Hydrodynamic Performance of Submerged Plates During Focused Waves
Abstract
1. Introduction
2. Mathematical Formulations
2.1. Boundary Value Problem
2.2. Analytical Solutions
2.3. Matching Conditions
2.4. Hydrodynamic Characteristics
3. Truncation and Validation
3.1. Truncating Effect
3.2. Comparison with Existing Results
3.3. Limiting Cases
4. Results and Discussion
4.1. Effect of Peak Frequency
4.2. Effect of Submergence
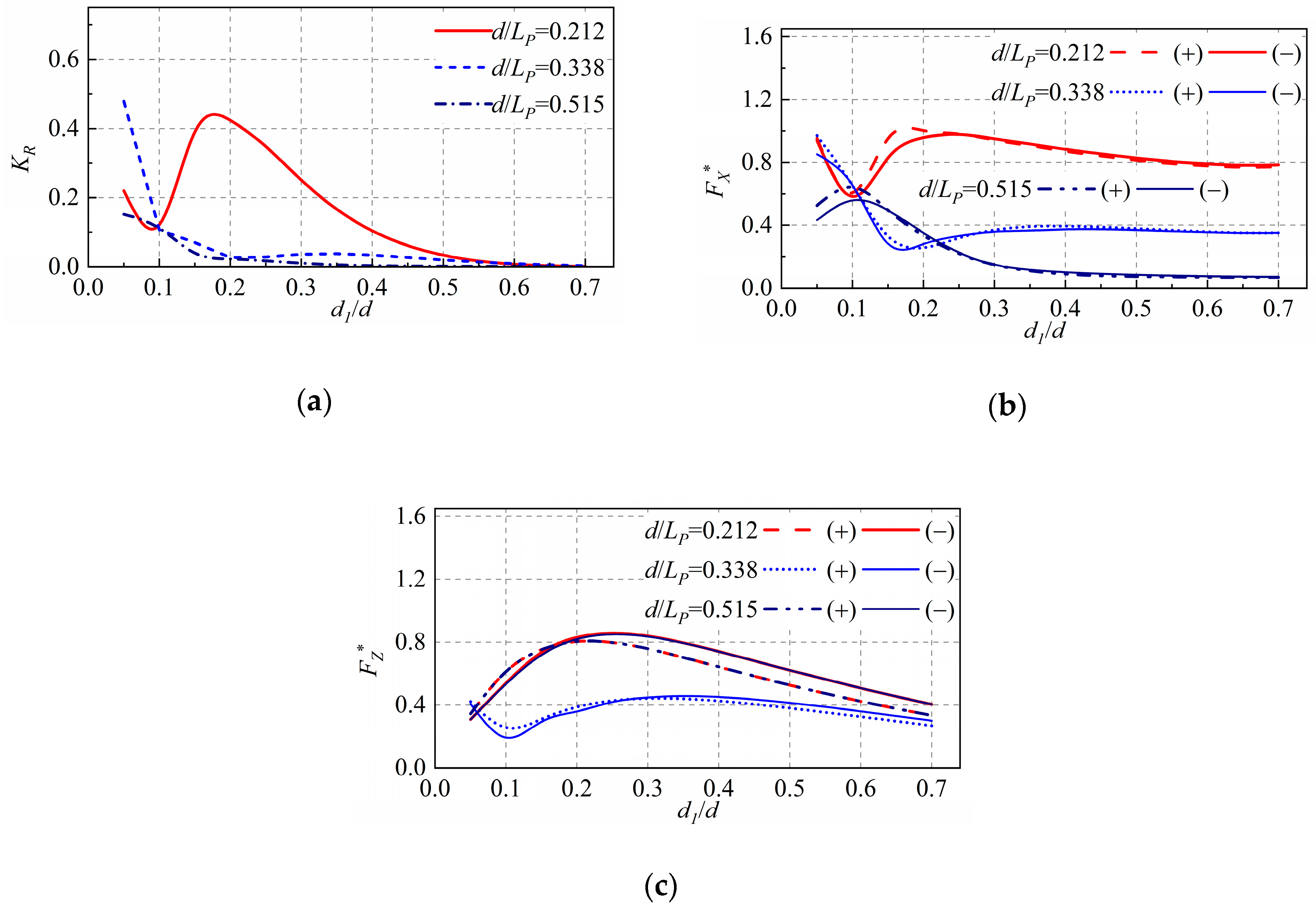
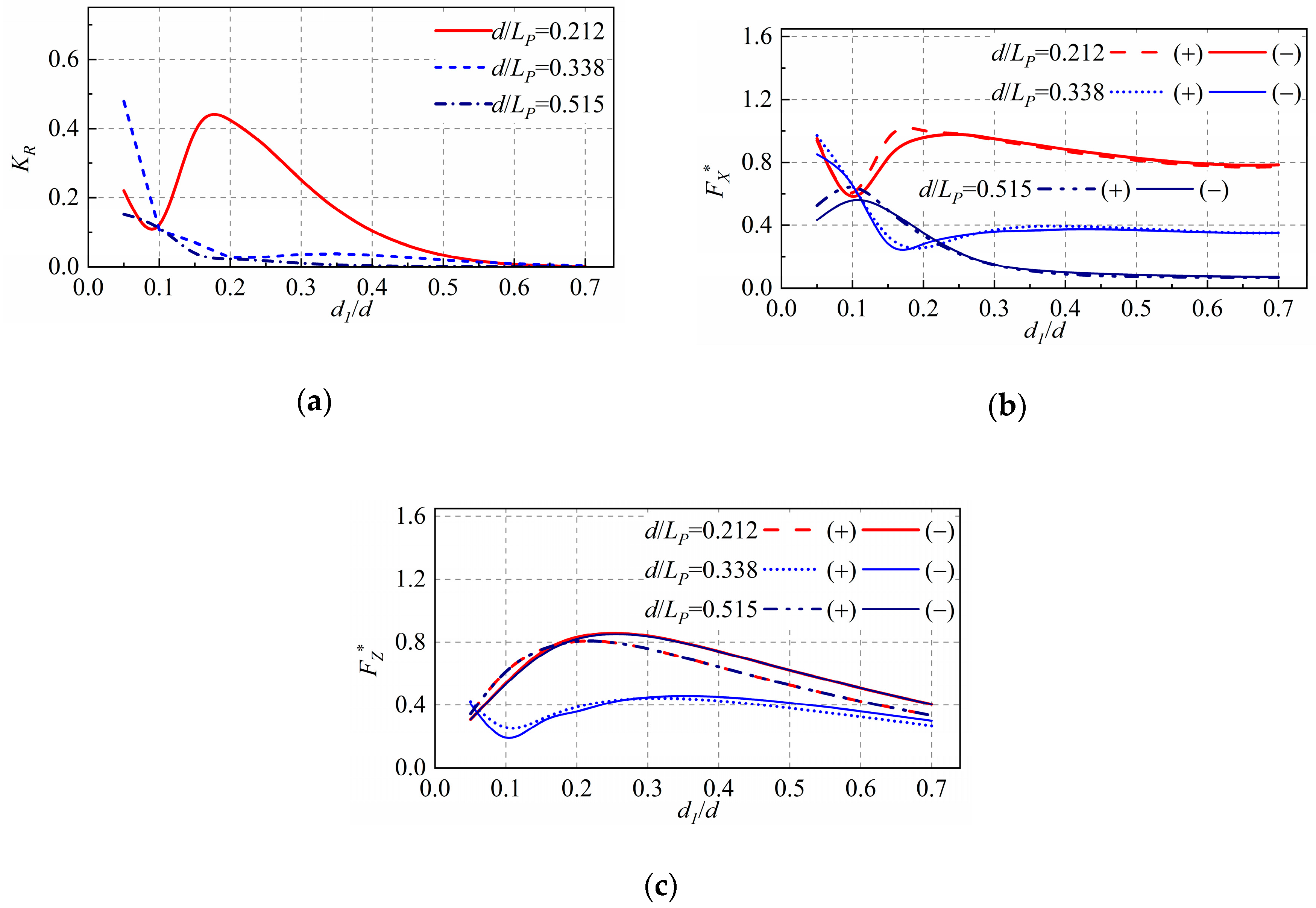
4.3. Effect of Structural Configuration
5. Conclusions
Author Contributions
Funding
Conflicts of Interest
References
- Dysthe, K.; Krogstad, H.E.; Muller, P. Oceanic rogue waves. Annu. Rev. Fluid. Mech. 2008, 40, 287–310. [Google Scholar] [CrossRef]
- Chien, H.; Kao, C.C.; Chuang, L.Z.H. On the characteristics of observed coastal freak waves. Coast. Eng. J. 2002, 44, 301–319. [Google Scholar] [CrossRef]
- Kharif, C.; Pelinovsky, E. Physical mechanisms of the rogue wave phenomenon. Eur. J. Mech. B Fluids 2003, 22, 603–634. [Google Scholar] [CrossRef]
- Chaplin, J.R. On Frequency-Focusing Unidirectional Waves. Int. J. Offshore Polar Eng. 1996, 6, 131–137. [Google Scholar]
- Sriram, V.; Schlurmann, T.; Schimmels, S. Focused wave evolution using linear and second order wavemaker theory. Appl. Ocean. Res. 2015, 53, 279–296. [Google Scholar] [CrossRef]
- Ning, D.Z.; Zang, J.; Liu, S.X.; Eatock Taylor, R.; Teng, B.; Taylor, P.H. Free-surface evolution and wave kinematics for nonlinear uni-directional focused wave groups. Ocean. Eng. 2009, 36, 1226–1243. [Google Scholar] [CrossRef]
- Chaplin, J.; Rainey, R.; Yemm, R. Ringing of a vertical cylinder in waves. J. Fluid Mech. 1997, 350, 119–147. [Google Scholar] [CrossRef]
- Fitzgerald, C.; Taylor, P.H.; Taylor, R.E.; Grice, J.; Zang, J. Phase manipulation and the harmonic components of ringing forces on a surface-piercing column. Proc. R. Soc. A Math. Phys. Eng. Sci. 2014, 470, 20130847. [Google Scholar] [CrossRef]
- Chen, L.; Zang, J.; Taylor, P.H.; Sun, L.; Morgan, G.; Grice, J.; Orszaghova, J.; Ruiz, M.T. An experimental decomposition of nonlinear forces on a surface-piercing column: Stokes-type expansions of the force harmonics. J. Fluid Mech. 2018, 848, 42–77. [Google Scholar] [CrossRef]
- Deng, Y.; Yang, J.; Zhao, W.; Li, X.; Xiao, L. Freak wave forces on a vertical cylinder. Coast. Eng. 2016, 114, 9–18. [Google Scholar] [CrossRef]
- Ghadirian, A.; Bredmose, H.; Dixen, M. Breaking phase focused wave group loads on offshore wind turbine monopiles. In Proceedings of the Science of Making Torque from Wind (TORQUE 2016), München, Germany, 5–7 October 2016. [Google Scholar]
- Buldakov, E.; Stagonas, D.; Simons, R. Extreme wave groups in a wave flume: Controlled generation and breaking onset. Coast. Eng. 2017, 128, 75–83. [Google Scholar] [CrossRef]
- Gao, N.; Yang, J.; Tian, X.; Li, X. A numerical study on the nonlinear effects in focused wave modelling and forces on a semi-submerged horizontal cylinder. Ships Offshore Struct. 2016, 12, 474–485. [Google Scholar] [CrossRef]
- Gao, N.; Yang, J.; Zhao, W.; Li, X. Numerical simulation of deterministic freak wave sequences and wave-structure interaction. Ships Offshore Struct. 2016, 11, 802–817. [Google Scholar] [CrossRef]
- Westphalen, J.; Greaves, D.M.; Williams, C.J.K.; Hunt-Raby, A.C.; Zang, J. Focused waves and wave–structure interaction in a numerical wave tank. Ocean. Eng. 2012, 45, 9–21. [Google Scholar] [CrossRef]
- Weller, S.D.; Stallard, T.J.; Stansby, P.K. Experimental measurements of the complex motion of a suspended axisymmetric floating body in regular and near-focused waves. Appl. Ocean. Res. 2013, 39, 137–145. [Google Scholar] [CrossRef]
- Zhao, X.; Hu, C. Numerical and experimental study on a 2-D floating body under extreme wave conditions. Appl. Ocean. Res. 2012, 35, 1–13. [Google Scholar] [CrossRef]
- Banks, M.; Abdussamie, N. The response of a semisubmersible model under focused wave groups: Experimental investigation. J. Ocean. Eng. Sci. 2017, 2, 161–171. [Google Scholar] [CrossRef]
- Deng, Y.; Yang, J.; Zhao, W.; Xiao, L.; Li, X. Surge motion of a semi-submersible in freak waves. Ships Offshore Struct. 2017, 12, 443–451. [Google Scholar] [CrossRef]
- Suchithra, N.; Koola, P.M. A study of wave impact of horizontal slabs. Ocean. Eng. 1995, 22, 687–697. [Google Scholar] [CrossRef]
- Lu, X.; Kumar, P.; Bahuguni, A.; Wu, Y. A CFD Study of Focused Extreme Wave Impact on Decks of Offshore Structures. In Proceedings of the ASME 2014 33rd International Conference on Ocean, Offshore and Arctic Engineering, San Francisco, CA, USA, 8–13 June 2014. [Google Scholar]
- Qin, H.; Tang, W.; Xue, H.; Hu, Z. Numerical study of nonlinear freak wave impact underneath a fixed horizontal deck in 2-D space. Appl. Ocean. Res. 2017, 64, 155–168. [Google Scholar] [CrossRef]
- Qin, H.; Tang, W.; Hu, Z.; Guo, J. Structural response of deck structures on the green water event caused by freak waves. J. Fluids Struct. 2017, 68, 322–338. [Google Scholar] [CrossRef]
- Cheng, Y.; Ji, C.; Ma, Z.; Zhai, G.; Oleg, G. Numerical and experimental investigation of nonlinear focused waves-current interaction with a submerged plate. Ocean. Eng. 2017, 135, 11–27. [Google Scholar] [CrossRef]
- Patarapanich, M.; Cheong, H.-F. Reflection and transmission characteristics of regular and random waves from a submerged horizontal plate. Coast. Eng. 1989, 13, 161–182. [Google Scholar] [CrossRef]
- Karmakar, D.; Guedes Soares, C. Wave Motion Control Over Submerged Horizontal Plates. J. Offshore Mech. Arct. Eng. 2018, 140, 031101. [Google Scholar] [CrossRef]
- Wang, K.-H.; Shen, Q. Wave motion over a group of submerged horizontal plates. Int. J. Eng. Sci. 1999, 37, 703–715. [Google Scholar] [CrossRef]
- Yu, X. Functional performance of a submerged and essentially horizontal plate for offshore wave control: A review. Coast. Eng. J. 2002, 44, 127–147. [Google Scholar] [CrossRef]
- Liu, Y.; Faraci, C. Analysis of orthogonal wave reflection by a caisson with open front chamber filled with sloping rubble mound. Coast. Eng. 2014, 91, 151–163. [Google Scholar] [CrossRef]
- Faraci, C.; Scandura, P.; Foti, E. Reflection of sea waves by combined caissons. J. Waterw. Port. Coast. Ocean. Eng. 2014, 141, 04014036. [Google Scholar] [CrossRef]
- Tromans, P.S.; Anaturk, A.R.; Hagemeijer, P. A New Model for the Kinematics of Large Ocean Waves-Application as a Design Wave. In Proceedings of the First International Offshore and Polar Engineering Conference, Edinburgh, UK, 11–16 August 1991; pp. 64–71. [Google Scholar]
- Vyzikas, T.; Stagonas, D.; Buldakov, E.; Greaves, D. The evolution of free and bound waves during dispersive focusing in a numerical and physical flume. Coast. Eng. 2018, 132, 95–109. [Google Scholar] [CrossRef]
- Goda, Y. A comparative review on the functional forms of directional wave spectrum. Coast. Eng. J. 1999, 41, 1–20. [Google Scholar] [CrossRef]
- Cheong, H.F.; Shankar, N.J.; Nallayarasu, S. Analysis of submerged platform breakwater by Eigenfunction Expansion Method. Ocean. Eng. 1996, 23, 649–666. [Google Scholar] [CrossRef]
- Dong, J.; Wang, B.; Zhao, X.; Liu, H. Wave Forces Exerted on a Submerged Horizontal Plate over an Uneven Bottom. J. Eng. Mech. 2018, 144, 04018030. [Google Scholar] [CrossRef]
- Kojima, H.; Yoshida, A.; Nakamura, T. Linear and nonlinear wave forces exerted on a submerged horizontal plate. In Proceedings of the 24th International Conference on Coastal Engineering, Kobe, Japan, 23–28 October 1994; pp. 1312–1326. [Google Scholar]
- Liu, Y.; Li, Y.C.; Teng, B.; Dong, S. Wave motion over a submerged breakwater with an upper horizontal porous plate and a lower horizontal solid plate. Ocean. Eng. 2008, 35, 1588–1596. [Google Scholar] [CrossRef]
- Cho, Y.-S.; Lee, J.-I.; Kim, Y.-T. Experimental study of strong reflection of regular water waves over submerged breakwaters in tandem. Ocean. Eng. 2004, 31, 1325–1335. [Google Scholar] [CrossRef]










© 2019 by the authors. Licensee MDPI, Basel, Switzerland. This article is an open access article distributed under the terms and conditions of the Creative Commons Attribution (CC BY) license (http://creativecommons.org/licenses/by/4.0/).
Share and Cite
Fang, Q.; Yang, C.; Guo, A. Hydrodynamic Performance of Submerged Plates During Focused Waves. J. Mar. Sci. Eng. 2019, 7, 389. https://doi.org/10.3390/jmse7110389
Fang Q, Yang C, Guo A. Hydrodynamic Performance of Submerged Plates During Focused Waves. Journal of Marine Science and Engineering. 2019; 7(11):389. https://doi.org/10.3390/jmse7110389
Chicago/Turabian StyleFang, Qinghe, Can Yang, and Anxin Guo. 2019. "Hydrodynamic Performance of Submerged Plates During Focused Waves" Journal of Marine Science and Engineering 7, no. 11: 389. https://doi.org/10.3390/jmse7110389
APA StyleFang, Q., Yang, C., & Guo, A. (2019). Hydrodynamic Performance of Submerged Plates During Focused Waves. Journal of Marine Science and Engineering, 7(11), 389. https://doi.org/10.3390/jmse7110389

