level 60CO Gamma Irradiation-Mediated Hormetic Effect
Abstract
1. Introduction
2. Materials and Methods
2.1. Animals
2.2. Fabrication of the Case for Gamma-Ray Irradiation Use
2.3. 60CO Gamma Irradiation
2.4. Seed Production of Haliotis Diversicolor Aquatilis after Gamma-Ray Irradiation
2.5. Fertilization Rate and Hatching Rate Count
2.6. Larvae Management
2.7. Changes in Attachment Rate and Growth Rate
2.8. Immune-Activity Changes of Small Abalones Due to Water Temperature Stress
2.9. Statistical Tool
3. Results and Discussion
3.1. Survival Rate of Parent Shellfish and Fertilization Rate
3.2. Hatching Rate and Attachment Rate Measurement
3.3. Growth Measurement of Small Abalones
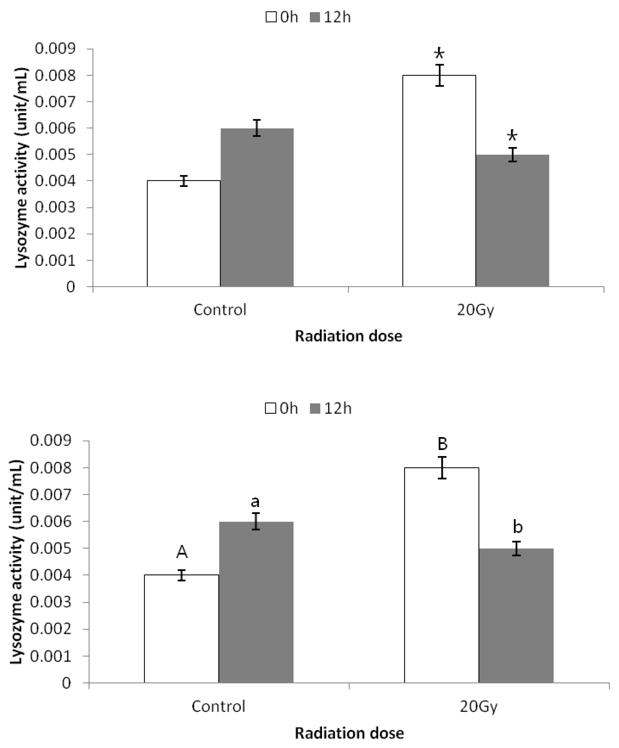
3.4. Changes of Immune-Activity by Water Temperature Stress
4. Conclusions
Author Contributions
Funding
Acknowledgments
Conflicts of Interest
References
- Ikushima, T.; Aritomi, H.; Morisita, J. Radioadaptiveresponse; Efficient repair of radiation induced DNA damage in adapted cell. Mutat. Res. 1996, 358, 193–198. [Google Scholar] [CrossRef]
- Cho, K.; Jwa, M.-S.; Moon, H.-N.; Hur, S.-P.; Kim, D.; Yeo, I.-K. Hormetic effect of 60Co gamma radiation on tolerance to salinity and temperature stress in Haliotis discus discus. Aquaculture 2016, 451, 473–479. [Google Scholar] [CrossRef]
- Mattson, M.P. Awareness of Hormesis Will Enhance Future Research in Basic and Applied Neuroscience. Crit. Rev. Toxicol. 2008, 38, 633–639. [Google Scholar] [CrossRef] [PubMed]
- Lee, H.Y.; Kim, J.S.; Baek, M.H.; Lee, Y.K.; Im, D.S. Effects of low dose γ-radiation on the growth, activities of enzymes and photosynthetic activities of gourd (Lagenaria siceraria). Korean J. Environ. Biol. 2002, 20, 197–204. [Google Scholar]
- Kim, K.J.; Choe, M.K.; Yeo, I.K. Effect of gamma-ray on growth of juvenile abalone Haliotis discus hannai. Korean J. Environ. Biol. 2007, 25, 107–114. [Google Scholar]
- Jwa, M.S.; Yeo, I.K. Early growth changes in juvenile abalone Haliotis discus discus produced by irradiation with low-dose 60co gamma-rays. Korean J. Fish. Aquat. Sci. 2015, 48, 193–199. [Google Scholar] [CrossRef]
- Day, R.W.; Fleming, A.E. The determinants and measurement of abalone growth. In Abalone of the World: Biology, Fisheries and Culture; Shepherd, S.A., Tegner, M.J., Guzman, S.A., Del Proo, S.A., Eds.; Fishing News Books; Blackwell: Oxford, UK, 1992; pp. 141–168. [Google Scholar]
- Huchette, M.H.S.; Koh, C.S.; Day, R.W. Growth of juvenile blacklip abalone (Haliotis rubra) in aquaculture tank: Effects of density and ammonia. Aquaculture 2003, 219, 457–470. [Google Scholar] [CrossRef]
- Kim, T.H.; Yang, M.H.; Choe, M.K.; Han, S.J.; Yeo, I.K. Physiological studies on acute water-temperature stress of juvenile abalone, Haliotis discus hannai. Korean J. Aquacult. 2005, 18, 7–12. [Google Scholar]
- Jwa, M.S.; Kang, K.P.; Choe, M.K.; Yeo, I.K. Effects of low salinity stresses on the physiology of disc abalone, Haliotis discus discus. J. Fish Pathol. 2009, 22, 293–303. [Google Scholar]
- Choe, M.K.; Yang, S.G.; Won, S.H.; Park, C.J.; Han, S.J.; Yeo, I.K. Estimation of genetic parameters for growth-related traits in 9-month old of two Korean abalone subspecies, Haliotis discus hannai and H. discus discus, by using multiple traits of animal model. Korean J. Fish. Aquat. Sci. 2009, 42, 591–599. [Google Scholar]
- Kim, J.K.; Lim, S.H.; Kim, I.J.; Lee, Y.H.; Kang, H.W. Mutagenesis of Pleurotus eryngii by gamma-ray irradiation. Korean J. Mycol. 2012, 40, 93–97. [Google Scholar] [CrossRef][Green Version]
- Kim, J.B.; Lee, K.J.; Kim, D.S.; Ha, B.K.; Kim, S.H.; Song, H.S.; Kang, S.Y. An improved soybean cultivar ‘Wonyul’ with resistance to phomopsis seed decay by mutation breeding. Korean J. Breed Sci. 2013, 45, 293–297. [Google Scholar] [CrossRef]
- Dubner, D.; Gisone, P.; Jaitovich, I.; Perez, M. Free radicals production and estimation of oxidative stress related to γ irradiation. Biol. Trace Element Res. 1995, 47, 265–270. [Google Scholar] [CrossRef] [PubMed]
- Kim, Y.S.; Woo, C.K.; Lee, Y.S.; Koh, J.K.; Chun, H.C.; Lee, M.Z. Expression of Jun and p53 genes from the brain of rats irradiated with 60Co γ-ray. J. Korean Soc. Radiol. 1996, 14, 265–280. [Google Scholar]
- Lee, E.K.; Kim, J.S.; Lee, Y.K.; Lee, Y.B. Effects of low dose γ-ray irradiation on the germination and growth in red pepper. J. Kor Soc. Hort. Sci. 1998, 39, 670–675. [Google Scholar]
- Kim, J.S.; Lee, E.K.; Back, M.H.; Kim, D.H.; Lee, Y.B. Influence of low dose γ radiation on the physiology of germinative seed of vegetable crops. Korean J. Environ. Agric. 2000, 19, 58–61. [Google Scholar]
- Kim, J.S.; Lee, Y.K.; Park, H.S.; Back, M.H.; Chung, K.H. Effects of low dose gamma radiation on the early growth and physiological activity of gourd (Lagenaria leucanthal). Korean J. Environ. Agric. 2000, 19, 142–146. [Google Scholar]
- Kim, J.K.; Lee, C.J.; Lee, Y.K.; Song, K.W.; Yoon, Y.D. Cell cycle evaluation of granulosa cells in the γ-radiated mouse ovarian follicles. J. Radiat. Prot. 1999, 24, 17–22. [Google Scholar]
- Koeep, R.; Kramer, M. Photosynthetic activity and distribution of photoassimilated 14C in seedlings of zeamays grown from gama-irradiated seeds. Photosynthetica 1981, 15, 484–493. [Google Scholar]
- Kim, Y.S.; Ji, S.C.; Biswajit, K.B.; Amal, B.; Jeong, G.S.; Osamu, M.; Kenji, T. Growth and environmental tolerances (Water Temperature and Low Salinity) of hybrid female red sea bream Pagrus major × male black sea bream Acanthopagrus schlegelii. Korean J. Fish. Aquat. Sci. 2011, 44, 276–283. [Google Scholar] [CrossRef][Green Version]
- Wang, W.; Mai, K.; Zhang, W.; Xu, W.; Ai, Q.; Liufu, Z.; Li, H. Dietary selenium requirement and its toxicity in juvenile abalone Haliotis discus hannai Ino. Aquaculture 2012, 333, 42–46. [Google Scholar] [CrossRef]
- Mohandas, S. Effect of presowing seed treatment with molybdenum and cobalt on growth, nitrogen and yield in bean (Phaseolus vulgaris L.). Plant Soil 1985, 86, 283–285. [Google Scholar] [CrossRef]







Publisher’s Note: MDPI stays neutral with regard to jurisdictional claims in published maps and institutional affiliations. |
© 2020 by the authors. Licensee MDPI, Basel, Switzerland. This article is an open access article distributed under the terms and conditions of the Creative Commons Attribution (CC BY) license (http://creativecommons.org/licenses/by/4.0/).
Share and Cite
Jwa, M.-s.; Hong, C.-Y. Physiological Responses of Intrinsic Small Abalone Haliotis diversicolor aquatilis under High Temperature Stress by Low Level 60CO Gamma Irradiation-Mediated Hormetic Effect. J. Mar. Sci. Eng. 2020, 8, 906. https://doi.org/10.3390/jmse8110906
Jwa M-s, Hong C-Y. Physiological Responses of Intrinsic Small Abalone Haliotis diversicolor aquatilis under High Temperature Stress by Low Level 60CO Gamma Irradiation-Mediated Hormetic Effect. Journal of Marine Science and Engineering. 2020; 8(11):906. https://doi.org/10.3390/jmse8110906
Chicago/Turabian StyleJwa, Min-seok, and Chang-Yu Hong. 2020. "Physiological Responses of Intrinsic Small Abalone Haliotis diversicolor aquatilis under High Temperature Stress by Low Level 60CO Gamma Irradiation-Mediated Hormetic Effect" Journal of Marine Science and Engineering 8, no. 11: 906. https://doi.org/10.3390/jmse8110906
APA StyleJwa, M.-s., & Hong, C.-Y. (2020). Physiological Responses of Intrinsic Small Abalone Haliotis diversicolor aquatilis under High Temperature Stress by Low Level 60CO Gamma Irradiation-Mediated Hormetic Effect. Journal of Marine Science and Engineering, 8(11), 906. https://doi.org/10.3390/jmse8110906
