Sign in to use this feature.

Years

Between: -

Subjects

remove_circle_outline
remove_circle_outline
remove_circle_outline
remove_circle_outline
remove_circle_outline
remove_circle_outline
remove_circle_outline
remove_circle_outline
remove_circle_outline

Journals

Article Types

Countries / Regions

Search Results (96)

Search Parameters:
Keywords = 60CO-gamma irradiation

Order results
Result details
Results per page
Select all
Export citation of selected articles as:
18 pages, 3709 KB  
Article
Synthesis of a Stimulus-Sensitive Copolymer with Response to Temperature and pH in Silicone Catheters
by Yanet González Alonso and Emilio Bucio
Polymers 2025, 17(23), 3107; https://doi.org/10.3390/polym17233107 - 23 Nov 2025
Viewed by 288
Abstract
This work aimed to synthesize a graft copolymer with temperature- and pH-responsive properties. The synthesis of SR-cat-g-(NVCL/NVIM) was carried out using the direct irradiation method with a 60Co gamma-ray source (Gammabeam 651 PT). The temperature- and pH-responsive monomers, N-vinylcaprolactam (NVCL) [...] Read more.
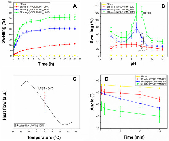
This work aimed to synthesize a graft copolymer with temperature- and pH-responsive properties. The synthesis of SR-cat-g-(NVCL/NVIM) was carried out using the direct irradiation method with a 60Co gamma-ray source (Gammabeam 651 PT). The temperature- and pH-responsive monomers, N-vinylcaprolactam (NVCL) and N-vinylimidazole (NVIM), respectively, were grafted onto silicone catheters. The effects of irradiation dose and monomer concentration on grafting efficiency were studied. A direct relationship was found between grafting efficiency and both irradiation dose and monomer concentration. As these parameters increased, the grafting percentage also increased. The biomaterial was characterized by using Fourier-Transform Infrared Spectroscopy (FT-IR), Differential Scanning Calorimetry (DSC), Thermogravimetric Analysis (TGA), Scanning Electron Microscopy (SEM), swelling, and a water contact angle measurement. The swelling behavior was also investigated by varying temperature and pH. The Lower Critical Solution Temperature (LCST) was observed around 34 °C, and pH sensitivity was detected between pH 8 and 8.5. Mechanical tests were performed to conduct a systematic analysis relating to the grafting percentage and the ratio between grafted polymers and Young’s modulus. Finally, the loading and release capacity of norfloxacin in the modified catheters was evaluated. Full article
Show Figures

Figure 1

20 pages, 2753 KB  
Article
Preclinical Study of Pain Neuropeptide Expression in Murine Sensory Neurons Induced by Irradiated Osteoclasts in the Context of Stereotactic Body Radiation Therapy
by Sun H. Park, Megan Peters, Caleb Aguayo, Michael K. Farris, Ryan T. Hughes, Joseph Moore, Michael T. Munley, Kaitlyn E. Reno, Jeffrey A. Foster, Jean Gardin, George W. Schaaf, J. Mark Cline, Christopher M. Peters and Jeffrey S. Willey
Cells 2025, 14(17), 1324; https://doi.org/10.3390/cells14171324 - 27 Aug 2025
Viewed by 998
Abstract
Stereotactic body radiation therapy (SBRT) for lung tumors near the chest wall often causes significant chest wall pain (CWP), negatively impacting patients’ quality of life. The mechanisms behind SBRT-induced CWP remain unclear and may involve multiple factors. We investigated crosstalk between radiation-activated osteoclasts [...] Read more.
Stereotactic body radiation therapy (SBRT) for lung tumors near the chest wall often causes significant chest wall pain (CWP), negatively impacting patients’ quality of life. The mechanisms behind SBRT-induced CWP remain unclear and may involve multiple factors. We investigated crosstalk between radiation-activated osteoclasts and sensory neurons, focusing on osteoclast-derived factors in CWP. Using murine pre-osteoclast cell line Raw264.7, we induced differentiation with Receptor Activator of Nuclear Factor kappa-beta Ligand (RANKL), followed by 10 Gy gamma-irradiation. Conditioned media (C.M) from irradiated osteoclasts was used to treat sensory neuronal cultures from mouse dorsal root ganglia. Neuronal cultures were also exposed to 10 Gy radiation, with and without osteoclast co-culture. Osteoclast markers and pain-associated neuropeptides were analyzed using RT-qPCR and histochemical staining. Osteoclasts differentiation and activity were inhibited using osteoprotegerin (OPG) and risedronate. High-dose radiation significantly increased the size of tartrate-resistant-acid-phosphatase (TRAP)-positive osteoclasts (1.36-fold) and activity biomarkers (Ctsk, 1.35-fold, Mmp9, 1.76-fold). Neurons treated with C.M from irradiated osteoclasts showed ~1.5-fold increase in Calca (calcitonin gene-related peptide) and Tac1 (substance P) expression, which was mitigated by osteoclast inhibitors. These findings suggest that radiation enhances osteoclast activity and promotes pain signaling. Osteoclast inhibitors may represent a therapeutic strategy to reduce CWP and improve quality of life. Full article
(This article belongs to the Section Cell Signaling)
Show Figures

Graphical abstract

20 pages, 8673 KB  
Article
Potential of Lactoferrin Against the Radiation-Induced Brain Injury
by Marina Yu. Kopaeva, Anton B. Cherepov, Irina B. Alchinova, Daria A. Shaposhnikova, Anna V. Rybakova and Alexandr P. Trashkov
Cells 2025, 14(15), 1198; https://doi.org/10.3390/cells14151198 - 4 Aug 2025
Viewed by 867
Abstract
The purpose of this work was to study the effects of lactoferrin (Lf) on acute (days 3 and 15) and early-delayed (day 30) changes in the dentate gyrus of mouse hippocampus caused by whole-body gamma-irradiation. Male C57BL/6 mice received Lf (4 mg per [...] Read more.
The purpose of this work was to study the effects of lactoferrin (Lf) on acute (days 3 and 15) and early-delayed (day 30) changes in the dentate gyrus of mouse hippocampus caused by whole-body gamma-irradiation. Male C57BL/6 mice received Lf (4 mg per mouse, i.p. injection) immediately after whole-body gamma-irradiation at a dose of 7.5 Gy from a 60Co source. The effect of Lf on mouse behavior was evaluated using “Open field” and “Elevated plus-maze” tests. The proportion of cells with DNA replication was determined by 5-ethynyl-2′-deoxyuridine incorporation (thymidine analog) and detected by a click reaction with azide Alexa Fluor 568. Lf treatment increased animal survival during the experiment (30 days), compensated for radiation-induced body weight loss, and prevented suppression of motor and exploratory activities. A pronounced anti-radiation effect of Lf on mouse brain cells has been demonstrated. A single injection of the protein allowed preserving 2-fold more proliferating cells and immature neurons in the dentate gyrus of the hippocampus of irradiated animals during the acute period of post-radiation injury development. Full article
Show Figures

Graphical abstract

9 pages, 413 KB  
Review
Co-Cultivation Assays for Detecting Infectious Human-Tropic Porcine Endogenous Retroviruses (PERVs)
by Joachim Denner
Int. J. Mol. Sci. 2025, 26(15), 7111; https://doi.org/10.3390/ijms26157111 - 23 Jul 2025
Viewed by 1217
Abstract
Porcine endogenous retroviruses (PERVs) are integrated into the genome of all pigs. As they can be released as infectious virus particles capable of infecting human cells in vitro, they pose a potential risk for xenotransplantation involving pig cells or organs. To assess whether [...] Read more.
Porcine endogenous retroviruses (PERVs) are integrated into the genome of all pigs. As they can be released as infectious virus particles capable of infecting human cells in vitro, they pose a potential risk for xenotransplantation involving pig cells or organs. To assess whether pigs produce infectious human-tropic viruses, infection assays with human cells are required. There are three main types of assays. First is the incubation of human target cells with gamma-irradiated pig cells. This method ensures that viral transmission is assessed in the absence of replicating pig cells. However, gamma irradiation may alter gene expression in pig cells, potentially affecting the results. Second is the co-culture in a double-chamber system in which pig and human cells are separated by a porous membrane, preventing direct cell-to-cell contact. While this method allows for the detection of infection by free virus particles, it does not account for infection via cell-to-cell transmission, which is a common mode of retroviral infection. And third is the co-culture of pig cells with human cells expressing a resistance gene. The resistance gene allows selective elimination of pig cells upon the addition of a selection medium. This assay enables both free virus and cell-to-cell transmission as well as complete removal of pig cells, which may not be fully achieved in the first type of assay. The third assay best simulates the conditions of in vivo xenotransplantation. However, in all cases the selection of donor and recipient cells is crucial to the experimental outcome. Results only indicate whether a specific pig cell type releases PERVs and whether a specific human cell type is susceptible to infection. A negative infection result does not necessarily reflect the in vivo situation, in which a transplanted organ consists of multiple pig cell types interacting with a diverse range of human cells within a living organism. Knowledge of these limitations is important for authorities regulating clinical applications for xenotransplantation. Full article
(This article belongs to the Special Issue Microbial Infections and Novel Biological Molecules for Treatment)
Show Figures

Figure 1

13 pages, 3181 KB  
Article
Mitigating Microbial Artifacts in Laboratory Research on Underground Hydrogen Storage
by Adnan Aftab, Silvia J. Salgar-Chaparro, Quan Xie, Ali Saeedi and Mohammad Sarmadivaleh
Fuels 2025, 6(3), 52; https://doi.org/10.3390/fuels6030052 - 1 Jul 2025
Viewed by 838
Abstract
The global energy sector is aiming to substantially reduce CO2 emissions to meet the UN climate goals. Among the proposed strategies, underground storage solutions such as radioactive disposal, CO2, NH3, and underground H2 storage (UHS) have emerged [...] Read more.
The global energy sector is aiming to substantially reduce CO2 emissions to meet the UN climate goals. Among the proposed strategies, underground storage solutions such as radioactive disposal, CO2, NH3, and underground H2 storage (UHS) have emerged as promising options for mitigating anthropogenic emissions. These approaches require rigorous research and development (R&D), often involving laboratory-scale experiments to establish their feasibility before being scaled up to pilot plant operations. Microorganisms, which are ubiquitous in laboratory environments, can significantly influence geochemical reactions under variable experimental conditions of porous media and a salt cavern. We have selected a consortium composed of Bacillus sp., Enterobacter sp., and Cronobacter sp. bacteria, which are typically present in the laboratory environment. These microorganisms can contaminate the rock sample and develop experimental artifacts in UHS experiments. Hence, it is pivotal to sterilize the rock prior to conduct experimental research related to effects of microorganisms in the porous media and the salt cavern for the investigation of UHS. This study investigated the efficacy of various disinfection and sterilization methods, including ultraviolet irradiation, autoclaving, oven heating, ethanol treatments, and gamma irradiation, in removing the microorganisms from silica sand. Additionally, the consideration of their effects on mineral properties are reviewed. A total of 567 vials, each filled with 9 mL of acid-producing bacteria (APB) media were used to test killing efficacy of the cleaning methods. We conducted serial dilutions up to 10−8 and repeated them three times to determine whether any deviation occurred. Our findings revealed that gamma irradiation and autoclaving were the most effective techniques for eradicating microbial contaminants, achieving sterilization without significantly altering the mineral characteristics. These findings underscore the necessity of robust cleaning protocols in hydrogeochemical research to ensure reliable, reproducible data, particularly in future studies where microbial contamination could induce artifacts in laboratory research. Full article
Show Figures

Figure 1

14 pages, 3143 KB  
Article
Characterization of a Gamma Radiation (60Co) Induced Mutant Population of Prickly Pear Cactus (Opuntia velutina F.A.C. Weber) Plants In Vitro Using ISSR Molecular Markers
by Eréndira Rubio-Ochoa, Eulogio De la Cruz-Torres, Rosa Elena Pérez-Sánchez, Héctor Eduardo Martínez-Flores, Liberato Portillo, Pedro Antonio García-Saucedo and Juan Florencio Gómez-Leyva
Horticulturae 2025, 11(7), 743; https://doi.org/10.3390/horticulturae11070743 - 27 Jun 2025
Viewed by 849
Abstract
The nopal cactus, a plant from the Cactaceae family, holds significant economic and nutritional value for Mexico. This study aimed to enhance the genetic diversity and morphological traits of Opuntia velutina, a species cultivated as a vegetable nopal. A total of 1050 in [...] Read more.
The nopal cactus, a plant from the Cactaceae family, holds significant economic and nutritional value for Mexico. This study aimed to enhance the genetic diversity and morphological traits of Opuntia velutina, a species cultivated as a vegetable nopal. A total of 1050 in vitro O. velutina explants were exposed to 15 different doses of gamma radiation from 60Co gamma, ranging from 5 to 125 Gy. The lethal dose was above 50 Gy, with an LD50 of 22.8 Gy for stimulating in vitro shoot growth. Shoots derived from doses between 5 and 50 Gy were subjected to in vitro shoot proliferation across four consecutive generations to stabilize morphological traits. Cluster analysis categorized the 178 irradiated shoots into 13 distinct morphological groups (CG1–CG13). Twenty-seven shoots exhibiting significant morphological improvements, such as a 50–100% increase in cladode length, up to a six-fold increase in shoot number, and up to a seven-fold increase in root number, were selected for molecular analysis of genetic diversity. Six primers were used with the Inter Simple Sequence Repeat (ISSR) molecular markers to examine genetic uniformity, yielding 54.5% polymorphic bands, indicating a high level of genetic variation. Both a UPGMA dendrogram and STRUCTURE-based Bayesian analysis confirmed the genetic divergence among the selected mutant lines. Overall, gamma irradiation effectively enhanced both phenotypic and genotypic diversity in O. velutina. This study corroborates that in vitro mutagenesis through gamma radiation is a viable strategy for generating novel genotypes with breeding potential within the Opuntia genus. Full article
(This article belongs to the Section Genetics, Genomics, Breeding, and Biotechnology (G2B2))
Show Figures

Figure 1

13 pages, 1876 KB  
Article
Total Ionizing Dose Effects on Lifetime of NMOSFETs Due to Hot Carrier-Induced Stress
by Yujuan He, Rui Gao, Teng Ma, Xiaowen Zhang, Xianyu Zhang and Yintang Yang
Electronics 2025, 14(13), 2563; https://doi.org/10.3390/electronics14132563 - 25 Jun 2025
Viewed by 986
Abstract
This study systematically investigates the mechanism by which total ionizing dose (TID) affects the lifetime degradation of NMOS devices induced by hot-carrier injection (HCI). Experiments involved Cobalt-60 (Co-60) gamma-ray irradiation to a cumulative dose of 500 krad (Si), followed by 168 h annealing [...] Read more.
This study systematically investigates the mechanism by which total ionizing dose (TID) affects the lifetime degradation of NMOS devices induced by hot-carrier injection (HCI). Experiments involved Cobalt-60 (Co-60) gamma-ray irradiation to a cumulative dose of 500 krad (Si), followed by 168 h annealing at 100 °C to simulate long-term stability. However, under HCI stress conditions (VD = 2.7 V, VG = 1.8 V), irradiated devices show a 6.93% increase in threshold voltage shift (ΔVth) compared to non-irradiated counterparts. According to the IEC 62416 standard, the lifetime degradation of irradiated devices induced by HCI stress is only 65% of that of non-irradiated devices. Conversely, when the saturation drain current (IDsat) degrades by 10%, the lifetime doubles compared to non-irradiated counterparts. Mechanistic analysis demonstrates that partial neutralization of E’ center positive charges at the gate oxide interface by hot electrons weakens the electric field shielding effect, accelerating ΔVth drift, while interface trap charges contribute minimally to degradation due to annealing-induced self-healing. The saturation drain current shift degradation primarily correlates with electron mobility variations. This work elucidates the multi-physics mechanisms through which TID impacts device reliability and provides critical insights for radiation-hardened design optimization. Full article
Show Figures

Figure 1

18 pages, 5983 KB  
Article
Plasma and Fecal Metabolites Combined with Gut Microbiome Reveal Systemic Metabolic Shifts in 60Co Gamma-Irradiated Rats
by Jie Zong, Haiyang Wu, Xuan Hu, Ami Yao, Wenhua Zhu, Guifang Dou, Shuchen Liu, Xiaoxia Zhu, Ruolan Gu, Yunbo Sun, Zhuona Wu, Shanshan Wang and Hui Gan
Metabolites 2025, 15(6), 363; https://doi.org/10.3390/metabo15060363 - 29 May 2025
Cited by 1 | Viewed by 1060
Abstract
Background: High-dose γ-ray exposure (≥7 Gy) in nuclear emergencies induces life-threatening acute radiation syndrome, characterized by rapid hematopoietic collapse (leukocytes <0.5 × 10⁹/L) and gastrointestinal barrier failure. While clinical biomarkers like leukocyte depletion guide current therapies targeting myelosuppression, the concomitant metabolic disturbances [...] Read more.
Background: High-dose γ-ray exposure (≥7 Gy) in nuclear emergencies induces life-threatening acute radiation syndrome, characterized by rapid hematopoietic collapse (leukocytes <0.5 × 10⁹/L) and gastrointestinal barrier failure. While clinical biomarkers like leukocyte depletion guide current therapies targeting myelosuppression, the concomitant metabolic disturbances and gut microbiota dysbiosis—critical determinants of delayed mortality—remain insufficiently profiled across the 28-day injury-recovery continuum. Methods: This study investigates the effects of 60Co γ-ray irradiation on metabolic characteristics and gut microbiota in Sprague Dawley rats using untargeted metabolomics and 16S rRNA sequencing. Meanwhile, body weight and complete blood counts were measured. Results: Body weight exhibited significant fluctuations, with the most pronounced deviation observed at 14 days. Blood counts revealed a rapid decline in white blood cells, red blood cells, and platelets post-irradiation, reaching nadirs at 7–14 days, followed by gradual recovery to near-normal levels by 28 days. Untargeted metabolomics identified 32 upregulated and 33 downregulated plasma metabolites at 14 days post-irradiation, while fecal metabolites showed 47 upregulated and 18 downregulated species at 3 days. Key metabolic pathways impacted included Glycerophospholipid metabolism, alpha-linolenic acid metabolism, and biosynthesis of unsaturated fatty acids. Gut microbiota analysis demonstrated no significant change in α-diversity but significant β-diversity shifts (p < 0.05), indicating a marked alteration in the compositional structure of the intestinal microbial community following radiation exposure. Principal coordinate analysis confirmed distinct clustering between control and irradiated groups, with increased abundance of Bacteroidota and decreased Firmicutes in irradiated rats. These findings highlight dynamic metabolic and microbial disruptions post-irradiation, with recovery patterns suggesting a 28-day restoration cycle. Spearman’s rank correlation analysis explored associations between the top 20 fecal metabolites and 50 abundant bacterial taxa. Norank_f_Muribaculaceae, Prevotellaceae_UCG-001, and Bacteroides showed significant correlations with various radiation-altered metabolites, highlighting metabolite–microbiota relationships post-radiation. Conclusions: This study provides insights into potential biomarkers for radiation-induced physiological damage and underscores the interplay between systemic metabolism and gut microbiota in radiation response. Full article
(This article belongs to the Section Advances in Metabolomics)
Show Figures

Figure 1

17 pages, 4659 KB  
Article
Effects of Gamma Irradiation on Solid Propellant Conventional and UV-Cured Binders
by Stefania Carlotti, Rocco Carcione, Beatrice D’Orsi, Tommaso Lusetti, Alessandro Finazzi, Jessica Scifo, Ilaria Di Sarcina, Matteo Ferrari, Alessia Cemmi and Filippo Maggi
Aerospace 2025, 12(6), 471; https://doi.org/10.3390/aerospace12060471 - 27 May 2025
Viewed by 916
Abstract
Ionizing radiations are responsible for bond scission, radical formation, and oxidative degradation of polymer matrices. This study focuses on the effects of gamma irradiation on solid propellant binders, targeting a comprehensive chemical and mechanical characterization of different formulations. Samples were produced either by [...] Read more.
Ionizing radiations are responsible for bond scission, radical formation, and oxidative degradation of polymer matrices. This study focuses on the effects of gamma irradiation on solid propellant binders, targeting a comprehensive chemical and mechanical characterization of different formulations. Samples were produced either by conventional methods based on hydroxyl-terminated polybutadiene and standard polyaddition reaction using isocyanates, or innovative approaches involving UV-driven radical curing. The samples were irradiated for comparison and to study their evolution as a function of three absorbed doses (25, 45, 130 kGy) for preliminary characterization studies, using a 60-Co gamma source. Samples were irradiated in air at uncontrolled room temperature. The coupling of spectroscopy techniques (Fourier transform infrared—FTIR, Raman and electron paramagnetic resonance—EPR) and dynamic mechanical analysis (DMA) highlighted the key role of antioxidant agents in tailoring mechanical changes in the binder phase. The absence of antioxidants enhances radical formation, oxidation, and cross-linking. These processes lead to progressively increased rigidity and reduced flexibility as a function of the absorbed dose. Complex interactions between photocured components largely influence radical stabilization and material degradation. These findings provide valuable insights for designing novel radiation-resistant binders, enabling the development of solid propellants tailored for reliable, long-term permanence in space, and advancing the knowledge on the applicability of 3D-printed propellants. Full article
(This article belongs to the Section Astronautics & Space Science)
Show Figures

Figure 1

10 pages, 1146 KB  
Article
Effect of Gamma Irradiation on Free Radicals and the Antioxidant Properties of Walnuts
by Katerina Aleksieva, Ralitsa Mladenova, Sabina Taneva, Petko Denev and Yordanka Karakirova
Chemistry 2025, 7(2), 52; https://doi.org/10.3390/chemistry7020052 - 1 Apr 2025
Cited by 1 | Viewed by 1406
Abstract
The present work represented results from a comprehensive study of free radicals and the antioxidant properties of irradiated walnuts. The effects of gamma irradiation on free radical generation and their stability, as well as on the antioxidant activity in walnuts, were investigated by [...] Read more.
The present work represented results from a comprehensive study of free radicals and the antioxidant properties of irradiated walnuts. The effects of gamma irradiation on free radical generation and their stability, as well as on the antioxidant activity in walnuts, were investigated by Electron Paramagnetic Resonance (EPR) spectroscopy, Oxygen Radical Absorbance Capacity (ORAC), and Hydroxyl Radical Antioxidant Capacity (HORAC) assays. Walnut samples were irradiated using 60Co at two different doses: 10 and 25 kGy. As a marker for the identification of high-energy radiation treatment, characteristic cellulose radical signals were detected after irradiation and remained observable for over eight months. A significant increase in antioxidant activity was observed at higher irradiation doses, as measured by DPPH free radical scavenging activity, ORAC and HORAC assays. Full article
(This article belongs to the Section Molecular Organics)
Show Figures

Graphical abstract

13 pages, 4989 KB  
Article
Radiosensitization Induced by Magnetic Hyperthermia of PEGylated Nickel Ferrite Nanoparticles on Breast Cancer Cells
by Daniele A. Fagundes, Liliam V. Leonel, Luis E. Fernandez-Outon, José D. Ardisson and Raquel G. dos Santos
Int. J. Mol. Sci. 2025, 26(6), 2706; https://doi.org/10.3390/ijms26062706 - 17 Mar 2025
Cited by 2 | Viewed by 1102
Abstract
Magnetic hyperthermia can complement traditional cancer treatments by exploiting the greater heat sensitivity of tumor cells. This approach allows for localized action, increasing its therapeutic effectiveness. In this study, MCF-7 breast cancer cell radiosensitization, induced by the magnetic hyperthermia of PEGylated nickel ferrite [...] Read more.
Magnetic hyperthermia can complement traditional cancer treatments by exploiting the greater heat sensitivity of tumor cells. This approach allows for localized action, increasing its therapeutic effectiveness. In this study, MCF-7 breast cancer cell radiosensitization, induced by the magnetic hyperthermia of PEGylated nickel ferrite magnetic nanoparticles (PEG-NiF MNPs), was evaluated by exposing the cells in the presence of MNPs to an alternating magnetic field followed by 60Co gamma irradiation. Superparamagnetic PEG-NiF MNPs (25.6 ± 0.5 nm) synthesized via the hydrothermal method exhibited a hydrodynamic size below 150 nm, a saturation magnetization of 53 emu·g−1, biocompatibility of up to 100 µg·mL−1, selectivity for breast cancer cells, and an up-to-fivefold increase in therapeutic efficacy of radiation. When combined with magnetic hyperthermia, this increase reached up-to-sevenfold. These results indicate that PEG-NiF MNPs are suitable thermal radiosensitization agents for breast cancer cells. Full article
Show Figures

Graphical abstract

9 pages, 3080 KB  
Article
Long-Term Ageing Studies on Eco-Friendly Resistive Plate Chamber Detectors
by Marcello Abbrescia, Giulio Aielli, Reham Aly, Maria Cristina Arena, Mapse Barroso Ferreira, Luigi Benussi, Stefano Bianco, Fabio Bordon, Davide Boscherini, Alessia Bruni, Salvatore Buontempo, Mattia Busato, Paolo Camarri, Roberto Cardarelli, Liliana Congedo, Marilisa De Serio, Francesco Debernardis, Anna Di Ciaccio, Luigi Di Stante, Pascal Dupieux, Jan Eysermans, Alessandro Ferretti, Martino Gagliardi, Giuliana Galati, Sara Garetti, Roberto Guida, Giuseppe Iaselli, Baptiste Joly, Stefania Alexandra Juks, Umesh Lakshmaiah, KyongSei Lee, Barbara Liberti, Dalia Lucero Ramirez, Beatrice Mandelli, Samuel Pierre Manen, Lorenzo Massa, Alessandra Pastore, Enrico Pastori, Davide Piccolo, Luca Pizzimento, Alessandro Polini, Giorgia Proto, Gabriella Pugliese, Luca Quaglia, Dayron Ramos, Gianluca Rigoletti, Alessandro Rocchi, Marino Romano, Paola Salvini, Amrutha Samalan, Rinaldo Santonico, Giovanna Saviano, Marco Sessa, Saverio Simone, Livia Terlizzi, Michael Tytgat, Ermanno Vercellin, Mattia Verzeroli and Nikolaos Zaganidisadd Show full author list remove Hide full author list
Particles 2025, 8(1), 15; https://doi.org/10.3390/particles8010015 - 11 Feb 2025
Viewed by 1013
Abstract
In high-energy physics, resistive plate chamber (RPC) detectors operating in avalanche mode make use of a high-performance gas mixture. Its main component, Tetrafluoroethane (C2H2F4), is classified as a fluorinated greenhouse gas. The RPC EcoGas@GIF++ collaboration is pursuing [...] Read more.
In high-energy physics, resistive plate chamber (RPC) detectors operating in avalanche mode make use of a high-performance gas mixture. Its main component, Tetrafluoroethane (C2H2F4), is classified as a fluorinated greenhouse gas. The RPC EcoGas@GIF++ collaboration is pursuing an intensive R&D on new gas mixtures for RPCs to explore eco-friendly alternatives complying with recent European regulations. The performance of different RPC detectors has been evaluated at the CERN Gamma Irradiation Facility with Tetrafluoropropene (C3H2F4)-CO2-based gas mixtures. A long-term ageing test campaign was launched in 2022, and since 2023, systematic long-term performance studies have been carried out thanks to dedicated beam tests. The results of these studies are discussed together with their future perspectives. Full article
Show Figures

Figure 1

27 pages, 4069 KB  
Article
The Long-Term Immunity of a Microneedle Array Patch of a SARS-CoV-2 S1 Protein Subunit Vaccine Irradiated by Gamma Rays in Mice
by Eun Kim, Muhammad S. Khan, Juyeop Shin, Shaohua Huang, Alessandro Ferrari, Donghoon Han, Eunjin An, Thomas W. Kenniston, Irene Cassaniti, Fausto Baldanti, Dohyeon Jeong and Andrea Gambotto
Vaccines 2025, 13(1), 86; https://doi.org/10.3390/vaccines13010086 - 18 Jan 2025
Cited by 1 | Viewed by 2275
Abstract
Background/Objectives: COVID-19 vaccines effectively prevent severe disease, but unequal distribution, especially in low- and middle-income countries, has led to vaccine-resistant strains. This highlights the urgent need for alternative vaccine platforms that are safe, thermostable, and easy to distribute. This study evaluates the immunogenicity, [...] Read more.
Background/Objectives: COVID-19 vaccines effectively prevent severe disease, but unequal distribution, especially in low- and middle-income countries, has led to vaccine-resistant strains. This highlights the urgent need for alternative vaccine platforms that are safe, thermostable, and easy to distribute. This study evaluates the immunogenicity, stability, and scalability of a dissolved microneedle array patch (MAP) delivering the rS1RS09 subunit vaccine, comprising the SARS-CoV-2 S1 monomer and RS09, a TLR-4 agonist peptide. Methods: The rS1RS09 vaccine was administered via MAP or intramuscular injection in murine models. The immune responses of the MAP with and without gamma irradiation as terminal sterilization were assessed at doses of 5, 15, and 45 µg, alongside neutralizing antibody responses to Wuhan, Delta, and Omicron variants. The long-term storage stability was also evaluated through protein degradation analyses at varying temperatures. Results: The rS1RS09 vaccine elicited stronger immune responses and ACE2-binding inhibition than S1 monomer alone or trimer. The MAP delivery induced sgnificantly higher and longer-lasting S1-specific IgG responses for up to 70 weeks compared to intramuscular injections. Robust Th2-prevalent immune responses were generated in all the groups vaccinated via the MAP and significant neutralizing antibodies were elicited at 15 and 45 µg, showing dose-sparing potential. The rS1RS09 in MAP has remained stable with minimal protein degradation for 19 months at room temperature or under refrigeration, regardless of gamma-irradiation. After an additional month of storage at 42 °C, cit showed less than 3% degradation, ompared to over 23% in liquid vaccines Conclusions: Gamma-irradiated MAP-rS1RS09 is a promising platform for stable, scalable vaccine production and distribution, eliminating cold chain logistics. These findings support its potential for mass vaccination efforts, particularly in resource-limited settings. Full article
(This article belongs to the Special Issue Research on Immune Response and Vaccines: 2nd Edition)
Show Figures

Figure 1

14 pages, 6231 KB  
Article
Establishment of a Breeding Approach Combined with Gamma Ray Irradiation and Tissue Regeneration for Highbush Blueberry
by Xuan Yu, Haidi Yuan, Yihong Jin, Chuizheng Xia, Jiani Zhu, Jiali Che, Jiao Yang, Xiaofei Wang, Bingsong Zheng, Shufang Yang, Cristian Silvestri, Fuqiang Cui and Jianfang Zuo
Agronomy 2025, 15(1), 217; https://doi.org/10.3390/agronomy15010217 - 16 Jan 2025
Cited by 3 | Viewed by 1404
Abstract
Blueberries are a relatively recently domesticated species, primarily bred through hybridization. Mutation breeding, which uses chemical or physical treatment to increase plant mutation, has not yet been applied to blueberries. This study introduces a mutation breeding strategy for the highbush blueberry cultivar Vaccinium [...] Read more.
Blueberries are a relatively recently domesticated species, primarily bred through hybridization. Mutation breeding, which uses chemical or physical treatment to increase plant mutation, has not yet been applied to blueberries. This study introduces a mutation breeding strategy for the highbush blueberry cultivar Vaccinium corymbosum. We established a high-efficiency regeneration protocol, which was applied to leaves and stems exposed to gamma irradiation using 60Co-γ rays at doses of 10, 20, 40, 80, and 120 gray (Gy), to increase the efficiency of mutated cells to develop into adventitious shoots. We determined that the median lethal dose (LD50) was approximately 56 Gy for leaf explants and 80 Gy for stem explants. Phenotypic variations, including changes in leaf color and growth characteristics, which may be due to altered plant response to environmental factors, were successfully observed in the first-generation (M1) plants. The height of M1 plants quantitatively decreased with increasing irradiation doses. To evaluate the mutants induced by each irradiation dose, whole-genome resequencing was conducted on individuals from each dose group, revealing significant genomic alterations at the 80 Gy dose. This approach provides a valuable reference for future blueberry breeding programs aimed at enhancing genetic diversity and improving cultivar performance. Full article
Show Figures

Figure 1

10 pages, 1438 KB  
Article
Setting Time of Alkali-Activated Binders Exposed to Co-60 Gamma Radiation
by Luka Rubinjoni, Srboljub Stanković and Aco Janićijević
Minerals 2025, 15(1), 25; https://doi.org/10.3390/min15010025 - 28 Dec 2024
Viewed by 1199
Abstract
An investigation of the effect of gamma radiation was carried out on the setting time of alkali-activated binder paste. Mechanically activated coal fly ash (FA), ground granulated blast furnace slag (BFS), and their 1:1 mass mixture (MIX) were activated by water glass with [...] Read more.
An investigation of the effect of gamma radiation was carried out on the setting time of alkali-activated binder paste. Mechanically activated coal fly ash (FA), ground granulated blast furnace slag (BFS), and their 1:1 mass mixture (MIX) were activated by water glass with a module of 1.5. Fresh paste was cast into molds and exposed to Co-60 gamma radiation, at a dose rate of 9.62–9.53 Gy/h, until the final setting. The initial and final setting times were determined by measuring the penetration of the Vicat needle at regular intervals. The initial setting times were 1 h 3 min for BFS, 1 h 55 min for MIX, and 3 h 28 min for FA. The final setting times were 1 h 10 min for BFS, 2 h 13 min for MIX, and 4 h 1 min for FA. The received doses were 8.02 Gy for BFS, 17.54 Gy for MIX, and 34.14 Gy for FA. Exposure to gamma radiation resulted in a shorter initial setting time for BFS, a shorter final setting time for FA, and results with an insufficiently visible impact on MIX. For dose rates in the 9–10 Gy/h range, the irradiation by Co-60 gamma rays during setting did not lead to flash, nor did it delay the setting of alkali-activated binder pastes. Full article
(This article belongs to the Special Issue Geopolymers: Synthesis, Characterization and Application)
Show Figures

Figure 1

Back to TopTop