Seasonally Intensified Mud Shrimp Bioturbation Hinders Seagrass Restoration
Abstract
1. Introduction
2. Materials and Methods
2.1. Study Sites
2.2. Seasonal Variations in Upogebia Bioturbation Intensity and Its Relations to Seagrass Vegetation Metrics
2.3. Effects of Upogebia Bioturbation and Transplant Patch Size on the Persistence of Restored Seagrass Vegetation
2.4. Statistical Analyses
3. Results
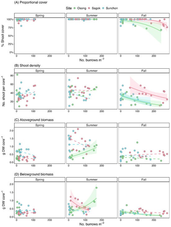
3.1. Seasonal Variations in Upogebia Bioturbation Intensity and Its Relations to Seagrass Vegetation Metrics
3.2. Effects of Upogebia Bioturbation and Transplant Patch Size on the Persistence of Restored Seagrass Vegetation
4. Discussion
Author Contributions
Funding
Data Availability Statement
Acknowledgments
Conflicts of Interest
Appendix A




| Treatment | Diam. Core (cm) | Shoot Density (Shoots/Core) | <Silt (%) | Sand (%) | Gravel (%) |
|---|---|---|---|---|---|
| Control (9.4 ± 1.9 burrows m−2) | 5 | 11.00 (±0.85) | 1.96 (±0.02) | 91.33 (±4.00) | 6.71 (±3.97) |
| 10 | 22.63 (±0.75) | ||||
| 15 | 41.63 (±1.28) | ||||
| 26 | 72.63 (±1.39) | ||||
| High (280.2 ± 5.8 burrows m−2) | 5 | 9.63 (±0.91) | 7.48 (±2.86) | 88.92 (±2.07) | 3.60 (±0.80) |
| 10 | 22.13 (±0.90) | ||||
| 15 | 42.63 (±0.84) | ||||
| 26 | 73.25 (±1.32) | ||||
| Extremely High (455 ± 5.5 burrows m−2) | 5 | 10.75 (±0.73) | 4.12 (±0.36) | 72.96 (±5.83) | 22.92 (±6.19) |
| 10 | 22.63 (±0.65) | ||||
| 15 | 44.00 (±0.98) | ||||
| 26 | 73.63 (±1.45) |
References
- Cragg, S.; Friess, D.; Gillis, L.; Trevathan-Tackett, S.; Terrett, O.; Watts, J.; Distel, D.; Dupree, P. Vascular Plants Are Globally Significant Contributors to Marine Carbon Fluxes and Sinks. Ann. Rev. Mar. Sci. 2020, 12, 469–497. [Google Scholar] [CrossRef] [PubMed]
- Lau, W.W.Y. Beyond carbon: Conceptualizing payments for ecosystem services in blue forests on carbon and other marine and coastal ecosystem services. Ocean Coast. Manag. 2013, 83, 5–14. [Google Scholar] [CrossRef]
- Boström, C.; Pittman, S.J.; Simenstad, C.; Kneib, R.T. Seascape ecology of coastal biogenic habitats: Advances, gaps, and challenges. Mar. Ecol. Prog. Ser. 2011, 427, 191–217. [Google Scholar] [CrossRef]
- Waycott, M.; Duarte, C.; Carruthers, T.; Orth, R.; Dennison, W.; Olyarnik, S.; Calladine, A.; Fourqurean, J.; Heck, K.; Hughes, A.; et al. Accelerating loss of seagrass across the globe threatens coastal ecosystems. Proc. Natl. Acad. Sci. USA 2009, 106, 12377–12381. [Google Scholar] [CrossRef]
- Danovaro, R.; Aronson, J.; Cimino, R.; Gambi, C.; Snelgrove, P.; Dover, C. Marine ecosystem restoration in a changing ocean. Restor. Ecol. 2021, 29, e13432. [Google Scholar] [CrossRef]
- Danovaro, R.; Aronson, J.; Bianchelli, S.; Boström, C.; Chen, W.; Cimino, R.; Corinaldesi, C.; Cortina, J.; D’Ambrosio, P.; Gambi, C.; et al. Assessing the success of marine ecosystem restoration using meta-analysis. Nat. Commun. 2025, 16, 3062. [Google Scholar] [CrossRef]
- Liu, Z.; Fagherazzi, S.; He, Q.; Gourgue, O.; Bai, J.; Liu, X.; Miao, C.; Hu, Z.; Cui, B. A global meta-analysis on the drivers of salt marsh planting success and implications for ecosystem services. Nat. Commun. 2024, 15, 3643. [Google Scholar] [CrossRef] [PubMed]
- Smith, R.; Castorani, M. Meta-analysis reveals drivers of restoration success for oysters and reef community. Ecol. Appl. 2023, 33, e2865. [Google Scholar] [CrossRef]
- Zhang, X.; Zhou, Y.; Liu, P.; Wang, F.; Liu, B.; Liu, X.; Yang, H. Temporal pattern in biometrics and nutrient stoichiometry of the intertidal seagrass Zostera japonica and its adaptation to air exposure in a temperate marine lagoon (China): Implications for restoration and management. Mar. Pollut. Bull. 2015, 94, 103–113. [Google Scholar] [CrossRef]
- Christianen, M.J.A.; Smulders, F.; Vonk, J.A.; Becking, L.E.; Bouma, T.J.; Engel, M.S.; James, R.; Nava, M.I.; de Smit, J.; van der Zee, J.; et al. Seagrass ecosystem multifunctionality under the rise of a flagship marine megaherbivore. Glob. Change Biol. 2023, 29, 215–230. [Google Scholar] [CrossRef] [PubMed]
- Cronau, R.J.T.; Lamers, L.P.M.; de Fouw, J.; van Katwijk, M.M.; Bouma, T.J.; Heusinkveld, J.H.T.; Poortvliet, T.; van der Heide, T. Combining co-introduction with patch-size optimization as a novel strategy to maximize seagrass restoration. Ecol. Appl. 2025, 35, e70055. [Google Scholar] [CrossRef]
- Renzi, J.J.; He, Q.; Silliman, B.R. Harnessing positive species interactions to enhance coastal wetland restoration. Front. Ecol. Evol. 2019, 7, 131. [Google Scholar] [CrossRef]
- Xu, C.; Silliman, B.R.; Chen, J.; Li, X.; Thomsen, M.S.; Zhang, Q.; Lee, J.H.; Lefcheck, J.S.; Daleo, P.; Hughes, B.B.; et al. Herbivory limits success of vegetation restoration globally. Science 2023, 382, 589–594. [Google Scholar] [CrossRef]
- Altieri, A.H.; Bertness, M.D.; Coverdale, T.; Herrmann, N.C.; Angelini, C. A trophic cascade triggers collapse of a salt marsh ecosystem with intensive recreational fishing. Ecology 2012, 93, 1402–1410. [Google Scholar] [CrossRef]
- Hughes, R.; Lloyd, D.; Ball, L.; Emson, D. The effects of the polychaete Nereis diversicolor on the distribution and transplanting success of Zostera noltii. Helgol. Mar. Res. 2000, 54, 129–136. [Google Scholar] [CrossRef]
- Sousa, A.; Valdemarsen, T.; Lillebø, A.I.; Jørgensen, L.; Flindt, M.R. A New Marine Measure Enhancing Zostera Marina Seed Germination And Seedling Survival. Ecol. Eng. 2017, 104, 131–140. [Google Scholar] [CrossRef]
- Atwood, T.B.; Connolly, R.M.; Ritchie, E.G.; Lovelock, C.E.; Heithaus, M.R.; Hays, G.C.; Fourqurean, J.W.; Macreadie, P. Predators help protect carbon stocks in blue carbon ecosystems. Nat. Clim. Change 2015, 5, 1038–1045. [Google Scholar] [CrossRef]
- Bos, D.; Bakker, J.P.; de Vries, Y.; van Lieshout, S. Long-term vegetation changes in experimentally grazed and ungrazed back-barrier marshes in the Wadden Sea. Appl. Veg. Sci. 2002, 5, 45–54. [Google Scholar] [CrossRef]
- Bertics, V.J.; Sohm, J.A.; Treude, T.; Chow, C.E.T.; Capone, D.G.; Fuhrman, J.A.; Ziebis, W. Burrowing deeper into benthic nitrogen cycling: The impact of bioturbation on nitrogen fixation coupled to sulfate reduction. Mar. Ecol. Prog. Ser. 2010, 409, 1–15. [Google Scholar] [CrossRef]
- Bertness, M.D. Fiddler crab regulation of Spartina alterniflora production on a New England salt marsh. Ecology 1985, 66, 1042–1055. [Google Scholar] [CrossRef]
- Li, C.; Chen, J.; Liao, X.; Ramus, A.; Angelini, C.; Liu, L.; Silliman, B.; Bertness, M.; He, Q. Shorebirds-driven trophic cascade helps restore coastal wetland multifunctionality. Nat. Commun. 2023, 14, 8076. [Google Scholar] [CrossRef]
- Davidson, T.; de Rivera, C. Accelerated erosion of saltmarshes infested by the non-native burrowing crustacean Sphaeroma quoianum. Mar. Ecol. Prog. Ser. 2010, 419, 129–136. [Google Scholar] [CrossRef]
- Petersen, T.; Gransten, S.; Elbrønd, F.; Johnstad-Møller, C.; Vigsbo Christensen, C.; Brodersen, K. Effects of European green crabs (Carcinus maenas) on transplanted Eelgrass (Zostera marina): Potential protective measures. Restor. Ecol. 2025, 33, e70074. [Google Scholar] [CrossRef]
- Gladstone-Gallagher, R.V.; Needham, H.; Lohrer, A.M.; Lundquist, C.J.; Pilditch, C.A. Site-dependent effects of bioturbator- detritus interactions alter soft-sediment ecosystem function. Mar. Ecol. Prog. Ser. 2017, 569, 145–161. [Google Scholar] [CrossRef]
- Hull, W.W.; Ruesink, J.L. Antagonistic ecosystem engineering effects differ by seagrass life stage and density of bioturbating shrimp. J. Exp. Mar. Biol. Ecol. 2024, 576, 152016. [Google Scholar] [CrossRef]
- Hong, J.S. Biology of the mud shrimp Upogebia major (de Haan, 1841), with particular reference to pest management for shrimp control in Manila clam bed in the West Coast of Korea. Ocean Polar Res. 2013, 35, 323–349. [Google Scholar] [CrossRef]
- Jeon, S.R.; Ong, G.; Koo, J.H.; Park, J.W.; Kim, Y.C.; Jeung, H.D.; Cho, J.K. Comparison of the seawater-sediment environment and habitat properties with variable mud Shrimp Upogebia major burrow hole density and its influence on recruitment and settlement in the Cheonsu Bay Tidal Flats. Korean J. Fish. Aquat. Sci. 2022, 55, 171–182. [Google Scholar] [CrossRef]
- Pillay, D.; Branch, G. Bioengineering effects of burrowing thalassinidean shrimps on marine soft-bottom ecosystems. Oceanogr. Mar. Biol. 2011, 49, 137–192. [Google Scholar] [CrossRef]
- Thomson, A.C.G.; Trevathan-Tackett, S.M.; Maher, D.T.; Ralph, P.J.; Macreadie, P.I. Bioturbator-stimulated loss of seagrass sediment carbon stocks. Limnol. Oceanogr. 2018, 64, 342–356. [Google Scholar] [CrossRef]
- Park, J.M.; Kwak, S.N. Seasonal and habitat structures of crustacean decapod assemblages associated with Zostera marina beds in northern Jinhae Bay, Korea. J. Mar. Biol. Assoc. United Kingd. 2018, 99, 461–471. [Google Scholar] [CrossRef]
- Siebert, T.; Branch, G. Ecosystem engineers: Interactions between eelgrass Zostera capensis and the sandprawn Callianassa kraussi and their indirect effects on the mudprawn Upogebia africana. J. Exp. Mar. Biol. Ecol. 2006, 338, 253–270. [Google Scholar] [CrossRef]
- Suchanek, T. Control of seagrass communities and sediment distribution by Callianassa (Crustacea, Thalassinidea) bioturbation. J. Mar. Res. 1983, 41, 281–298. [Google Scholar] [CrossRef]
- Berkenbusch, K.; Rowden, A.A.; Myers, T.E. Interactions between seagrasses and burrowing ghost shrimps and their influence on infaunal assemblages. J. Exp. Mar. Biol. Ecol. 2007, 341, 70–84. [Google Scholar] [CrossRef]
- Brenchley, G.A. Mechanisms of spatial competition in marine soft-bottom communities. J. Exp. Mar. Biol. Ecol. 1982, 60, 17–33. [Google Scholar] [CrossRef]
- Suykerbuyk, W.; Govers, L.L.; Bouma, T.J.; Giesen, W.B.J.T.; de Jong, D.J.; van de Voort, R.; Giesen, K.; Giesen, P.T.; van Katwijk, M.M. Unpredictability in seagrass restoration: Analysing the role of positive feedback and environmental stress on Zostera noltii transplants. J. Appl. Ecol. 2016, 53, 774–784. [Google Scholar] [CrossRef]
- Duggan-Edwards, M.; Pagès, J.; Jenkins, S.; Bouma, T.; Skov, M. External conditions drive optimal planting configurations for salt marsh restoration. J. Appl. Ecol. 2020, 57, 619–629. [Google Scholar] [CrossRef]
- Rohal, C.; Yu, X.; Crawford, J.; Montgomery, O.; Reynolds, L.; Adams, C. Sediment stability is optimized by manipulating planting design during coastal marsh establishment. Sci. Rep. 2025, 15, 19854. [Google Scholar] [CrossRef]
- Silliman, B.; Schrack, E.; He, Q.; Cope, R.; Santoni, A.; Heide, T.; Jacobi, R.; Jacobi, M.; van de Koppel, J. Facilitation shifts paradigms and can amplify coastal restoration efforts. Proc. Natl. Acad. Sci. USA 2015, 112, 14295–14300. [Google Scholar] [CrossRef]
- Alberti, J.; Escapa, M.; Iribarne, O.; Silliman, B.; Bertness, M. Crab herbivory regulates plant facilitative and competitive processes in Argentinean marshes. Ecology 2008, 89, 155–164. [Google Scholar] [CrossRef]
- Hoey, A.; Bellwood, D. Suppression of herbivory by macroalgal density: A critical feedback on coral reefs? Ecol. Lett. 2011, 14, 267–273. [Google Scholar] [CrossRef]
- Kinoshita, K. Burrow structure of the mud shrimp Upogebia Major (Decapoda: Thalassinidea: Upogebiidae). J. Crustac. Biol. 2002, 22, 474–480. [Google Scholar] [CrossRef]
- Seo, Y.W.; Lee, J.H. Effects of mud shrimp (Upogebia major) bioturbation on intertidal seagrass (Zostera japonica). Korean J. Environ. Biol. 2025, 43, 125–139. [Google Scholar] [CrossRef]
- Kim, S.H.; Suonan, Z.; Kim, H.; Zhang, F.; Kim, K.Y.; Short, F.T.; Lee, K.S. Long-term responses of intertidal and subtidal seagrasses to anthropogenic disturbances and sea warming in the northwestern pacific coast. Ocean Coast. Manag. 2024, 258, 107421. [Google Scholar] [CrossRef]
- Park, S.; Kim, Y.; Kim, J.H.; Kang, C.H.; Lee, K.S. Rapid recovery of the intertidal seagrass Zostera japonica following intense Manila clam (Ruditapes philippinarum) harvesting activity in Korea. J. Exp. Mar. Biol. Ecol. 2011, 407, 275–283. [Google Scholar] [CrossRef]
- Kishima, J.; Harada, S.; Sakurai, R. Suitable water temperature for seed storage of Zostera japonica for subtropical seagrass bed restoration. Ecol. Eng. 2011, 37, 1416–1419. [Google Scholar] [CrossRef]
- Yue, S.; Zhou, Y.; Zhang, Y.; Xu, S.; Gu, R.; Xu, S.; Zhang, X.; Zhao, P. Effects of salinity and temperature on seed germination and seedling establishment in the endangered seagrass Zostera japonica Asch. & Graebn. in northern China. Mar. Pollut. Bull. 2019, 146, 848–856. [Google Scholar] [CrossRef]
- Park, J.I.; Kim, Y.K.; Park, S.R.; Kim, J.H.; Kim, Y.S.; Kim, J.B.; Lee, P.Y.; Kang, C.K.; Lee, K.S. Selection of the Optimal Transplanting Method and Time for Restoration of Zostera marina Habitats. Algae 2005, 20, 379–388. [Google Scholar] [CrossRef]
- Lee, G.; Zhaxi, S.; Kim, S.H.; Hwang, D.W.; Lee, K.S. Heavy metal accumulation and phytoremediation potential by transplants of the seagrass Zostera marina in the polluted bay systems. Mar. Pollut. Bull. 2019, 149, 110509. [Google Scholar] [CrossRef]
- Li, W.T.; Kim, Y.K.; Park, J.I.; Zhang, X.M.; Du, G.; Lee, K.S. Comparison of seasonal growth responses of Zostera marina transplants to determine the optimal transplant season for habitat restoration. Ecol. Eng. 2014, 71, 56–65. [Google Scholar] [CrossRef]
- Lee, H.W.; Kang, J.C.; Park, J.I.; Kim, M.S. Experimental transplantation for the restoration of seagrass, Zostera marina L. bed around Sinyangseopji beach in Bangdu Bay, Jeju Island. Sea 2021, 26, 343–355. [Google Scholar] [CrossRef]
- Lee, K.S.; Park, J.I. An effective transplanting technique using shells for restoration of Zostera marina habitats. Mar. Pollut. Bull. 2008, 56, 1015–1021. [Google Scholar] [CrossRef]
- KHOA. Tongyeong Tide Station Data. Korea Hydrographic and Oceanographic Agency. Ocean Data in Grid Framework. 2024, April, October, and November Data. Available online: http://www.khoa.go.kr/oceangrid/gis/category/reference/distribution.do (accessed on 17 December 2024).
- KHOA. 2024 Geoje Tide Table. Korea Hydrographic and Oceanographic Agency. KHOA Smart Tide Forecast. 2024, pp. 1–3. Available online: https://www.khoa.go.kr/swtc/main.do?pageType=pc (accessed on 17 December 2024).
- Kim, S.; Yu, C.; Lee, C.L.; Nam, S.; Hong, J.S. Population characteristics of the mud shrimp Upogebia major (Crustacea: Decapoda: Upogebiidae) in the West coast of Korea. J. Mar. Sci. Eng. 2023, 11, 2304. [Google Scholar] [CrossRef]
- Jeon, S.R.; Hong, S.J.; Choi, Y.H.; Song, J.H. Comparison of sedimentary environmental characteristics of tidal flats on the west coast of Korea depending on the habitation of mud shrimp Upogebia major. Korean J. Fish. Aquat. Sci. 2019, 52, 656–665. [Google Scholar] [CrossRef]
- Selin, N.I. The population dynamics and growth of the mud shrimp Upogebia major (De Haan, 1841) (Crustacea: Decapo da) from Peter the Great Bay, Sea of Japan. Russ. J. Mar. Biol. 2017, 43, 270–275. [Google Scholar] [CrossRef]
- Tamaki, A.; Nakaoka, A.; Maekawa, H.; Yamada, F. Spatial partitioning between species of the phytoplankton-feeding guild on an estuarine intertidal sand flat and its implication on habitat carrying capacity. Estuar. Coast. Shelf Sci. 2008, 78, 727–738. [Google Scholar] [CrossRef][Green Version]
- Dumbauld, B.R.; Wyllie-Echeverria, S. The influence of burrowing thalassinid shrimps on the distribution of intertidal seagrasses in Willapa Bay, Washington, USA. Aquat. Bot. 2003, 77, 27–42. [Google Scholar] [CrossRef]
- Harrison, P.G. Natural expansion and experimental manipulation of seagrass (Zostera spp.) abundance and the response of infaunal invertebrates. Estuar. Coast. Shelf Sci. 1987, 24, 799–812. [Google Scholar] [CrossRef]
- Kinoshita, K.; Nakayama, S.; Furota, T. Life Cycle Characteristics of the Deep-Burrowing Mud Shrimp Upogebia major (Thalassinidea: Upogebiidae) on a Tidal Flat Along the Northern Coast of Tokyo Bay. J. Crustac. Biol. 2003, 23, 318–327. [Google Scholar] [CrossRef]
- Castorani, M.C.N.; Hovel, K.A.; Williams, S.L.; Baskett, M.L. Disturbance facilitates the coexistence of antagonistic eco system engineers in California estuaries. Ecology 2014, 95, 2277–2288. [Google Scholar] [CrossRef]
- Githaiga, M.; Frouws, A.; Kairo, J.G.; Huxham, M. Seagrass Removal Leads to Rapid Changes in Fauna and Loss of Carbon. Front. Ecol. Evol. 2019, 7, 62. [Google Scholar] [CrossRef]
- Lee, S.Y.; Oh, J.H.; Choi, C.I.; Suh, Y.; Mukai, H. Leaf growth and population dynamics of intertidal Zostera japonica on the western coast of Korea. Aquat. Bot. 2005, 83, 263–280. [Google Scholar] [CrossRef]
- Lee, K.S.; Park, S.; Kim, Y. Effects of irradiance, temperature, and nutrients on growth dynamics of seagrasses: A review. J. Exp. Mar. Biol. Ecol. 2007, 350, 144–175. [Google Scholar] [CrossRef]
- Paramor, O.; Hughes, R. The effects of bioturbation and herbivory by the polychaete Nereis diversicolor on loss of saltmarsh in south-east England. J. Appl. Ecol. 2004, 41, 449–463. [Google Scholar] [CrossRef]
- Manzanera, M.; Alcoverro, T.; Tomas, F.; Romero, J. Response of Posidonia oceanica to burial dynamics. Mar. Ecol. Prog. Ser. 2011, 423, 47–56. [Google Scholar] [CrossRef]
- Halpern, B.; Silliman, B.; Olden, J.; Bruno, J.; Bertness, M. Incorporating positive interactions in aquatic restoration and conservation. Front. Ecol. Environ. 2007, 5, 153–160. [Google Scholar] [CrossRef]
- Costa, V.; Flindt, M.; Lopes, M.; Coelho, J.; Costa, A.; Lillebø, A.; Sousa, A. Enhancing the resilience of Zostera noltei seagrass meadows against Arenicola spp. bio-invasion: A decision-making approach. J. Environ. Manag. 2022, 302, 113969. [Google Scholar] [CrossRef]




| Parameters | Osong | Sagok | Sunchon | ||||||
|---|---|---|---|---|---|---|---|---|---|
| Spring | Summer | Fall | Spring | Summer | Fall | Spring | Summer | Fall | |
| Shoot density (shoots/core) | 36.00 (±3.86) | 41.92 (±3.52) | 26.08 (±3.08) | 31.50 (±3.86) | 46.08 (±3.76) | 37.33 (±4.05) | 38.83 (±3.10) | 37.75 (±4.53) | 30.25 (±3.91) |
| Percentage cover (%) | 99.33 (±0.45) | 100.00 (±0.00) | 91.00 (±3.34) | 97.33 (±1.02) | 36.00 (±3.86) | 93.67 (±2.63) | 95.67 (±2.06) | 99.67 (±0.33) | 98.00 (±1.67) |
| Above ground biomass (g/core) | 0.31 (±0.06) | 0.54 (±0.09) | 0.34 (±0.09) | 0.26 (±0.33) | 1.24 (±0.14) | 0.52 (±0.04) | 0.67 (±0.07) | 1.18 (±0.14) | 0.48 (±0.08) |
| Below ground biomass (g/core) | 0.36 (±0.07) | 0.60 (±0.13) | 0.27 (±0.05) | 0.26 (±0.03) | 0.72 (±0.10) | 0.31 (±0.04) | 0.42 (±0.06) | 0.45 (±0.05) | 0.22 (±0.03) |
| <Silt (%) | 14.36 (±4.5) | 5.95 (±1.29) | 6.34 (±2.16) | ||||||
| Sand (%) | 82.58 (±3.38) | 93.13 (±3.38) | 80.03 (±4.65) | ||||||
| Gravel (%) | 3.05 (±1.24) | 0.92 (±0.65) | 13.63 (±5.91) | ||||||
Disclaimer/Publisher’s Note: The statements, opinions and data contained in all publications are solely those of the individual author(s) and contributor(s) and not of MDPI and/or the editor(s). MDPI and/or the editor(s) disclaim responsibility for any injury to people or property resulting from any ideas, methods, instructions or products referred to in the content. |
© 2025 by the authors. Licensee MDPI, Basel, Switzerland. This article is an open access article distributed under the terms and conditions of the Creative Commons Attribution (CC BY) license (https://creativecommons.org/licenses/by/4.0/).
Share and Cite
Seo, Y.; Kim, T.; Lee, J. Seasonally Intensified Mud Shrimp Bioturbation Hinders Seagrass Restoration. J. Mar. Sci. Eng. 2025, 13, 1824. https://doi.org/10.3390/jmse13091824
Seo Y, Kim T, Lee J. Seasonally Intensified Mud Shrimp Bioturbation Hinders Seagrass Restoration. Journal of Marine Science and Engineering. 2025; 13(9):1824. https://doi.org/10.3390/jmse13091824
Chicago/Turabian StyleSeo, Youngwoo, Taewon Kim, and Juhyung Lee. 2025. "Seasonally Intensified Mud Shrimp Bioturbation Hinders Seagrass Restoration" Journal of Marine Science and Engineering 13, no. 9: 1824. https://doi.org/10.3390/jmse13091824
APA StyleSeo, Y., Kim, T., & Lee, J. (2025). Seasonally Intensified Mud Shrimp Bioturbation Hinders Seagrass Restoration. Journal of Marine Science and Engineering, 13(9), 1824. https://doi.org/10.3390/jmse13091824

