Experimental and Numerical Study on the Seakeeping Performance of a Wind-Powered Generation Ship Considering Boom Configurations
Abstract
1. Introduction
2. Methodology of Investigation
2.1. The Ship Model
2.2. Power Generation Equipment
2.3. Wind Propulsion Device
3. Experiment in Towing Tank
3.1. Facilities and Measurement Items
3.2. Experimental Setup and Procedure
3.2.1. Mooring Test in Transient Waves Without Blower
3.2.2. Mooring Test in Transient Waves with Blowers
4. Simulation in Ansys AQWA
5. Results and Discussions
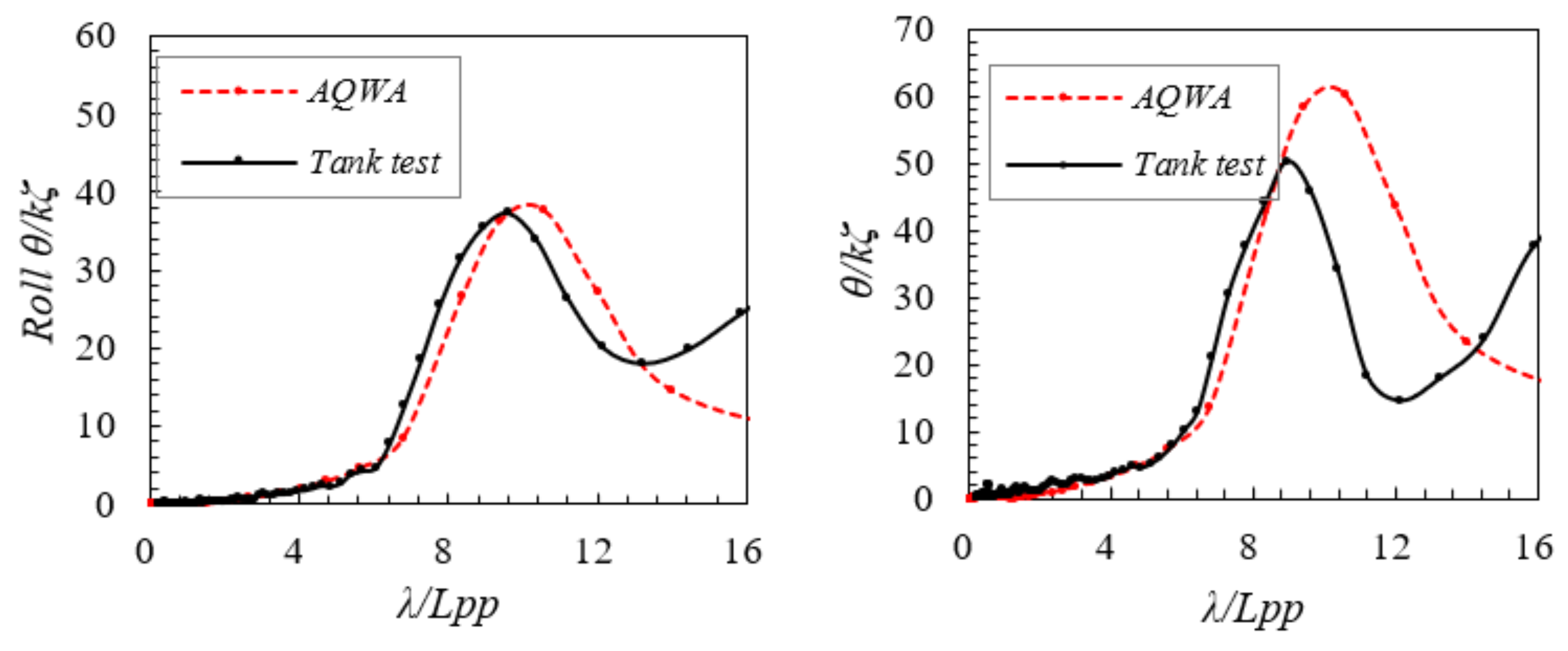
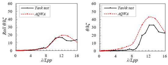
5.1. Response Amplitude Operators of Bare Hull
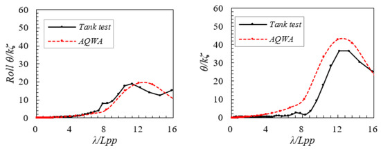
- Damping Coefficient Characteristics: The damping coefficient in Ansys AQWA, obtained from the roll damping experiments, was derived under conditions of perpendicular force at 90 degrees to the ship’s side, making it most accurate for roll damping in beam wave conditions. The coefficient might not account for variations in hydrodynamic properties with different wave directions. The hull’s shape and design can generate varying forces when interacting with waves from different angles, and the experimental damping coefficient may not adequately capture these directional dependencies, being most suitable for the 90-degree scenario.
- Simplified Modeling in Ansys AQWA: The simulation in Ansys AQWA relies on certain assumptions or simplifications, such as uniform force distribution along the hull or idealized interactions between different parts of the ship. These simplifications might not fully represent the complex real-world interactions from various wave directions, leading to an overestimation of the roll RAO in oblique waves.
- Impact of Non-Linear Phenomena: Non-linear effects, such as drag forces, boundary layer influences, or intricate interactions between the ship and the surrounding water, can become more significant at different wave angles. If these non-linear factors are not comprehensively modeled or accurately represented in the simulations, discrepancies between the simulated and experimental results can occur.
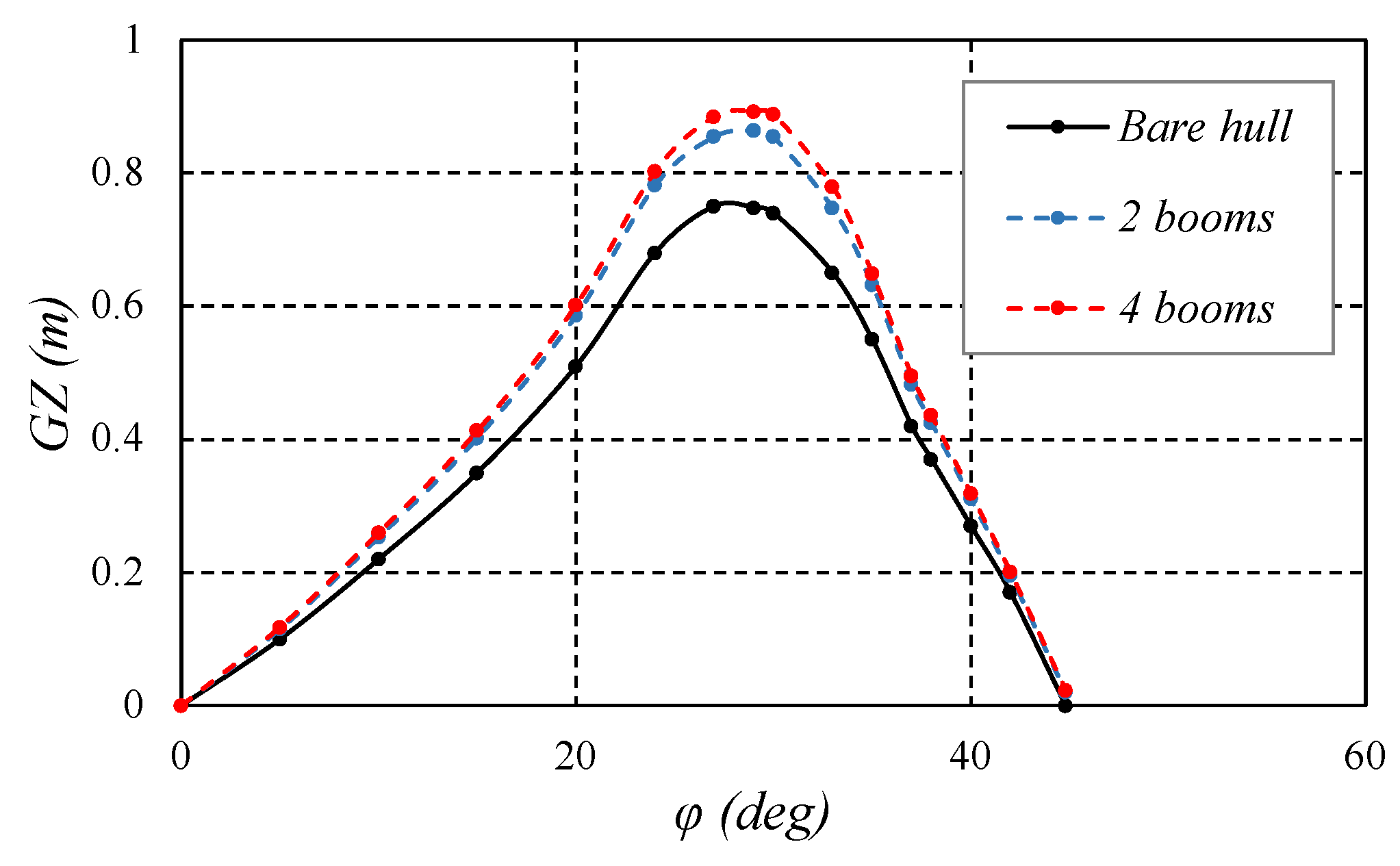
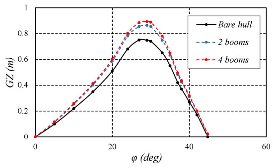
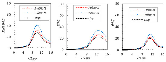
5.2. Comparison the Effect of 2 Booms and 4 Booms Type of Power Generato
- Nonlinear normal force damping in the 4-boom configuration is expected to be higher than in the 2-boom configuration due to the increased surface area in contact with water, enhancing roll reduction efficiency.
- Since the pressure exerted by the booms on the hull is more evenly distributed in the 4-boom configuration and each boom has a lower mass, stress concentration is reduced, leading to a higher pressure damping on the hull surface .
- When comparing wave-making damping due to booms , in the 4-boom case, each boom generates smaller waves, but the overall wave cancellation effect may be greater due to the distribution of multiple booms. In contrast, in the 2-boom case, the waves generated by the booms are larger but are less affected by wave interference between the booms. As a result, is expected to be higher in the 4-boom configuration due to the combined effect of multiple wave sources.
5.3. The Impact of Wind to the Roll and Pitch of WPG-Ships
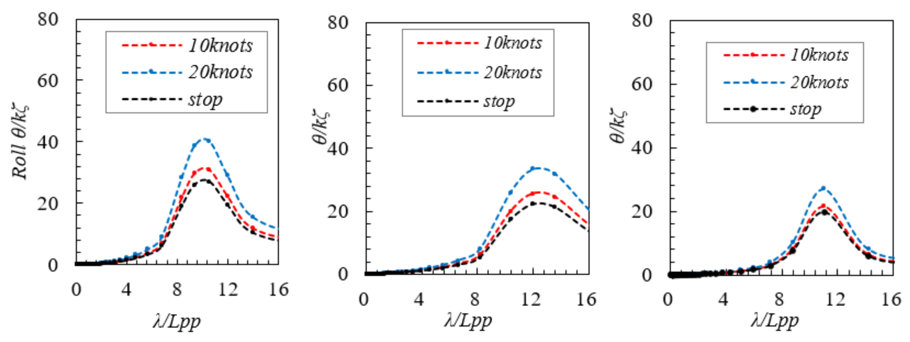
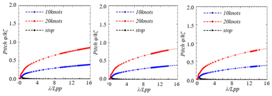
5.4. The Impact of Ship Speed to the Roll and Pitch of WPG-Ship
5.5. Stability and Seakeeping Performance of KCS
6. Conclusions
- Power Generator Configuration: Based on the seakeeping and stability analysis results, the 4-boom configuration offers advantages in both stability and seakeeping over the 2-boom configuration. It also reduces stress concentration in the areas where the booms are attached to the hull, thereby decreasing the risk of structural damage due to the lighter weight of each boom compared to the two-boom configuration. However, additional considerations regarding cost, technology, and other factors are necessary to determine the optimal option.
- Speed Impact: The peak roll RAO curve of the KCS ship, in both bare hull and with power generation equipment, shows a consistent trend: descending as the speed increases at lower ranges and then rising when the speed exceeds approximately 10 knots. This upward and downward trend in RAO is significant for practical operations, allowing the crew to adjust the ship’s speed to effectively reduce roll motion.
- Wind Impact and Seakeeping Performance: The experimental and simulation results show that wind increases the roll RAO peak and shifts the ship’s natural frequency, negatively affecting the ship’s seakeeping. However, when assessing the performance of the KCS vessel under different wind conditions, the results indicate that the KCS maintains good seakeeping performance in roll motion up to Beaufort scale 11.
- Stability: The analysis indicates that the power generator, regardless of the configuration, generally increases the ship’s stability. The difference in stability between the 2-boom and 4-boom configurations is minimal.
- Application Capability of Ansys AQWA: Using experimental damping coefficients, AQWA accurately predicts roll RAO at 90 degrees but tends to overestimate roll amplitude at oblique wave angles. Due to its cost-effectiveness and time-saving benefits, AQWA remains an alternative to experimental testing, especially in beam sea conditions.
Author Contributions
Funding
Institutional Review Board Statement
Informed Consent Statement
Data Availability Statement
Conflicts of Interest
References
- Gajdzik, B.; Wolniak, R.; Nagaj, R.; Žuromskaitė Nagaj, B.; Grebski, W.W. The Influence of the Global Energy Crisis on Energy Efficiency: A Comprehensive Analysis. Energies 2024, 17, 947. [Google Scholar] [CrossRef]
- Desalegn, B.; Gebeyehu, D.; Tamrat, B.; Tadiwose, T.; Lata, A. Onshore versus offshore wind power trends and recent study practices in modeling of wind turbines’ life-cycle impact assessments. Clean. Eng. Technol. 2023, 17, 100691. [Google Scholar] [CrossRef]
- Kim, J.; Park, C. Wind power generation with a parawing on ships, a proposal. Energy 2010, 35, 1425–1432. [Google Scholar] [CrossRef]
- Terao, Y. Typhoon Energy Utilization Using Mega-Yacht System. In Proceedings of the 29th International Conference on Ocean, Offshore and Arctics Engineering, Shanghai, China, 5–11 June 2010; Volume 3, pp. 537–544. [Google Scholar]
- Mitsuyuki, T.; Ebihara, H.; Kado, S. Concept Design of Typhoon Power Generation Ship Using System Simulation. In Proceedings of the International Marine Design Conference, Delft, The Netherlands, 2–6 June 2024. [Google Scholar] [CrossRef]
- Ouchi, K.; Henzie, J. Hydrogen generation sailing ship: Conceptual design and feasibility study. In Proceedings of the OCEANS 2017, Aberdeen, UK, 19–22 June 2017; pp. 1–5. [Google Scholar] [CrossRef]
- Babarit, A.; Clodic, G.; Delvoye, S.; Gilloteaux, J.C. Exploitation of the far-offshore wind energy resource by fleets of energy ships—Part 1: Energy ship design and performance. Wind. Energy Sci. 2020, 5, 839–853. [Google Scholar] [CrossRef]
- Jamil, R.A.; Chaigneau, A.; Gilloteaux, J.C.; Lelong, P.; Babarit, A. Comparison of the capacity factor of stationary wind turbines and weather-routed energy ships in the far-offshore. In Journal of Physics: Conference Series; IOP Publishing: Bristol, UK, 2019; Volume 1356, p. 012001. [Google Scholar] [CrossRef]
- Marlantes, K.E.; Kim, S.P.; Hurt, L.A. Implementation of the IMO Second Generation Intact Stability Guidelines. J. Mar. Sci. Eng. 2022, 10, 41. [Google Scholar] [CrossRef]
- Pacuraru, F.; Domnisoru, L.; Pacuraru, S. On the Comparative Seakeeping Analysis of the Full Scale KCS by Several Hydrodynamic Approaches. J. Mar. Sci. Eng. 2020, 8, 962. [Google Scholar] [CrossRef]
- Simonsen, C.D.; Otzen, J.F.; Joncquez, S.; Stern, F. EFD and CFD for KCS Heaving and Pitching in Regular Head Waves. J. Mar. Sci. Technol. 2013, 18, 435–459. [Google Scholar] [CrossRef]
- Coles, D.; Walsh, T.; Kyozuka, Y.; Oda, Y. Tidal turbine array design and energy yield assessment for Naru Strait. In Proceedings of the 4th Asian Wave and Tidal Energy Conference (AWTEC), Taipei, Taiwan, 9–13 September 2018. [Google Scholar]
- Dodo, Y.; Nagaya, S.; Okada, T.; Toyoda, M.; Ito, A. Development and Design of a Floating Type Ocean Current Turbine System. In Practical Design of Ships and Other Floating Structures, Proceedings of the 14th International Symposium, PRADS 2019, Yokohama, Japan, 22–26 September 2019; Okada, T., Suzuki, K., Kawamura, Y., Eds.; Springer: Singapore, 2021; pp. 732–755. [Google Scholar]
- Khan, L.; Macklin, J.; Peck, B.; Morton, O.; Souppez, J. A Review Of Wind-Assisted Ship Propulsion For Sustainable Commercial Shipping: Latest Developments And Future Stakes. In Proceedings of the Wind Propulsion Conference 2021, Glasgow, UK, 15–16 September 2021. [Google Scholar]
- Ma, Y.; Bi, H.; Hu, M.; Zheng, Y.; Gan, L. Hard sail optimization and energy efficiency enhancement for sail-assisted vessel. Ocean Eng. 2019, 173, 687–699. [Google Scholar] [CrossRef]
- Ouchi, K.; Uzawa, K.; Kanai, A. Huge Hard Wing Sails for the Propulsor of Next Generation Sailing Vessel. In Proceedings of the Second International Symposium on Marine Propulsors, Hamburg, Germany, 15–17 June 2011. [Google Scholar]
- Takezawa, S.; Fukuhara, M.; Yamashita, S. On the properties of the Transient Water Waves in Ship Model Basins. J. Soc. Nav. Archit. Jpn. 1968, 1968, 113–124. [Google Scholar] [CrossRef] [PubMed]
- Trang, N.T.; Hirakawa, Y. An experimental study on comparison the safety of Japanese and Vietnamese purse seiners during operation. Trans. Navig. 2023, 8, 21–32. [Google Scholar] [CrossRef]
- TH, T.N.; Hirakawa, Y. Operability and stability assessment of Japanese and Vietnamese purse seiners under the combined action of fishing gear and waves. In Conference Proceedings the Japan Society of Naval Architects and Ocean Engineers; The Japan Society of Naval Architects and Ocean Engineers: Tokyo, Japan, 2023; Volume 38, pp. 17–27. [Google Scholar] [CrossRef]
- Kitagawa, Y.; Kashiwagi, M. A New Strip-Theory Method Including Effects of Longitudinal Direction Component of Normal Vector on Body Surface. In Conference Proceedings the Japan Society of Naval Architects and Ocean Engineers; The Japan Society of Naval Architects and Ocean Engineers: Tokyo, Japan, 2018; Volume 26, pp. 19–24. [Google Scholar] [CrossRef]
- Katayama, T.; Kankaku, M.; Maki, A.; Adachi, M.; Nishiyama, N. Characteristics of rolling with drift in regular beam sea for small hard-chine craft at rest. Ocean Eng. 2019, 188, 106276. [Google Scholar] [CrossRef]
- Journée, J.; Massie, W. Offshore Hydromechanics; Delft University of Technology: Delft, The Netherlands, 2000. [Google Scholar]
- Bassler, C.C.; Reed, A.M. An analysis of the bilge keel roll damping component model. In Proceedings of the 10th International Conference on Stability of Ships and Ocean Vehicles, St. Petersburg, Russia, 22–26 June 2009. [Google Scholar]
- Riyadh, M.; Syaifullah, A.M. Analysis of the Influence of Ship Speed on Seakeeping Motion on the Ship. Marit. Park J. Marit. Technol. Soc. 2023, 2, 85–95. [Google Scholar] [CrossRef]
- Nurhasanah, N.; Santoso, B.; Romadhoni, R.; Nasutioni, P. Seakeeping Analysis of Hull Rounded Design with Multi-Chine Model on Fishing Vessel. In IOP Conference Series: Earth and Environmental Science; IOP Publishing: Bristol, UK, 2020; Volume 430, p. 012041. [Google Scholar] [CrossRef]
- Wiegel, R.L. Wind Waves and Swell. Coast. Eng. Proc. 1960, 1, 1. [Google Scholar] [CrossRef]





























| Principal Particulars | Symbol | Full Scale | Model Ship |
|---|---|---|---|
| Length between perpendiculars | [m] | 230.00 | 1.5 |
| Breath | [m] | 32.20 | 0.21 |
| Height | D [m] | 19.00 | 0.12 |
| Draft | d [m] | 10.80 | 0.07 |
| Block coefficient | 0.6505 | 0.6505 | |
| Midship section coefficient | 0.9849 | 0.9849 | |
| Displacement | [m3] | 52030 | 0.0144 |
| Metacentric height | [m] | 0.60 | 0.004 |
| 0.38 | 0.383 | ||
| 0.25 | 0.25 | ||
| 0.25 | 0.25 |
| Principal Particulars | 2-Booms Type | 4-Booms Type |
|---|---|---|
| Turbine diameter [m] | 38.0 | 28.3 |
| Length of boom [m] | 30.7 | 24.5 |
| The angle between the boom and the vertical axis [deg] | 30 | 30 |
| Estimated weight of one boom [ton] | 565.6 | 407.1 |
| Estimated total weight of the boom [ton] | 1131.2 | 1628.4 |
| Ship speed [m/s] | 9.0 | 9.0 |
| Principal Particulars | Rigid Sail |
|---|---|
| Height [m] | 50.0 |
| Width [m] | 30.0 |
| Thickness [m] | 3.0 |
| Weight per sail [ton] | 414.0 |
| Number of sails | 3 |
| Hardware | Measurement Items |
|---|---|
| 3DM-GX4-25 | Roll, Pitch, Yaw, accelarations and augular velocities of |
| Wave probes | Wave height |
| Load cell | Force |
| AM-4224SD | Wind speed |
| MCR-4V | Output voltage of the power generation equipment |
| Ansys AQWA | Real Ship | Error [%] | |
|---|---|---|---|
| Displacement [m3] | 51,906 | 52,030 | 0.24 [%] |
| Vertical Center of Buoyancy [m] | 5.92 | 5.86 | 1.02 [%] |
| Transverse Metacentric Height [m] | 0.599 | 0.60 | 0.17 [%] |
| Height of Center of Gravity [m] | 14.38 | 14.32 | 0.4 [%] |
| Beaufort Scale | Real Condition | KCS Model | |||
|---|---|---|---|---|---|
| [m] | [s] | [s] | [m] | [s] | |
| 4 | 1.5 | 4.73 | 4.36 | 9.78 | 0.35 |
| 5 | 2.0 | 5.46 | 5.03 | 13.05 | 0.41 |
| 6 | 3.0 | 6.67 | 6.14 | 19.57 | 0.50 |
| 7 | 4.5 | 8.19 | 7.54 | 29.35 | 0.61 |
| 8 | 6.0 | 9.2 | 8.47 | 39.14 | 0.68 |
| 9 | 7.5 | 10.1 | 9.30 | 48.92 | 0.75 |
| 10 | 9.0 | 12.8 | 11.79 | 58.71 | 0.95 |
| 11 | 11.5 | 14.1 | 12.98 | 75.02 | 1.05 |
Disclaimer/Publisher’s Note: The statements, opinions and data contained in all publications are solely those of the individual author(s) and contributor(s) and not of MDPI and/or the editor(s). MDPI and/or the editor(s) disclaim responsibility for any injury to people or property resulting from any ideas, methods, instructions or products referred to in the content. |
© 2025 by the authors. Licensee MDPI, Basel, Switzerland. This article is an open access article distributed under the terms and conditions of the Creative Commons Attribution (CC BY) license (https://creativecommons.org/licenses/by/4.0/).
Share and Cite
Trang, N.T.H.; Mitsuyuki, T.; Hirakawa, Y.; Sadakata, K.; Nakamura, Y. Experimental and Numerical Study on the Seakeeping Performance of a Wind-Powered Generation Ship Considering Boom Configurations. J. Mar. Sci. Eng. 2025, 13, 412. https://doi.org/10.3390/jmse13030412
Trang NTH, Mitsuyuki T, Hirakawa Y, Sadakata K, Nakamura Y. Experimental and Numerical Study on the Seakeeping Performance of a Wind-Powered Generation Ship Considering Boom Configurations. Journal of Marine Science and Engineering. 2025; 13(3):412. https://doi.org/10.3390/jmse13030412
Chicago/Turabian StyleTrang, Nguyen Thi Huyen, Taiga Mitsuyuki, Yoshiaki Hirakawa, Katsuaki Sadakata, and Yuki Nakamura. 2025. "Experimental and Numerical Study on the Seakeeping Performance of a Wind-Powered Generation Ship Considering Boom Configurations" Journal of Marine Science and Engineering 13, no. 3: 412. https://doi.org/10.3390/jmse13030412
APA StyleTrang, N. T. H., Mitsuyuki, T., Hirakawa, Y., Sadakata, K., & Nakamura, Y. (2025). Experimental and Numerical Study on the Seakeeping Performance of a Wind-Powered Generation Ship Considering Boom Configurations. Journal of Marine Science and Engineering, 13(3), 412. https://doi.org/10.3390/jmse13030412

