Abstract
In this study, an innovative passive stability-enhancing barge platform geometry is presented to improve the operational efficiency of floating offshore wind turbines (FOWTs) by mitigating platform motion caused by wave action. Barge-type FOWTs, which primarily rely on surface support, have received less attention in terms of geometric optimization. The proposed design incorporates skirts and a trapezoidal cross-sectional shape for the barge platforms.To achieve effective stability given cost-effect considerations, geometrical optimization was performed while maintaining the same mass as the original design. Positioning the skirt with a height-to-diameter ratio of 0.8 reduces platform movements considerably, decreasing the heave by approximately 20% and the pitch by up to 70% relative to the original design. In addition, the analysis demonstrated that increasing the moonpool area to approximately 400 m2 (approximately 10% of the platform’s surface area) led to an additional reduction in the heave and pitch responses. A specific moonpool diameter saturation point value was identified to increase the stability of the floater. Finally, the platform configuration yielded consistently lower peak motions across different wave angles, demonstrating improved stability.
1. Introduction
During the last decade, wind energy has rapidly emerged as a major renewable energy source, driven largely by the European Commission’s goal to achieve net-zero greenhouse gas emissions by 2050. Offshore wind farms, in particular, have attracted attention owing to their higher wind speeds and lower turbulence compared with onshore sites. According to the National Renewable Energy Laboratory (NREL), substructures for floating offshore wind turbines (FOWTs) account for the largest share of total construction costs—approximately 27%. For example, in a 500 MW wind farm with a total construction cost of $2.25 billion, the substructure alone can reach $600 million. As turbine technology has evolved from its original onshore designs, both the number and maximum power output of wind turbines have increased considerably []. Consequently, the importance of cost-effective and reliable substructure design has grown significantly in the offshore wind energy market.
Offshore wind turbines can be broadly classified into fixed and floating types, depending on their substructures. Fixed-bottom designs become increasingly challenging—and often infeasible—as water depth increases. In contrast, floating wind turbines can be deployed in deeper waters, enabling access to superior wind resources and allowing for larger turbine capacities. Floating offshore wind turbines have also demonstrated improved cost-efficiency in terms of long-term energy production compared with fixed-bottom systems. As a result, the development of large-scale floating offshore wind farms is accelerating, with next-generation turbines of up to 15 MW currently under development. This expansion underscores the need for optimized substructure design to balance cost, performance, and reliability in diverse marine environments.
In this study, the floating platform is modeled without the wind turbine tower and under regular wave conditions. Understanding the dynamic behavior of floating offshore wind turbines is essential for ensuring their stability and performance. While modeling the entire system—including both the floating platform and the turbine tower—provides a comprehensive view of coupled dynamics and aerodynamic loading, isolating the platform dynamics remains a crucial step. Focusing on the platform allows detailed analysis of its hydrodynamic performance and motion response, which are key for structural design and control. Recent studies (Saghi and Zi, (2024); Saghi et al. (2024), (2025); Ojo et al. (2025) [,,,]) have shown that platform-focused research offers valuable insights into motion mitigation and optimization prior to full-system integration. Regular wave modeling, as used in our previous works (Saghi et al. (2024), (2025); Ahh and Shin, (2020) [,,]), provides an effective foundation for understanding key phenomena before extending to irregular waves. Although modeling irregular waves is necessary for realistic operational scenarios and planned for future work, this study provides important baseline data under simplified conditions.
Among various floating substructure concepts, the barge-type platform presents unique challenges and opportunities. Its stability and performance are strongly influenced by dynamic environmental loads from wind, waves, and currents []. Effective control systems—such as tuned-mass dampers and active ballast systems—have been proposed to mitigate motion responses. Furthermore, the use of lightweight materials and innovative structural configurations has been explored to enhance stability without compromising cost-effectiveness. These considerations highlight the necessity of integrated design approaches that account for both hydrodynamic performance and structural resilience in barge-type FOWTs.
Changes in geometric structures can induce substantial modifications in the fluid domain and flow field, which, in turn, alter the hydrodynamic interaction characteristics between the fluid and the floating body. From an industrial perspective, where cost-efficiency during fabrication and deployment must be prioritized, offshore wind projects are often based on proprietary floating substructure designs developed in-house by private companies. Due to their proprietary nature, detailed information regarding the rationale behind structural configurations, their functional performance, and structural reliability is typically not disclosed to the public. This limited accessibility to design knowledge poses a barrier to anthropic advancements in the optimization of offshore wind substructures, especially in the context of this relatively nascent field.
Nevertheless, the pursuit of sustainable alternative energy platforms for the continuity of human society continues to drive academic research efforts. Offshore wind researchers, in particular, must address the challenge of ensuring long-term durability and minimal maintenance of floating wind systems operating under harsh ocean conditions. To this end, motion control strategies must favor simple and passive mechanisms that are robust against environmental uncertainty. A promising approach to meet these criteria lies in modifying the geometry of the structure itself.
Just as the hull forms of conventional ships have largely converged toward optimal configurations for minimizing hydrodynamic resistance, it is reasonable to assume that optimal geometric configurations exist for floating substructures in fixed offshore locations operating in wind farm arrangements. Motivated by this perspective, the present study explores geometric variations in barge-type substructures as a foundational step toward such structural optimization.
2. Literature Review
Various control strategies have been investigated to mitigate the challenges posed by the dynamic marine environment. One approach involves the use of tuned liquid dampers. For instance, Saghi and Zi (2024) [] and Saghi et al (2024). [] studied the effects of bidirectional tuned liquid dampers on the pitch and heave motions of barges and octagonal platforms. These authors proposed the optimization of the geometric dimensions of the platforms to reduce these motions further. Similarly, Han et al. [] examined the effectiveness of a passively tuned liquid damper integrated into a floating substructure for vibration suppression.
Another extensively explored control method is the application of tuned-mass dampers (TMDs). Ding et al. (2019) [] investigated the use of TMDs to enhance the stability of barge-supported FOWTs. Using a multi-island genetic algorithm, they optimized the TMD parameters and demonstrated that TMD implementation mitigates vibrations effectively, thereby improving the overall stability of floating wind turbine platforms. However, active or semi-active control approaches such as TMDs with adjustable stiffness or damping and active ballast systems generally require additional mechanical components, power supply, and continuous maintenance, which may increase complexity and operational costs. In contrast, the proposed passive skirt design operates without external energy input or active control mechanisms, offering greater simplicity, reduced construction and maintenance costs, and improved long-term reliability in harsh marine environments.
Mooring system control is also critical for ensuring the operational stability of barge-type FOWTs. Jia et al. (2024) [] evaluated the dynamic response of a barge-type FOWT and analyzed the variations in mooring line tensions under different sea conditions. Chen et al. (2024) [] investigated the impact of mooring system failure on platform performance, demonstrating that the loss of single- or double-mooring lines influences considerably sway, yaw, and surge motions. Notably, the failure of two mooring lines can induce substantial surge drifts, emphasizing the critical role of the mooring system’s integrity in maintaining platform stability. Furthermore, these findings indicate that the mooring system’s effectiveness is relatively less influenced by improvements in pitch stability, suggesting that pitch motion is primarily governed by other design parameters.
Additionally, the integration of skirts has been investigated as a passive stability-enhancing mechanism. Skirts play a key role in improving hydrodynamic performance by damping wave-induced motion. Amaechi et al. (2022) [] demonstrated that skirts enhance added mass and hydrodynamic damping by confining water beneath the buoy. Extending the skirts deeper into the water column increases wave diffraction and radiation forces, further enhancing stability. The combined effect of skirts and mooring systems has also been analyzed. Faltinsen et al. (2009) [] highlighted the importance of skirt geometry, concluding that conical skirts outperform cylindrical skirts by reducing vortex shedding and drag forces. Zhou et al. (2023) [] proposed a barge platform that incorporated moonpools and skirts, verifying its compliance with DNV standards and its resilience under extreme environmental conditions.
Pitch motion is a key parameter influencing the stability of FOWTs. Jonkman and Buhl (2007) [] developed an aero hydro-servo-elastic model to simulate the loading conditions of a barge-type wind turbine with a 5 MW power output, demonstrating that excessive pitch motion amplifies structural loads and reduces platform stability. Their study showed that under extreme wave conditions, the barge exhibited extensive pitch oscillations, compromising both the structural integrity and operational efficiency. These findings highlight the importance of pitch motion control mechanisms in mitigating excessive loads and maintaining platform stability.
By quantifying the effects of pitch motion, this study contributed to additional research on effective damping strategies and structural reinforcements to enhance the stability of barge-type FOWTs. Kosasih et al. (2019) [] applied the boundary element method (BEM) to analyze the dynamic behavior of a barge-type floating offshore wind turbine, incorporating key design elements, such as the moonpool and skirt, while accounting for additional viscous damping effects. Their numerical simulations were validated against experimental data, exhibiting a high level of agreement between predicted and observed dynamic responses. The study demonstrated that BEM is an effective method for modeling complex hydrodynamic interactions, particularly those involving wave diffraction, radiation forces, and fluid–structure interactions in floating offshore wind turbines. These findings contributed to the optimization of moonpool and skirt designs for enhanced hydrodynamic stability and motion control, providing a foundation for further refinements in next-generation FOWT platforms.
Various FOWT designs exist, including submerged platforms, platforms with tension legs, spars, and barges (Lee, (2008); Jonkman, (2009) [,]). Innovations, such as damping pool barge platforms, highlight the ongoing advancements in FOWT technology Castro-Santos and Diaz-Casas, (2014) []
Platform stability is of paramount importance for FOWTs. Stability is typically achieved through buoyancy stabilization (e.g., barges and semisubmersible platforms), mooring stabilization (e.g., platforms with tension legs), or ballast stabilization (e.g., spar platforms). Each design employs specific principles to enhance stability and optimize performance. For instance, semisubmersible platforms use a large waterplane area to increase the metacentric height (James and Ros, 2015) [].
Among the various FOWT configurations, barge-type FOWTs have received less attention in terms of geometric optimization. While substantial research has focused on optimizing the geometries of semisubmersible platforms, barge-type platforms remain underexplored. Jang et al. (2015) [] and Kang et al. (2017) [] investigated square semisubmersible designs. Bae and Kim (2015) [] examined trapezoidal semisubmersible platforms, while Bashetty and Ozcelik (2020) [] analyzed pentagonal semisubmersible configurations. Zhai et al. (2022) [] examined the hydrodynamic response of a barge-type FOWT integrated with an aquaculture cage. These authors developed a numerical model of the platform and evaluated its dynamic behavior under diverse environmental conditions. Their findings revealed that incorporating an aquaculture cage into the barge-type FOWT system reduced the motion response variability considerably. This reduction enhanced the overall platform stability, demonstrating the potential benefits of multi-purpose offshore structures. However, despite these improvements, their study did not specifically address the geometric optimization of the barge structure itself.
The geometric optimization of barge-type FOWTs is a key determinant of their hydrodynamic performance and stability. However, despite its recognized importance, research on barge-type FOWT geometries remains relatively limited compared with the extensive studies on the underwater geometries of ships and offshore platforms. Similar to barge-type FOWTs, these structures rely on water surface support. Their geometric refinements have primarily focused on enhancing hydrodynamic efficiency, improving motion stability, and increasing operational performance. Given the substantial influence of geometric design on hydrodynamic behavior, additional investigations are required to develop optimized barge geometries. These advancements can contribute to greater platform stability, improved motion control, and enhanced energy efficiency, ultimately enhancing the overall performance and viability of barge-type FOWTs.
Based on the research conducted so far, the study of the simultaneous effect of using a moonpool barge platform with a trapezoidal platform geometry, an octagonal moonpool, and the presence of a skirt is a new geometry that has not been researched so far. To address this research gap, this study proposes a novel geometric design by using a sequential procedure used by some researchers for the platform and moonpool of a barge-type FOWT. The proposed design incorporates an octagonal moonpool and a trapezoidal cross-sectional configuration. In this study, however, the geometry is modified while keeping the mass of the reference platform unchanged. The optimal design was identified and evaluated based on key performance metrics. Furthermore, the optimal dimensions and positioning of a skirt were analyzed to mitigate the platform motion (Figure 1) and improve the overall efficiency and stability of FOWTs. Additionally, this study provides essential guidelines that allow the determination of hydrodynamically efficient moonpool areas.

Figure 1.
Conceptional description of the proposed barge-type floating offshore wind turbines (FOWTs).
3. Governing Equations and Boundary Conditions
3.1. Governing Equations
A Cartesian coordinate system was chosen, with the origin located at the still water level and on the center of the moonpool. The Z axis points upwards (parallel to the tower), and the head wave comes in along the direction of the X axis (Perpendicular to the blades) (See Figure 2). The linear diffraction wave theory was applied, and the fluid was assumed to be inviscid, irrotational, and incompressible. The velocity field of the fluid was modeled using the velocity potential . The velocity potential should satisfy the Laplace’s equation (Newman, 2017 []; Saghi and Zi, 2024 []; Saghi et al., 2021 []),

Figure 2.
Illustration of the 5 MW barge-type FOWT of the National Renewable Energy Laboratory (Chuang et al., 2021 []).
Waves were assumed to have a small amplitude, and the motion and rotation of the structure due to the wave was linearly proportional to the wave amplitude. High-order effects of the wave in hydrodynamic loads and the resulting motion of floating structures were neglected. In the linear diffraction wave theory, the motions of the structure and hydrodynamic loads varied sinusoidally as a function of the frequency of the incident wave.
A linear velocity potential consists of the incident potential, diffraction potential, and radiation potential as follows:
where is the unit incident velocity potential; is the unit diffraction potential; and is the unit radiation potential corresponding to mode of the floating body.
According to Newton’s second law, we can obtain the motion of the structure in six rigid body modes.
where i is an imaginary number; is the incident wave frequency; is the complex response amplitude of mode of the body, and A is the amplitude of the incident wave. is the mass matrix of the body; are the hydrodynamic added mass terms, are the hydrodynamic damping terms; are the hydrostatic restoring terms, and is the unit wave excitation force or moment of mode .
In the hydrodynamic analysis, the structural finite element model is coupled with a hydrodynamic panel mesh discretizing the wetted surface of the platform. The radiation and diffraction problems over this wetted boundary are formulated using boundary integral equations with three-dimensional source distributions based on the Green function approach, as described in Wehausen and Laitone (1960) [], Wang et al. (1991) [], and Ertekin et al. (1993) [], among others. Through this formulation, frequency-dependent hydrodynamic coefficients—including added mass and radiation damping—as well as wave excitation force vectors are computed for both rigid body modes and generalized flexible modes. When applicable, structural and hydrodynamic viscous damping terms are incorporated into the damping matrix on the left-hand side of the governing equation of motion (see Equation (3)). The structural mass and stiffness matrices are derived via the finite element method (FEM), and the resulting coupled system is solved in the frequency domain using standard matrix solvers. This approach enables the evaluation of the platform’s dynamic response across modes.
In this study, although linear potential flow theory was adopted, the effect of viscous damping was included by adding equivalent damping coefficients to the hydrodynamic damping matrix in Equation (3) These coefficients represent energy dissipation caused by fluid viscosity and were selected based on typical values observed in barge-type floating platforms. Including this term improves the accuracy of the predicted pitch and heave responses without requiring full nonlinear modeling.
It should be noted that the present formulation is based on several simplifying assumptions. The fluid is assumed to be inviscid, incompressible, and irrotational, and the waves are represented by linear diffraction theory with small amplitude. Higher-order nonlinear wave effects, turbulence, and viscous flow separation are neglected. These assumptions allow efficient frequency-domain analysis but may limit the applicability of the model in highly nonlinear sea states or when viscous effects dominate. Therefore, the results are most reliable within the regime of moderate wave amplitudes and for configurations where potential flow assumptions remain valid.
3.2. Boundary Conditions of the Potential Flow
The boundary conditions on the free surface and the bottom are given as follows (Newman, 2017 []):
where h is the depth of the fluid. It is assumed impermeable on . On the wet surface of the floating body, the radiation and diffraction potentials are governed by the following conditions (Newman, 2017 []):
where
is the projection of the displacement vector of mode in the direction of , and is the th eigen mode. After estimating the velocity potential function, we can derive the hydrodynamic loads, and from Newton’s second law, we derive the motion of the structure in terms of the rigid-body mode Equation (3) (Newman, 2017 []).
4. Optimize the Barge Geometry
4.1. Verification
Here in, we describe the validation of the model developed for simulating a barge-type FOWT substructure. The FOWT platform was modeled with the properties summarized in Table 1, and the response amplitude operator (RAO) pitch motion of the FOWT substructure was calculated. The developed model included the platform only (that is, the tower and blades were excluded).

Table 1.
Properties of the reference platform (Vijayakumar and Paneer, 2012) [].
The interaction of waves with the floating platform is described by linear diffraction wave theory, where the fluid is inviscid and incompressible and the flow is irrotational. Waves are assumed small-amplitude and the wave-induced motions and rotations of the structure are linearly proportional to the wave amplitude.
These results were then compared with those of Vijayakumar and Paneer (2012) [], as illustrated in Figure 3 and Figure 4. The two sets of results were in good agreement.

Figure 3.
Comparison of the RAO pitch motion of the FOWT substructure: Numerical results and those reported by Vijayakumar and Paneer (2012) [].

Figure 4.
Comparison of the obtained RAO results for the heave for the FOWT substructure with the results reported by Chuang et al. (2021) [].
As a second test case, the model was applied to simulate the platform of a 5MW wind turbine (Chuang et al., 2021 []). Figure 2 shows a schematic representation of a barge-type FOWT with its main parameters listed in Table 2. Notably, only the platform was modeled, that is, the tower and blades were excluded. The RAO of the platform was calculated using the model and was compared with the results of Chuang et al. (2021) [] (Figure 2). These results were in good agreement.

Table 2.
Basic parameters of the FOWT substructure (Chuang et al., 2021) [].
In this study, different geometries of a barge-type platform, including rectangular and trapezoidal sections, were evaluated, as shown in Figure 2. The platform had a moonpool in its central section and a skirt. The geometry of the platform was optimized in three stages. Initially, a square platform was considered, and different octagonal geometries were chosen to model the moonpool. The optimal geometry of the moonpool was determined based on the response of the platform to waves with varying periods. Different octagonal geometries were selected in the subsequent step to model the platform using the selected geometry of the moonpool from the first stage. The optimal platform geometry was determined based on the response of the platform to motion. Finally, a skirt was added to the lower part of the platform, and the optimal length was determined based on the platform’s movement.
4.2. Optimization Procedure
Figure 5 illustrates the sequential optimization procedure for developing a skirted trapezoidal barge-type FOWT platform. The process integrates structural modeling, hydrodynamic analysis, and performance-based selection, enabling systematic evaluation of candidate designs under unified mass and stability constraints. The workflow proceeds as follows:

Figure 5.
Optimization flowchart.
Step 1: Structural modeling and parameter extraction
A three-dimensional model of the barge-type platform was created in ABAQUS to define its geometry and compute key physical properties, such as total mass, center of gravity, and mass moment of inertia. These values were used as input for subsequent hydrodynamic analysis.
Step 2: Data preparation and formatting for HYDRAN-XR
The extracted platform parameters were organized and converted into a format compatible with HYDRAN-XR []. This step ensured proper mapping of structural characteristics for accurate frequency-domain hydrodynamic simulations.
Step 3: Hydrodynamic analysis and RAO computation
Using HYDRAN-XR [], simulations were conducted to calculate the response amplitude operators (RAOs) for heave and pitch motions across various wave periods and directions. These results served as the basis for evaluating the dynamic performance of each design.
Step 4: Screening and selection of stable configurations
The computed RAO results were analyzed to identify abnormal or excessively unstable responses. Designs that exhibited minimized motion amplitudes in both heave and pitch were selected as viable candidates for the next phase of geometric optimization.
4.3. Moonpool Geometry
Moonpool is a vertical internal opening formed within a floating offshore structure, creating an enclosed water column that is not directly exposed to the open sea. It has been recognized as a passive feature capable of enhancing the hydrodynamic stability of the platform. According to Sun (2025) [], the presence of a moonpool increases the rotational inertia of the foundation and the associated recovery torque, thereby altering the natural frequencies of the system. Tan (2021) [] further demonstrated that the moonpool contributes to motion suppression under wave excitation, leading to improved seakeeping performance.
Aalbers (1984) [] identified two primary damping mechanisms associated with the oscillation of the water column inside the moonpool. The first is viscous damping, which arises from vortex generation at the moonpool opening during the inflow and outflow of water. This effect becomes particularly significant when the moonpool entrance has sharp edges, resulting in substantial quadratic damping. The second mechanism is potential damping, in which the oscillating water column radiates waves into the surrounding fluid domain, thereby transferring a portion of the kinetic energy outward and inducing motion attenuation within the moonpool.
The water column inside the moonpool exhibits two predominant modes of oscillation. The first is the piston mode, characterized by vertical reciprocating motion. The second is the sloshing mode, involving horizontal oscillations of the free surface. These internal resonant modes play a crucial role in the dynamic response of floating structures equipped with moonpools.
Moonpools, being enclosed from the open sea, permit both piston-like (vertical) and sloshing (horizontal) fluid motions. When external wave excitation or the natural motion of a floating structure approaches the natural frequencies of these internal modes, resonance may occur. The phase relationship between the internal fluid motion and the structural motion is critical: when the internal flow lags or is out-of-phase with the structure, hydrodynamic damping can be achieved; conversely, in-phase interactions can lead to amplification of motion.
Molin (2001) [] demonstrated, through linear potential flow analysis, that the natural frequencies of both the piston and sloshing modes are strongly dependent on the geometrical parameters of the moonpool, such as its width, depth, and the overall beam of the floating structure. Molin emphasized the importance of designing moonpools so that their natural frequencies remain well above the dominant frequencies of the structure’s motion, thereby avoiding resonant coupling.
Faltinsen (2007) [], in their combined theoretical and experimental study under finite water depth, showed that resonance within the moonpool can lead to the formation of localized energy modes, or trapped modes, which confine wave energy within the moonpool without radiating it outward. This energy confinement results in motion amplification and a suppression of natural damping mechanisms. Their findings highlight that effective damping can still be achieved if the moonpool is designed such that its eigenfrequencies are sufficiently distant from those of the floating body. Furthermore, by precisely controlling the phase of the internal fluid motion to induce destructive interference (anti-phase behavior), the structure’s motion can be significantly attenuated through energy cancellation.
In addition, the studies by Gong et al. (2025) [], Gong et al. (2024) [], Mi et al. (2025a) [], and Mi et al. (2025b) [] report that gap resonance is highly sensitive to the geometric configuration (length and width) between floating bodies. These studies represent scenarios similar to the coupled pitch–heave motion of floating structures with moonpools, suggesting that the geometric characteristics of the moonpool significantly affect the hydrodynamic behavior of the platform.
To satisfy an assumption in this study—that the mass of the reference platform remains constant while only the moonpool configuration (particularly the gap length) is modified—the moonpool was designed with an octagonal shape, which allows for variation in the gap length without altering the platform mass.
An octagonal moonpool with different dimensions and constant area (a) was placed in the central section of a square platform (Figure 6). The behavior of the platform for different wave periods and wave directions () relative to the platform was investigated. For example, Figure 7 shows the pitch and heave movements of the platform for Case 1 and . Based on the obtained results, the maximum heave and pitch motions of the platform were calculated (as shown in Figure 8 and Figure 9).

Figure 6.
(a) Schematic representation of a barge-type FOWT substructure with an octagonal moonpool, and (b) dimensions of the moonpool.

Figure 7.
RAO of the (a) heave and (b) pitch motion of the FOWT substructure Case 1 and .

Figure 8.
Maximum RAO of the heave motion of the FOWT substructure for different moonpool cases and different wave directions.

Figure 9.
Maximum RAO of the pitch motion of the FOWT substructure shown in Figure 6 for different moonpool cases and different wave directions. (a) degrees, (b) degrees, (c) degrees, and (d) degrees.
The results shown in Figure 8 and Figure 9 indicate that the geometrical shape of the moonpool does not significantly affect the pitch and heave motions of the platform. This observation is partially consistent with the findings of Zhou et al. (2023) [], who reported that the moonpool can contribute to the mitigation of environmental forces through damping effects. However, their study also noted that depending on the configuration, the moonpool may induce additional resonance phenomena. The minimal variation in platform responses due to changes in moonpool geometry observed in the present study appears to be inconsistent with some previous studies. Therefore, an additional analysis was conducted to examine the effect of varying the moonpool area as a means of directly altering the gap length. Nevertheless, Case 5 appeared to exhibit slightly better performance than the other cases, making it a potentially suitable choice.
4.4. Geometry of Platform
After selecting Case 5 as the optimal option for the moonpool, various octagonal platform designs with different dimensions were designed and analyzed using the developed model. The pitch motions of these octagonal platforms, which had the same mass but different dimensions (Figure 10 and Table 3), were evaluated at various wave periods. The results are shown in Figure 11.

Figure 10.
(a) Schematic of a barge-type FOWT substructure with an octagonal moonpool and (b) dimensions of the moonpool.

Table 3.
Properties of the platform shown in Figure 10.

The maximum pitch motions of the platform have been calculated based on the results shown in Figure 11 and are depicted in Figure 12.

Figure 12.
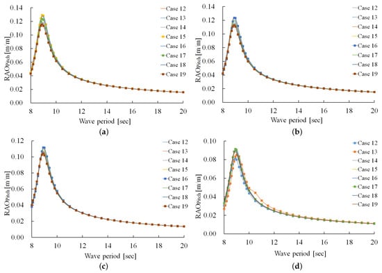
RAO of the pitch motion of the FOWT substructure shown in Figure 10 for different platform cases and different wave directions: (a) degrees, (b) degrees, (c) degrees, and (d) degrees.
As shown in Figure 11, the pitch motion in Case 19 is approximately 10% less than that in Case 12 when the waves approach at an angle 0 degree with respect to the beam wave. However, when the angle of the waves impinging on the platform increases to 45 degrees, Case 12 yielded a lower pitch motion amplitude approximately 10% than Case 19. However, a closer look at Cases 1 and 8 revealed that these shapes were identical in these two cases, and were differentiated only by the rotation around the axis perpendicular to the water’s surface. Therefore, Case 12 was chosen for the next step in which the final and optimal platform geometries were selected.
4.5. Length of Skirt
The incorporation of skirts has been shown to improve the dynamic stability of floating structures in ocean environments by mitigating their motion responses. According to Katafuchi et al. (2022) [], skirts induce nonlinear hydrodynamic damping through flow separation and vortex shedding beneath the floater, particularly under high wave amplitudes. The resulting phase lag between the internal fluid motion and external wave excitation acts to suppress vertical oscillations such as heave and pitch. In addition, Amaechi et al. (2022) [] demonstrated that skirts enhance added mass and hydrodynamic damping by confining water beneath the buoy, thereby modifying the surrounding pressure field and increasing resistance to heave motion. Larger skirt dimensions were found to promote greater energy dissipation through radiation and viscous damping, leading to further reductions in vertical motion. These findings suggest that skirts can play a significant role in enhancing the hydrodynamic performance and motion stability of floating offshore structures by leveraging both nonlinear flow mechanisms and mass-damping effects.
The effects of different skirt lengths (s) on the pitch and heave motions of a floating wind turbine substructure were investigated. Skirts with lengths in the range of 0–5 m, located at the free-surface level ( = D), were integrated into the geometry of the substructure (Figure 13). The placement of the skirts on the FOWT barges plays a crucial role in mitigating the wave-induced motion, especially the pitch. Extensive studies showed that positioning the skirt at the free-surface level improved considerably the damping of these motions. Raising the skirt of a barge-type floating offshore wind turbine toward the water surface can significantly reduce platform motions, particularly heave and pitch. Near the water surface, the skirt interacts more intensively with wave orbital velocities and pressure gradients, which enhances wave radiation damping and reduces wave excitation forces. This configuration fosters destructive interference between incident and radiated waves, acting as a passive motion damper. Additionally, it alters flow separation patterns, leading to an increase in nonlinear damping and improving the system’s stability. Moreover, this modification shifts the system’s natural frequencies away from dominant wave frequencies, thus minimizing resonance and enhancing the turbine’s performance in harsh sea conditions (Kosasih et al., 2020 []). This configuration takes advantage of the interaction between the skirt and the water surface to stabilize the platform and improve the overall performance under wave conditions. Strategically placing the skirt at this level allows the structure to benefit from the increased hydrodynamic resistance against wave forces, directly translating into a reduction in pitch motion. These results emphasize the importance of the optimal placement of the skirt for the design and engineering of floating wind turbine substructures to ensure their stability and efficiency in the adverse marine environment. Therefore, these substructures were modeled as face waves with different wave periods and sidewall angles (SWA). The results are shown in Figure 15.

Figure 13.
(a) Schematic representation of a barge-type FOWT substructure with a skirt and (b) the dimensions of the moonpool.
For a better comparison of different skirt options, the results obtained—some of which are illustrated in Figure 14 were used to calculate the maximum heave and pitch motions of the substructure; the results are presented in Figure 15.

Figure 14.
Response amplitude operators (RAOs) of (a) heave and (b) pitch motion for the barge-type FOWT substructure with a skirt positioned at the free-surface level (), for different skirt lengths ranging from 0 to 5 m. All results correspond to head-wave conditions with a sidewall angle (SWA) of 0 degrees. RAO values are expressed as the ratio of motion amplitude to incident wave amplitude over the considered wave period range.
The choice of a suitable is crucial in the design of FOWT platforms. The skirt must be adequately long to reduce effectively the movement of the platform. Figure 13 presents the convergence movement based on . However, if skirts are excessively long, then the platform’s efficiency decreases, while the construction and maintenance costs increase. In addition, longer skirts increase the difficulties in transportation and installation (Bezunartea et al., 2020 []). Based on the results shown in Figure 14, the value of was set to 5 m. Although extending the skirt length beyond 5 m could potentially reduce platform movements, this was not pursued because of the aforementioned problems. Therefore, a 5 m skirt was chosen to balance effectiveness and practicality.
As shown in Figure 13, a significant difference is observed in the maximum pitch RAO between the configuration without a skirt and those with extended skirt lengths. This illustrates a promising example where passive motion damping is effectively achieved through simple geometric modifications. Notably, the present study is based on linear potential theory and does not include physical phenomena such as viscous effects or vortex shedding, which are typically captured by CFD simulations. Nevertheless, pronounced motion attenuation was observed, suggesting that the geometric presence of the skirt alone contributes substantially to reducing platform motions.
Prior studies, such as Katafuchi et al. (2022) [], have emphasized that the damping effects of skirts arise predominantly from viscous damping and energy dissipation associated with vortex generation—especially in cases where the skirt edge is sharp. However, even in the absence of such nonlinear mechanisms, the present analysis demonstrates significant damping, indicating that changes in geometric configuration alter the fluid-structure interaction by modifying the flow field around the platform.
Among the possible physical explanations, the most intuitive is the increase in added mass. The presence and length of the skirt restrict the inflow and outflow of water beneath the structure, effectively trapping more fluid and inducing a phase lag between fluid and structure, which enhances damping (Amaechi et al. []). As seen in Equation (3), the added mass term functions analogously to the mass term in Newtonian mechanics. An increase in effective mass leads to a decrease in acceleration for a given force, thereby attenuating motion. This conceptually aligns with treating the water motion constrained by the skirt as an additional inertial component in the system.
However, motion suppression cannot be attributed solely to reduced acceleration. According to Equation (3), a full interpretation must also consider the velocity- and displacement-dependent terms, as well as their interaction with wave excitation. Figure 16 presents the added mass in the pitch direction as a function of wave period. When the skirt is absent (), the added mass remains significantly smaller than in configurations with a skirt. With a 5 m skirt, the added mass approaches approximately three times the pitch-direction moment of inertia of the platform. At the dominant wave period (8–9 s), the added mass without a skirt is less than the moment of inertia, while in the 5 m skirt case, it reaches nearly double that value. This indicates that added mass dominates the inertia term in this regime.

Figure 15.
Maximum response amplitude operators (RAOs) of (a) heave and (b) pitch motion for the barge-type FOWT substructure with a skirt positioned at the free-surface level (), for different skirt lengths ranging from 0 to 5 m. Results are shown for four wave heading angles: SWA = 0 degrees, 15 degrees, 30 degrees, and 45 degrees. RAO values represent the ratio of motion amplitude to incident wave amplitude at the wave period corresponding to the peak response.
In conclusion, even in the absence of viscous and vortex-induced damping, the skirt significantly enhances the hydrodynamic stability of the platform, primarily through increased added mass. As shown in Figure 15, the effect becomes more pronounced with increasing skirt length, but eventually saturates, indicating a convergence in the damping performance.

Figure 16.
Added mass of pitch movement. m means there is no skirt, m and m mean the skirt is 1 m and 5 m respectively.
In the final stage of the modeling process, a trapezoidal platform with varying sidewall angles was implemented to optimize performance.
4.6. Inclination of the Outer Walls
As the final step in the optimization of the proposed FOWT substructure geometry, we considered trapezoidal sections with different side angles based on a square geometric section (Case 12 in Table 3; Figure 17). These sections included a moonpool with a geometry corresponding to Case 5 (Table 4). In addition, a skirt with a length of 5 m was modeled and positioned 10 m above the platform’s floor. The heave and pitch motions of the platform were analyzed for waves with different periods (Figure 18) and modeling angles (Figure 19).

Figure 17.
Schematic representation of a trapezoidal barge-type FOWT substructure showing (a) a skirt and (b) the dimensions of the platform and moonpool.

Table 4.
Dimensions of the moonpool shown in Figure 6.

Figure 18.
Comparison of the RAO of the heave motion of the trapezoidal substructure with different outer wall inclinations () against different wave sidewall angles (): (a) degrees, (b) degrees, (c) degrees, and (d) degrees.

Figure 19.
Comparison of the RAO for the pitch motion of the trapezoidal substructure with different outer wall inclinations () against different wave sidewall angles (): (a) degrees, (b) degrees, (c) degrees, and (d) degrees.
To compare different platform geometries, the results shown in Figure 18 and Figure 19 were used to calculate the maximum heave and pitch of the platform at different angles. For example, the results obtained for a 0 degree wave (i.e., the head wave) are shown in Figure 20. These results indicate that increasing the inclination of the outer walls reduces the maximum heave and pitch of the platform against the sea waves.

Figure 20.
Maximum heave and pitch of the platform for different angles against the head wave.
The results presented in Figure 20 indicate that increasing the inclination of the outer walls reduces the maximum heave and pitch motions of the platform under wave loading conditions. The minimum heave and pitch responses are observed at an inclination angle of 110 degrees, where pitch motion reached its lowest value. However, at 50 degrees, the maximum pitch motion increases to a level comparable to that of a platform without a skirt. Furthermore, as the inclination angle decreases from 90 degrees to 70 degrees, pitch motion increases considerably. This finding suggests that a barge platform should maintain an inclination of at least 90 degrees to prevent excessive pitch motion. Therefore, from a manufacturing perspective, a 110-degree barge platform offers enhanced stability and reduced sensitivity to pitch increase due to variations in the inclination of the outer walls ().
5. Sensitivity Analysis
5.1. Location of the Skirt
In the final stage of geometry optimization, a sensitivity analysis of the position of the skirt relative to the free water surface was performed. For this analysis, a skirt with the proposed length was evaluated within the range of the free water surface at different distances (Figure 13b), and the maximum heave and pitch movements were calculated (Figure 21).

Figure 21.
Comparison of the maximum heave and pitch motions for the platform with a skirt length of 5 m at different heights.
The location of the skirt is critical in terms of stability. The maximum-to-minimum ratio of pitch motion, depending on the skirt location, is approximately 10. The results presented in Figure 21 demonstrate that the skirt positioned at (Figure 13b) causes the least pitch movement of the FOWT compared with the other skirt positions. This configuration reduces considerably the maximum pitch motion of the platform by approximately 70% compared with that of the original barge FOWT substructure. Positioning the skirt close to the free surface of the water offers several practical advantages pertaining to the investigation of the effectiveness of the skirt’s placement. First, a skirt located closer to the water surface is easier to install and maintain owing to the lower underwater pressure and better accessibility. The improved accessibility simplifies operations and reduces maintenance costs. Second, the skirt can be designed to interact with the surface waves and mitigate their effects. It reduces the direct force acting on the FOWT structure by attenuating or interrupting the incoming waves. This reduction in wave impact results in diminished mechanical stress on the turbine, thereby improving the durability and service life of the turbine.
The results presented in this section are subject to the following limitations. First, due to the use of linear diffraction wave theory, viscous damping and vortex shedding effects were not considered, as the fluid was assumed inviscid. Consequently, the absence of energy dissipation mechanisms implies that the predicted motion amplitudes of the floating body may be overestimated compared to actual behavior. Furthermore, the exclusion of nonlinear terms—due to the small-amplitude assumption—neglects energy loss caused by flow separation, again likely leading to an overprediction of the platform motions, as also noted in Katafuchi et al. (2022) []. These unmodeled effects, such as viscous damping, vortex shedding, and flow separation, are highly sensitive to geometric discontinuities (e.g., edges and corners) and are particularly significant near the skirt region. Therefore, CFD-based simulations are essential for accurately evaluating the motion stability of floating bodies equipped with skirts. In the current study, only the stabilizing effects of increased added mass and hydrodynamic damping induced by the skirt—following the approach of Amaechi et al. (2022) []—have been considered. For future work, CFD analyses are required to investigate optimal skirt positioning to further enhance platform stability by capturing the aforementioned nonlinear and viscous flow phenomena.
5.2. Moonpool Area
In this analysis, an octagonal moonpool with variable dimensions and aspect ratios was modeled. The studies by Gong et al. (2025) [], Gong et al. (2024) [], Mi et al. (2025a) [], and Mi et al. (2025b) [] have reported that gap resonance is highly sensitive to the geometric configuration—specifically the length and breadth—between adjacent floating bodies. Accordingly, this analysis was conducted to evaluate the influence of increased moonpool area on platform motion, as a means of directly altering the gap length, as previously discussed. The specific dimensions of the moonpool are listed in Table 5. Following the modeling process, the maximum pitch motion of the platform was calculated for head waves (SWA = 0) across various wave periods, as shown in Figure 21.

Table 5.
Properties of the platform shown in Figure 6.
The phase relationship between the internal moonpool fluid oscillation and the structural motion plays a pivotal role in determining the dynamic response of the system. When the internal flow exhibits a phase lag or is out of phase with the structural motion, it contributes to hydrodynamic damping. In contrast, an in-phase interaction between the two can result in the amplification of structural motions.
Determining the optimal moonpool area is essential for maximizing stability, as increasing its size beyond the saturation point does not yield additional benefits. Figure 22 illustrates the effect of the moonpool area on the maximum RAO. As the moonpool area increases from 200 to 400 m2, the maximum RAO decreased significantly, indicating enhanced damping of wave-induced motion. However, for moonpool areas between 400 and 600 m2, the RAO stabilizes, demonstrating no further reduction in wave-induced responses. This finding suggests the presence of a saturation point beyond which increasing the moonpool area has a diminishing impact on stability improvements.

Figure 22.
Comparison of the maximum pitch motion for different moonpool options.
Understanding this saturation threshold is crucial for optimizing structural stability, enabling more effective design decisions in wave-dominant environments. The saturation point observed in this study is attributed to the intentional design choice in which the natural frequency of the moonpool is maintained well above the dominant excitation frequency of the platform. In contrast, when the moonpool area approaches approximately 200 m2, gap resonance emerges, resulting in a dramatic amplification—exceeding five times the saturated pitch amplitude. This observation provides new insights into the relationship between gap resonance and the geometric configuration of adjacent floating bodies.
Unlike previous studies that primarily focused on two-dimensional analyses, this study investigates gap resonance in a fully three-dimensional environment. Although gap resonance exhibits high sensitivity to the geometric configuration between floating bodies, the results demonstrate that, in the case of barge-type structures, ensuring a sufficiently wide separation—beyond the saturation threshold— precludes the occurrence of gap resonance, thereby allowing the moonpool’s stabilizing effects to be effectively utilized in design.
Furthermore, the optimal moonpool diameter varies depending on the platform’s overall dimensions, indicating that each platform configuration is associated with a corresponding stability-effective moonpool size. These insights are particularly valuable for marine vessel designers and offshore engineers as they facilitate the optimization of moonpool dimensions to achieve a balance between motion-damping benefits and the economic and structural constraints of larger designs, particularly in high-wave environments.
5.3. Comparison Between the Pervious Study and Proposed Platforms
In the final stage, the platform motions for waves with different periods and directions were compared in the following two scenarios: a) a platform with the original geometry (as described previously), and a platform with the proposed geometry (Figure 23).

Figure 23.
Comparison of the platform motions with the original and proposed geometry under waves with different periods and angles: (a) degrees, (b) degrees, (c) degrees, and (d) degrees.
Figure 23 shows a comparative analysis of the motion characteristics of the original and proposed segmented platform geometries at different wave periods and sea wave angles (). The results show that both platform types experience peak motions at similar wave periods and have critical resonance periods. Notably, the proposed platform consistently yielded slightly lower peak motions across all tested wave angles, suggesting improved stability. This effect is particularly evident in panels Figure 23c ( degrees) and Figure 23d ( degrees), where the differences in peak motions are the most pronounced. These results indicate that the proposed platform design offers better stability than the original design, particularly for diverse wave directions and periods. Consequently, a proposed geometry can mitigate platform movements more effectively, which is essential for ensuring operational safety and efficiency in marine environments.
6. Conclusions
In this study, we investigated the integrated application of a skirt, trapezoidal cross-section, and octagonal moonpool geometry in a floating wind turbine barge platform. The results indicated that an octagonal moonpool led to a reduction in heave and pitch motions, but the effect was not significant. However, the most substantial reduction in pitch motion was achieved when the skirt was positioned at . Additionally, the trapezoidal cross-section further reduced heave and pitch responses. The optimized configuration resulted in an approximate reduction of 70% in pitch motion compared with that of the original platform with a rectangular cross-section. This reduction is primarily attributed to the skirt generating additional hydrodynamic damping and flow resistance, which dissipate wave energy and suppress excessive platform motions.
From a manufacturing perspective, a 110-degree barge platform provides greater stability and reduced sensitivity to pitch variations. To ensure structural stability, the inclination should be maintained at a minimum of 90 degrees. Considering manufacturing tolerances, adopting a 110-degree inclination is preferable to account for potential deviations from the optimal design.
Increasing skirt length improves platform stability. The addition of a skirt induces a substantial increase in the added mass, which in turn leads to a significant enhancement in motion control performance. However, its effect reaches a convergence point, beyond which further extensions yield diminishing returns. Additionally, fatigue resistance, construction feasibility, and maintenance costs must be considered when determining the optimal skirt length. Furthermore, skirt positioning is a critical parameter, as variations in location can result in up to a 10-fold difference in platform motion response.
Similarly, the moonpool area exhibited a saturation level beyond which further enlargement did not provide additional motion-damping benefits. These insights are crucial for achieving an optimal balance between hydrodynamic performance and the economic and structural constraints of platform design.
The reduction in pitch motion not only enhances operational efficiency but also improves structural integrity and safety. These findings suggest that optimizing the positioning and geometry of the skirt and moonpool area is a key strategy for advancing FOWT design, leading to more stable and reliable energy generation systems.
These advancements have significant implications for real-world offshore wind projects. By passively enhancing platform stability without relying on active control systems, the proposed design reduces construction and maintenance complexity, which can potentially lower the levelized cost of electricity (LCOE). Furthermore, the modular and scalable nature of the optimized platform geometry makes it well-suited for large-scale deployments in deep-water environments where fixed-bottom structures are impractical. Therefore, this study provides a valuable design framework for the next generation of cost-effective and robust floating offshore wind turbines.
However, this study was conducted under certain simplifying assumptions, with the numerical analysis based on linear potential flow theory that neglects nonlinear hydrodynamic effects such as wave breaking, viscous damping, and turbulence. Additionally, the model considers only the substructure, excluding the dynamic interactions with the wind turbine tower and rotor. The simulations were performed under regular wave conditions, and the results may differ under irregular wave environments or combined wind–wave loading. Moreover, the findings have not yet been validated through physical experiments. Therefore, the applicability of the proposed design is limited to the scope of the assumptions made, and further studies including fully coupled aero-hydro-servo-elastic analysis and experimental verification are recommended to confirm the robustness of the conclusions under real ocean conditions.
Author Contributions
H.K.: Writing—review and editing, Data curation, Software, Validation, Methodology, Formal analysis, Visualization; H.S.: Conceptualization, Validation, Methodology, Writing—original draft preparation; I.J.: Visualization, Writing—review and editing; G.Z.: Investigation, Supervision, Project administration, Funding acquisition, Formal analysis, Validation. All authors have read and agreed to the published version of the manuscript.
Funding
This work was supported by the National Research Foundation of Korea (NRF) grant funded by the Korea Government (MSIT) (No. NRF-2023R1A2C3006844).
Data Availability Statement
The data and simulation code that support the findings of this study are available from the corresponding author upon reasonable request.
Acknowledgments
The authors thank Jonghyeok Lee at Korea University for assisting with a part of the calculations using an analysis software (Hydran-XR v23.0.)
Conflicts of Interest
The authors declare no conflict of interest.
References
- Hansen, A.D.; Hansen, L.H. Wind turbine concept market penetration over 10 years (1995–2004). Wind Energy 2007, 10, 81–97. [Google Scholar] [CrossRef]
- Saghi, H.; Zi, G. Pitch motion reduction of a barge-type floating offshore wind turbine substructure using a bidirectional tuned liquid damper. Ocean. Eng. 2024, 304, 117717. [Google Scholar] [CrossRef]
- Saghi, H.; Ma, C.; Zi, G. Bidirectional tuned liquid dampers for stabilizing floating offshore wind turbine substructures. Ocean. Eng. 2024, 309, 118553. [Google Scholar] [CrossRef]
- Saghi, R.; Li, Z.; Ning, D. Preliminary investigation of the effects of a trapezoidal moonpool on the hydrodynamic performance of the Barge-Type FOWT substructures for potential OWC integration. Ocean. Eng. 2025, 322, 120532. [Google Scholar] [CrossRef]
- Ojo, A.; Collu, M.; Coraddu, A. Geometric design parameterization and optimization of spar floating offshore wind turbine substructure. Ocean. Eng. 2025, 332, 121378. [Google Scholar] [CrossRef]
- Ahn, H.; Shin, H. Experimental and numerical analysis of a 10 MW floating offshore wind turbine in regular waves. Energies 2020, 13, 2608. [Google Scholar] [CrossRef]
- Jonkman, J.M.; Matha, D. Dynamics of offshore floating wind turbines—Analysis of three concepts. Wind Energy 2011, 14, 557–569. [Google Scholar] [CrossRef]
- Han, D.; Li, X.; Wang, W.; Su, X. Dynamic modeling and vibration control of barge offshore wind turbine using tuned liquid column damper in floating platform. Ocean. Eng. 2023, 276, 114299. [Google Scholar] [CrossRef]
- Ding, Q.; Li, C.; Cheng, S.; Hao, W.; Huang, Z.; Yu, W. Study on TMD Control on Stability Improvement of Barge-Supported Floating Offshore Wind Turbine Based on the Multi-Island Genetic Algorithm. China Ocean. Eng. 2019, 33, 309–321. [Google Scholar] [CrossRef]
- Jia, W.; Liu, Q.; Lglesias, G.; Miao, W.; Yue, M.; Yang, Y.; Li, C. Investigation of barge-type FOWT in the context of concurrent and cascading failures within the mooring systems. Renew. Energy 2024, 224, 120119. [Google Scholar] [CrossRef]
- Chen, M.; Yang, L.; Sun, X.; Pan, J.; Zhang, K.; Lin, L.; Yun, Q.; Chen, Z. Dynamic Analysis of a Barge-Type Floating Wind Turbine Subjected to Failure of the Mooring System. J. Mar. Sci. Eng. 2024, 12, 617. [Google Scholar] [CrossRef]
- Amaechi, C.V.; Wang, F.; Ye, J. Numerical studies on CALM buoy motion responses and the effect of buoy geometry cum skirt dimensions with its hydrodynamic waves-current interactions. Ocean. Eng. 2022, 244, l110378. [Google Scholar] [CrossRef]
- Faltinsen, O. Hydrodynamics of High-Speed Marine Vehicles; Cambridge University Press: Cambridge, UK, 2009. [Google Scholar] [CrossRef]
- Zhou, Y.; Feng, S.; Guo, X.; Tian, F.; Han, X.; Shi, W.; Li, X. Initial Design of a Novel Barge-Type Floating Offshore Wind Turbine in Shallow Water. J. Mar. Sci. Eng. 2023, 11, 464. [Google Scholar] [CrossRef]
- Jonkman, J.; Buhl, M. Loads analysis of a floating offshore wind turbine using fully coupled simulation. In Proceedings of the WindPower 2007 Conference & Exhibition, Los Angeles, CA, USA, 3–6 June 2007. [Google Scholar]
- Kosasih, K.M.A.; Niizato, H.; Okubo, S.; Mitani, S.; Suzuki, H. Wave tank experiment and coupled simulation analysis of barge-type offshore wind turbine. In Proceedings of the 29th International Society Offshore and Polar Engineering Conference (ISOPE-2019), Hawaii, HI, USA, 16–21 June 2019; Volume 1, pp. 390–397. [Google Scholar]
- Lee, S. Dynamic Response Analysis of Spar Buoy Floating Wind Turbine Systems; MIT: Cambridge, MA, USA, 2008. [Google Scholar]
- Jonkman, J.M. Dynamics of offshore floating wind turbines-model development and verification. Wind Energy 2009, 12, 459–492. [Google Scholar] [CrossRef]
- Laura, C.S.; Vicente, D.C. Life-cycle cost analysis of floating offshore wind farms. Renew. Energy 2014, 66, 41–48. [Google Scholar] [CrossRef]
- James, R.; Ros, M.C. Floating offshore wind: Market and technology review. Carbon Trust 2015, 439, 6. [Google Scholar]
- Jang, H.K.; Kim, H.C.; Kim, M.H.; Kim, K.H. Coupled dynamic analysis for multi-unit floating offshore wind turbine in maximum operational and survival conditions. In Proceedings of the ASME 2015 34th International Conference on Ocean, Offshore and Arctic Engineering (OMAE2015), St. John’s, NL, Canada, 31 May 31–5 June 2015; Volume 9, p. V009T09A070. [Google Scholar] [CrossRef]
- Kang, H.; Kim, M.H.; Kim, K.H.; Hong, K. Hydroelastic analysis of multi-unit floating offshore wind turbine platform (MUFOWT). In Proceedings of the 27th International Offshore and Polar Engineering Conference, San Francisco, CA, USA, 25–30 June 2017; pp. 554–560. [Google Scholar]
- Bae, Y.H.; Kim, M.H. The dynamic coupling effects of a MUFOWT (multiple unit floating offshore wind turbine) with partially broken blade. J. Ocean. Wind. Energy 2015, 2, 89–97. [Google Scholar] [CrossRef]
- Bashetty, S.; Ozcelik, S. Design and Stability Analysis of an Offshore Floating Multi-Turbine Platform. In Proceedings of the 2020 IEEE Green Technologies Conference (GreenTech), Oklahoma City, OK, USA, 1–3 April 2020; Volume 2020, pp. 184–189. [Google Scholar] [CrossRef]
- Zhai, Y.; Zhao, H.; Li, X.; Shi, W. Hydrodynamic Responses of a Barge-Type Floating Offshore Wind Turbine Integrated with an Aquaculture Cage. J. Mar. Sci. Eng. 2022, 10, 854. [Google Scholar] [CrossRef]
- Newman, J. Marine Hydrodynamics, 40th ed.; The MIT Press: Cambridge, MA, USA, 2017; p. 418. [Google Scholar]
- Saghi, R.; Hirdaris, S.; Saghi, H. The influence of flexible fluid structure interactions on sway induced tank sloshing dynamics. Eng. Anal. Bound. Elem. 2021, 131, 206–217. [Google Scholar] [CrossRef]
- Chuang, T.C.; Yang, W.H.; Yang, R.Y. Experimental and numerical study of a barge-type FOWT platform under wind and wave load. Ocean. Eng. 2021, 230, 109015. [Google Scholar] [CrossRef]
- Wehausen, J.V.; Laitone, E.V. Surface waves. In Fluid Dynamics/Strömungsmechanik; Springer: Berlin/Heidelberg, Germany, 1960; pp. 446–778. [Google Scholar]
- Wang, C.Y. Exact solutions of the steady-state Navier-Stokes equations. Annu. Rev. Fluid Mech. 1991, 23, 159–177. [Google Scholar] [CrossRef]
- Ertekin, R.C.; Riggs, H.R.; Che, X.L.; Du, S.X. Efficient methods for hydroelastic analysis of very large floating structures. J. Ship Res. 1993, 37, 58–76. [Google Scholar] [CrossRef]
- Vijayakumar, G.; Selvam, P. Hydrodynamic Analysis of Barge Floater with Moonpool for 5 Mw Wind Turbine Using Wamit. In Proceedings of the International Conference on Marine Technology, Kuala Terengganu, Malaysia, 20–22 October 2012; pp. 20–22. [Google Scholar]
- Technologies, N. HYDRAN-XR, Hydrodynamic Response Analysis with Integrated Structural Finite Element Analysis, version 20.1; Technical report; NumSoft Technologies: Prescott, AZ, USA, 2020. [Google Scholar]
- Sun, S.Y.; Li, Y.; Cui, J.; Liu, Y. Effects of covers on dynamic response of a barge-type wind turbine with four moonpools. Ocean. Eng. 2025, 338, 121987. [Google Scholar] [CrossRef]
- Li, Y.; Sun, S.Y.; Cui, J. Hydrodynamic-aerodynamic performance of a barge-type floating offshore wind turbine with four moonpools and moorings. Front. Energy Res. 2025, 13, 1581732. [Google Scholar] [CrossRef]
- Aalbers, A.B. The water motions in a moonpool. Ocean. Eng. 1984, 11, 557–579. [Google Scholar] [CrossRef]
- Molin, B. On the piston and sloshing modes in moonpools. J. Fluid Mech. 2001, 430, 27–50. [Google Scholar] [CrossRef]
- Faltinsen, O.M.; Rognebakke, O.F.; Timokha, A.N. Two-dimensional resonant piston-like sloshing in a moonpool. J. Fluid Mech. 2007, 575, 359–397. [Google Scholar] [CrossRef]
- Gong, S.; Gao, J.; Yan, M.; Song, Z.; Shi, H. Effects of floater motion on wave loads during steady-state gap resonance occurring between two non-identical boxes. Ocean. Eng. 2025, 323, 120649. [Google Scholar] [CrossRef]
- Gong, S.; Gao, J.; Song, Z.; Shi, H.; Liu, Y. Hydrodynamics of fluid resonance in a narrow gap between two boxes with different breadths. Ocean. Eng. 2024, 311, 118986. [Google Scholar] [CrossRef]
- Mi, C.L.; Gao, J.L.; Song, Z.W.; Yan, M.Y. Gap Resonance Between a Stationary Box and a Vertical Wall Induced by Transient Focused Wave Groups. China Ocean. Eng. 2025, 39, 441–454. [Google Scholar] [CrossRef]
- Mi, C.; Gao, J.; Song, Z.; Liu, Y. Hydrodynamic wave forces on two side-by-side barges subjected to nonlinear focused wave groups. Ocean Eng. 2025, 317, 120056. [Google Scholar] [CrossRef]
- Katafuchi, M.; Suzuki, H.; Higuchi, Y.; Houtani, H.; Malta, E.B.; Gonçalves, R.T. Wave Response of a Monocolumn Platform with a Skirt Using CFD and Experimental Approaches. J. Mar. Sci. Eng. 2022, 10, 1276. [Google Scholar] [CrossRef]
- Kosasih, K.M.A.; Suzuki, H.; Niizato, H.; Okubo, S. Demonstration experiment and numerical simulation analysis of full-scale barge-type floating offshore wind turbine. J. Mar. Sci. Eng. 2020, 8, 880. [Google Scholar] [CrossRef]
- Bezunartea-Barrio, A.; Fernandez-Ruano, S.; Maron-Loureiro, A.; Molinelli-Fernandez, E.; Moreno-Buron, F.; Oria-Escudero, J.; Rios-Tubio, J.; Soriano-Gomez, C.; Valea-Peces, A.; Lopez-Pavon, C.; et al. Scale effects on heave plates for semi-submersible floating offshore wind turbines: Case study with a solid plain plate. J. Offshore Mech. Arct. Eng. 2020, 142, 031105. [Google Scholar] [CrossRef]
Disclaimer/Publisher’s Note: The statements, opinions and data contained in all publications are solely those of the individual author(s) and contributor(s) and not of MDPI and/or the editor(s). MDPI and/or the editor(s) disclaim responsibility for any injury to people or property resulting from any ideas, methods, instructions or products referred to in the content. |
© 2025 by the authors. Licensee MDPI, Basel, Switzerland. This article is an open access article distributed under the terms and conditions of the Creative Commons Attribution (CC BY) license (https://creativecommons.org/licenses/by/4.0/).