Comparative Studies of Physics- and Machine Learning-Based Wave Buoy Analogy Models Under Various Ship Operating Conditions
Abstract
1. Introduction
2. Theoretical Backgrounds
2.1. Problem Definition
2.2. Physics-Based Model: Nonparametric Model
2.3. Machine Learning Model
3. Analysis Results
3.1. Database and Test Conditions
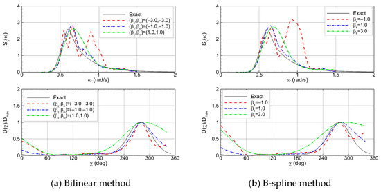
3.2. Results of Physics-Based Model
- Case 1: GM = 1.9 m, STW = 8.77 knots, HS = 2.55 m, T2 = 7.81 s, χM = 54.8 deg
- Case 2: GM = 3.2 m, STW = 15.9 knots, HS = 3.03 m, T2 = 8.06 s, χM = 35.6 deg
3.3. Results of Machine Learning Model
- DB 1: STW ∈ [5, 6] ∪ [10, 11] ∪ [15, 16] ∪ [17, ∞] knots
- DB 2: GM ∈ [0.5, 0.75] ∪ [2.0, 2.5] ∪ [4.25, 4.5] m
- DB 3: (STW ∈ [5, 7] ∪ [10, 12] ∪ [15, ∞] knots) ∩ (GM ∈ [0.5, 1.0] ∪ [2.0, 3.0] ∪ [4.0, 4.5] m)
4. Conclusions
- For overall test conditions, the physics-based model provides accurate estimates of sea-state parameters. However, under low sea states with weak motion responses and in following sea conditions where narrow-band frequency focusing occurs, the optimization fails and the errors increase significantly. Introducing a frequency-dependent hyperparameter for the smoothness constraint alleviates optimization errors caused by the overfitting to high-frequency wave energy, thereby improving model performance.
- When refined ship motion information obtained through spectral analysis is used as input, the machine learning model achieves higher accuracy and generalization performance compared with directly using raw time series data. In particular, the machine learning model can estimate both ship operating and sea state parameters with minimal error, even when the motion responses show ambiguous features that hinder the optimization of the physics-based model. When trained on biased databases with restricted operating condition ranges, the machine learning model can still estimate sea states but tends to overfit to specific ranges in the inference of ship operations without interpolation.
- Both physics-based and machine learning models show limited sensitivity in performance across general ranges of ship operating conditions. Accordingly, machine learning models are well suited for test conditions where sufficient training data are available, whereas physics-based models remain necessary for extreme and rare ocean environmental conditions. To develop reliable WBA solutions in the future, it is essential to integrate the two models by incorporating their respective applicability uncertainty, when applied to motion response data obtained from actual ship operations.
Author Contributions
Funding
Data Availability Statement
Acknowledgments
Conflicts of Interest
References
- Erikstad, S.O. Designing ship digital services. In Proceedings of the 18th Conference on Computer and IT Applications in the Maritime Industries, Tullamore, Ireland, 25–27 March 2019. [Google Scholar]
- Giering, J.E.; Dyck, A. Maritime Digital Twin architecture: A concept for holistic Digital Twin application for shipbuilding and shipping. at—Automatis. 2021, 69, 1081–1095. [Google Scholar] [CrossRef]
- Lee, J.H.; Nam, Y.S.; Kim, Y.; Liu, Y.; Lee, J.; Yang, H. Real-time digital twin for ship operation in waves. Ocean Eng. 2022, 266, 112867. [Google Scholar] [CrossRef]
- Nieto-Borge, J.C.; Reichert, K.; Dittmer, J. Use of nautical radar as a wave monitoring instrument. Coast. Eng. 1999, 37, 331–342. [Google Scholar] [CrossRef]
- Hessner, K.; Reichert, K.; Dittmer, J.; Nieto-Borge, J.C.; Gunther, H. Evaluation of WAMOS II wave data. In Proceedings of the 4th International Symposium on Ocean Wave Measurement and Analysis, San Francisco, CA, USA, 2–6 September 2001. [Google Scholar]
- Dankert, H.; Rosenthal, W. Ocean surface determination from X-band radar-image sequences. J. Geophys. Res. 2004, 109, C04016. [Google Scholar] [CrossRef]
- Tannuri, E.A.; Sparano, J.V.; Simos, A.N.; Da Cruz, J.J. Estimating directional wave spectrum based on stationary ship motion measurements. Appl. Ocean Res. 2003, 25, 243–261. [Google Scholar] [CrossRef]
- Nielsen, U.D.; Stredulinsky, D.C. Sea state estimation from an advancing ship—A comparative study using sea trial data. Appl. Ocean Res. 2012, 34, 33–44. [Google Scholar] [CrossRef]
- Montazeri, N.; Nielsen, U.D.; Jensen, J.J. Estimation of wind sea and swell using shipboard measurements—A refined parametric modelling approach. Appl. Ocean Res. 2016, 54, 73–86. [Google Scholar] [CrossRef]
- Piscopo, V.; Scamardella, S.; Gaglione, S. A new wave spectrum resembling procedure based on ship motion analysis. Ocean Eng. 2020, 201, 107137. [Google Scholar] [CrossRef]
- Zago, L.; Simos, A.N.; Kawano, A.; Kogishi, A.M. A new vessel motion based method for parametric estimation of the waves encountered by the ship in a seaway. Appl. Ocean Res. 2023, 134, 103499. [Google Scholar] [CrossRef]
- Park, M.J.; Kim, Y. Probabilistic estimation of directional wave spectrum using onboard measurement data. J. Mar. Sci. Technol. 2024, 29, 200–220. [Google Scholar] [CrossRef]
- Iseki, T.; Ohtsu, K. Bayesian estimation of directional wave spectra based on ship motions. Control Eng. Pract. 2000, 8, 215–219. [Google Scholar] [CrossRef]
- Nielsen, U.D. Estimations of on-site directional wave spectrum from measured ship responses. Mar. Struct. 2006, 19, 33–69. [Google Scholar] [CrossRef]
- Pascoal, R.; Soares, C.G. Non-parametric wave spectral estimation using vessel motions. Appl. Ocean Res. 2008, 30, 46–53. [Google Scholar] [CrossRef]
- Souza, F.L.; Tannuri, E.A.; Mello, P.C.; Franzini, G.; Mas-Soler, J.; Simos, A.N. Bayesian Estimation of Directional Wave-Spectrum Using Vessel Motions and Wave-Probes: Proposal and Preliminary Experimental Validation. J. Offshore Mech. Arct. Eng. 2018, 140, 041102. [Google Scholar] [CrossRef]
- Nielsen, U.D.; Dietz, J. Ocean wave spectrum estimation using measured vessel motions from an in-service container ship. Mar. Struct. 2020, 69, 102682. [Google Scholar] [CrossRef]
- Lee, C.; Kim, Y. Local response estimation of a seagoing vessel using onboard measurement data. Mar. Struct. 2022, 86, 103298. [Google Scholar] [CrossRef]
- Nielsen, U.D.; Mittendorf, M.; Shao, Y.; Storhaug, G. Wave spectrum estimation conditioned on machine learning-based output using the wave buoy analogy. Mar. Struct. 2023, 91, 103470. [Google Scholar] [CrossRef]
- Nielsen, U.D. Introducing two hyperparameters in Bayesian estimation of wave spectra. Probab. Eng. Mech. 2008, 23, 84–94. [Google Scholar] [CrossRef]
- Bispo, I.B.S.; Simos, A.N.; Tannuri, E.A.; Cruz, J.J. Motion-based Wave Estimation by a Bayesian Inference Method: A Procedure for Pre-defining the Hyperparameters. In Proceedings of the 22nd International Offshore and Polar Engineering Conference, Rhodes, Greece, 17–22 June 2012. [Google Scholar]
- Nielsen, U.D. A concise account of techniques available for shipboard sea state estimation. Ocean Eng. 2017, 129, 352–362. [Google Scholar] [CrossRef]
- Nielsen, U.D.; Bingham, H.B.; Brodtkorb, A.H.; Iseki, T.; Jensen, J.J.; Mittendorf, M.; Mounet, R.E.G.; Shao, Y.; Storhaug, G.; Sorensen, A.J.; et al. Estimating waves via measured ship responses. Sci. Rep. 2023, 13, 17342. [Google Scholar] [CrossRef] [PubMed]
- Nielsen, U.D. Transformation of a wave energy spectrum from encounter to absolute domain when observing from an advancing ship. Appl. Ocean Res. 2017, 69, 160–172. [Google Scholar] [CrossRef]
- Nielsen, U.D. Deriving the absolute wave spectrum from an encountered distribution of wave energy spectral densities. Ocean Eng. 2018, 165, 194–208. [Google Scholar] [CrossRef]
- Mak, B.; Duz, B. Ship as a Wave Buoy: Estimating Relative Wave Direction from In-Service Ship Motion Measurements Using Machine Learning. In Proceedings of the 38th International Conference on Ocean, Offshore, and Arctic Engineering, Glasgow, UK, 9–14 June 2019. [Google Scholar]
- Kawai, T.; Kawamura, Y.; Okada, T.; Mitsuyuki, T.; Chen, X. Sea state estimation using monitoring data by convolutional neural network (CNN). J. Mar. Sci. Technol. 2021, 26, 947–962. [Google Scholar] [CrossRef]
- Mittendorf, M.; Nielsen, U.D.; Bingham, H.B.; Storhaug, G. Sea state identification using machine learning—A comparative study based on in-service data from a container vessel. Mar. Struct. 2022, 85, 103274. [Google Scholar] [CrossRef]
- Selimovic, D.; Hrzic, F.; Prpic-Orsic, J.; Lerga, J. Estimation of sea state parameters from ship motion responses using attention-based neural networks. Ocean Eng. 2023, 381, 114915. [Google Scholar] [CrossRef]
- Cheng, X.; Li, G.; Skulstad, R.; Chen, S.; Hildre, H.P.; Zhang, H. Modeling and Analysis of Motion Data from Dynamically Positioned Vessels for Sea State Estimation. In Proceedings of the 2019 International Conference on Robotics and Automation, Montreal, ON, Canada, 20–24 May 2019. [Google Scholar]
- Cheng, X.; Li, G.; Skulstad, R.; Zhang, H.; Chen, S. SpectralSeaNet: Spectrogram and Convolutional Network-based Sea State Estimation. In Proceedings of the 46th Annual Conference of the IEEE Industrial Electronics Society, Singapore, 18–21 October 2020. [Google Scholar]
- Scholcz, T.P.; Mak, B. Ship as a Wave Buoy—Estimating Full Directional Wave Spectra from In-Service Ship Motion Measurements Using Deep Learning. In Proceedings of the 39th International Conference on Ocean, Offshore, and Arctic Engineering, Fort Lauderdale, FL, USA, 28 June–3 July 2020. [Google Scholar]
- Han, P.; Li, G.; Skjong, S.; Zhang, H. Directional wave spectrum estimation with ship motion responses using adversarial networks. Mar. Struct. 2022, 83, 103159. [Google Scholar] [CrossRef]
- Cheng, X.; Li, G.; Ellefsen, A.L.; Chen, S.; Hildre, H.P.; Zhang, H. A Novel Densely Connected Convolutional Neural Network for Sea-Sate Estimation Using Ship Motion Data. IEEE Trans. Instrum. Meas. 2020, 69, 5984–5993. [Google Scholar] [CrossRef]
- Nielsen, U.D.; Iwase, K.; Mounet, R.E.G. Comparing machine learning-based sea state estimates by the wave buoy analogy. Appl. Ocean Res. 2024, 149, 104042. [Google Scholar] [CrossRef]
- Han, P.; Li, G.; Cheng, X.; Skjong, S.; Zhang, H. An Uncertainty-Aware Hybrid Approach for Sea State Estimation Using Ship Motion Responses. IEEE Trans. Ind. Informat. 2022, 18, 891–900. [Google Scholar] [CrossRef]
- Nielsen, U.D.; Iwase, K.; Mounet, R.E.G.; Storhaug, G. Uncertainty-associated directional wave spectrum estimation from wave-induced ship responses using machine learning methods. Ocean Eng. 2024, 313, 119543. [Google Scholar] [CrossRef]
- Bisinotto, G.A.; Sparano, J.V.; Simos, A.N.; Cozman, F.G.; Ferreira, M.D.; Tannuri, E.A. Sea state estimation based on the motion data of a moored FPSO using neural networks: An evaluation with multiple draft conditions. Ocean Eng. 2023, 276, 114235. [Google Scholar] [CrossRef]
- Bendat, J.S.; Piersol, A.G. Random Data—Analysis and Measurement Procedures, 3rd ed.; Wiley: New York, NY, USA, 2000. [Google Scholar]
- Ren, Z.; Han, X.; Verma, A.S.; Dirdal, J.A.; Skjetne, R. Sea state estimation based on vessel motion responses: Improved smoothness and robustness using Bezier surface and L1 optimization. Mar. Struct. 2021, 76, 102904. [Google Scholar] [CrossRef]
- Son, J.; Kim, Y. Directional wave spectrum estimation through onboard measurement data utilizing B-spline basis functions. Ocean Eng. 2024, 313, 119679. [Google Scholar] [CrossRef]
- Cummins, W.E. The impulse response function and ship motions. Schiffstechnik 1962, 47, 101–109. [Google Scholar]
- Salvesen, N.; Tuck, E.O.; Faltinsen, O. Ship motions and sea loads. Trans. Soc. Nav. Archit. Mar. Eng. 1970, 78, 250–279. [Google Scholar]


























| Designation | Specifications | |
|---|---|---|
| Wave encounter frequencies | L = 160, ωe ∈ [π/256, 5π/8] rad/s (Δωe = π/256 rad/s) | |
| Wave directions | Collocation point | M’ = 36, (Δχ = 10 deg) |
| Solution point | M’ = 18, (Δχ = 20 deg) | |
| Wave absolute frequencies | N = 27, ω ∈ [0.2, 1.5] rad/s (Δω = 0.05 rad/s) | |
| Hyperparameter | Bilinear method | (lnβχ, lnβω) = (−3, −3), (−2, −2), …, (2, 2) |
| B-spline method | lnβs = −1, 0, …, 4 or βs(ω) | |
| Designation | Specifications | |
|---|---|---|
| Length L | 230.0 m | |
| Breadth B | 32.2 m | |
| Depth D | 19.0 m | |
| Design loading condition | Draft T | 10.8 m |
| Metacentric height GM | 0.6 m | |
| Design speed U | 24.0 knots (Fn = 0.260) | |
| Designation | Specifications | |
|---|---|---|
| Loading condition | Draft T | 10.8 m |
| Metacentric height GM | [0.5, 4.5] m | |
| Navigational condition | Speed through water STW | [5, 21–(gHS)1/2] knots |
| Wave condition (sea state parameters) | Significant height HS | [1.0, 6.0] m |
| Peak period Tp/HS(1/2) | [4.5, 5.5] | |
| Main direction χM | [0, 360] deg | |
| Peak enhancement factor γ | [1.0, 3.3] (from PM to JONSWAP) | |
| Spreading parameter smax | [10.0, 25.0] (from wind waves to swell) | |
| Designation | Specifications |
|---|---|
| Ship speeds (STW) | U ∈ [0, 25] knots (ΔU = 2.5 knots) |
| Wave directions | χ ∈ [0, 360] deg (Δχ = 5 deg) |
| Wave frequencies | ω ∈ [0.1, 5.0] rad/s (Δω = 0.02 rad/s) |
| B-Spline Method | Root Mean Squared Error (RMSE) | |||||
|---|---|---|---|---|---|---|
| εHS (m) | εT2 (s) | εχM (deg) | εTp (s) | εχp (deg) | ||
| βs = 1.0 | HS < 1.88 m | 0.185 | 0.517 | 27.8 | 0.878 | 42.7 |
| HS ≥ 1.88 m | 0.328 | 0.381 | 9.89 | 0.726 | 14.9 | |
| Total | 0.305 | 0.413 | 15.4 | 0.760 | 23.5 | |
| βs = βs(ω) | HS < 1.88 m | 0.182 | 0.676 | 27.3 | 0.760 | 31.1 |
| HS ≥ 1.88 m | 0.264 | 0.368 | 8.13 | 0.544 | 8.34 | |
| Total | 0.249 | 0.449 | 14.3 | 0.595 | 15.9 | |
| Machine Learning Model | Root Mean Squared Error (RMSE) | |||||
|---|---|---|---|---|---|---|
| εHS (m) | εT2 (s) | εχM (deg) | εSTW (knots) | εGM (m) | ||
| Time-domain model | HS < 1.88 m | 0.136 | 0.230 | 9.42 | 1.55 | 0.856 |
| HS ≥ 1.88 m | 0.242 | 0.319 | 6.52 | 1.23 | 0.450 | |
| Total | 0.224 | 0.303 | 7.22 | 1.31 | 0.559 | |
| Frequency-domain model | HS < 1.88 m | 0.119 | 0.153 | 4.93 | 0.980 | 0.434 |
| HS ≥ 1.88 m | 0.179 | 0.208 | 3.10 | 0.619 | 0.222 | |
| Total | 0.168 | 0.198 | 3.55 | 0.709 | 0.279 | |
Disclaimer/Publisher’s Note: The statements, opinions and data contained in all publications are solely those of the individual author(s) and contributor(s) and not of MDPI and/or the editor(s). MDPI and/or the editor(s) disclaim responsibility for any injury to people or property resulting from any ideas, methods, instructions or products referred to in the content. |
© 2025 by the authors. Licensee MDPI, Basel, Switzerland. This article is an open access article distributed under the terms and conditions of the Creative Commons Attribution (CC BY) license (https://creativecommons.org/licenses/by/4.0/).
Share and Cite
Lee, J.-H.; Ko, D.; Choi, J.-H. Comparative Studies of Physics- and Machine Learning-Based Wave Buoy Analogy Models Under Various Ship Operating Conditions. J. Mar. Sci. Eng. 2025, 13, 1823. https://doi.org/10.3390/jmse13091823
Lee J-H, Ko D, Choi J-H. Comparative Studies of Physics- and Machine Learning-Based Wave Buoy Analogy Models Under Various Ship Operating Conditions. Journal of Marine Science and Engineering. 2025; 13(9):1823. https://doi.org/10.3390/jmse13091823
Chicago/Turabian StyleLee, Jae-Hoon, Donghyeong Ko, and Ju-Hyuck Choi. 2025. "Comparative Studies of Physics- and Machine Learning-Based Wave Buoy Analogy Models Under Various Ship Operating Conditions" Journal of Marine Science and Engineering 13, no. 9: 1823. https://doi.org/10.3390/jmse13091823
APA StyleLee, J.-H., Ko, D., & Choi, J.-H. (2025). Comparative Studies of Physics- and Machine Learning-Based Wave Buoy Analogy Models Under Various Ship Operating Conditions. Journal of Marine Science and Engineering, 13(9), 1823. https://doi.org/10.3390/jmse13091823

