Next Article in Journal
Preliminary Investigation of the Spatial-Temporal Characteristics and Vertical Dynamics of Internal Solitary Waves in the South China Sea from SWOT Data
Previous Article in Journal
A Low-Power Consumption Deepwater Subsea Electric Gate Valve Actuator, Part A: Prototype and Test
 
 
Font Type:
Arial Georgia Verdana
Font Size:
Aa Aa Aa
Line Spacing:
Column Width:
Background:
Article

Integrated Navigation Algorithm for Autonomous Underwater Vehicle Based on Linear Kalman Filter, Thrust Model, and Propeller Tachometer

1
School of Ocean Engineering and Technology, Sun Yat-sen University, Zhuhai 519000, China
2
Southern Marine Science and Engineering Guangdong Laboratory (Zhuhai), Zhuhai 519000, China
3
Huazhong Institute of Electro-Optics, Wuhan National Laboratory for Optoelectronics, Wuhan 430223, China
4
Yokozeki Lab, Department of Aeronautics and Astronautics, The University of Tokyo, Tokyo 113-8654, Japan
5
Center of Ocean Expedition, Sun Yat-sen University, Zhuhai 519000, China
*
Author to whom correspondence should be addressed.
J. Mar. Sci. Eng. 2025, 13(2), 303; https://doi.org/10.3390/jmse13020303
Submission received: 6 December 2024 / Revised: 22 January 2025 / Accepted: 23 January 2025 / Published: 6 February 2025
(This article belongs to the Section Ocean Engineering)

Abstract

For the purpose of reducing the cost, size, and weight of the integrated navigation system of an AUV (autonomous underwater vehicle), and improving the stealth of this system, an integrated navigation algorithm based on a propeller tachometer is proposed. The algorithm consists of five steps: ① establishing the resistance model of AUV, ② establishing the thrust model, ③ utilizing the measured speeds obtained from the AUV’s voyage trials for calibration, ④ discrimination and replacement of outliers from the tachometer measurements, and ⑤ establishing a linear Kalman filter (LKF) with water currents as state variables. This paper provides the modeling procedure, formula derivations, model parameters, and algorithm process, etc. Through research and analysis, the proposed algorithm’s accuracy has been improved. The specific values of the localization error are detailed in the main text. Therefore, the proposed algorithm has high accuracy, a strong anti-interference capability, and good robustness. Moreover, it exhibits certain adaptability to complex environments and value for practical engineering.

1. Introduction

Autonomous underwater vehicles (AUVs) are very important for ocean development and ocean engineering. The importance of AUVs with autonomous navigation and positioning capabilities becomes self-evident. One of the bottleneck technologies that limits the development of AUVs is underwater integrated navigation [1,2]. Currently, for large or medium-sized or small AUVs, the core equipment of the integrated navigation system is the inertial navigation system (INS) based on a Fiber Optic Gyro (FOG) or Ring Laser Gyro (RLG). However, during the navigation process, it suffers from the issue of error divergence over time. Therefore, additional auxiliary devices are required for integrated navigation, with the Global Satellite Navigation System (GNSS) being the most commonly used. GNSS is utilized for calibration when an AUV is on or near the water surface. Ultra-short baseline (USBL) positioning is a viable alternative [3].
In this paper, an integrated navigation algorithm based on a propeller TM is proposed. Firstly, the model of the algorithm establishes the theoretical relationship between the propeller’s rotational speed and the vehicle’s speed through water according to the principles of a propulsion system. Then, by performing an actual voyage test of an AUV, a correction curve is obtained to compensate the error between the estimated speed through water by the TM and actual speed through water, thereby improving the accuracy of the estimated velocity. Finally, the modified speed is utilized in the Kalman filter for integrated navigation. The algorithm considers the outliers’ output by the TM and provides a method to discriminate and replace them. The Kalman filter model considers the influence of water currents, enabling a real-time estimation and compensation for them. In contrast, traditional integrated navigation algorithms do not include steps ③ and ④. An AUV utilizes pure inertial navigation when it is turning. And the Kalman model does not include a treatment of water currents. This article compares the calculated results from the proposed algorithm with those of the traditional algorithm. This comparison demonstrates that the algorithm can improve the navigation accuracy to some extent and exhibits good robustness against disturbances.
The key innovations of this study are as follows: This work introduces, for the first time, an efficient AUV dynamic model into a low-cost integrated navigation method, providing a novel technical approach to enhance navigation performance. By incorporating a TM submodule with ocean current estimation into the linear Kalman filter (LKF) framework for AUVs, the proposed method achieves the efficient integration of TM measurement results while enabling the estimation and compensation of steady or slowly varying ocean currents, significantly improving the navigation accuracy. Furthermore, the proposed algorithm is systematically validated using extensive lake and sea trial data from AUVs, demonstrating its effectiveness and reliability in practical applications.
The contributions of this study are summarized as follows: First, the LKF is used to effectively integrate the TM submodule and estimated water currents into the SINS submodule, where the TM submodule takes into account factors such as scale coefficients and installation misalignment angles. Second, the combination navigation method is developed using the error curve between predicted and measured speeds based on the AUV dynamic model, while also establishing the relationship between AUV rudder angles and three-dimensional velocities through navigation trials, addressing the limitation of the TM in accurately measuring speed during AUV turns. Additionally, the proposed method is validated through extensive real-world navigation trials with AUVs, further demonstrating its effectiveness and practicality.

2. Literature Review, Analysis, and Discussion

Large or medium-sized AUVs commonly employ devices of underwater velocity measurement for integrated navigation [1,2]. These devices include Doppler Velocity Log (DVL), Acoustic Correlation Log (ACL), Acoustic Doppler Current Profiler (ADCP), Electromagnetic Log (EML), Differential Pressure Sensor Speedometer (DPSS), tachometer (TM), and others. DVL is currently the most widely used navigation device [4]. In recent years, various studies of DVL-based integrated navigation algorithms and experiments have emerged, including Doppler water-track aided inertial navigation [4], water-referenced Doppler velocity aiding navigation [5], Doppler water-track integrated navigation based on improved expected-mode augmentation [6], hybrid methods for dealing with DVL faults [7], a hybrid IMM (Interacting Multiple Model) method [8], sailing tests with a new-generation DVL [9], a method based on improved dual adaptive factors [10], DVL measurements under dynamic environments [11], the correction algorithm for DVL measurement errors by attitude dynamics [12], an improved robust Kalman filter for SINS/DVL that is tightly integrated [13], conventional tightly coupled INS/DVL navigation [14], and a DVL-aided SINS coarse alignment algorithm [15]. In addition to GNSS, there are many other new technologies for SINS/DVL integrated navigation, such as the terrain-matching method [16] and model-aided technology [17]. Various integrated navigation algorithms for ACL are nearly identical to those for DVL. In recent years, researchers have studied H-infinity filter [18] and KF [19,20] based on EML for AUV integrated navigation. DPSS, a cost-effective device of underwater velocity measurement, has also been widely researched and applied [21,22]. TM/MEMS (micro-electromechanical system) sensor fusion system has achieved some results in fields such as train length measurement [23] and the positioning of track vehicles [24,25]. However, research on TM in AUV integrated navigation is still limited.
DVL, ACL, and ADCP have a significant drawback. When the distance between the AUV and water bottom exceeds the maximum range of the DVL/ACL/ADCP, they can only measure the velocity referenced to water [4,5]. Only when the distance is within their detection range, can they measure the velocity over water bottom or ground. The measurement range of a high-frequency DVL/ACL/ADCP is generally only 50–80 m, while DVL/ACL/ADCP with a range exceeding 1000 m typically use low-frequency sound waves. Low-frequency DVL/ACL/ADCP have disadvantages, including the low measurement accuracy of the velocity, high cost, and high power consumption. Due to the measurement principles, EML, DPSS, and TM can only measure the velocity with reference to water. Therefore, a study of water currents is also crucial for underwater integrated navigation. Previous research has addressed various issues related to water current estimations [4,5,6,7,8,22]. In recent years, a significant number of studies on water currents have emerged, such as a virtual Doppler velocity coupled with unknown current [26], staggered grid-based water current [27], a new current model for AUVs in the middle water column [28], AUV localization in a spatiotemporally varying water current field [29], a method with current compensation using an RBF neural network [30], a navigation filter in the presence of unknown water currents [31], cooperative localization and unknown current estimations [32], and model-aided INS with sea current estimation [33]. In addition to these, the dynamics of flow field features are utilized to aid in long-term inertial navigation [34]. Significant progress has been made in the field of AUV navigation technology. Currently, many studies combine machine learning with sensor fusion techniques to improve the navigation accuracy and system robustness. For example, the integration of Kalman filtering and visual information has been used to enhance positioning accuracy in complex environments [35]. Additionally, decision-making systems based on neural networks have shown their potential in autonomous navigation. The application of BP neural networks in decision-making systems for robotic autonomous navigation helps AUVs adapt to environmental changes [36]. Sensor data fusion and machine learning can also be used to improve data processing and reduce environmental interference [37,38,39]. Current research indicates that the use of multi-sensor fusion technologies provides stronger technical support and application prospects for future autonomous navigation systems [40]. These advancements represent the forefront and key areas of development in the field, holding significant promise for future innovations and applications. As such, they are highly deserving of attention and further exploration.
In addition to the limited measurement range, DVL/ACL/ADCP have many other disadvantages. ① The outputs of DVL/ACL/ADCP contain some outliers, and the measurement accuracy is easily affected by topography of the water bottom. An uneven water bottom causes low accuracy. And it is susceptible to various disturbances (such as acoustic interference) that can cause significant velocity measurement errors. ② DVL/ACL/ADCP have blind zones. Most DVLs provide unreliable velocity results when the distance to the water bottom is less than 5 m. ③ DVL/ACL/ADCP emit sound waves outward, making it susceptible to be detected. And the AUV easily exposes itself. Therefore, such an integrated navigation system is not suitable for scenarios that require high concealment. ④ Additionally, DVL/ACL/ADCP are costly. Therefore, the integrated navigation systems relying on DVL/ACL/ADCP have many drawbacks and risks. To address this issue, there is a need for a low-cost integrated navigation system that does not contain DVL/ACL/ADCP and does not radiate acoustic waves. EML, DPSS, and TM are suitable choices, among which TM has advantages of a small size and low cost. However, the application of TM in underwater integrated navigation is seldom in existing studies. TM has drawbacks such as being unable to measure the velocity over ground, a lower measurement accuracy, and the outliers in its outputs. When no water current exists, the water-track velocity from the TM is equivalent to the velocity over ground. However, in deep seas, complex and time-varying water currents often exist. Neglecting the influence of water currents and relying solely on the water-track velocity for integrated navigation will result in significant positioning errors. The purpose of this paper is to overcome these drawbacks of TM-based integrated navigation by advanced algorithms.

3. Calculation Process and Results

Below, the algorithm is introduced by the following five parts: ① resistance model for the AUV; ② thrust model for the AUV; ③ correction of the estimated speed by a voyage trial; ④ discrimination and replacement of TM’s outliers; and ⑤ integrated navigation model.

3.1. Resistance Model for the AUV

3.1.1. Calculation of the Longitudinal Resistance Coefficient

The coefficient of frictional resistance of a submerged body is related to its Reynolds number. While using a flat plate similar with submerged body to calculate its frictional resistance, the submerged body is considered a flat plate in turbulence. And its Reynolds number is related to its velocity. The Reynolds number can be calculated as follows:
R n = V × L v = 5.89 × 10 6 × V
where L = 7 m represents the length of submerged body (main body of AUV), and ν = 1.188 × 1 0 6 m2/s is viscosity of the seawater at 15 °C. V (m/s) represents the velocity of the AUV’s main body. Additionally, the density of water at 15 °C is ρ = 1025 kg/m3. After introducing the concept of an equivalent flat plate, the frictional resistance of the AUV’s main body can be directly calculated based on the frictional resistance formula of a smooth plate. The frictional resistance coefficient is calculated according to the ITTC-57 formula:
C f = 0.075 lg R n 2 2
The coefficient C p v of viscous pressure resistance caused by flow separation at the tail of the AUV’s main body is calculated using the Buckingham approximation equation:
C p v = 0.09 A X S A X 2 L 3 = 8.18 × 10 4
where A X represents the cross-sectional area of the AUV’s main body, L 3 denotes the length of the flow separation region, and S represents the total wetted surface area of the AUV’s main body. C p v can be utilized to calculate the viscous pressure resistance R p v .
The expression of R p v is shown in Table 1 below.

3.1.2. Calculation of the Form Resistance of the AUV’s Main Body

Based on the aforementioned coefficients, the form resistance of the AUV’s main body without any appendages can be calculated. For AUVs, the form resistance should be the sum of the frictional resistance R f and viscous pressure resistance R p v .
R o = R f + R p v
where the expression of R f can be found in Table 1. For clarity and convenience, the calculation process and results are listed as follows.
The column marked in black in Table 1 with a speed of 4 kn is the cruising speed of the AUV, and 9 kn is the maximum speed.

3.1.3. Calculation of the Appendage Resistance of the AUV’s Wing Rudder

The coefficient of upstream resistance of the wing rudder is related to its aspect ratio. Based on test data from a wind tunnel, the resistance coefficient of a flat plate is approximately 0.02. The AUV utilizes NACA0015 wing profiles, which have a minimum upstream resistance coefficient of 0.0065, which is significantly different from that of a flat plate. The resistance coefficient of the wing rudder attachment is close to 0.0065. Based on high-precision fluid simulations, its head-on resistance coefficient is determined as C y d = 0.008. In this article, the diameter of the AUV’s main body is 0.533 m. Within a diameter range not exceeding 0.533 m, the total area of all wing rudders can be estimated as follows:
S y d = 2 ( D L 3 K A 3 ) = 0.267   m 2
Therefore, the head-on resistance of the wing rudders R y d is
R y d = 0.5 ρ V 2 S y d C y d
According to the quadratic relationship, resistance at other speeds can be converted as follows (see Table 2).

3.1.4. Calculation of the Resistance of Other Appendages

The resistance of other appendages is influenced by their shapes and sizes, including the GNSS antenna and its supporting rod (mast), releasing mechanisms, sensors protruding from the AUV body, flow holes, and small protrusions, which is very difficult to be exactly calculated. To address this, we aggregate the resistances of these numerous and relatively small appendages into an additional roughness-induced resistance term. Based on experimental statistics and experience, a roughness factor denoted as Δ C A R = 0.4 × 10 3 is utilized to account for this roughness-induced resistance. With the wetted surface area of the AUV’s main body denoted as S, the formula for calculating the resistance of other appendages Ra is as follows:
R a = 0.5 ρ V 2 S Δ C A R
The resistance of other appendages can be expressed by a quadratic relationship with respect to velocity. The calculated results are as follows (see Table 3).

3.1.5. Calculation of the Groove Tube Resistance

The AUV is equipped with a vertical thruster and two lateral thrusters (reference Equations (4) and (10) below), all in the form of a ducted propeller configuration. Based on the experimental results, the coefficient of additional resistance generated by a smooth and well-designed duct is denoted as C c g = 0.07 . Hence, the resistance produced by the duct can be calculated using Equation (8):
R c g = 0.5 ρ V 2 A c g C c g
where A c g represents the cross-sectional area of the duct ( A c g = 0.021 m 2 ). This resistance can also be expressed by a quadratic relationship with respect to velocity. The results are shown in Table 4.

3.1.6. Total Resistance of the AUV

The total resistance of the AUV is the sum of calculated resistances from the aforementioned sections. Therefore, the total resistance can be expressed as follows:
R t = R o + R y d + R a + R c g
The list of the AUV’s total resistance at various speeds is as follows (see Table 5).

3.2. Thrust Model for the AUV

The main propulsion system is located in the rear section of the AUV and typically consists of a main propulsion motor and its controller and propeller. The relationship between the AUV’s velocity through water and rotational speed of main propulsion motor, which can be estimated through modeling, simulation, and other methods, is complex. The following sections describe the calculation of the effective power of the AUV, various transmission efficiencies, main propulsion power, and motor’s rotational speed.

3.2.1. Effective Power of the AUV

Based on the longitudinal resistance of the AUV and its velocity through water, the effective power of the AUV can be determined and calculated in accordance with Table 1.
P E = R t V
In Table 5, R o , R f , R p v , R y d , R a , and R c g have been introduced and explained. Values of R f , R p v , R y d , R a , and R c g can be determined based on the principles of fluid mechanics and the geometric parameters of the AUV.

3.2.2. Determination of Various Transmission Efficiencies

The conversion between the input power of the propulsion motor and effective power of the AUV includes several links. Each link has a conversion efficiency. Here, the determination of each efficiency coefficient for every stage is described. The relationship between the effective power P E of the AUV and output power P M from the motor can be expressed as follows:
P E = η H P T = η H η 0 η R P D = η H η 0 η R η T P M
where P T , P D , and P M are the power of the propeller, the power received at the propeller shaft (for contra-rotating propellers, it refers to the power received by the forward propeller), and the power output by the shaft of the motor, respectively. η H is the hull efficiency. η 0 is the propeller’s open-water efficiency. η R is the relative rotational efficiency. η T is the shaft system transmission efficiency. η D is the propulsion efficiency. From Equation (10b), it can be seen that the power P M can be expressed in terms of the effective power P E , as shown in Equation (11).
P M = P E η H η 0 η R η T
Next, we will introduce every efficiency that appears in Equations (10b) and (11).
Hull efficiency η H :
The hull efficiency, denoted as η H = 1 t 1 w , is expressed in terms of thrust deduction factor t and wake fraction w of AUV. From the expression, it can be inferred that a higher wake fraction or a lower thrust deduction factor indicates a higher hull efficiency. Both of these parameters are influenced by the working conditions of the propeller. For most AUVs, η H ranges from 1.02 to 1.12. Good streamlines of the aft body mean a higher η H . By fluid simulations and experimental validations, η H = 1.06 is determined.
Propeller’s open-water efficiency η 0 :
For most AUVs, the open-water efficiency of the propeller typically ranges between 0.65 and 0.8. In order to balance the angular momentum generated by propeller rotation, the AUV in this paper adopts contra-rotating propellers. By a theoretical analysis and experimental tests, it is determined that η 0 = 0.7 .
Relative rotational efficiency η R :
The relative rotational efficiency η R of contra-rotating propellers is significantly correlated with the propellers’ load coefficients. Contra-rotating propellers exhibit higher efficiency due to the improvement of flow field uniformity achieved by contra-rotation. By a fluid computational analysis, η R is determined to be 1.0.
Shaft system transmission efficiency η T :
η T represents the transmission efficiency of the shaft system. By means of experimental testing, the transmission efficiency η T of our driving system is determined to be 0.90.
Propulsion efficiency η D :
When the propeller operates at a rotational speed of n r / s , it absorbs a torque of Q and produces a thrust of T . The thrust overcomes resistance R and propels the AUV at a speed of V through water. The propeller’s effective thrust is denoted as T E = R , the effective power is denoted as T E V T E V = R V , and the power absorbed by propeller is denoted as 2 π n Q . The ratio between the effective power and absorbed power is defined as propulsion efficiency. The propulsion efficiency is determined by the three efficiencies mentioned above, as shown in Equation (12).
η D = η 0 η R η H
By substituting the values of three efficiencies mentioned above, the propeller propulsion efficiency of the AUV can be obtained as η D = 0.73 . This efficiency is generally expected to be higher than the open-water efficiency of the propeller.

3.2.3. Determination of the Main Propulsion Power

The relationship between the output power P M from the motor and effective power P E of the AUV is shown in the previous Equation (11), and the calculation process is as follows:
P M = P E η H η 0 η R η T = 1.52 P E
The motor efficiency is denoted as η E M , and it represents the conversion efficiency from the motor’s input power P i n to its output power P M . The value of η E M depends on the characteristics of the motor. By examining the factory inspection report of the motor, η E M is determined to be 0.85. Therefore, P i n required for the propulsion of the AUV can be expressed as follows:
P i n = P M η E M = 1 . 177 P M
Based on aforementioned relationships and utilizing the total resistance of the AUV, various power requirements at different speeds can be calculated. The results are presented in Table 6 below.
The coefficients 1.52 and 1.176 in Table 6 are calculated based on the various efficiencies introduced above. According to P i n at 9 kn in Table 2 and considering a certain margin, the required motor power to achieve the maximum speed can be determined. P i n at 4 kn represents the motor power required for achieving an economical cruising speed.

3.2.4. Determination of the Rotational Speed of the Motor

The load in the propeller design state is selected based on the actual power received by the propeller. In general, the absorbed power of the forward propeller is equal to that of the rear one. The definition of forward and rear propellers in contra-rotating propellers is described relative to the AUV’s main body, where the outer propeller is the forward one and the inner one is the rear propeller. Here, we focus on the forward propeller. The power P D f r o received at the shaft of the forward propeller is 50% of the total received power P D for propellers:
P D f r o = 0 . 5 P D
Based on calculations from Table 6 and considering an adequate margin, the selected output power P M of the motor and the required input power P i n for the AUV at a speed of 9 kn (maximum speed) are as follows:
P M = 3800.0   W > P M = 3674.0   W
P i n = 3800   W η E M = 4470.6   W > P i n = 4320.0   W
The power P D f r o received by the forward propeller is
P D - f r o = 0 . 5 η T P M 1 . 71 kW
Let the rotational speed of forward propeller be denoted as n r / s , and the calculation for the coefficient of the propeller load is
K Q J 5 = K T P D f r o n 2 V A 5
where K Q represents the torque coefficient of the forward propeller, K T represents the thrust coefficient of the forward propeller, J is the coefficient of the entry speed, V A is the entry speed, and P D f r o denotes the power received by the forward propeller in k W . The recommended contra-rotating propeller models are SSPA4-53 for the forward propeller and SSPA5-60 for the rear propeller.
SSPA series propellers have relatively simple geometric shapes, with a wing-shaped cross-section near the root and a bow-shaped cross-section near the tip. Their blade designing and manufacturing processes are relatively straightforward. The thickness fraction of the blade is about 0.05. The forward propeller is selected with 4 blades, while the rear one is selected with 5 blades. A physical photograph of these contra-rotating propellers is shown in Figure 1. According to the propeller design chart and atlas, it is known that KT for the forward propeller SSPA4-53 is equal to 0.1554.
When the AUV’s speed through water is V , the entry velocity V A of the disc of the forward propeller is
V A = ( 1 w ) V
where w represents the wake fraction, which describes the relationship between V and V A . Based on fluid simulations, it is determined that w = 0.167 .
By substituting the specific value of K T into above equation, the relationship between n and V can be solved as follows:
n = ( 0.833 V ) 5 0.1554 P D - f r o K Q J 5
V = 1 0 . 833 J 5 0.1554 P D - f o r n 2 K Q 5
where V and n are expressed in units of m / s and r / s , respectively. The calculation coefficient K Q / J 5 of the propeller load for the forward propeller can be determined based on a propeller chart. Based on the theory of propeller design and experimental results, K Q / J 5 for the SSPA4-53 forward propeller is determined to be 0.302. By substituting the respective parameters into the Equation (20), the relationship between n and V can be obtained. If the propeller rotational speed ( N ) is expressed in r / min , it is given by: N = 60 × n .
The selected output power P M of motor is fixed to be 3800.0 W to arrive at the maximum speed (9 kn). It means that P D f r o is fixed to be 1.71 kW. In the voyage experiment, the power distribution system of the AUV will ensure that the power allocated to the motor is 3800.0 W.
To enhance the maneuverability of the AUV, a continuously variable transmission motor is chosen, enabling the precise control of any speed less than or equal to the maximum speed (9 kn). The AUV employs a proportional derivative (PD) algorithm to achieve accurate speed control. The schematic diagram of the contra-rotating motor is shown in Figure 2 below.

3.3. Correction of the Estimated Speed by a Voyage Trial

The calibration of speed is divided into two parts: speed calibration for the AUV during straight sailing and speed calibration for the AUV during turning. Below, we will discuss the two situations separately.

3.3.1. Speed Calibration for the AUV During Straight Sailing

The relationship between n and V is given by Equations (20) and (21) above. Here, V represents the speed of the AUV through water, calculated based on n . However, many parameters used in these calculations are determined based on engineering experiences and their precisions are limited. And there are errors in various models of the AUV’s propulsion system, as well as truncation errors in calculations and measurement error from TM. Therefore, the accuracy of V estimated by Equation (21) is not high. In order to improve the navigation accuracy, it is necessary to correct V estimated from n . A real voyage trial of the AUV can be conducted in seas, reservoirs, lakes, or test pools to correct V . GNSS can only measure the ground velocity, and hence, it is not suitable for the calibration of V . A high-precision DPSS can measure the AUV’s speed through water and it can be used for the calibration of V . DPSS is a kind of advanced underwater speed measurement equipment [21,22]. A flow estimation based on pressure sensors can be achieved by applying Bernoulli’s law. However, the quadratic relation implies that a high sensitivity for pressure is required for flow velocity estimations. Absolute and gauge pressure sensors measure pressure relative to a fixed reference, which increases the pressure ranges and reduces the pressure sensitivity to depth. To overcome this problem, differential pressure sensors can be used.
During the voyage trial, the speed from DPSS is used to calibrate V . The estimated speed from the TM’s original measurement is denoted as v T M o u t . The estimated speed from the TM’s processed (discriminating and replacing outliers) measurement is denoted as v T M R O (RO refers to replacing outliers). The speed measured by DPSS is denoted as v D P S S . The calibrated V at high precision is denoted as v T M . If the measurement of TM contains no outliers, we have the following relationship: V = v T M R O = v T M o u t . If the measurement of TM includes outliers, we can obtain V = v T M R O .
The process of correcting V is as follows: ① We calculate the n V curve based on Equation (20) or (21). In the voyage trial, several v D P S S values of the AUV are collected at various n values. And then we define Δ V = v D P S S V . ② We calculate a set of Δ V values corresponding to various n values and establish discrete relationship between Δ V and n . ③ A curve fitting technique is utilized to obtain the curve of Δ V versus n , allowing for the calculation of a high-precision Δ V at any n value. ④ The final step is utilizing Δ V to correct V , as shown in the following equation: v T M v D P S S = V + Δ V . Due to the complex relationship between n and v T M , it is very difficult to accurately fit the curve of v T M versus n . However, Δ V is a small quantity, and the relationship between Δ V and n is relatively simple, allowing for accurate fitting results by nonlinear fitting technology. Therefore, this algorithm enables the calculation of a high-precision v T M from n , thus improving the accuracy of integrated navigation. The detailed compensation process and results are presented in the subsequent AUV voyage trial (Section 4).
In the actual voyage test, collecting v D P S S at different n values is very time-consuming and labor-intensive. For example, each n needs to be maintained for a relatively long time to obtain a stable speed of the AUV. Excessive sampling points mean that a large water area is required. Hence, the dense sampling points mean a low engineering application value. For the AUV studied in this article, the maximum speed of 9 kn corresponds to n of 1026.6 r/min. Obtaining an accurate v T M n curve (or v D P S S n curve) only by dense sampling points requires at least hundreds or more sampling points. And the data collection workload is enormous and time-consuming. Generally, when n > 2000   r / m i n , the measurement error of TM is greater than ±60 r/min. For some high-speed AUVs of n > 2000   r / m i n , multiple samples of the same large n are required to minimize the impact of the TM’s measurement error. This will further increase the number of sampling points. In addition, the high-precision control and maintenance of n poses a huge challenge for the AUV’s Integrated Control System (ICS) and motor system. Based on the above reasons, the operability of the method for obtaining an accurate v T M n curve only by dense sampling points is extremely low. The advantage of this method is that we can obtain high-precision n v T M curve by a small number of v D P S S sampling points and the calculated n V curve. Throughout the entire experiment, no DPSS outliers are observed.
After obtaining a high-precision v T M n curve, when the AUV performs an approximately linear motion with variable speeds (acceleration or cancellation), the proposed algorithm can still ensure high navigation and positioning accuracy.

3.3.2. Speed Calibration for the AUV During Turning

One of the obvious drawbacks of using SINS/TM integrated navigation is that the error of scalar velocity calculated from the TM’s measurement is significantly large during the maneuvering (turning, floating, diving, and so on) of the AUV. Other techniques must be used to calibrate the velocity. GNSS can only measure scalar (y-axis) speed, and there is a significant error in speed when the AUV is turning. In addition, GNSS cannot operate when the AUV is moving underwater. Therefore, we choose ADCP or DVL to obtain the high-precision 3D velocity. There are three methods to solve this problem: ① a 3D maneuvering motion trial of the AUV based on ADCP/DVL, ② establishing a 3D 6-DOFs (degrees of freedom) dynamic model to simulate speeds during maneuvering, and ③ using pure inertial navigation. Method ③ is a traditional processing method in SINS/TM integrated navigation. The 3D velocity under n-frame by pure inertia reckoning can be used as the input for the measurement update of KF. We can also abandon KF and use pure inertial reckoning for navigation when the AUV turns. The advantage of method ① is high accuracy. The disadvantages are the need for ADCP/DVL, complex procedures of the trial, and the high cost of the test. The advantage of method ② is no need for an actual voyage test, while the weaknesses are that the accuracy is slightly lower than that of method ① and this method requires complex modeling and simulations. The advantages of method ③ are its simplicity and practicality, without the need for an actual travelling experiment and DVL/ADCP. The disadvantage is low accuracy, especially when the AUV is maneuvering for a long time.
In order to obtain high-precision speed during maneuvering, this article chooses method ①. In a 3D 6-DOF motion model, the height/depth channel can be decoupled from the channel of horizontal plane. Therefore, we only study the turning motion in the horizontal plane for simplification. In the subsequent description, it can be inferred that this AUV can turn with the assistance of two lateral thrusters or two longitudinal arrangement rudders. Without a loss of generality, this paper studies the turning controlled by two rudders. In order to improve the execution efficiency of the rudders, the two rudder plates undergo synchronous and identical swinging movements. The principle of heading control by lateral thrust is the same with that by the rudder, only the actuators generating the lateral torque are different. Therefore, the method proposed here is still applicable for turning by lateral thrust. The 3D velocities of the AUV turning under four different rudder swing movements can be inferred from the subsequent descriptions. When the AUV is turning, using the speeds shown in these two figures can greatly improve the accuracy of SINS/TM integrated navigation. We refer to the relevant analysis below for specific details. The steering effect during the turn is related to the speed of the AUV. For the stability of the AUV’s attitude angle, the speed during the turn should be small enough. Here, we ensure that the AUV makes a turning motion at the initial longitudinal speed of 6 kn (about 3.09 m/s). This method is utilized in both the proposed and conventional algorithms.

3.4. Discrimination and Replacement of Tachometer Outliers

The TM, due to limit of its measurement principle, occasionally outputs outliers. If these outliers are not removed or replaced and are inputted as measurements for integrated navigation, this will lead to significant positioning errors. Therefore, it is necessary to identify these outliers and replace them with estimated values. When an output of TM is identified as an outlier, an estimated value would be used to replace it. The estimated speed is inputted into the linear Kalman filter (LKF) model of the integrated navigation system for the measurement update. To address the issue of outliers, a handling algorithm of outliers from the TM based on least squares extrapolation with limited confidence is proposed. This algorithm is designed for the background of the KF-based integrated navigation system. If the original output of the tachometer at moment k (without outlier identification and replacement) is denoted as v T M - O u t ( k ), the specific calculation process for outlier identification and replacement with the estimated value is as follows:
We make the current moment as moment k. The outputs of TM at four previous moments are denoted as v T M - O u t ( k 1 ) , v T M - O u t ( k 2 ) , v T M - O u t ( k 4 ) , and v T M - O u t ( k 4 ) .
We extrapolate the estimated velocity at the current moment based on the least squares algorithm. The estimated velocity is expressed as v ^ T M - O u t ( k ) = v T M - O u t ( k 1 ) + 1 2 v T M - O u t ( k 2 ) v T M - O u t ( k 4 ) .
We determine whether the difference between the measured velocity and estimated velocity satisfies the following condition. A small quantity is set as a threshold value δ. When v T M - O u t ( k ) satisfies ( v T M - O u t ( k ) v ^ T M - O u t ( k ) δ , v T M - O u t ( k ) is judged to be a normal value and v T M - R O k = v T M - O u t k . When v T M - O u t k satisfies v T M - O u t ( k ) v ^ T M - O u t ( k ) > δ , v T M - O u t k is judged to be an outlier. And v ^ T M - O u t k is used instead of v T M - O u t k , that is, v T M - P O = v ^ T M - O u t k .
The value of δ is chosen according to the characteristics of the error distribution and confidence interval of the speed.
The beneficial effect of this outlier processing algorithm is that it enables the pre-processing of the TM’s velocity data, reduces errors and filter divergences caused by outliers, and helps to improve the accuracy of integrated navigation.

3.5. Integrated Navigation Model

3.5.1. Basic KF Model

LKF consists of two parts, a strapdown inertial navigation system (SINS) and TM. Firstly, the sub-matrix of the SINS part is established, which is essentially a propagation model of pure inertial error. The state variables of the SINS submodule selected in the LKF of this study are X S I N S = ϕ E ϕ N ϕ U δ v E δ v N δ v U δ L δ λ δ h ε x b ε y b ε z b x b y b z b T . In order to improve the navigation accuracy, all height/depth-related state variables are included in X S I N S . W S I N S is a part of W k , and the properties of W k will be described later. F S I N S is a block matrix. Elements in these sub-matrices can be found in textbooks in the field of inertial navigation. The WGS-84 earth model and normal gravity model are utilized.

3.5.2. KF Model with TM and Water Currents

The complete LKF model is developed below to include the measurement error of the TM and velocities of water currents. The quantities chosen to describe the error of the TM are δ k T M and α , which are, respectively, the scale factor error and heading installation deviation angle of the TM. Here, the carrier coordinate (b-frame) is chosen as the right-front-top coordinate. The navigation coordinate (n-frame) is chosen as the east-north-up coordinate. tm-frame (s-frame) is the coordinate in which the TM (SINS) is located. The s-frame is generally considered to coincide with the b-frame by precise mounting. Therefore, the installation deviation angle α , mainly induced by the installation error angle between the propulsion axis (longitudinal axis of the tm-frame) and longitudinal axis of the b-frame, is just the heading error angle between the tm-frame and b-frame. Installation error angles of roll and pitch between the tm-frame and b-frame can be controlled within a small range by precise assembly. Hence, it can be neglected. We denote the water current vector in the n-frame as V c u r n = V c E V c N V c U T . According to existing ocean models, we know that the velocity of a water current changes slowly in a small area. So, we can assume that it is constant in the short term. It should be noted that the direction of water currents is assumed to be positive when it is converse with the direction of vehicle motion, and negative when they are same. To ensure that all elements of the state variables of KF are small errors, the current velocities are separated into estimated speeds and estimated speed errors: V c E = V c E 0 + δ V c E , V c N = V c N 0 + δ V c N , and V c U = V c U 0 + δ V c U . Here, V c E 0 , V c N 0 , and V c U 0 are three estimated speeds based on prior knowledge. And δ V c E , δ V c N , and δ V c U are three estimated velocity errors. For most cases, the water currents are relatively weak and V c E 0 , V c N 0 , and V c U 0 can be considered equal to 0. In this case, δ V c E , δ V c N , and δ V c U just denote the velocities of water currents, which is the situation we discuss in this paper. On account of the assumption of constant water currents, we obtain V ˙ c E = 0 , V ˙ c N = 0 , V ˙ c U = 0 and δ V ˙ c E = 0 , δ V ˙ c N = 0 , δ V ˙ c U = 0 . The current model is used in this article. Generally, the above equations are suitable for both constant and slowly varying currents. However, for high precision, combined with prior information of varying periods of currents, the above expression can be appropriately modified to slowly varying currents. Also, considering that the upward current is generally small and has a limited influence on navigation and positioning precision, δ V c U can be neglected while establishing the LKF of the TM. State variables δ k T M α δ V c E δ V c N are set as variables of the TM sub-system. The complete state variables, state transition matrix, system noise, and observation noise of the LKF are as follows: X = X S I N S T X T M T T , F = F S I N S 0 0 F T M , W = W S I N S T W T M T T , and V = V S I N S T V T M T T .
The Z vector is explained in Equation (28) below. The H matrix is shown by Equation (29) below. The elements of F S I N S can be found in textbooks on inertial navigation. In our LKF model, X T M = δ k T M α δ V c E δ V c N T and W S I N S = w a E w a N w g E w g N w g U 0   0   0   0   0 T . W S I N S is the noise vector of the SINS sub-system. w a E and w a N are white noises of accelerometers. w g E , w g N , w g U are white noises of gyroscopes. F T M is a 3 × 3 matrix with all zero elements. The system noise vector W consists of W S I N S and W T M . The four elements in W T M are just the noises of the four elements in X T M , which can be determined from experience. The measurement noise vector V is similar. All noises are zero-mean Gaussian white noises and uncorrelated. They satisfy E [ W k ] = 0 , E [ W k W j T ] = Q k δ k j , E [ V k ] = 0 , E [ V k V j T ] = R k δ k j , and E [ W k V j T ] = 0 .
The velocity vector v T M t m measured by the TM has following relationship with v T M n : v T M n = C b n C t m b v T M t m , where v T M t m = v T M x v T M y v T M z T . When the AUV is moving along a straight line, v T M t m = 0 v T M 0 T . When the AUV is turning, v T M t m = v T M x v T M y 0 T . Here, v T M x and v T M y are lateral and longitudinal speeds and they come from the results which can be inferred from the subsequent descriptions. We have an approximate relationship v T M v T M x 2 + v T M y 2 . C t m b contains the installation error angle α, which is determined by the vector η = 0 α 0 T . The velocity vector obtained from the TM in the n′-frame is calculated as follows:
v T M n = C b n C t m b ( 1 + δ k T M ) v T M t m = I ϕ × C b n I η × ( 1 + δ k T M ) v T M t m
where C b n is an attitude matrix that contains misalignment angles. The n′-frame is the calculated navigation coordinate. The misalignment angle vector is φ n = φ E φ N φ U T . We can obtain the following:
v T M n = v T M n + v T M n × ϕ + C b n ( v T M t m ) × η + δ k T M v T M n = v T M n + v T M n × ϕ + ( v T M t m × ) C b n η + δ k T M v T M n
From Equation (23), the measured velocity vector of the TM in the n-frame is calculated as follows:
δ v T M n = v T M n v T M n = v T M n × ϕ + ( v T M d × ) C b n η + v T M n δ k T M
where v T M n = v T M E v T M N v T M U T . On account that we can only obtain a forward speed from the TM, the vector v T M n can be calculated from the scalar v T M . The calculation method is as follows:
v T M n = v T M E v T M N v T M U T = v T M cos θ i n t sin ψ i n t v T M cos θ i n t cos ψ i n t v T M sin θ i n t T
where θ int and ψ i n t are the pitch and heading angles. High-precision attitude angles of integrated navigation can be calculated by the attitude angles from pure inertial calculation and misalignment angles from LKF. The real velocity vector in the n-frame, velocity vector solved by the SINS, and velocity vector over ground are denoted as v t r u e n , v ^ S I N S n , and v ^ e a r n , respectively. The TM can only measure the water-track velocity, which is equal to the velocity over ground while there are no water currents.
In the absence of water currents, the measurement equation is as follows:
Z = v ^ S I N S n v ^ e a r n = ( v t r u e n + δ v n ) ( v t r u e n + δ v T M n ) = δ v n δ v T M n
where δ v n = δ v E δ v N δ v U T . The second term from left to right in Equation (26a) is used as the observed vector of KF. The fourth term is used to establish the measurement matrix. Here, the above equation is written in a fractional form:
Z = Z 1 Z 2 T Z 1 = δ v E + v T M U ϕ N v T M N ϕ U δ k T M v T M E C 22 v T M z + C 32 v T M y α Z 2 = δ v N + v T M E ϕ U v T M U ϕ E δ k T M v T M N C 12 v T M z C 32 v T M x α
where C i j i = 1 , 2 , 3 ; j = 1 , 2 , 3 are the elements of C b n . Equation (26b) contains misalignment angles, the scale factor for the TM, heading installation error angle, and so on. Therefore, the calculation accuracy is relatively high. The measurement equation is shown by Equation (27a):
Z = H X + V
where H is the measurement matrix and V is the measurement noise. The elements of H are as follows:
H = I 2 × 2 H 1 0 2 × 8 H 2 0 2 × 2
where the sub-matrices H1 and H2 in Equation (27b) are
H 1 = 0 v T M U v T M N v T M U 0 v T M E
H 2 = v T M E C 22 v T M z C 23 v T M y v T M N C 32 v T M x C 12 v T M z
When there are water currents, the relationship is v ^ e a r n = v T M n + δ V c u r n = v t u r e n + δ v T M n + δ V c u r n . Therefore, the following measurement equation can be obtained:
Z = v ^ S I N S n ( v T M n + δ V c u r n ) = δ v n δ v T M n δ V c u r n
The second term from left to right in Equation (28) is used as the observed vector of KF. The fourth term is used to establish the measurement matrix. v T M n is the velocity vector reference to water measured by the TM. As analyzed earlier, water currents can be split into V c u r n = V c u r 0 n + δ V c u r n , where V c u r 0 n is the estimation of the current speed in the n-frame and δ V c u r n is the estimation error of the current speed in the n-frame. Water currents are usually weak and V c u r 0 n is usually equal to zero. When there are water currents, it is sufficient to replace Equation (27b) by Equation (29). And the rest of the parts are the same as Equations (27c) and (27d).
H = I 2 × 2 H 1 0 2 × 8 H 2 I 2 × 2
The initial values of model can be set according to the zero bias of the gyroscope, zero bias of the accelerometer, measurement noise of the TM, and experience.
The northward and eastward currents can be estimated by this model. It is important to note that initial values of δ V c E and δ V c N are required to start KF. The values of δ V c E and δ V c N are required to calculate the measurement Z while updating the KF measurement. The model is suitable for small currents that are constant or slowly varying. By extending V c N 0 and V c N 0 into the state variables of the TM, and slightly modifying the system and measurement matrices of KF, larger currents can also be handled.
The above is the complete process of this algorithm. Figure 3 below shows the flowchart of the algorithm. The advantage of this algorithm is that it can dynamically estimate and compensate for various TM state variables in KF and errors of current speed in real-time.

3.5.3. Traditional TM-Based Integrated Navigation Algorithm

The traditional TM-based integrated navigation algorithm, which is compared with the proposed algorithm, needs to be introduced. In the conventional algorithm, v T M R O is input into KF directly as the measurement, and water currents in KF are also not considered. KF without currents has the same form as the proposed method, where x T M δ k T M , α , δ V c E , δ V c N is replaced by x T M δ k T M , α . Correspondingly, the measurement matrix is
H = I 2 × 2 H 1 0 2 × 8 H 2
This traditional algorithm is compared and discussed with proposed algorithm later in Section 4.
The selection of the LKF method in this study is based on its superior performance, including high accuracy, fast convergence speed, good stability, and strong scalability, among other advantages. By making only minor modifications to the traditional LKF model, it becomes possible to efficiently integrate various information, such as the velocity predicted by the AUV thrust model, TM measurements, and estimated ocean currents, with the SINS. Therefore, the choice of algorithm in this study is built upon the LKF framework, taking full advantage of its capabilities to enhance navigation accuracy and system performance. There are various types of thrust models for AUVs, each with its own advantages and limitations. The model selected in this study combines prior knowledge with a simplified approach, providing high accuracy while minimizing computational complexity. This model’s efficiency in balancing precision and computational steps makes it particularly suitable for integrated navigation. Therefore, we have chosen this specific dynamic model to enhance the performance and reliability of the AUV’s navigation system.
Compared to existing research in the literature, the method presented in this paper is the first to integrate a variety of data, including the speed predicted by the AUV thrust model, measurements from the TM, estimated ocean currents, and the computed results from the SINS. Additionally, the TM submodule in our method accounts for factors such as the installation offset angle, scale factor, and outlier detection and removal. Most existing studies primarily focus on the fusion of DVL data, with a few considering the integration of TM data. However, studies that simultaneously incorporate TM fusion and ocean current estimations are nearly nonexistent. Moreover, there are very few studies that integrate the predicted speed from the AUV thrust model.

4. Experimental Setup and Results Analysis

We conducted a validation of proposed algorithm by an AUV voyage trial in a lake. A physical photo of the AUV is shown in Figure 4, where the GNSS antenna and supporting rod are not installed. The AUV’s maximum depth is 300 m and its weight is approximately 500 kg. As analyzed above, the AUV’s cruising speed is 4 kn and its maximum speed is 9 kn. The AUV is equipped with two lateral thrusters and one vertical thruster (refer to the subsequent descriptions). The rear propellers are a pair of counter-rotating propellers. The internal layout of the AUV is depicted in Figure 5. A forward-looking sonar is installed at the head. The INS and Acoustic Doppler Current Profiler (ADCP) are mounted at the AUV’s rotation center. This layout ensures zero arm-lever effects of the INS and ADCP, thus improving navigation accuracy. Generally, the AUV’s rotation center is the same as the center of gravity. The DPSS is utilized to calibrate the estimated velocity based on the TM’s measurement. The ADCP is used to measure the AUV’s speed over ground during the turning of the AUV. The ADCP is also applied to measure the 3D current velocity of a water layer. GNSS is used to measure the real-time position of the AUV as a benchmark. The TM is used to measure the rotational speed of the AUV’s motor. In front of the INS, the ICS is installed. Behind the INS, there is a battery pack. In rear section of the AUV, there is the main counter-rotating motor. Figure 6 shows a physical photograph of the ADCP, which has following indexes for measuring current: accuracy of velocity measurement, ±0.15% of velocity, ±1 mm/s for a small velocity (the velocity is the current velocity or AUV’s velocity over ground); velocity resolution, 1 mm/s; velocity range, ±5 m/s; profile range, 0.3 m to 75 m; layers of depth unit, 1–128; unit thickness, 0.05 m to 2 m; blind area, 0.05 m; depth range of bottom tracking, 0.5 m to 30 m; and depth measurement range, 0.5 m to 30 m. The accuracy of the DPSS is ±0.3% of the measured velocity and ±0.012 m/s. This AUV adopts an advanced TM product with measurement error as follows. When n ≤ 2000 r/min, the measurement error is ±3 r/min, and when n > 2000 r/min, the measurement error is ±25 r/min. The initial parameters of Kalman filters in proposed and traditional algorithms are set based on these parameters and some empirical initial errors. A physical photograph of the FOG-based INS is shown in Figure 7a, and the internal structure is depicted in Figure 7b. The structure shown in Figure 7a does not include the shell. After being equipped with a shell for vibration isolation, temperature control, and electromagnetic interference shielding, the INS is vertically mounted on the ADCP (shown in Figure 5) for navigation. Figure 7b illustrates the internal construction of the INS, with the lower part consisting of three orthogonally mounted gyros and three orthogonally mounted accelerometers. The diameter of the FOG is 98 mm. The upper part contains circuit boards, including the navigation computing circuit board (NCCB), gyroscopic circuit boards (GCBs), and current–frequency conversion circuit board (CFCCB), which perform tasks such as IMU data processing, gyro data preprocessing, and accelerometer data preprocessing. The accelerometer employs a high-precision current-to-frequency conversion technology to process analog signals. The constant biases of three gyros are 0.0076°/h, 0.0073°/h, and 0.0081°/h. The constant biases of accelerometers are 11 μg, 12 μg, and 9 μg, respectively.
The AUV voyage experiment in a lake was conducted for navigation testing. Figure 8a, b depict photographs of the experimental scene of the AUV travelling on the water surface, taken from the rear and side perspectives, respectively. To ensure that the AUV can still receive GNSS signals as benchmarks while it is moving underwater, the GNSS antenna and its supporting rod were installed on the top of rear section of the AUV. The height of antenna rod is approximately 1.7 m. In order to minimize the hydrodynamic resistance of the AUV, the diameters of the antenna and rod are much smaller than that of the AUV’s main body. As shown in Figure 9, during the voyage, the AUV’s body is completely submerged underwater and the GNSS antenna is above lake surface. Figure 10 illustrates the pontoon-ship and its supporting equipment. The pontoon-ship is utilized for AUV deployment, recovery, and storage. It is equipped with a crane and a storage space for the AUV. The ship is also equipped with a central control console for the AUV, allowing command transfer to the AUV on water surface via wireless communication. The ship is a catamaran with a channel between the two hulls specifically designed for AUV deployment and recovery.
Before conducting the integrated navigation test, performing a calibration test for the AUV’s water-track velocity is necessary. In previous calculations by the propulsion model, it is assumed that the AUV is fully submerged. Therefore, it is crucial to ensure that the AUV is indeed voyaging underwater during the experiment. The navigation status of the AUV during the experiment is shown in Figure 10, where the GNSS antenna is above the lake surface while the main body of the AUV is submerged at a depth of approximately 2 m. As mentioned above, it is essential to ensure sufficiently slow currents at a 2 m depth for the velocity calibration test. To achieve this, an enclosed area within the lake is selected, and multiple underwater current meters are deployed at a 2 m depth to monitor the current. The accuracy of these current meters exceeds ±0.1% of full scale. When measurements from several current meters near the navigation path indicate a current velocity below 0.05 m/s, we begin the velocity calibration test. Due to the small sizes of the antenna and rod, the AUV’s slow velocity, and significant depth of the AUV, the influence of antenna and rod on current at a 2 m depth is very limited. Therefore, only a naturally occurring current at a 2 m depth should be considered.
The results of velocity calibration are presented as follows. The calculated velocities, velocity errors, and compensated velocities are shown in Table 7, where n represents the measurements obtained from TM, and v D P S S is obtain by DPSS. The velocity error ( Δ V = v D P S S V ) is obtained by subtracting the accurate velocity measured by DPSS from V, where V is obtained from relationship of V n derived from Equation (21). The compensated velocity v T M is obtained by adding Δ V to V. In order to apply the TM-based integrated navigation method to a continuously variable-speed AUV, fitting the discrete results of Table 7 to a continuous curve is necessary.
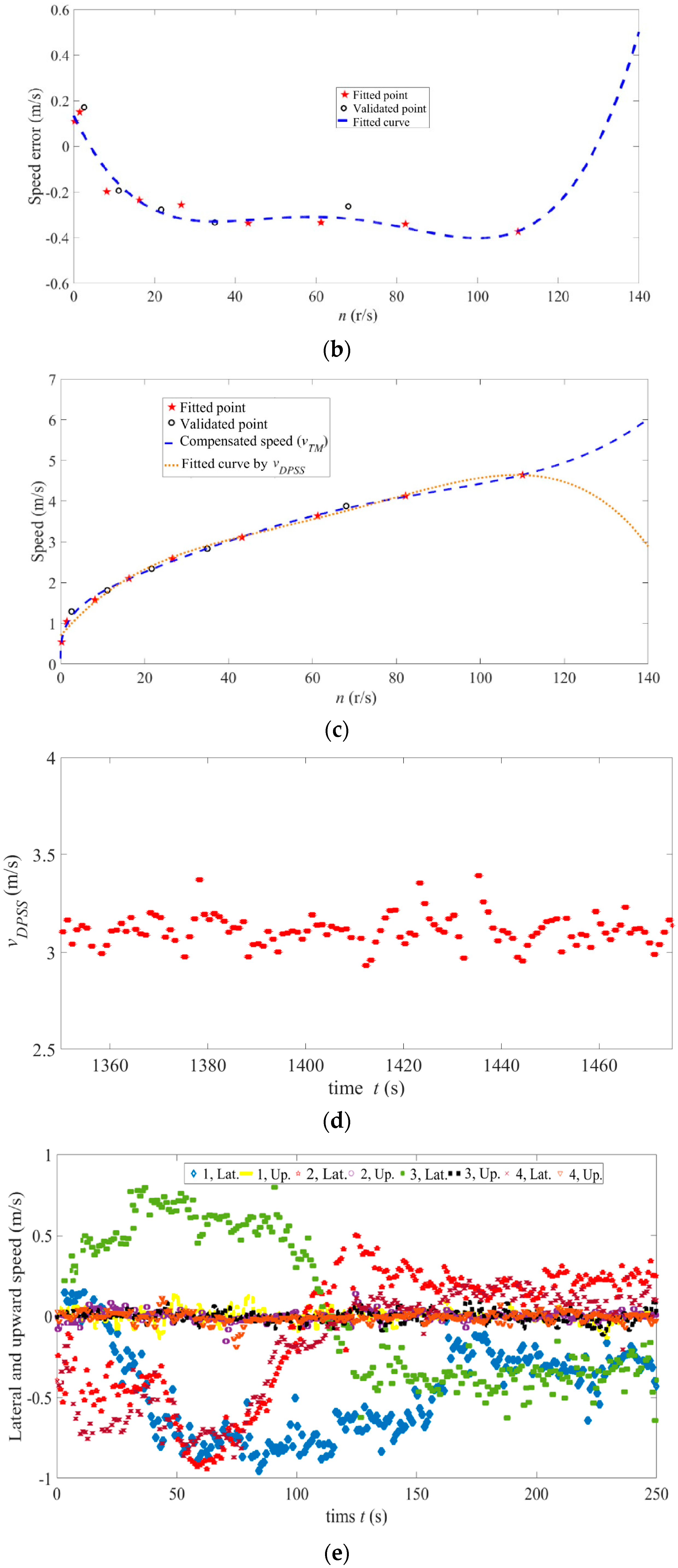
The abscissas in Figure 11a–c are the rotational speeds n of the motor output by the TM. The ordinate is the speed V. Here, n is regarded as the argument. Figure 11a shows curve of V and sampling points of v D P S S . The DSPP-measured velocity consists of two types: (1) nine fitting points shown in Table 7 used for fitting (represented by “pentagram” symbols) and (2) five testing points used for validation (represented by “hollow circle” symbols). These points are only used to validate the fitting accuracy and are not used for curve fitting. Each v D P S S sampling point is the average speed over a period of time (about 125 s).
Figure 11b shows fitting curve of the velocity error Δ V and sampling points of Δ V = v D P S S V . The discrete Δ V is utilized to fitting Δ V curve. This article uses a quartic polynomial to fit the nonlinear velocity error. And this curve is applied for the compensation of V to obtain v T M . Figure 11c displays the velocity from the DPSS at the sampling points and curve of v T M versus n. The sampling points in Figure 11a–c are collected in the first section of the trajectory in Figure 12a below. v T M o u t is derived from n output by the TM according to relationship shown by Equation (21). In this trial, there is an outlier in the TM’s outputs. The outlier indicates that rotational speed measured by the TM has significantly deviated from the actual value. Using the method in Section 3.4, an approximate velocity at outlier can be obtained. When the current speed is close to zero, the calibrated speed closely approximates the true velocity through water. Hence, it provides an accurate speed through water ( v T M ) for the integrated navigation algorithm. To obtain the compensated velocity curve shown in Figure 11a, the fitting curve of velocity error (as shown in Figure 11b) is utilized. As analyzed above, the accuracy of fitting is high because Δ V is a small fluctuating quantity compared to V.
If the compensated speed curve is directly fit based on v D P S S sampling points, the resulting curve (as shown by the khaki curve in Figure 11c) would have a poor fitting accuracy and the fitting error at high speed would be significant. Among the five validated points of fitting accuracy, the maximum fitting error of the khaki curve is 0.11 m/s, indicating lower accuracy compared to the proposed method. This validates the effectiveness of the proposed method. Among the five fitting points, the maximum fitting error of the blue curve is 0.05 m/s, indicating a high fitting accuracy. Figure 11d shows the detail of one sampling point (3.11 m/s, 6.05 kn) of the v D P S S curve versus time t. This sampling point is the 6th fitting point and 10th sampling point (sampling points include fitted points and validated points). The horizontal axis of this figure is consistent with those of Figure 12b–f. As analyzed earlier, each sampling point of v D P S S is the average value over a period of time (about 125 s). The points in Figure 11d are the speeds output from the DPSS. The sampling points are clearly expressed in the form of a point graph.
Figure 11e, f show three velocity components under the b-frame during the turning of the AUV under four different swing actions of a pair of rudder plates. As previously analyzed, this experiment assumes that the AUV performs a turning motion at cruising speed. The data of these two graphs are measured by the ADCP. The average depth of the experimental water area is 18.5 m, and the maximum depth is 25.3 m. The depth range of bottom tracking of this ADCP is 30 m, thus ensuring the measurement of 3D velocities over ground of the AUV. Due to the AUV’s voyage at a fixed depth, the upward velocities in Figure 11e are very small and can be ignored. The meaning of the legend in Figure 11e is that one, two, three, and four are the group numbers of the rudder parameters; “Lat.” represents the lateral velocity (positive in the right direction); and “Up.” represents the upward velocity. It should be noted that the starting point in these two figures corresponds to moment when rudder plate performs a deflection action. This starting point is different from that in Figure 12a–f below.
The four groups of parameters of swing actions of rudders are as follows: ① the swing amplitude is 30°, and the duration of the swing state at the swing amplitude of the rudder is 95 s; ② the swing amplitude is 35°, and the duration of the swing state is 60 s; ③ the swing amplitude is 20°, and the duration of the swing state is 80 s; and ④ the swing amplitude is 25°, and the duration of the swing state is 60 s. Generally, the consumed time from the rudder’s zero position to swaying state at a certain swing amplitude is very short and can be ignored. Similarly, the required time from the rudder’s swaying state to zero position can be ignored. From these two figures, it can be seen that the large swing amplitude indicates the great heading angular velocity and the large growing (declining) rate of lateral (longitudinal) velocity. The long duration of the swaying state signifies the long duration of the large heading angular velocity, and the long growing (falling) duration of the lateral (longitudinal) velocity. The bending trajectory shown in Figure 12a is caused by the first group of parameters of rudders. Therefore, this article uses three velocity curves corresponding to parameter ① in Figure 11d,e as the input of the measurement update of the KF model during the turn of the AUV. Due to the fact that the action parameters of rudders are known by the AUV’s ICS, the AUV’s navigation system can use these parameters to call up the pre-stored 3D velocities during the turning for integrated navigation. The speed depends on the parameters of a pair of rudders. The rising (falling) feature of lateral (longitudinal) velocity depends on the swing amplitude. And the rising (falling) time of lateral (longitudinal) velocity depends on the duration of rudders’ swing state. Due to inertia of the AUV, the rising (falling) time of the lateral (longitudinal) velocity is slightly longer than the duration of the swing state. When the requirement of speed accuracy is not high, this small delay can be ignored. In order to ensure high accuracy, this small delay is not ignored in this article. The decrease (increase) in the lateral (longitudinal) velocity depends on both action parameters of the rudders. The action parameters of the rudders in this experiment are relatively simple, with only four cases. We can simply call the 3D speed data corresponding to the action parameters executed by the AUV. When the AUV performs tasks, there may be many groups of the rudder’s action parameters. However, by collecting a large number of speed samples and combining deep learning or nonlinear fitting or other techniques, we can establish the relationship between speed characteristics (characteristic ①: the rising feature of lateral speed or the falling feature of longitudinal speed; characteristic ②: the rising time of lateral speed or the falling time of longitudinal speed; and characteristic ③: the falling feature of lateral speed or the rising feature of longitudinal speed) and a lot of the groups of the rudder’s action parameters. When the rudder acts, speed characteristic ① is first determined based on the swing amplitude, and then characteristics ② and ③ are determined based on the duration of the rudder’s swing state. The relationship between the rudder parameters and the three-dimensional velocity is discussed below. This relationship could ideally be obtained through an accurate AUV dynamic model. However, model-based calculation results often exhibit significant errors. The curves shown in Figure 11e, f were obtained from AUV lake trials, and therefore, these high-precision curves provide valuable results for integrated navigation. These curves are generally consistent with the computational results from the AUV dynamic model. It should be noted that these curves were obtained under relatively stable underwater conditions with minimal disturbance factors. In the presence of disturbances such as ocean currents, the velocity derived from these curves may lead to larger errors. Consequently, the method proposed in this paper may result in significant positioning errors. After all, this method is a low-cost navigation approach, and its applicability is limited.
In addition, in order to further promote the applicability of this method to the 3D 6-DOF motion of AUV, 3D velocity characteristics should be considered when the rudder plate (controlling the heading channel) of the longitudinal arrangement and rudder plate (controlling the pitch and roll channels) of the transverse arrangement act together. If there are no conditions for conducting actual voyage trial, this problem can also be solved by a high-precision 3D dynamic model of the AUV. Numerical simulations can greatly reduce the research and development cost of the SINS/TM integrated navigation system. And they save the costs of actual voyage trial and purchasing the DVL or ADCP or ACL or DPSS. However, compared to method ①, the error of velocity obtained by method ② is relatively large. These studies will serve as future works and will be analyzed in future research.
After calibrating the vehicle’s velocity, we conducted voyage trials to verify the accuracy of proposed integrated navigation algorithm. To validate the algorithm’s estimation accuracy of current, we selected an open water area with persistent underwater currents. This area exhibits minimal fluctuations of the current velocity, satisfying the requirements for a steady-state current in the algorithm. When depth of waters is small enough, the AUV-mounted ADCP can measure the current velocity. The measured results from the ADCP carried by the AUV are regarded as benchmarks of current velocity (refer to the subsequent descriptions). The GNSS antenna and its supporting rod are installed on the rear section of the AUV, while the ADCP is installed in the middle section, with its acoustic beams directed downward, as shown in Figure 10. As previously analyzed, the induced current at a depth of 2 m caused by the moving antenna and rod are extremely weak and its impact on the ADCP measurement can be negligible. Only the naturally occurring velocity of the current will be measured by the ADCP.
The experimental procedure is as follows. The AUV is transferred to the open deck of ship using a debugging trolley. Next, the AUV is powered on, and then it completes its system self-checks (approximately 10 min) and initial alignment of the INS (approximately 15 min). After that, the AUV is deployed into the internal channel of ship using the onboard crane and it is remotely controlled to navigate to the starting point on the lake surface, entering a floating state. Subsequently, a command is sent from the ship to initiate the experiment, and AUV begins to dive until it is in the state shown in Figure 10. Once AUV reaches this state and the depth measured by the depth sensor reaches the target value, the INS calibration is triggered by the AUV’s integrated controller. The calibration applies a valid frame of the GNSS-measured position and velocity, after which the accuracy validation trial of integrated navigation commences. This calibration point serves as the starting point of the entire trajectory. The whole trial lasts approximately 1.5 h. Throughout the trajectory, the GNSS’s signal is received every second. If the GNSS’s signal is interfered due to factors such as waves, these GNSS-measured data are discarded. Only the first valid GNSS signal is used as a measurement input into KF. All other GNSS signals are collected as benchmarks for comparison and are not input into KF. Starting from second frame of the KF measurement update, only the converted velocities through water from the TM are used. This simulates the state of voyage underwater. The GNSS utilizes high-precision BeiDou system, with position and velocity accuracies superior to 2 m and 0.05 m/s, respectively. Therefore, the measurement errors of the GNSS can be negligible. In this trial, the IMU update period, GNSS update period, ADCP update period, TM update period, KF time update period, and KF measurement update period are set to be 5 ms, 1 s, 1 s, 5 ms, 5 ms, and 1 s, respectively.
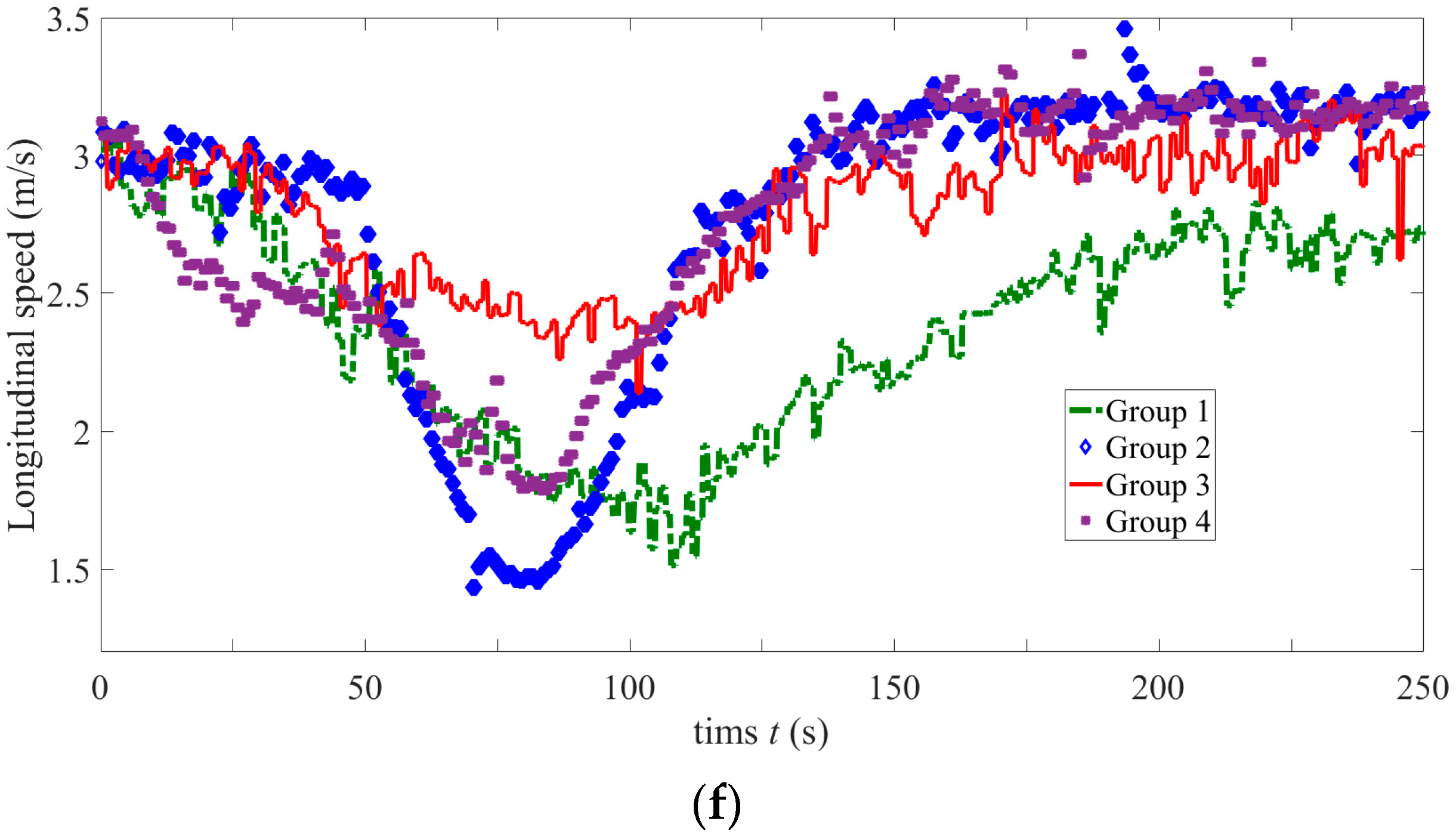
Figure 12a–f depict the results of the lake trial. Figure 12a shows the trajectory obtained from the GNSS. The trajectory can be divided into two sections. The first section (about 2300 s) is an approximately straight line. The second part (about 1400 s) includes a curve representing the AUV’s turning and an approximately straight line after turning. The entire experiment lasts for about 4.5 h, and this article intercepts the part with a duration of 3700 s as the research object. It is a kind of standard trajectory for validating SINS/TM integrated navigation. The first section is not a perfect straight line, it is caused by factors such as waves, currents, and the installation deviation angle of the propulsion shaft. When the AUV makes a turn, the TM still outputs a relatively high rotational speed, but the forward velocity decreases sharply, with a portion of thrust being allocated to generate lateral velocity. This has been discussed in the analysis of Figure 11d, e above. Figure 12b presents the outputs of three FOGs. Since the AUV voyages at a depth of 2 m, where the influences of waves and winds are minimal, hence, the AUV’s attitude angles remain relatively stable. The outputs of the forward and rightward FOGs are small, with maximum absolute values of about 1.12°/s and 1.08°/s. As the first section of the trajectory is approximately a straight line, the output of z-axis FOG is also very small, and the maximum absolute value is about 1.31°/s. The second section includes a curve, and the output of the z-axis FOG is relatively large. The maximum absolute value is about 2.21°/s, and the average absolute value is about 0.48°/s. Figure 12c illustrates the outputs of x-axis and z-axis accelerometers. Figure 12d illustrates the output of the y-axis accelerometer. The motion time of the first section (approximately straight line) is about 2300 s. This section consists of 15 movements. The duration of each movement is about 150 s, and the first 25 s is acceleration or deceleration movement. The subsequent 125 s is fixed-speed movement. The 15 constant-speed movements are speeds of 1.05 kn (0.54 m/s), 2.03 kn (1.04 m/s), 2.51 kn (1.29 m/s), 3.06 kn (1.57 m/s), 3.52 kn (1.81 m/s), 4.08 kn (2.10 m/s), 4.55 kn (2.34 m/s), 5.03 kn (2.59 m/s), 5.51 kn (2.83 m/s), 6.05 kn (3.11 m/s), 7.06 kn (3.63 m/s), 7.53 kn (3.87 m/s), 8.01 kn (4.12 m/s 9.02 kn (4.64 m/s), and 6.03 kn (3.10 m/s), respectively. Each speed value is the average of measurements from the DPSS during fixed-speed movement. The starting points in Figure 12a–f are points during the entire experiment, and the AUV’s speed at the starting point is about 0.52 kn. The first 14 movements are for speed calibration purposes. The last movement is to slow down and prepare for the subsequent turn. The acceleration of variable-speed motion is relatively large when decelerating from 9.02 kn to 6.05 kn, with the maximum absolute value exceeding 7.32 m/s2. In order to clearly represent the accelerations of other variable-speed motions, the value range of the vertical axis is set to be much smaller than 7.32 m/s2. When the AUV moves in an approximately uniform straight line, the outputs of the x-axis, y-axis and z-axis accelerometers are minimal. In this section, the maximum absolute values of the x-axis and z-axis accelerometers are about 1.07 m/s2 and 11.9 m/s2. When the AUV undergoes variable-speed approximately linear motion, the output of the y-axis accelerometer is relatively large. The second section contains the curve for the AUV turning. During a nearly straight-line motion after turning, the AUV’s speed is varying between 2.35 and 3.21 kn. So, the acceleration of the y-axis accelerometer is slightly greater than that of constant-speed motion. In this section, the maximum absolute values of x/y/z-axis accelerometers are about 1.22/2.31/12.10 m/s2, and the average absolute values of x/y/z-axis accelerometers are about 0.42/1.61/10.11 m/s2. Figure 12e shows the heading angle of the AUV. From this figure, it can be seen that only when the AUV turns, is there a significant change in the heading angle. Figure 12f shows the pitch and roll angles. Due to the voyage at a fixed depth, the pitch and roll angles throughout the entire trial are very small.
Figure 13a, b present the positioning errors of the proposed and conventional algorithms, while Figure 13c shows the positioning error rates of these two algorithms. Without considering the current and speed calibration, the maximum values (endpoint values) of eastward, northward, and total positioning errors of traditional SINS/TM integrated navigation are 2449.2 m (2449.2 m), −1002.5 m (−500.5 m), and 2499.8 m (2499.8 m), respectively. In the traditional algorithm, the 3D velocity obtained under the n-frame by pure inertia reckoning is input into KF when the AUV is turning. In contrast, the maximum values (endpoint values) of the three errors of the proposed method are 78.7 m (78.7 m), −49.8 m (−16.8 m), and 80.5 m (80.5 m). Figure 13c, d, respectively, show the ratios of the total positioning error of the traditional and proposed algorithms. It is defined as the ratio of the current total positioning error to the AUV’s voyaging distance. By introducing the calibration of the AUV’s velocity, estimation, and compensation of the current, the error ratio of the proposed algorithm is much lower than that of the traditional algorithm. The results in Figure 13d indicate that the endpoint error rate of integrated navigation decreases from 25.45% × D to 0.82% × D. Here, D denotes the travelling distance of the AUV. The error rate is defined as the total error at the current moment divided by the travelling distance. Despite the water current being only around 1 kn (as shown in Figure 11b) and Δ V being small for a low V (as shown in Figure 14), these factors still have significant impacts on the positioning error. This is because the positioning error strongly depends on the velocity error. Without an estimation of the current and calibration of TM-measured velocity, it is not possible to obtain the AUV’s velocity over ground, leading to significant positioning errors. Moreover, as the AUV’s navigation time increases, the positioning error accumulates rapidly. In contrast, utilizing the proposed algorithm, the growth of the position error slows along with the navigation time. It means that the endpoint’s positioning error will be greatly suppressed. Additionally, due to the outlier replacement technique for the TM’s output, the presence of outliers does not cause a rapid increase in positioning error.
Figure 13e shows the curve of the TM’s output of rotational speed (n) versus time. The rotational speed n is converted from the original output of pulse numbers from the TM. The v T M o u t at each moment is obtained by the modified n-V curve (as shown by the blue curve in Figure 11c). In this figure, we can observe an outlier, which is identified and replaced in the proposed algorithm. This outlier is caused by electromagnetic interference, electronic noise from sensors, and other factors. Because the output period of the TM is only 5 ms, the curve of n is very coarse. At approximately 1238 s, an outlier of 0.12 r/s corresponding to 0.02 m/s appears. Excluding the outlier, n fluctuates within a range from 25.1 to 27.2 r/s, with an average value of 26.1 r/s. According to the modified n-V curve, it corresponds to a speed of 2.83 m/s.
Figure 14 shows the result of the current estimation. Here, the positive 3D directions of current speed under the b-frame are defined to be rightward, forward, and upward. DPSS can only output scalar (y-axis component) velocity through water, and so it cannot measure the 3D ocean current velocity. Based on phased array technology, ADCP can measure the 3D velocity of ocean currents. Hence, we chose ADCP for the current velocity measurement. Waters with a depth of less than 30 m ensure that the ADCP can measure the 3D over ground speed of the AUV. ADCP can also measure the AUV’s velocity reference to any water layer above the AUV beyond ADCP’s blind spot. Hence, the 3D velocity under the b-frame of the current of any water layer above the AUV can be obtained. The speeds of eastward and northward currents in Figure 14 are calculated by multiplying the 3D speed vector of current in the b-frame measured by the ADCP with the attitude conversion matrix C b n . It should be noted that the starting point of this figure corresponds to a point in the entire experimental process. The KF has already started to perform calculations before the starting point in this figure. We make the AUV perform a GNSS+ADCP calibration at the starting point of Figure 14. In this calibration, the position measured by the GNSS and AUV’s speed over ground measured by ADCP are utilized. Therefore, the estimation error of the ocean current is very small.
In order to avoid the influence of the AUV’s boundary layer on the current velocity of the water layer, the distance between this layer and AUV’s abdomen is slightly greater than the thickness of the boundary layer. We denote this water layer as layer 1. Using matrix C b n , the velocity vector of current in the b-frame can be transformed into that in the n-frame. However, the proposed algorithm can only estimate the 3D current velocity (under the n-frame) of the water layer where the AUV is located. We denote this layer as layer 2. Generally, the current velocity vectors of layer 1 and layer 2 are equal. To verify this, we use the velocity from DPSS and ground velocity from ADCP to calculate the y-axis component of the current velocity vector of layer 2. The y-axis component of the speed vector is almost equal to that of layer 1. The x-axis/z-axis components of the velocity vector of layers 1 and 2 are relatively small.
Limited by the measurement principle of ADCP, the velocity obtained by ADCP includes noise. Hence, the current speed obtained by ADCP contains noise and the fluctuations of velocity curve from the ADCP in Figure 14 can be observed. The KF estimation oscillates at the varying point of the current’s velocity. When KF converges, the current velocity approaches a stable value. This steady value is an estimation of the actual current’s velocity. The starting point of the trajectory in Figure 12a is only a point during the entire voyage process of the AUV. Therefore, the estimated current velocity by KF at the starting point in this figure is stable. As shown in Figure 14, two curves of the ADCP’s output and estimated current speed are roughly consistent. By the proposed algorithm, the maximum estimation error of the eastward (northward) current speed is less than 0.045 m/s (0.031 m/s). This signifies that the proposed algorithm can effectively estimate the speed of a slow-varying current, which can effectively suppress the growth of positioning errors (as shown in Figure 13a–d above). These experimental results in Figure 13a–d and Figure 14 validate the effectiveness, robustness, and engineering practicality of the proposed algorithm.
It should be noted that in order to compare the positioning results with high-precision integrated navigation systems, this study chose large and medium-sized AUVs because these types of AUVs can be equipped with high-precision SINS and acoustic speed measurement equipment (DVL/ACL/ADCP). However, the proposed method can effectively reduce the volume, weight, and cost of conventional integrated navigation systems. This method is applicable to all types of large, medium, and small AUVs.
Next, we will discuss the advantages of choosing ADCP. The velocity measurement performance of ADCP is comparable to that of DVL, but its ability to track and measure water currents is significantly superior, especially in complex water environments where ADCP provides more accurate current information. Therefore, selecting ADCP for the validation of the algorithm in this study is the optimal choice, enhancing the practicality and accuracy of the algorithm. And then, we summarize the advantages of the algorithm presented in this paper. The development of this algorithm does not rely on complex, high-precision AUV models, allowing for efficient navigation without the need for extensive computations. The experimental steps and equipment required for the implementation are relatively simple, and no complex navigation trials are necessary. This makes the method easy to implement, with a low computational load, and it holds significant value in practical engineering applications, particularly in scenarios with limited resources or simpler equipment.
The inertial sensors used in the SINS in this study have undergone rigorous and detailed factory calibration tests, and the ADCP, GNSS, and TM selected are all mature commercial products, ensuring high stability of all the equipment. Whether the system is powered on once or multiple times, the error characteristics of the equipment remain relatively stable. Therefore, as long as the experimental conditions (such as ocean currents, wind, and waves) do not change dramatically, the deviation in the test results will remain small, ensuring high repeatability and reproducibility of the experiments presented in this paper.
However, the experimental results in this paper are somewhat dependent on the selected AUV and its experimental setup. To further strengthen the rigor of this study and adequately discuss the potential challenges in real-world applications (such as the high dynamics of AUVs and various complex underwater conditions), we have selected five representative results from previous extensive AUV lake and sea trials. These results, summarized in Table 8, include trials from four different AUVs and five distinct testing scenarios. The AUV with a diameter of 230 mm is equipped with an ADCP slightly smaller than the model used in this study. However, the remaining equipment, such as the SINS, GNSS, and TM, are identical to the model shown in Figure 4. For the AUVs with diameters of 324 mm and 1000 mm, all the equipment used is the same as that shown in Figure 4.
From the table, it can be seen that for various AUVs across different operational scenarios, the positioning errors of the method proposed in this paper are consistently within the same order of magnitude. These errors are significantly lower than those produced by traditional methods. This indicates that the proposed method possesses a certain level of universality, engineering application value, and good scalability. The slightly larger positioning errors observed in the sea trials, compared to the lake trials, can be attributed to the more complex ocean currents encountered in the marine environment, which introduce additional factors affecting accuracy.
In existing research, advanced integrated navigation systems typically include high-precision SINS, GNSS, small DVLs, and advanced nonlinear filtering algorithms, among others. These systems offer high accuracy, reliability, and a broad range of applications. However, the complexity of the algorithms, large computational requirements, high costs, and the larger volume, weight, and power consumption limit their practical applications. The integrated navigation system proposed in this paper consists solely of a SINS, GNSS, and TM. It offers the advantages of a simpler algorithm (based on the LKF framework), lower computational load, reduced cost, smaller size, lighter weight, and lower power consumption. Although this system is a low-cost solution, cannot match the accuracy of the advanced systems mentioned above, and may fail in complex ocean current conditions, it demonstrates higher robustness, computational precision, and greater practical engineering value compared to traditional SINS/TM/GNSS integrated navigation systems.
The current estimation method used in this paper is a commonly employed and relatively simple approach. It can only estimate steady or slowly varying currents. If the current changes too rapidly, larger estimation errors will lead to significant positioning errors. Therefore, in practical applications, if the AUV detects a sudden increase in positioning error, it should switch to a TM-based integrated navigation method without current estimation, or purely inertial navigation, and quickly surface to use GNSS for position correction. However, the majority of ocean or lake currents are slowly varying, and rapidly changing currents are not widely or persistently present. Therefore, the proposed method has high practical value. Additionally, by incorporating more complex, advanced current estimation methods, this algorithm could be further improved to adapt to fast-changing currents, resulting in a more advanced navigation solution.

5. Conclusions

A SINS/TM-based integrated navigation algorithm that considers water current is proposed to address the shortcomings of poor concealment, large size, high power consumption, and high cost of the AUV’s traditional integrated navigation system. The effects of the water current and Δ V on the integrated navigation accuracy are analyzed. And the real-time SINS/TM-based integrated navigation system is proposed based on a velocity-matching method. The lake tests show that endpoint positioning error of the proposed algorithm is 80.5 m for a voyage distance of 9.823 km (the positioning error rate is 0.82% × D), while that of the conventional algorithm is 2499.8 m for the same voyage distance the (positioning error rate is 25.45% × D). The maximum estimation error of eastward (northward) current speed is less than 0.045 m/s (0.031 m/s). Moreover, the algorithm can effectively discriminate and replace the outliers from the TM. Compared with the traditional algorithm, this algorithm has the advantages of high accuracy, strong anti-interference ability, and high engineering applicability. The accuracy of this method is lower than that of the SINS/DVL combination algorithm, but the stealth, size, power consumption, and cost of the TM-based navigation system are all significantly improved. Therefore, the present algorithm can be used as an effective low-cost navigation method of an AUV.
To further discuss the versatility and engineering application value of the proposed method, this paper provides a detailed discussion of the broader AUV applications of the proposed algorithm and its scalability in Table 8 above.
The proposed method is a low-cost navigation approach, but it has certain limitations in terms of accuracy and applicability compared to SINS/DVL/GNSS methods. When the water current changes are too complex, the AUV maneuvers frequently, or the TM fails, the positioning error of this method will increase dramatically. In such cases, the proposed navigation method should be abandoned in favor of other methods. To improve accuracy, it is recommended that the AUV operate in relatively familiar waters and minimize sharp turns or other maneuvers during navigation. In the future, introducing more advanced current estimation methods and sophisticated TM self-check algorithms could further enhance the accuracy, robustness, and engineering application value of this approach.

Author Contributions

Investigation, H.Z., Y.C. and S.Z.; methodology, H.Z., Y.C. and J.Y.; validation, H.Z., Y.C., J.Y., W.M., S.Z., D.J. and L.X.; supervision, S.Z., D.J. and L.X.; project administration, H.Z., W.M. and L.X.; writing—original draft, H.Z; writing—review and editing, L.X. All authors have read and agreed to the published version of the manuscript.

Funding

This work was supported by the Guangdong marine economic development project (No.GDNRC2023-47), and Guangdong Basic and Applied Basic Research Foundation (Grant No. 2022A1515110891).

Institutional Review Board Statement

Not applicable.

Informed Consent Statement

Not applicable.

Data Availability Statement

Data is contained within the article.

Acknowledgments

This work was supported by National Key Research and Development Plan (2021YFC2800701), National Natural Science Foundation of China (42227901), Innovation Group Project of Southern Marine Science and Engineering Guangdong Laboratory (Zhuhai) (311020011), and Key-Area Research and Development Program of Guangdong Province (2020B1111010004).

Conflicts of Interest

The authors declare that they have no known competing financial interests or personal relationships that could have appeared to influence the work reported in this paper.

References

  1. Dinc, M.; Hajiyev, C. Integration of navigation systems for autonomous underwater vehicles. J. Mar. Eng. Technol. 2015, 14, 32–43. [Google Scholar] [CrossRef]
  2. Bao, J.; Lia, D.; Qiao, X. Thomas Rauschenbach, Integrated navigation for autonomous underwater vehicles in aquaculture: A review. Inf. Process. Agric. 2020, 7, 139–151. [Google Scholar]
  3. Song, J.; Li, W.; Zhu, X.; Dai, Z.; Ran, C. Underwater Adaptive Height-Constraint Algorithm Based on SINS/LBL Tightly Coupled. IEEE Trans. Instrum. Meas. 2022, 71, 1–9. [Google Scholar] [CrossRef]
  4. Hegrenæs, Ø.; Berglund, E. Doppler water track aided inertial navigation for autonomous underwater vehicle. In Proceedings of the OCEANS 2009-EUROPE, Bremen, Germany, 11–14 May 2009; pp. 1–10. [Google Scholar]
  5. Ånonsen, K.B.; Mandt, M. Water Referenced Doppler Velocity Aiding for AUV Navigation. In Proceedings of the OCEANS 2022, Hampton Roads, VA, USA, 17–20 October 2022; pp. 1–8. [Google Scholar]
  6. Ben, Y.; Zang, X.; Li, Q.; Chang, D. INS/WT-DVL Integrated Navigation Algorithm Based on Improved Expected-Mode Augmentation for Underwater Vehicles. IEEE Trans. Instrum. Meas. 2023, 72, 1–11. [Google Scholar] [CrossRef]
  7. Zhu, J.; Li, A.; Qin, F.; Chang, L.; Qian, L. A Hybrid Method for Dealing with DVL Faults of SINS/DVL Integrated Navigation System. IEEE Sens. J. 2022, 22, 15844–15854. [Google Scholar] [CrossRef]
  8. Yao, Y.; Xu, X.; Li, Y.; Zhang, T. A Hybrid IMM Based INS/DVL Integration Solution for Underwater Vehicles. IEEE Trans. Veh. Technol. 2019, 68, 5459–5470. [Google Scholar] [CrossRef]
  9. Hegrenæs, Ø.; Ramstad, A.; Pedersen, T.; Velasco, D. Validation of a new generation DVL for underwater vehicle navigation. In Proceedings of the 2016 IEEE/OES Autonomous Underwater Vehicles (AUV), Tokyo, Japan, 6–9 November 2016; pp. 342–348. [Google Scholar]
  10. Liu, S.; Zhang, T.; Zhang, J.; Zhu, Y. A New Coupled Method of SINS/DVL Integrated Navigation Based on Improved Dual Adaptive Factors. IEEE Trans. Instrum. Meas. 2021, 70, 1–11. [Google Scholar] [CrossRef]
  11. Yao, Y.; Xu, X.; Hou, L.; Deng, K.; Xu, X. A Simple and Precise Correction Method for DVL Measurements Under the Dynamic Environment. IEEE Trans. Veh. Technol. 2020, 69, 10750–10758. [Google Scholar] [CrossRef]
  12. Liu, P.; Wang, B.; Deng, Z.; Fu, M. A Correction Method for DVL Measurement Errors by Attitude Dynamics. IEEE Sens. J. 2017, 17, 4628–4638. [Google Scholar] [CrossRef]
  13. Xu, B.; Guo, Y.; Hu, J. An Improved Robust Kalman Filter for SINS/DVL Tightly Integrated Navigation System. IEEE Trans. Instrum. Meas. 2021, 70, 1–15. [Google Scholar] [CrossRef]
  14. Yoo, T.; Kim, M.; Yoon, S.; Kim, D. Performance Enhancement for Conventional Tightly Coupled INS/DVL Navigation System Using Regeneration of Partial DVL Measurements. J. Sens. 2020, 5324349. [Google Scholar] [CrossRef]
  15. Yao, Y.; Zhong, M.; Xu, X. DVL Aided SINS Coarse Alignment Solution with High Dynamics. IEEE Access 2020, 8, 169922–169929. [Google Scholar] [CrossRef]
  16. Chen, P.; Li, Y.; Su, Y.; Chen, X.; Jiang, Y. Review of AUV Underwater Terrain Matching Navigation. J. Navig. 2015, 68, 1155–1172. [Google Scholar] [CrossRef]
  17. Hegrenæs, Ø.; Berglund, E.; Hallingstad, O. Model-Aided Inertial Navigation for Underwater Vehicles. In Proceedings of the IEEE International Conference on Robotics and Automation, Pasadena, CA, USA, 19–23 May 2008; pp. 1–8. [Google Scholar]
  18. Cha, J.; Ju, H.; Park, C.G.; Yoo, K.; Park, C. Integration of Inertial Navigation System with EM-log Using H-infinity Filter. E3S Web Conf. 2019, 94, 01013. [Google Scholar] [CrossRef]
  19. Vaisgant, I.B.; Litvinenko, Y.A.; Tupysev, V.A. Verification of EM Log Data in Marine Inertial Navigation System Correction. Gyroscopy Navig. 2011, 2, 34–38. [Google Scholar] [CrossRef]
  20. Dmitriev, S.P.; Zinenko, V.M.; Litvinenko, Y.A. Correction and Damping of Medium Accuracy INS Using Electromagnetic Log. Gyroscopy Navig. 2012, 3, 270–274. [Google Scholar] [CrossRef]
  21. Meurer, C.; Fuentes-Pérez, J.F.; Palomeras, N.; Carreras, M.; Kruusmaa, M. Differential Pressure Sensor Speedometer for Autonomous Underwater Vehicle Velocity Estimation. IEEE J. Ocean. Eng. 2020, 45, 946–978. [Google Scholar] [CrossRef]
  22. Meurer, C.; Fuentes-Pérez, J.F.; Schwarzwälder, K.; Ludvigsen, M.; Sørensen, A.J.; Kruusmaa, M. 2D Estimation of Velocity Relative to Water and Tidal Currents Based on Differential Pressure for Autonomous Underwater Vehicles. IEEE Robot. Autom. Lett. 2020, 5, 3444–3451. [Google Scholar] [CrossRef]
  23. Iwata, K.; Saiki, S.; Ota, Y.; Kitora, M.; Asano, A. A Calculation Method for Train Lengths by Detecting Line Feature Points Combined with Inertial Sensors and Tachometer Generators; IEICE Technical Report, IEICE-DC2016-70; IEICE: Tokyo, Japan, 2016. (In Japanese) [Google Scholar]
  24. Taniguchi, S.; Iwata, K.; Ota, Y.; Kitora, M.; Asano, A. Basic Study on Vertical Curve Detection Method Combined with Use of Inertial Sensors and Tachometer Generators for Correction of Train Position; IEICE Technical Report, IEICE-DC2017-68; IEICE: Tokyo, Japan, 2017. (In Japanese) [Google Scholar]
  25. Kitano, T.; Ota, Y.; Taniguchi, S.; Iwata, K.; Saiki, S.; Kitora, M.; Asano, A. On-board Train Positioning and Train Integrity Management System by Combination of Tachometer Generators and Inertial Sensors. QR RTRI 2020, 6, 114–119. [Google Scholar] [CrossRef]
  26. Wang, Z.; Liu, X.; Wu, X.; Sheng, G.; Huang, Y. A virtual velocity-based integrated navigation method for strapdown inertial navigation system and Doppler velocity log coupled with unKnown current. Rev. Sci. Instrum. 2022, 93, 065112. [Google Scholar] [CrossRef]
  27. Yao, Y.; Xu, X.; Xu, X.; Zhang, T. A Staggered Grid Based Water Current Aided SINS/DVL Integration Solution for Mid Water Navigation. IEEE Sens. J. 2022, 22, 13136–13143. [Google Scholar] [CrossRef]
  28. Feng, H.; Yu, J.; Huang, Y.; Qiao, J.; Wang, Z.; Liu, K. A novel navigation method for autonomous underwater vehicle in the middle water column. In Proceedings of the Global Oceans 2020: Singapore–U.S. Gulf Coast, Biloxi, MS, USA, 5–30 October 2020; pp. 1–6. [Google Scholar]
  29. Medagoda, L.; James; Kinsey, C.; Eilders, M. Autonomous Underwater Vehicle localization in a spatiotemporally varying water current field. In Proceedings of the 2015 IEEE International Conference on Robotics and Automation, Seattle, WA, USA, 26–30 May 2015; pp. 565–572. [Google Scholar]
  30. Liu, P.; Wang, B.; Li, G.; Hou, D.; Zhu, Z.; Wang, Z. SINS/DVL Integrated Navigation Method with Current Compensation Using RBF Neural Network. IEEE Sens. J. 2022, 22, 14366. [Google Scholar] [CrossRef]
  31. Morgado, M.; Batista, P.; Oliveira, P.; Silvestre, C. Position USBL/DVL sensor-based navigation filter in the presence of unKnown water currents. Automatica 2011, 47, 2604–2614. [Google Scholar] [CrossRef]
  32. Kim, J. Cooperative localization and unknown currents estimation using multiple autonomous underwater vehicles. IEEE Robot. Autom. Lett. 2020, 5, 2365–2371. [Google Scholar] [CrossRef]
  33. Hegrenaes, O.; Hallingstad, O. Model-aided INS with sea current estimation for robust underwater navigation. IEEE J. Ocean. Eng. 2011, 36, 316–337. [Google Scholar] [CrossRef]
  34. Song, Z.; Mohseni, K. Long-Term Inertial Navigation Aided by Dynamics of Flow Field Features. IEEE J. Ocean. Eng. 2018, 43, 940–954. [Google Scholar] [CrossRef]
  35. Casarrubias-Vargas, H.; Petrilli-Barceló, A.; Bayro-Corrochano, E. EKF-SLAM and Machine Learning Techniques for Visual Robot Navigation. In Proceedings of the 20th International Conference on Pattern Recognition, Istanbul, Turkey, 23–26 August 2010; IEEE: Piscataway, NJ, USA, 2010. [Google Scholar]
  36. Song, X.; Fang, H.; Jiao, X.; Wang, Y. Autonomous mobile robot navigation using machine learning. In Proceedings of the IEEE 6th International Conference on Information and Automation for Sustainability, Beijing, China, 27–29 September 2012; IEEE: Piscataway, NJ, USA, 2012. [Google Scholar]
  37. Demidova, K.; Logichev, M.; Zhilenkova, E.; Dang, B. Autonomous Navigation Algorithms Based on Cognitive Technologies and Machine Learning. In Proceedings of the IEEE Conference of Russian Young Researchers in Electrical and Electronic Engineering (EIConRus), St. Petersburg and Moscow, Russia, 27–30 January 2020; IEEE: Piscataway, NJ, USA, 2020. [Google Scholar]
  38. Grekov, A.N.; Kabanov, A.A. Machine Learning Boosting Algorithms for Determining Euler Angles in an Inertial Navigation System. In Proceedings of the International Russian Automation Conference (RusAutoCon), Sochi, Russia, 4–10 September 2022; IEEE: Piscataway, NJ, USA, 2022. [Google Scholar]
  39. Jin, Y. A Machine Learning Approach for Dead-Reckoning Navigation at Sea Using a Single Accelerometer Roee Diamant. IEEE J. Ocean. Eng. 2014, 39, 4. [Google Scholar]
  40. Belge, E.; Cantekin, R.F.; Erol, B.; Akgül, V.; Kartal, S.K.; Hacioğlu, R.; Görmüş, S.K.; Kutoğlu, S.H.; Leblebicioğlu, K. Sensor Fusion Based on Integrated Navigation Data of Sea Surface Vehicle with Machine Learning Method Egemen Belge. In Proceedings of the International Conference on INnovations in Intelligent SysTems and Applications (INISTA), Kocaeli, Turkey, 25–27 August 2021; IEEE: Piscataway, NJ, USA, 2021. [Google Scholar]
Figure 1. Physical photo of the contra-rotating propellers.
Figure 1. Physical photo of the contra-rotating propellers.
Jmse 13 00303 g001
Figure 2. Three-dimensional graph of the main contra-rotating propulsion motor.
Figure 2. Three-dimensional graph of the main contra-rotating propulsion motor.
Jmse 13 00303 g002
Figure 3. Flowchart of the proposed algorithm.
Figure 3. Flowchart of the proposed algorithm.
Jmse 13 00303 g003
Figure 4. Physical photo of the AUV (the GNSS antenna and supporting rod are not installed).
Figure 4. Physical photo of the AUV (the GNSS antenna and supporting rod are not installed).
Jmse 13 00303 g004
Figure 5. Internal layout diagram of the AUV.
Figure 5. Internal layout diagram of the AUV.
Jmse 13 00303 g005
Figure 6. Appearance diagram of the AUV.
Figure 6. Appearance diagram of the AUV.
Jmse 13 00303 g006
Figure 7. Images of the INS. (a) Physical photo. (b) Internal construction.
Figure 7. Images of the INS. (a) Physical photo. (b) Internal construction.
Jmse 13 00303 g007
Figure 8. Photographs of the AUV voyaging on surface. (a) The photograph taken from the rear perspective. (b) The photograph taken from the side perspective.
Figure 8. Photographs of the AUV voyaging on surface. (a) The photograph taken from the rear perspective. (b) The photograph taken from the side perspective.
Jmse 13 00303 g008
Figure 9. Schematic diagram of the AUV travelling underwater.
Figure 9. Schematic diagram of the AUV travelling underwater.
Jmse 13 00303 g009
Figure 10. Pontoon-ship and its supporting equipment.
Figure 10. Pontoon-ship and its supporting equipment.
Jmse 13 00303 g010
Figure 11. Velocity curves. (a) Curve of V versus n and sampling points of v D P S S . (b) Fitted curve of the velocity error Δ V and sampling points of Δ V = v D P S S V . (c) Sampling points of v D P S S and curve of v T M versus n. (d) One sampling point (3.11 m/s, 6.05 kn) of the v D P S S curve versus time t. (e) Lateral and upward speeds for four groups of parameters of the rudder’s swaying movement. (f) Longitudinal velocities for four groups of parameters of the rudder’s swaying movement.
Figure 11. Velocity curves. (a) Curve of V versus n and sampling points of v D P S S . (b) Fitted curve of the velocity error Δ V and sampling points of Δ V = v D P S S V . (c) Sampling points of v D P S S and curve of v T M versus n. (d) One sampling point (3.11 m/s, 6.05 kn) of the v D P S S curve versus time t. (e) Lateral and upward speeds for four groups of parameters of the rudder’s swaying movement. (f) Longitudinal velocities for four groups of parameters of the rudder’s swaying movement.
Jmse 13 00303 g011aJmse 13 00303 g011bJmse 13 00303 g011c
Figure 12. Data from the voyage trial in a lake. (a) Voyage trajectory. (b) Outputs from three gyros. (c) Outputs from x-axis and z-axis accelerometers. (d) Output from the y-axis accelerometer. (e) AUV’s heading angle. (f) AUV’s pitch and roll angles.
Figure 12. Data from the voyage trial in a lake. (a) Voyage trajectory. (b) Outputs from three gyros. (c) Outputs from x-axis and z-axis accelerometers. (d) Output from the y-axis accelerometer. (e) AUV’s heading angle. (f) AUV’s pitch and roll angles.
Jmse 13 00303 g012aJmse 13 00303 g012b
Figure 13. Graphs of the positioning errors of the proposed and conventional algorithms and graph of the TM’s output. (a) Eastward, northward and total positioning errors of the conventional algorithm. (b) Errors of the proposed algorithm. (c) Positioning error rate of the conventional algorithm. (d) Positioning error rate of the proposed algorithm. (e) TM’s output of rotational speed around the outlier. The illustration in this figure shows the non-outlier output of the TM, aimed at clearly presenting the performance of the undisturbed data. By comparing these non-outlier data with the overall performance, the impacts on navigation accuracy and system performance can be more intuitively understood.
Figure 13. Graphs of the positioning errors of the proposed and conventional algorithms and graph of the TM’s output. (a) Eastward, northward and total positioning errors of the conventional algorithm. (b) Errors of the proposed algorithm. (c) Positioning error rate of the conventional algorithm. (d) Positioning error rate of the proposed algorithm. (e) TM’s output of rotational speed around the outlier. The illustration in this figure shows the non-outlier output of the TM, aimed at clearly presenting the performance of the undisturbed data. By comparing these non-outlier data with the overall performance, the impacts on navigation accuracy and system performance can be more intuitively understood.
Jmse 13 00303 g013aJmse 13 00303 g013b
Figure 14. Estimated current speed and measurement result from the ADCP.
Figure 14. Estimated current speed and measurement result from the ADCP.
Jmse 13 00303 g014
Table 1. Calculation of the form resistance of the AUV’s main body.
Table 1. Calculation of the form resistance of the AUV’s main body.
No.Calculation ItemsUnitsCalculation Results
1 Cruising   speeds   V kn34 *56789
2 V m/s 1.5432.0582.5723.0863.6014.1154.630
3 Reynolds   number   R n × 10 7 0.9091.2121.5151.8182.1212.4242.727
4 Frictional   resistance   coefficient   C f × 10 3 3.052.902.802.712.642.592.54
5 Frictional   resistance   R f = 0.5 ρ V 2 S C f N4169103144191245304
6 Viscous   pressure   resistance   coefficient   C p v × 10 4 8.188.188.188.188.188.188.18
7 Viscous   pressure   resistance   R p v = 0.5 ρ V 2 S C p v N11193044597798
8 Form   resistance   R o = R f + R p v N5288133188250322402
9 Notes :   L = 7   m ,   ρ = 1025   k g / m 3 ,   S = 10.89   m 2 ,   ν = 1.188 × 1 0 6   m 2 / s ,   1 2 ρ S = 5581   k g / m .
* Parameters corresponding to the cruising speed of the AUV.
Table 2. Resistance of wing rudders at various speeds.
Table 2. Resistance of wing rudders at various speeds.
Cruising SpeedsResistance of Wing Rudder
knN
33
4 *5
56
610
714
818
923
* Parameters corresponding to the cruising speed of the AUV.
Table 3. Resistance of other appendages at various speeds.
Table 3. Resistance of other appendages at various speeds.
Cruising Speeds Resistance   of   Other   Appendages   R a = 0.5 ρ V 2 S Δ C A R
knN
35
4 *10
515
622
729
838
949
* Indicating the cruising speed of the AUV and related parameters.
Table 4. Resistance of the groove tube at various speeds.
Table 4. Resistance of the groove tube at various speeds.
Cruising SpeedsResistance of Three Ducted Propellers
knN
36
4 *9
515
621
730
839
948
* Indicating the cruising speed of the AUV and related parameters.
Table 5. Total resistance of the AUV.
Table 5. Total resistance of the AUV.
Cruising Speeds V Total   Resistance   R t = R o + R y d + R a + R c g
knN
366
4 *112
5170
6241
7323
8417
9522
* Indicating the cruising speed of the AUV and related parameters.
Table 6. Results of all kinds of powers in the AUV.
Table 6. Results of all kinds of powers in the AUV.
No.Calculation ItemsUnitsCalculation Results
1 Cruising   speeds   V kn34 *56789
2 Total   resistance   of   vehicle R t N 61112170241323417522
3 Effective   power P E = R t V W94231437744113617162417
4 Required   motor   output   power   P M = 1.52 P E W1433516641131176826083674
5 Required   input   power   for   propulsion   P i n = 1.176 P M W1684137811330207930674320
* Indicating the cruising speed of the AUV and related parameters.
Table 7. Results of n , v D P S S , Δ V , and the compensated velocity v T M .
Table 7. Results of n , v D P S S , Δ V , and the compensated velocity v T M .
No.ItemsUnitsResults
1Rotational speeds output by the TM (n)r/s0.422.186.0812.4721.0533.4049.1467.3790.65
2 Velocities   measured   by   the   DPSS   ( v D P S S )m/s0.541.041.572.102.593.113.634.124.63
3 Velocity   errors   ( Δ V )m/s0.110.15−0.20−0.24−0.26−0.34−0.33−0.34−0.37
4 Compensated   velocities   ( v T M )m/s0.541.061.562.102.643.083.634.124.63
Table 8. Test results of all kinds of AUVs in different experimental scenarios.
Table 8. Test results of all kinds of AUVs in different experimental scenarios.
No.AUV Core ParametersTest
Scenario
Wave and Wind
Conditions
Total Voyage (km)Number of Turns During the VoyageEnd Point Error (m)Average Error for the Entire Voyage (m)Maximum Ocean Current Estimation Error (m/s)
1Diameter
230 mm × 1600 mm;
Weight (in air) ≤ 50 kg
LakeAlmost no waves12.3582117.398.70.032
2Diameter
324 mm × 4000 mm; Weight (in air) ≤ 170 kg
LakeWave height about 0~0.02 m11.6233132.8103.40.027
3 (Experiment de-tailed in this paper) *Diameter
533 mm × 7000 mm;
Weight (in air) ≤ 220 kg
(shown in Figure 4)
LakeWave height about 0~0.03 m9.823180.556.80.055
4Diameter
533 mm × 7000 mm; Weight (in air) ≤ 220 kg (shown in Figure 4)
OffshoreWave height about 0~0.11 m12.0591127.3109.60.072
5Diameter
1000 mm × 9000 mm; Weight (in air) ≤ 1500 kg
Offshore
and
open sea
Wave height about 0~0.15 m9.8872157.9126.50.097
* Key experimental parameters.
Disclaimer/Publisher’s Note: The statements, opinions and data contained in all publications are solely those of the individual author(s) and contributor(s) and not of MDPI and/or the editor(s). MDPI and/or the editor(s) disclaim responsibility for any injury to people or property resulting from any ideas, methods, instructions or products referred to in the content.

Share and Cite

MDPI and ACS Style

Zhang, H.; Cai, Y.; Yue, J.; Mu, W.; Zhou, S.; Jin, D.; Xu, L. Integrated Navigation Algorithm for Autonomous Underwater Vehicle Based on Linear Kalman Filter, Thrust Model, and Propeller Tachometer. J. Mar. Sci. Eng. 2025, 13, 303. https://doi.org/10.3390/jmse13020303

AMA Style

Zhang H, Cai Y, Yue J, Mu W, Zhou S, Jin D, Xu L. Integrated Navigation Algorithm for Autonomous Underwater Vehicle Based on Linear Kalman Filter, Thrust Model, and Propeller Tachometer. Journal of Marine Science and Engineering. 2025; 13(2):303. https://doi.org/10.3390/jmse13020303

Chicago/Turabian Style

Zhang, Haosu, Yueying Cai, Jin Yue, Wei Mu, Shiyin Zhou, Defei Jin, and Lingji Xu. 2025. "Integrated Navigation Algorithm for Autonomous Underwater Vehicle Based on Linear Kalman Filter, Thrust Model, and Propeller Tachometer" Journal of Marine Science and Engineering 13, no. 2: 303. https://doi.org/10.3390/jmse13020303

APA Style

Zhang, H., Cai, Y., Yue, J., Mu, W., Zhou, S., Jin, D., & Xu, L. (2025). Integrated Navigation Algorithm for Autonomous Underwater Vehicle Based on Linear Kalman Filter, Thrust Model, and Propeller Tachometer. Journal of Marine Science and Engineering, 13(2), 303. https://doi.org/10.3390/jmse13020303

Note that from the first issue of 2016, this journal uses article numbers instead of page numbers. See further details here.

Article Metrics

Back to TopTop