Abstract
Santa María Bay–La Reforma (SMBLR), with its 58,300 ha is one of Mexico’s most extensive estuarine lagoon systems. It is made up of islands, estuaries, and mangrove areas, which provide a vital part of the habitat and refuge of a significant number of birds, fish, amphibians, reptiles, and mammals. The fishing of blue and brown shrimp, marine and estuarine fish, as well as the exploitation of crab and bivalve mollusks, represent an important economic value for the communities that live there and for the state of Sinaloa, Mexico. This state ranked second in fisheries production and first in aquaculture production by 2023. However, the biological richness of this ecosystem has historically been threatened by economic activities such as agriculture, livestock, and aquaculture that, via watersheds, translate into continuous inputs of nutrients and other pollutants. This has led to modifications to the system such as changes in the structure of pelagic and benthic communities, mainly in response to eutrophication. To understand the dynamics of nutrient inputs to the ecosystem, this work presents a comparative analysis of the system’s carrying capacity and the magnitude of the main economic activities from 2007 to 2019. We found that during each season of the year and its transitions, the system functions as a nitrogen and phosphorus sink, which is associated with autotrophic net ecosystem metabolism and nitrogen fixation processes. We suggest that while water residence times in SMBLR are short, these are strongly influenced by the high volumes of water and nutrient loads determined by the spatio-temporal variations in hydrological drainage from the basins of influence of the system. The discharge of agriculture and aquaculture drains into SMBLR are areas of concern due to the high amount of nutrients. Although SMBLR is mostly an autotrophic system, there are signs that the carrying capacity during some seasons has been exceeded, and adverse ecological and socioeconomic effects in the basin are evident.
1. Introduction
Coastal lagoons are ecosystems recognized for their high biological productivity; they serve as habitats for numerous estuarine and marine species while providing material resources and varied ecosystem services of high economic value [1]. However, these ecosystems are subject to constant anthropogenic pressure related to the activities around them, such as fishing, tourism, industry, agriculture, and aquaculture [2]. Despite its economic importance, human activities have accelerated the flow of nutrients in coastal ecosystems due to the discharge of treated and untreated wastewater rich in nitrogen (N) and phosphorus (P) derived from fertilizers [3,4].
The discharge of wastewater in coastal ecosystems with high concentrations of nutrients is one of the main environmental problems since it leads to excessive growth of primary producers and alters the balance between the production and respiration of organic matter. In turn, this causes changes in hydrology, biogeochemistry, and net ecosystem metabolism (NEM) that disturb their ecological state, biodiversity, and socioeconomic services [5,6,7]. The relationship between the nutrient load and the net productivity of the ecosystem is complex and will depend on which nutrient is the limiting one, together with the water exchange capacity of the receiving ecosystem [8].
Coastal lagoons provide essential environmental, ecological, and economic services [9]. However, population growth and climate change threaten these ecosystems, highlighting the need to evaluate their environmental carrying capacity for sustainable management [10,11]. Environmental carrying capacity is an important research area that focuses on the economic development of the population and the protection of resources and the environment. The methods used for its evaluation can be descriptive, considering the development and restriction variables to propose planning strategies for a region [12].
Establishing effective methods to evaluate the carrying capacity of complex, transitional coastal ecosystems is challenging. Factors like hydrology, trophic state, and geomorphology influence the fish and invertebrate communities. Their fishing performance is linked to lagoon–basin interactions, including rainfall and the surrounding wetland, with salinity being less significant than ocean exchange gradients. This work aims to apply models for assessing historical trophic conditions and socioeconomic development while determining the necessary environmental carrying capacity for a sustainable development plan that benefits both the ecosystem and its dependent populations.
Biogeochemical mass balance models such as the LOICZ (Land-Ocean Interactions in the Coastal Zone) are a helpful tool that allows us to evaluate the loads, flows, and destination of nutrients, the residence time of the water, as well as the NEM [13,14,15]. The LOIZC biogeochemical model has been successfully applied in coastal lagoons, where it has shown information about the responses of the ecosystem to the contribution of nutrients of anthropogenic origin, as well as in environmental management to prevent the effects of eutrophication [16,17,18,19].
Studies on the response of environmental carrying capacity due to socioeconomic and environmental changes are relevant due to their importance in the sustainable development of coastal areas. Therefore, it is important to use models that analyze socioeconomic information, changes in population, development activities, and local regulations while considering the interest of people, academic and government institutions to propose management plans for a sustainable future of the coastal community [20,21].
2. Materials and Methods
2.1. Study Area
SMBLR is the largest estuarine lagoon system in Sinaloa, Mexico, covering 531.40 km2 at coordinates 25°17′00”–24°42′00” N and 108°25′00”–107°57′00” W. It includes the Laguna Playa Colorada–Santa María La Reforma Ramsar Site (2 February 2004) of approximately 530 km2 [22] and features 217.28 km2 of mangroves [23]. The total surface area of the micro-basins that discharge water to the lagoon system is 6137 km2, distributed in 1267, 823, 1231, 474, 1530 and 812 km2 for Corrientes Huyaqui Group, Corrientes Reforma Group, and Pericos 2 River, Pericos 1 River, Rio Mocorito 1 River, Mocorito 2 River sub-basins, respectively (Figure 1).
Figure 1.
Geographical location and percentage contribution of municipal land cover of sub-basins draining to SMBLR (Angostura: An, Badiraguato: Ba, Mocorito: Mo, Navolato: Na, Guasave: Gu, Salvador Alvarado: Sa and Sinaloa: Si).
2.2. Analysis Strategy
For the carrying capacity calculations, we utilized data reported by [24]. A total of forty-one sampling sites were established within the lagoon system, along with three sites in the adjacent sea, three sites near the mouths of drains, and thirteen sites within the drains that flow into the SMBLR. Sampling points were randomly selected to ensure a heterogeneous sample collection. Sampling campaigns were conducted during each climatic season: rainy (September 2020), rainy–dry transition (November 2020), dry (February 2021), and dry–rainy transition (May 2021). At each sampling site, we recorded temperature, salinity, dissolved oxygen concentration, and the percentage saturation of dissolved oxygen using a YSI Professional Plus multiparameter probe. Additionally, a subsurface water sample was collected in a 1-liter polyethylene container and kept in a chiller at approximately 4 °C. These samples were then transported to the laboratory, where the concentrations of N-NO2, N-NO3, N-NH4, P-PO4, and chlorophyll were determined using spectrophotometric techniques based on the methods outlined by [25]. The absorbance of the samples was measured using an Agilent Technologies spectrophotometer, model G1103A-8453.
A comparative analysis of nutrient inputs and the trophic state of the SMBLR coastal ecosystem was conducted, focusing on key economic activities: agriculture, livestock, and aquaculture. The analysis used hydrological criteria to differentiate three influence zones: northern (Corrientes Huyaqui Group sub-basin), central (Mocorito 1 and 2 River sub-basins), and southern (Corrientes Reforma Group, Pericos 1 and 2 River sub-basins) (Figure 1).
This work reviews multiple hydrological, hydrodynamic, water quality, and carrying capacity studies conducted over the last 20 years [26,27,28,29] and examines the socioeconomic activities in SMBLR during that time. The findings were analyzed alongside modeling efforts to identify trends in eutrophication, changes in water quality, and carrying capacity evaluation. This analysis aims to propose a sustainable management strategy for economic activities in SMBLR ([27,30]).
2.3. Carrying Capacity
2.3.1. Historical Evaluation
A bibliographic review identified four documents detailing the load capacity of the SMBLR from 2003 to 2014 [26,27,28,29]. This, along with the carrying capacity evaluation conducted in this work (2020–2021) using data [24] spans nearly two decades of observations on this coastal system.
2.3.2. Present Day Evaluation
The SMBLR’s carrying capacity was determined using the LOICZ biogeochemical model [13], which assesses hydraulic balance, water renewal time, nutrient flow, and NEM. The LOICZ operates on the assumption that materials exist in a steady state. This means that any discrepancies between the materials exported and imported (Σ [outputs—inputs]) result from the internal processes of the system (Σ [production—consumption]). A key aspect of the model is that through water and salt balances, the volume of the mixture can be determined. This model was applied to evaluate load capacity across four seasons: rainy (September 2020), transition rainy–dry (November 2020), dry (February 2021), and transition dry–rainy (May 2021).
Precipitation and evaporation data were gathered from the El Playón meteorological station (CONAGUA-25030, 25°13′19.92” N, 108°11′25.08” W, adjacent to SMBLR) to estimate water balances. Wastewater discharged by the collectors of the agricultural drains of the Río Fuerte Hydrological Subregion in the hydrological region number 10, Sinaloa, was obtained proportionally according to the area occupied by each sub-basin [30].
2.4. Sub-Basin Economic Activities
A comparative analysis was performed on the economic activities and demographics of sub-basins affecting SMBLR, utilizing data from Mexico’s [31] and the Hydrographic Network of Mexico from [32]. The land cover contributions for each municipality influencing SMBLR were calculated, as illustrated in Figure 1.
We used the SIAP agricultural database [33] to collect data on the area planted with corn and sorghum during the spring–summer and autumn–winter cycles for 2007, 2014, and 2019 in the sub-basins of Guasave, Salvador Alvarado, Angostura, Mocorito, Badiraguato, and Navolato. Livestock data for the same years and municipalities was obtained from [34]. Shrimp aquaculture data came from [35] for Guasave Sur, Angostura, and Navolato Norte. Population estimates for each sub-basin were sourced from [36] for 2005, 2010, and 2020.
Based on this information, we established the contribution percentages of each municipality within the identified sub-basins. The distribution of economic activities was estimated for each runoff zone of the SMBLR system, where the primary drains to the system are in the northern and southern sections of the lagoon system (Figure 1).
2.5. Loading Nutrients, Trophic State, and Residence Time: Hydrodynamic Model Evaluation
The main surface runoff in the lagoon system occurs in both the northern and southern parts, with agricultural contributions in the north draining into the “Without name River” and Mocorito River, while the south drains into the Tule River (see Figure 1). Using TRIX values from SMBLR [37], we categorized and compared the trophic state of the northern, central, and southern zones of SMBLR during the 2020 rainy period, 2020 rainy–dry season, 2021 dry season, and the 2021 dry–rainy season.
To explain the trophic concentrations and residence times of discharged waters in the three zones, we implemented the hydrodynamic model by [38] and Crank’s advection-diffusion equation [39,40] in SMBLR. The hydrodynamic model is non-linear and is implemented using a finite difference scheme on an Arakawa C grid, with grid spacings of Δx = Δy = 100 m. The momentum and continuity equations are integrated vertically and solved semi-implicitly with a time step of Δt = 21.83 s. The bathymetric matrix, which defines the computational domain, consists of 765 rows and 249 columns, resulting in 58,569 wet points and an average depth of 3.25 m.
The advection-diffusion equation by [39] describes the change in a passive pollutant over time and space. The velocity vector field , resulting from the hydrodynamic model, is used in this equation (Equation (1)). It is worth noting that using this equation with TRIX values is an approximation, as trophic concentrations are not conservative.
where C represents the concentration of a passive pollutant, t is time, is the velocity vector, is the horizontal gradient operator, is the Laplacian operator, and k is the turbulent diffusion coefficient. The first term in the equation represents the change in pollutant concentration over time. The second term accounts for the dispersion of the pollutant resulting from the velocity field (advective terms). Finally, the term following the equal sign represents the dispersion of the pollutant due to molecular diffusion. It is important to note that one limitation of the hydrodynamic model, given its spatial and temporal resolution, is that it becomes unstable for nodes with depths less than 60 cm. Therefore, once the numerical domain is defined, the wet points remain fixed and cannot be altered. Additionally, the advection–diffusion equation only accounts for a passive pollutant. In this work, residence time is defined as “the time necessary for a parcel of water to exit the domain of interest” [41].
Validation of the hydrodynamic model involved comparing model results with in situ measurements of sea surface velocity and elevation in SMBLR [38]. The hydrodynamic model was forced with tides at the lagoon system mouths based on sampling dates: September 2020 (2 days before neap tides), November 2020 (1 day after spring tides), February 2021 (3 days before neap tides), and May 2021 (in spring tides).
Fourteen control points (CP) were established at the SMBLR mouths and six interior points (IP) to assess residence time, where passive pollutants continuously emanated based on TRIX concentration [37] (Figure 2a). The pollutant began to emanate from each IP after 12 h of simulations, reaching hydrodynamic stability. The simulation lasted 6 days for IP-3 and 3 days for the others. The IPs were located at the mouths of the estuaries based on drain monitoring via Google Earth Pro for Windows (version 7.3).
Figure 2.
The location of the 14 Points Control (PC) in the mouths is indicated with black squares, and the six IPs are indicated with stars. The blue line marks the 3 m isobath (a). Time series of TRIX concentration for IP-2 in September 2020. The arrow indicates the first relative maximum. The vertical line separates the ebb and flow of the tide. Blue side, ebb tide, when the TRIX concentration reaches the mouth. Green side, tidal flow, when “new water” enters the system and the TRIX concentration at the mouth decreases (b).
In the 14 borders of CP, the maximum TRIX concentration (MTC) was recorded over time, creating 14 time series (one for each CP) for each IP under four tidal conditions. The residence time was identified by the first relative maximum in the series with the highest concentration (Figure 2b), confirming that the contaminant in SMBLR arrived at one of the mouths.
2.6. Integrative Data Analysis
A qualitative analysis was performed to integrate the study’s findings, specifically examining the socioeconomic changes related to the carrying capacity of the lagoon system. The change rates in economic activities were analyzed by area and sub-basin for the periods 2007–2014 and 2014–2019 using the following formula:
where X1 = variable in time 1 and X2 = variable in time 2.
To accurately align the population figures for each subbasin with the data on economic activities from 2007, 2014, and 2019, it was essential to interpolate the number of inhabitants based on the information from the 2005, 2010, and 2020 economic censuses. This was achieved using the following formula:
where X1 = inhabitants in time 1, X0 = inhabitants in time 0, t0 = time 0, t1 = time 1 and ti = time for interpolation.
3. Results
3.1. Carrying Capacity
3.1.1. Historical Evaluation
The first SMBLR water residence time (Rt) values were reported by [26] as 1.6 days in the rainy season, while [38] recorded 2.2 days. [28] noted 22.5 days in the dry season and 53 days in the rainy season, while [29] indicated a value of 18 days. In this study, Rt was shorter in the dry season (0.2 days) and longer in the dry–rainy season (20 days), with an average of 5.3 days. [26] reported that the SMBLR acted as a nitrogen source at 16.82 mmol m−2 day−1. Similarly, [28] found it was a nitrogen source during both seasons, with transfer rates of 14.36 and 36.91 mmol m−2 day−1, respectively. In this study, the SMBLR functioned as a dissolved inorganic nitrogen (DIN) sink during the rainy season (−120.94 mmol m−2 day−1) and dry–rainy transition (−21.43 mmol m−2 day−1), while acting as a DIN source in rainy–dry transition (1.94 mmol m−2 day−1) and dry season (45.55 mmol m−2 day−1). DIN transfer rates were highest during the rainy season.
Refs. [26,28] found that the lagoon was a source of dissolved inorganic phosphorus (DIP) with transfer rates generally higher than in the current study, except during the rainy season. Throughout most of the study, it acted as a sink, with rates of −5.57 mmol m−2 day−1 during the rainy season, −2.03 mmol m−2 day−1 in the dry season, and −2.72 mmol m−2 day−1 in the dry–rainy transition. It was only a source during the rainy–dry transition (0.14 mmol m−2 day−1), with higher DIP transfer rates in the rainy period.
Ref. [28] observed heterotrophic metabolism (p-r) in both rainy season (−186.08 mmol C m−2 day−1) and dry season (−278.44 mmol C m−2 day−1), averaging −232.26 mmol C m−2 day−1. In SMBLR, the NEM was primarily autotrophic across most periods: rainy (590.5 mmol C m−2 day−1), dry (215.7 mmol C m−2 day−1), and dry–rainy transition (289.17 mmol C m−2 day−1), except for the rainy–dry transition where it was heterotrophic (−1684.6 mmol C m−2 day−1), resulting in an average autotrophic value of 694.72 mmol C m−2 day−1.
The rates of di-nitrogen fixation (N2fix)—denitrification (HD) reported by [26,28] indicate denitrification during the rainy season (−16.07 and −13.72 mmol m−2 day−1, respectively) and a lower rate in the dry season (−5.1 mmol m−2 day−1). In this study, net autotrophic metabolism was associated with nitrogen fixation in the dry (78.11 mmol m−2 day−1) and dry–rainy seasons (22.21 mmol m−2 day−1), while denitrification dominated in the rainy season (−31.81 mmol m−2 day−1). The highest net heterotrophic metabolism in the rainy–dry transition was linked to the highest denitrification rate (−252.34 mmol m−2 day−1).
The average values for import and export rates were 47.46 mmol m2 day−1 for DIN and 2.62 mmol m2 day−1 for DIP, with a residence time of 5.3 days. The net ecosystem metabolism was calculated as 694.99 mmol C m2 day−1, and the nitrogen fixation rate was 95.92 mmol m2 day−1. [26] reported DIN values of 16.82 mmol m2 day−1 and DIP values of 2.05 mmol m2 day−1, with a residence time of 16 days. Their findings also indicated NEM at 92 mmol C m2 day−1 and N2fix-HD at 16.07 mmol m2 day−1. Additionally, [28] found DIN values of 25.63 mmol m2 day−1 and DIP values of 2.19 mmol m2 day−1, with a residence time of 37.5 days. Their results showed NEM at 232.26 mmol C m2 day−1 and N2fix-HD at 9.42 mmol m2 day−1. Overall, the export and import rates, NEM, and N2fix-HD processes reported in this study were higher than those in the previous works.
3.1.2. Present Day Evaluation
Water Residence Time Rt
Water renewal times were shortest during rainy and dry periods, with a minimum of 0.2 days in dry conditions. In dry–rainy periods, renewal time was extended to 20 days, resulting in an average of 5.3 days for lagoon water renewal (Figure 3).
Figure 3.
Water and salt balances in the four seasons (rainy, rainy–dry, dry, and dry–rainy) in the SMBLR lagoon system. The units of water volumes are given in m3 day−1 and salinity in g kg−1. VR values indicate residual volume, VE evaporation, VP rainfall, VW wastewater, VX volume of exchange between the system and ocean, and SA absolute salinity.
Nutrients Fluxes
The DIN fluxes indicate that the lagoon acts as a sink during rainy and dry–rainy periods, with the highest import rates in the rainy season (ΔDIN = −120.94 mmol m−2 day−1). In contrast, it functions as a source in dry and rainy seasons, exhibiting the greatest export of DIN during the dry season (ΔDIN = +45.55 mmol m−2 day−1) (Figure 4).
Figure 4.
DIN and DIP flows were observed in the four study seasons in the SMBLR lagoon system. (+) indicates source, (–) indicates sink. The units of the flows are given in mol day−1 and standardized in mmol m−2 day−1. YANCMAW values indicate the contribution of N and P influenced by agricultural, urban, and shrimp wastewater, while YNCM is the average amount of DIN and DIP between two boundaries. VX is the average quantity between the system and the ocean.
The DIP flows indicated that the lagoon was primarily a sink throughout the study, except during rainy–dry periods when it acted as a source, exporting ΔDIP = +0.14 mmol m−2 day−1. The highest import rate in the rainy season was ΔDIP = −5.57 mmol m−2 day−1 (Figure 4).
Net Ecosystem Metabolism (NEM)
The NEM of the lagoon was autotrophic in the rainy, dry, and dry–rainy seasons, with the highest rates at 590.50 mmol C m−2 day−1 in the rainy season, with an average of 364.7 mmol C m−2 day−1. In contrast, the dry–rainy transition season exhibited heterotrophic metabolism at −1684.60 mmol C m−2 day−1, higher values with almost three orders of magnitude compared to those of the rainy season were presented (Table 1).
Table 1.
Net ecosystem metabolism and fixation–denitrification in the four study periods in SMBLR.
The lagoon showed nitrogen fixation during rainy, dry, and dry–rainy periods, with the highest values in the dry period at +78.11 mmol m−2 day−1 and averaging +44.04 mmol m−2 day−1. In contrast, during dry rains, denitrification occurred at a rate of −252.34 mmol m−2 day−1 (Table 1).
Residence Time
Residence times fluctuated between 1.16 days (IP-6) for May 2021, in spring tides ST condition, and 4.27 days (IP-3) in September 2020, three days before neap tides NT (Table 2). Considering IP-1 and IP-2 are in the southern zone (SZ) and IP-4, IP-5, and IP-6 are located in the northern zone (NZ), the residence times for each of the four tidal conditions in the six IPs were similar, with the times in the SZ being slightly greater between 1.33% and 2.27%.
Table 2.
Residence time (Rt) in days (d) for the six IPs.
Modeling the Concentration of the Pollutant in the Mouths:
The highest concentration of the contaminant (TRIX) in the Yameto mouth and south mouth (SM) emanated from IP-2 for the four tidal conditions, with a maximum of 3.63 × 10−2 in ST and a minimum of 4 × 10−3 in NT. The lowest concentration in the south mouth emanated from IP-1 with values lower by an order of magnitude. Likewise, the highest concentration of the contaminant in the Perihuete mouth, north mouth (NM) emanated from IP-6 in ST, with a concentration of 2.43 × 10−2. The lowest concentrations in both mouths occurred in periods close to NT. The concentration of the contaminant in the NM that emanated from IP-3 was between one and four orders of magnitude lower than the rest of the concentrations (Table 3).
Table 3.
Maximum TRIX concentration (MTC) in the mouths for 3 days of modeling, except for IP-3 which was simulated for 6 days.
3.2. Sub-Basin Economic Activities
The characterization of economic activities in the sub-basins of influence of the system provides a historical perspective of their growth over the past decade. This growth can be both extension and intensification, depending on the nature of the activities, so we carry out this evaluation under the premise that, in both cases, the growth is related to the contributions of organic contamination and nutrients to the lagoon system.
3.2.1. Agriculture Production
From 2007 to 2019, agricultural activity in the southern zone remained stable, increasing from 67,733 to 85,236 ha. In contrast, the northern zone was stable between 2007 and 2014 at about 145,000 ha; however, there was a notable decrease in 2019 [42], with only 92,544 ha remaining (Figure 5).
Figure 5.
Agricultural planted area and yield for (a) the northern zone (Corrientes Huyaqui Group, Mocorito 1 River and Mocorito 2 River sub-basins) and (b) the southern zone (Corrientes Reforma Group, Pericos 1 River and Pericos 2 River sub-basins). ■ Corn crop; ■ Other crops; ▬ Yield.
Then again, when taking the corn crop as a reference as it is the predominant crop in the area, a significant increase in yield expressed t ha−1 metric tons (t) per hectare (ha) is observed in both areas, rising from 9.36 to 11.94-t ha−1 from 2007 to 2019, respectively (27.56% increase). Similarly, for the southern zone, the yield of this crop increased 24.4% (9.41-to-11.714-t ha−1) in the same years.
3.2.2. Livestock Production
In the livestock component, the number of cattle heads remains stable (Figure 6), ranging between 10 and 12 million in the northern zone and consistently at 14 million in the southern zone. However, production saw significant growth: the northern zone increased by 484% from 10,834 to 52,460 t, while the southern zone rose by 357% from 14,205 to 57,752 t from 2007 to 2019.
Figure 6.
Livestock production and performance for (a) the northern zone (Corrientes Huyaqui Group, Mocorito 1 River and Mocorito 2 River sub-basins) and (b) the southern zone (sub-basins: Corrientes Reforma Group, Pericos 1 River and Perico 2 River sub-basins). ■ Livestock production; ▬ Slaughtered animal.
3.2.3. Aquaculture Production
For aquaculture activity (Figure 7), it is again observed that the area for aquaculture in the southern zone is relatively contrasting from 2007 to 2019 (between 4443 and 9474 ha), while the northern zone of 7149 ha increased to 18,398 ha from 2007 to 2019. However, despite having more cultivation area, the yield in the northern zone fluctuated greatly from 2007 to 2019 with values ranging from 0.61 to 1.41-t ha−1, possibly due to diseases that have affected this activity.
Figure 7.
Aquaculture area and performance, for (a) the Northern zone (Guasave Sur board) and (b) the Southern zone (Angostura board). ■ Pond area; ▬ Yield.
Aquaculture activity (Figure 7) shows that the southern zone’s area increased from 4443 to 9474 ha between 2007 and 2019, while the northern zone rose from 7149 to 18,398 ha. Despite the larger cultivation area in the north, yields fluctuated greatly, ranging from 0.61 to 1.41 t ha−1, likely due to disease impacts.
3.2.4. Population
During the 3 years of this study, the number of inhabitants behaved stably in both the northern and southern zones, having an average record of 145,705 inhabitants in the northern zone and 56,053 inhabitants for the southern zone, 2.6 times more inhabitants in the northern zone with respect to the southern zone. It should be noted that in the northern zone, the population of Guamúchil City municipality of Mocorito represents an average of 60.79% of the total population of the northern zone (Figure 8).
Figure 8.
Number of inhabitants, for the northern zone (Corrientes Huyaqui Group, Mocorito 1 River and Mocorito 2 River sub-basins) and the southern zone (Corrientes Reforma Group, Pericos 1 River and Pericos 2 River sub-basins). ■ Northern zone and ■ Southern zone.
3.2.5. Basin Assessment
Considering the results of the analyses obtained within the SMBLR lagoon system and the drains during the period of 2020–2021, the percentages of the trophic states were determined by the drains (Figure 9).
Figure 9.
Trophic status in the drains that discharge into SMBLR. The percentage of sampling stations for each trophic level (from [37]) is shown by area and date. ■ oligotrophic, ■ mesotrophic, and ■ hypertrophic state.
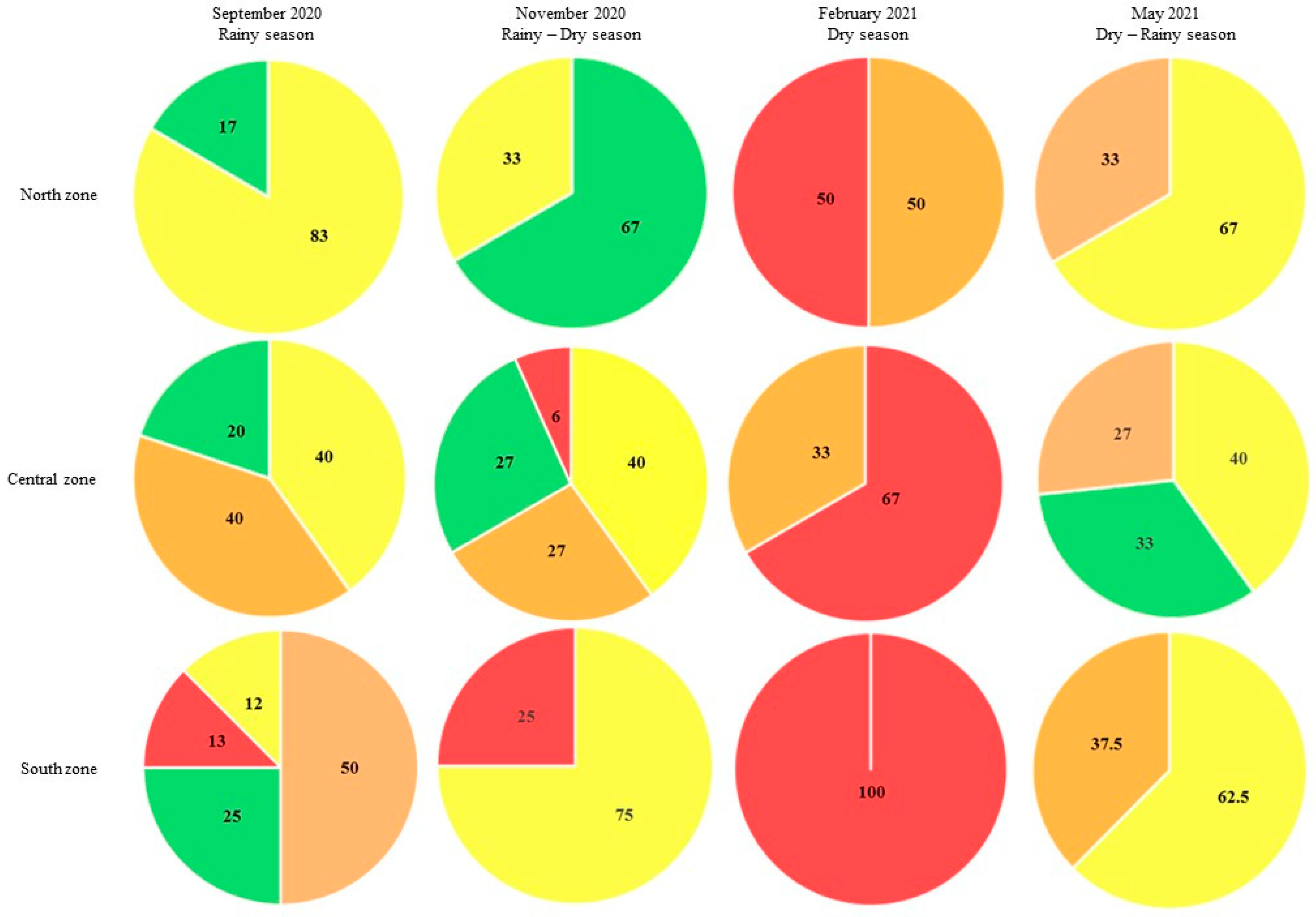
Regarding the trophic state for the total lagoon system SMBLR, the percentages are found in Figure 10, including the Central Zone CZ.
Figure 10.
Trophic states within the SMBLR lagoon system. The percentage of stations for each trophic level is shown by zone and date. ■ oligotrophic, ■ mesotrophic, ■ eutrophic, and ■ hypertrophic state.
During the rainy period (September 2020), the northern area of SMBLR showed predominantly mesotrophic (83% of the stations) and oligotrophic (17%) conditions. In contrast, the southern area exhibited all four trophic states, with predominantly eutrophic (50%), followed by oligotrophic (25%) and smaller percentages of mesotrophic (13%) and hypertrophic states. The southern drains had a higher hypertrophy level (80%) compared to the northern zone, which had 29% hypertrophy, with the remaining drains in both zones being oligotrophic.
During the transition from rainy to dry (November 2020), all drains in both areas showed hypertrophy. This aligns with observations from the southern SMBLR, where 75% of stations were eutrophic and 25% hypertrophic. In contrast, the northern area had lower trophic levels, with 67% of stations classified as oligotrophic and 33% as mesotrophic.
In the dry season (February 2021), the drains remained in a hypertrophic state in 100% of the stations in both areas, which was reflected in the bay, particularly in the southern area, which also presented 100% hypertrophy. In the northern area, the trophic state was divided into 50% eutrophic and 50% hypertrophic.
For May 2021, corresponding to the transition season from dry to rainy, hypertrophy in the drains in the northern area remained at 100% of the stations, while in the southern area, 60% hypertrophic and 40% eutrophic were observed. In contrast, the lagoon system stations showed a significant decrease in their trophic state compared to the previous period. Both zones were observed to be predominantly mesotrophic (63 and 67% for northern and southern zones, respectively) and eutrophic (38 and 33% for northern and southern zones, respectively).
The drains of the central zone presented 100% hypertrophy regardless of the sampling period. However, the bay stations, in general, showed a greater diversity of trophic states compared to the northern and southern areas. Notably, the dry season (February 2021) coincided with the highest values of hypertrophy (67%) in the system, as observed for the other two areas.
In general, it was observed that the area with the greatest impact due to discharges to the lagoon system is the southern zone, followed by the northern zone and the central zone. The above can be related to anthropogenic activities that mainly affect the basins of the southern and northern areas.
Based on the description of these activities, agriculture and aquaculture have an important presence in both areas, but in particular livestock activity seems to have a greater presence in the basins that contribute to the south of SMBLR. The above suggests that, although the entire system presents a deteriorated trophic state, the influence of the water dynamics of the system modifies and is reflected in the zoning of the trophic states, both temporally and spatially.
3.2.6. Loading Nutrients, Trophic State, and Residence Time: Hydrodynamic Model
Residence times for the IP of the NZ and SZ are similar due to lower velocities in the SZ and shorter distances to their mouths. The pollutant travels 7.8 km from IP-1 and 8.5 km from IP-2 to the SM, while distances to the NM from IP-4, IP-5, and IP-6 are 12.4, 13.2, and 10.2 km, respectively. This results in pollutant speeds of 1.0 m s−1 for the SZ and 1.5 m s−1 for the NZ, which are consistent with findings by [38] (Figure 11a,b).
Figure 11.
Velocity field in SMBLR at spring tide (ST). Flow (a) and ebb (b). TRIX concentration in reflux after emanation of the contaminant for 12 days in the six IP (c).
The residence time for IP-3 can be twice as long as for other IPs, likely due to a speed below 0.15 m s−1 during ebb and a distance of about 29 km to the NM. Residence time depends on the contaminant’s path from the IP to the mouths and the tidal conditions affecting the current it generates.
The highest contaminant concentration in the SM was from IP-2, while in the NM, it came from IP-6, followed by IP-5 and IP-4. These points are in small bays, leading to increased contaminant concentration during tidal flow (Figure 11a). At ebb tide (Figure 11b), this concentrated water moves to main channels, decreasing in concentration of the contaminant towards the mouth (Figure 11c), due to advection and molecular diffusion. Conversely, the lowest concentrations in the SM and NM were from IP-1 and IP-3, respectively, as these points are in more open areas where accumulation is less likely.
4. Discussion
4.1. Carrying Capacity
4.1.1. Historical Evaluation
Ref. [43] found that areas near the north and south mouths of SMBLR have short residence times (less than 6 days), while areas further away can reach up to 90 days due to poor horizontal mixing. In Talchilitle, influence times range from 30 to 90 days due to tidal and wind effects. The Rt for SMBLR in this study was lower—10 times less—than the maximum Rt recorded for Huizache-Caimanero and Chametla, Sinaloa [28] and lower than most other records for SMBLR [43] and other coastal lagoons in the world [44] The lowest Rt values for SMBLR were recorded in the dry season, with variation in residence times (0.2 to 90 days) attributed to different analysis times and estimation methods used [43].
Coastal lagoons can act as sinks or sources of nutrients, including N and P, as well as other micronutrients and pollutants [45] Evaluating their trophic state and identifying sources of these nutrients is essential, as these ecosystems offer vital services to coastal communities, such as water, habitat, food, and carbon sequestration [6].
SMBLR is a coastal lagoon that acts as a sink for DIN during the rainy and dry-rain transition seasons but serves as a DIN source in the rainy–dry and dry seasons. The coastal lagoons of Sinaloa exhibit varied behavior due to factors like hydrodynamics and geomorphology. Santa María lagoon, located 140 km northwest of SMBLR, is a DIN sink year-round, while in this study, DIN transfer rates for SMBLR were higher during the rainy period, similar to those observed in Santa María Lagoon [46]. Although the Santa Maria lagoon is smaller and shallower than SMBLR, it remains mesotrophic and receives anthropogenic discharges [46].
Refs. [26,28] indicated that SMBLR consistently functioned as a source of DIP throughout the year. In contrast, our study revealed it primarily acted as a sink, except during the rainy–dry transition when it behaved as a source of DIP with higher transfer rates in the rainy season, although still lower than reported by those authors. Similarly to our findings, the Santa María lagoon showed DIP as a sink in summer but a source in winter [46]
Ref. [28] reported heterotrophic metabolism in SMBLR, which differs from the results of our study that found autotrophic metabolism in most seasons, except during the rainy–dry transition when heterotrophy peaked. In Santa María, Sinaloa a different NEM behavior was observed, with the lagoon being autotrophic in summer and heterotrophic in winter [46]
Denitrification observed by [26,28] during the rainy season was consistent with net heterotrophic metabolism. In contrast, in this study, net autotrophic metabolism indicated nitrogen fixation in the dry and dry–rainy seasons, while in the rainy season, a net autotrophic metabolism rate corresponded to denitrification. The rainy–dry transition season showed an extremely high rate of net heterotrophic metabolism and denitrification, reaching up to 99 mmol m−2 day−1 [47]. Conversely, [28] reported the lowest values for SMBLR regarding nutrient flux, net metabolism, and N2 fixation-denitrification rates.
The SMBLR is a vital coastal ecosystem that supports activities like fishing, shrimp farming, and agriculture. However, wastewater discharges from these activities have stressed its carrying capacity due to high N and P levels. Previous studies by [26,28] were compared to the current findings, showing similar residence times. The long renewal period during the dry–rainy season in SMBLR is influenced by various hydrological factors, including wastewater and river discharge, tides, evaporation, and precipitation [16,48]. Thus, residence time variations are spatially and temporally influenced [49].
The present study shows that SMBLR exports nutrients at higher rates than previously reported by [26,28]. During the rainy season, the maximum transfer rates were estimated at −120.94 mmol m−2 day−1 for DIN and −5.57 mmol m−2 day−1 for DIP. This indicates that overland flow is fertilizing the lagoon, likely due to increase agricultural and aquaculture activities, along with high precipitation rates. Furthermore, based on the NEM analysis results, SMBLR produces organic matter, which is in contrast to the heterotrophic NEM observed in earlier studies [26,28].
Ref. [50] suggest that spatiotemporal changes in the NEM of coastal lagoons and estuaries may result from high anthropogenic nutrient contributions, promoting eutrophication [51]. Contrary to findings by [26,28], this study shows that N2 fixation processes exceed denitrification, with higher overall magnitudes observed.
Understanding residence times, nutrient dynamics, and net metabolism in coastal lagoons is essential for assessing their vulnerability to human impacts [52]. Comparing pristine lagoons with those affected by wastewater demonstrates the importance of understanding the biogeochemical processes and the degree of fragility of these ecosystems [53]. To better understand the loading capacity of the SMBLR, the results obtained were compared with those observed by [54] in El Soldado lagoon, a pristine system in the Gulf of California. El Soldado lagoon shows longer residence times and low N and P transfer rates than SMBLR, which, despite its dynamic nature and shorter residence times, is significantly impacted by wastewater input, altering nutrient fluxes and ecosystem metabolism.
4.1.2. Present Day Evaluation
The water and salt balance of SMBLR is impacted by wastewater inflow, rain, and evaporation losses. Wastewater volume exceeds evaporation losses, resulting in a water surplus in the lagoon that disrupts the ebb and tidal flow, with renewal rates averaging only 0.4 days. This pattern aligns with findings by [55] in Colombia, where high wastewater volumes and human activities have altered the estuary. During the dry–rainy transition season, longer renewal rates (20 days) are observed due to increased evaporation and decreased precipitation, coupled with higher wastewater salinity and reduced water exchange between the sea and lagoon
Ref. [56] highlight that the water renewal rate is influenced by salinity and increases during higher saline periods. On the east coast of the Gulf of California, coastal lagoons face negative impacts from agricultural, shrimp farming, and human activities that introduce wastewater, disrupting the natural hydrological balance [16,54,57]. Consequently, residence time is a key factor in assessing the environmental health of these lagoons receiving wastewater [19].
Estimates of nutrient fluxes showed that the largest contributions of DIN and DIP to the SMBLR come from wastewater, with the highest DIN load during the rainy season. The SMBLR retains 97% of DIN from wastewater in the rainy and dry–rainy seasons but exports 59% during dry and rainy–dry seasons. For P, the SMBLR retains 89% throughout the study, exporting 100% during the rainy–dry transition. SMBLR functions as a source of DIN in the rainy, dry, and rainy–dry transition season and a source of DIP only in the rainy–dry transition. Conversely, it serves as a sink for DIN in rainy and dry–rainy seasons and for DIP in rainy, dry, and dry–rainy seasons. High DIN and DIP transfer rates in the rainy season indicate a sink function, aligning with findings by [29].
Increased anthropogenic nutrient loads lead to higher export and import rates of DIN and DIP, indicating a direct relationship. High concentrations of N and P are linked to fertilizer use, aquaculture, and urban waste [58]. Therefore, the lagoon’s dynamics respond to wastewater nutrient loads. [46] found that the Santa María lagoon in Sinaloa serves as a nutrient sink during summer due to wastewater contributions.
Similar behavior has been noted in other subtropical coastal lagoons of the Gulf of California, like Laguna Lobos and Sonora, which increased DIN and DIP fluxes, acting as a nutrient sink for wastewater [16]. Additionally, the El Rancho lagoons, receiving shrimp effluents, and El Soldado, Sonora, influenced by coastal upwelling, also served as sinks during nutrient load peaks [54].
The SMBLR lagoon exhibited autotrophic NEM with nitrogen fixation during rainy, dry, and dry–rainy periods. In the dry–rainy period, heterotrophic metabolism prevailed, focusing on denitrification. According to [14], the NEM evaluated with the LOICZ model is a function of residence times, where heterotrophic conditions occur at long residence times. Our study found that SMBLR is a net organic matter producer at both short (0.4 days) and long (20 days) residence times, with increased DIN retention promoting nitrogen fixation, resulting in more organic matter production than respiration and greater nitrogen fixation than denitrification. These findings align with [29], which reported an annual NEM of 0.44 mmol C m−2 day−1 and nitrogen fixation at 1.89 mmol m−2 day−1.
The SMBLR has highly productive waters due to dissolved inorganic nutrients from agricultural and shrimp drains, leading to high autotrophy (590.5 mmol C m−2 day−1) and heterotrophy (−1684.6 mmol C m−2 day−1). This indicates a negative impact from wastewater, exceeding the system’s capacity. The TRIX index shows a mesotrophic to hypertrophic status, particularly near the drain mouths [29,37]. These high NEM values align with those in other human-impacted coastal lagoons like the Caloosahatchee Estuary, USA [59], Piratininga-Itaipu lagoon system, Brazil [60], Courland lagoon, Lithuania [61] and Ichkeul lagoon, Africa [19].
4.2. Integrative Data Analysis
While the growth rate of agricultural activity decreased in the period 2007–2014, it had a slight rebound in the period 2014–2019 of close to 50% in the northern zone and is incipient in the southern zone for the same period (Figure 5). According to the historical analysis of the economic activities carried out in the SMBLR sub-basins, it is observed that in the period 2007–2014, the growth rate of livestock activity dominated in a similar way in the northern zone and the southern zone (Figure 6).
However, a very drastic change occurred in the period 2014–2019 as the growth of livestock activity decreased, and aquaculture dominated mainly in the northern zone and in the central-southern zone of the lagoon system basin with a rate of growth of up to 250% (Figure 7).
On the other hand, the population tends to decrease in the SMBLR basin in the southern area in both periods analyzed (Figure 8), probably due to labor displacement [62] or problems due to violence [63].
This highlights the need to design and implement a comprehensive management plan for SMBLR that involves all actors who participate in production chains and decision-making. In particular, mechanisms and incentives must be established for agricultural, cattle raising, livestock, and aquaculture producers to control and adequately treat runoffs and effluents resulting from their activities. As a result of this analysis, the beginning of management by actors and decision makers for the improvement of production practices with a positive impact on the profitability of operations under a circular economy approach would be expected. Together with the participation of the authorities responsible for environmental monitoring, the intervention actions will help to reduce the influx of nutrients and other pollutants into an ecosystem that affects the carrying capacity of the lagoon. This is demonstrated in this study since although SMRLR is mostly an autotrophic system, there are signs that the carrying capacity at some seasons of the year has been exceeded and the adverse ecological and socioeconomic effects in the basin are evident.
5. Conclusions
SMBLR behaves as a phosphorous sink during the year with transitional nitrogen changes from sink to source. This condition intensifies during the rainy season, with higher nitrogen and phosphorous loads toward the lagoon. The net metabolism of the ecosystem is mainly autotroph with clear nitrogen fixation processes. Annual water renewal times were close to 5.3 days.
The trophic state of the lagoon was mainly mesotrophic towards eutrophic, whereas the drains showed eutrophic to hypertrophic trophic conditions with enough productivity to maintain aquaculture projects and fishing activities.
It is essential to highlight the eutrophic to hypertrophic state in northern and southern zones during the dry season. However, especially in the rainy–dry transition season, when the maximum heterotrophy value and high denitrification are present, indicate that it is not possible to put further pressure on the use and exploitation of the lagoon’s resources.
The historical economic analysis of sub-basins showed that agricultural, livestock, and aquaculture activities constantly increase. This analysis also revealed a nutrient increase with time, mainly due to nitrogen and phosphorous concentrations. These high nitrogen and phosphorus concentrations modify the nutrient rates, the system’s net metabolism, and nitrogen fixation and denitrification.
This work provides evidence on the current environmental condition of the SMBLR, which allows us to channel monitoring programs for coastal lagoons impacted by human activities. In addition, the implementation of economic activity management policies is necessary.
Author Contributions
O.C.-M.: Investigation, Conceptualization, Methodology, Supervision, Visualization, Validation, Writing—original draft, Writing—review and editing. J.M.-G.: Investigation, Methodology, Visualization, Validation, Writing—original draft, Writing—review and editing. V.P.D.-J.: Investigation, Methodology, Data curation, Validation, Writing—review and editing. M.A.S.-R.: Investigation, Methodology, Validation, Writing—review and editing. R.A.-R.: Investigation, Validation, Writing—original draft, Writing—review and editing. P.M.R.-V.: Investigation, Methodology, Formal analysis, Data curation, Writing—review and editing. M.B.-L.: Investigation, Validation, Writing—original draft, Writing—review and editing. D.S.-H.: Formal analysis, Writing—review and editing. All authors have read and agreed to the published version of the manuscript.
Funding
This research received no external funding.
Institutional Review Board Statement
Not applicable.
Informed Consent Statement
Not applicable.
Data Availability Statement
The data presented is available from the corresponding author.
Acknowledgments
This research did not receive any specific grant from funding agencies in the public, commercial, or non-profit sectors. We are grateful to CIAD and ICML UNAM for in-kind support towards this work. This work is a contribution of Marine-Coastal Research Stressors Network for Latin America and the Caribbean (REMARCO, www.remarco.org).
Conflicts of Interest
The authors declare that they have no known competing financial interests or personal relationships that could have appeared to influence the work reported in this paper.
References
- Pérez-Ruzafa, A.; Pérez-Ruzafa, I.; Newton, A.; Marcos, C. Coastal lagoons: Environmental variability ecosystem complexity goods services uniformity. In Coasts Estuaries—The Future; Wolanski, E., Day, J., Elliott, M., Ramachandran, R., Eds.; Elsevier: Oxford, UK, 2019; 726p. [Google Scholar] [CrossRef]
- Jara-Marini, M.E.; Molina-García, A.; Martínez-Durazo, A.; Páez-Osuna, F. Trace metal trophic transference and biomagnification in a semiarid coastal lagoon impacted by agriculture and shrimp aquaculture. Environ. Sci. Pollut. Res. 2020, 27, 1–14. [Google Scholar] [CrossRef] [PubMed]
- Esqueda, G.S.T.; Rivera, J.C.G. Saneamiento de las Aguas Costeras. In El Manejo Costero en México; Arriaga, E.R., Zapata, G.J.V., Adeath, I.A., May, F.R., Eds.; Universidad Autónoma de Campeche/SEMARNAT/CETYS Universidad/Universidad de Quintana Roo, Ensenada/Campeche: Chetumal, Mexico, 2004; pp. 253–275. ISBN 9685722129. [Google Scholar]
- Pérez-Espejo, R.; Ibarra, A.A.; Hansen, A.M.; Rodríguez, C.G.; Márquez, L.C.G.; González, M.B.; Baca, A.S.; Durán, A.J. Agricultura y contaminación del agua, 1st ed.; UNAM Instituto de Investigaciones Económicas: Ciudad de México, Mexico, 2012; 288p, ISBN 9786070235504. [Google Scholar]
- Cloern, J.E. Review our evolving conceptual model of the coastal eutrophication problem. Mar. Ecol. Prog. Ser. 2001, 210, 223–253. [Google Scholar] [CrossRef]
- Newton, A.; Brito, A.B.; Icely, J.D.; Derolez, V.; Clara, I.; Angus, S.; Schernewski, G.; Inácio, M.; Lillebø, A.I.; Sousa, A.I.; et al. Assessing, quantifying and valuing the ecosystem services of coastal lagoons. J. Nat. Conserv. 2018, 44, 50–65. [Google Scholar] [CrossRef]
- Newton, A.; Icely, J.; Cristina, S.; Perillo, G.M.E.; Turner, R.E.; Ashan, D.; Cragg, S.; Luo, Y.; Tu, C.; Li, Y.; et al. Anthropogenic, Direct Pressures on Coastal Wetlands. Front. Ecol. Evol. 2020, 8, 144. [Google Scholar] [CrossRef]
- Kiwango, H.; Njau, K.N.; Wolanski, E. The application of nutrient budget models to determine the ecosystem health of the Wami Estuary, Tanzania. Ecohydrol. Hydrobiol. 2018, 18, 107–119. [Google Scholar] [CrossRef]
- Ignatyeva, M.; Yurak, V.; Dushin, A. Valuating Natural Resources and Ecosystem Services: Systematic Review of Methods in Use. Sustainability 2022, 14, 1901. [Google Scholar] [CrossRef]
- Anthony, A.; Atwood, J.; August, P.; Byron, C.; Cobb, S.; Foster, C.; Fry, C.; Gold, A.; Hagos, K.; Heffner, L.; et al. Coastal Lagoons Climate Change: Ecological Social Ramifications in, U.S. Atlantic and Gulf Coast Ecosystems. Ecol. Soc. 2009, 14, 8. Available online: http://www.ecologyandsociety.org/vol14/iss1/art8/ (accessed on 23 October 2024). [CrossRef]
- Pérez-Ruzafa, A.; Marcos, C.; Pérez-Ruzafa, I.; Pérez-Marcos, M. Coastal lagoons: “transitional ecosystems” between transitional and coastal waters. J. Coast. Conserv. 2011, 15, 369–392. [Google Scholar] [CrossRef]
- Weihua, Z.; Huadong, W.; Jiyu, X.; Wenhu, Y.; Boren, G.; Fengqiao, M. Environmental Carrying Capacity: A Key to Coordinating Population, Resources and Environment. Chin. J. Popul. Resour. Environ. 1992, 1, 26–32. [Google Scholar] [CrossRef]
- Gordon, D.C., Jr.; Boudreau, P.R.; Mann, K.H.; Ong, J.E.; Silvert, W.L.; Smith, S.V.; Wattayakorn, G.; Wulff, F.; Yanagi, T. LOICZ Biogeochemical Modelling Guidelines. LOICZ Report & Studies No. 5, Texel, The Netherlands. 1996. Available online: https://iwlearn.net/documents/3943 (accessed on 17 May 2024).
- Swaney, D.P.; Smith, S.V.; Wulff, F. The LOICZBiogeochemical modelling protocol its application to estuarine ecosystems. In Estuarine Coastal Ecosystem Modelling; Baird, D., Mehta, A., Eds.; Academic Press: Amsterdam, The Netherlands, 2011; pp. 135–160. [Google Scholar]
- Marinov, D.; Miladinova, S.; Marinski, J. Assessment of material fluxes in aquatorium of Burgas Port (Bulgarian black sea coast) by LOICZ biogeochemical model. In 3rdIAHR Europe Congress; IAHR Document Library: Porto, Portugal, 2014; pp. 1–10. [Google Scholar]
- Valenzuela-Siu, M.; Arreola-Lizárraga, J.A.; Sánchez-Carrillo, S.; Padilla-Arredondo, G. Flujos de nutrientes y metabolismo neto de la laguna costera Lobos, México. Hidrobiológica 2007, 17, 193–202. [Google Scholar]
- Cervantes-Duarte, R. Nutrient fluxes and net metabolism in a coastal lagoon SW peninsula of Baja California, Mexico. Rev. Bio Cienc. 2016, 4, 104–115. [Google Scholar]
- López-Monroy, F.; Troccoli-Ghinaglia, L. Modelaje de la interacción entre la laguna costera tropical Las Marites (Isla de Margarita, Venezuela) y el Mar Caribe adyacente. Ciencias Básicas y Tecnología 2017, 29, 534–545. [Google Scholar]
- Béjaoui, B.; Basti, L.; Canu, D.M.; Feki-Sahnoun, W.; Salem, H.; Dahmani, S.; Sahbani, S.; Benabdallah, S.; Blake, R.; Norouzi, H.; et al. Hydrology, biogeochemistry and metabolism in a semi-arid mediterranean coastal wetland ecosystem. Scientific. Rep. 2022, 12, 9367. [Google Scholar] [CrossRef]
- Liu, Y.; McNeil, S. Using Resilience in Risk-Based Asset Management Plans. Transp. Res. Rec. 2020, 2674, 178–192. [Google Scholar] [CrossRef]
- Bui, L.T.; Tran, D.L.T. Assessing marine environmental carrying capacity in semi-enclosed coastal areas—Models and related databases. Sci. Total Environ. 2022, 838, 156043. [Google Scholar] [CrossRef] [PubMed]
- SIS-RAMSAR. Servicio de Información Sobre Sitios Ramsar. Laguna Playa Colorada-Santa María la Reforma. 02-02-2004. Ramsar. 2004. Available online: https://rsis.ramsar.org/es/ris/1340?language=es (accessed on 22 October 2024).
- Rodríguez-Zúñiga, M.T.; Troche-Souza, C.; Vázquez-Lule, A.D.; Márquez-Mendoza, J.D.; Vázquez- Balderas, B.; Valderrama-Landeros, L.; Velázquez-Salazar, S.; Cruz-López, M.I.; Ressl, R.; Uribe-Martinez, A.; et al. Manglares de México/Extensión, distribución y monitoreo; Comisión Nacional para el Conocimiento y Uso de la Biodiversidad: Ciudad de México, Mexico, 2013; 128p. [Google Scholar]
- Reyes-Velarde, P.M. Evaluación espacio-temporal del estado trófico en Bahía Santa María-La Reforma. Master’s Thesis, Centro de Investigación en Alimentación y Desarrollo, Mazatlán, Sinaloa, Mexico, 2022; 91p. [Google Scholar]
- Parsons, T.; Maita, C.; Lally, C. A Manual of Chemical and Biological Methods of Seawater Analysis; Pergamon: Oxford, UK, 1984; 173p. [Google Scholar]
- Lechuga-Devéze, C.; Mendoza-Salgado, R.; Bustillos-Guzman, J.; Salinas-Zavala, C.; Diaz-Rivera, E.; Beltran-Camacho, C.; Amador-Silva, E.; Salinas-Zavala, F.; Bautista-Romero, J.; Balart-Paez, E.; et al. Programa Nacional de Diagnóstico de los Ecosistemas Costeros: Sinaloa, I Nivel Sistema Lagunar; Informe Técnico; Procuraduría Federal de Protección al Ambiente: Mazatlan, Mexico, 2006; 211p. [Google Scholar]
- Páez-Osuna, F.; Ramírez-Reséndiz, G.; Ruiz-Fernández, A.; Soto-Jiménez, M. La contaminación por nitrógeno y fósforo en Sinaloa: Flujos, fuentes, efectos y opciones de manejo; Serie Lagunas Costeras de Sinaloa; Instituto de Ciencias del Mar y Limnología, Universidad Nacional Autónoma de México: Mazatlan, Mexico, 2007; pp. 121–128. [Google Scholar]
- Martínez-López, A.; Escobedo-Urías, D.C.; Chiquete-Ozono, A.Y.; Bañuelos-Valles, J.L. Estudio Ambiental—Estudio de capacidad de carga de la actividad acuícola en el Sistema lagunar Santa María; Informe Técnico; Comisión Nacional de Áreas Naturales Protegidas: Mazatlan, Mexico, 2013; 23p. [Google Scholar]
- Romero-Beltrán, E.; Aldana-Flores, G.; Muñoz-Mejía, E.M.; Medina-Osuna, P.M.; Valdez-Ledón, P.; Bect-Valdez, J.A.; Gaspar-Dillanes, M.T.; Huidobro-Campos, L.; Romero-Correa, A.; Tirado-Figueroa, E.; et al. Informe de Investigación: Estudio de la calidad del agua y sedimento en las lagunas costeras del estado de Sinaloa, México; Instituto Nacional de Pesca, Instituto Sinaloense de Acuacultura y Pesca: Boca del Río, Mexcio, 2014; 191p. [Google Scholar]
- SEMARNAT. Acuerdo por el que se da a Conocer el Resultado de los Estudios Técnicos de Aguas Nacionales Superficiales de la Subregión Hidrológica Río Fuerte de la Región Hidrológica Número 10 Sinaloa; Diario Oficial de la Federación; Secretaría de Medio Ambiente y Recursos Naturales, Comisión Nacional de Mejora Regulatoria: Ciudad de México, Mexico, 2015; Available online: https://catalogonacional.gob.mx/FichaRegulacionid?regulacionId=87187 (accessed on 31 January 2025).
- INEGI. División política municipal, 1:250000. 2022, escala 1:250000; Instituto Nacional de Estadística y Geografía: Aguascalientes, Mexico, 2023. [Google Scholar]
- CONABIO. Red Hidrográfica, Subcuencas Hidrográficas de México, Escala 1:50000. Edición 2.0. En Red Hidrográfica. Instituto Nacional y Geografía. 2010. Comisión Nacional para el Conocimiento y Uso de la Biodiversidad. México. 2014. Available online: http://geoportal.conabio.gob.mx/metadatos/doc/html/redsub84gw.html (accessed on 28 August 2024).
- SIAP. Anuario Estadístico de la Producción Agrícola: Gobierno de México. 2023. Available online: https://nube.siap.gob.mx/cierreagricola/ (accessed on 16 October 2024).
- SIAP. Anuario Estadístico de la Producción Ganadera: Gobierno de México. 2023. Available online: https://nube.siap.gob.mx/cierre_pecuario/ (accessed on 10 November 2024).
- CESASIN. Reporte de producción: Ciclos de cultivo 2003–2019 proporcionado por CESASIN (Comité Estatal de Sanidad Acuícola de Sinaloa); Archivos en Excel: Culiacán, Sinaloa, Mexico, 2023. [Google Scholar]
- INEGI. Instituto Nacional de Estadística y Geografía. Principales Resultados por Localidad (ITER) 2020. 2020. Available online: https://www.inegi.org.mx/app/scitel/Default?ev=9 (accessed on 17 May 2024).
- Reyes-Velarde, P.M.; Alonso-Rodríguez, R.; Domínguez-Jiménez, V.P.; Calvario-Martínez, O. The spatial distribution and seasonal variation of the trophic state TRIX of a coastal lagoon system in the Gulf of California. J. Sea Res. 2023, 193, 102385. [Google Scholar] [CrossRef]
- Serrano, D.; Ramírez-Félix, E.; Valle-Levinson, A. Tidal hydrodynamics in a two-inlet coastal lagoon in the Gulf of California. Cont. Shelf Res. 2013, 63, 1–12. [Google Scholar] [CrossRef]
- Crank, J. The Mathematics of Diffusion, 2nd ed.; Oxford University Press: Oxford, UK, 1979; 414p. [Google Scholar]
- Serrano, D.; Flores-Verdugo, F.; Ramírez-Félix, E.; Kovacs, J.M.; Flores-de-Santiago, F. Modeling tidal hydrodynamic changes induced by the opening of an artificial inlet within a subtropical mangrove dominated estuary. Wetl. Ecol. Manag. 2020, 28, 103–118. [Google Scholar] [CrossRef]
- Zimmerman, J.T.F. Estuarine residence times. In Hydrodynamics of Estuaries; Kjerfve, B., Ed.; Hydrodynamics of Estuaries; CRC Press: Boca Raton, FL, USA, 1988; Volume 1, pp. 75–84. [Google Scholar]
- SADER. Agricultura. Secretaria de Agricultura y Desarrollo Rural. Infografía agroalimentaria del estado de Sinaloa. 2020. Available online: https://estadisticas.sinaloa.gob.mx/documentos/Infografiasagroalimentarias/Sinaloa-Infografia-Agroalimentaria-2020.pdf (accessed on 14 September 2024).
- Montaño-Ley, Y.; Soto-Jiménez, M.F. A numerical investigation of the influence time distribution in a shallow coastal lagoon environment of the Gulf of California. Environ. Fluid Mech. 2019, 19, 137–155. [Google Scholar] [CrossRef]
- Umgiesser, G.; Ferrarin, C.; Cucco, A.; DePascalis, F.; Bellafiore, D.; Ghezzo, M.; Bajo, M. Comparative hydrodynamics of 10 Mediterranean lagoons by means of numerical modeling. J. Geophys. Res. Ocean. 2014, 119, 2212–2226. [Google Scholar] [CrossRef]
- Menció, A.; Madaula, E.; Meredith, W.; Casamitjana, X.; Quintana, X.D. Nitrogen in surface aquifer—Coastal lagoons systems: Analyzing the origin of eutrophication processes. Sci. Total Environ. 2023, 871, 161947. [Google Scholar] [CrossRef] [PubMed]
- Medina-Galván, J.; Osuna-Martínez, C.C.; Padilla-Arredondo, G.; Frías-Espericueta, M.G.; Barraza-Guardado, R.H.; León-Cañedo, J.A.; Arreola-Lizárraga, J.A. Estado trófico, dinámica de nutrientes y metabolismo neto de una laguna costera subtropical (Golfo de California) receptora de aguas residuales. Rev. Int. De Contam. Ambient. 2022, 38, 449–463. [Google Scholar] [CrossRef]
- Caffrey, J.M.; Murrell, M.C.; Wigan, C.; McKinney, R. Effect of nutrient loading on biogeochemical and microbial processes in a New England salt marsh. Biogeochemistry 2007, 82, 251–264. [Google Scholar] [CrossRef]
- Brenes, C.; Hernández, A.; Ballesteros, D. Flushing time in Perlas Lagoon and Bluefields Bay, Nicaragua. Investig. Mar. 2007, 35, 89–96. [Google Scholar] [CrossRef]
- González-Hernández, A.D.; López-Monroy, F. Modelaje de la interacción entre el humedal RAMSAR laguna de La Restinga (Isla de Margarita, Venezuela) y el Mar Caribe. Boletín del Centro de Investigaciones Biológicas 2020, 54, 145–163. [Google Scholar]
- Cabral, A.; Fonseca, A. Coupled effects of anthropogenic nutrient sources and meteo-oceanographic events in the trophic state of a subtropical estuarine system. Estuar. Coast. Shelf Sci. 2019, 225, 106228. [Google Scholar] [CrossRef]
- Testa, J.M.; Kemp, W.M.; Hopkinson, C.S.; Smith, S.V. Ecosystem Metabolism. In Estuarine Ecology; Day, J.W., Crump, B.C., Kemp, W.M., Yáñez-Arancibia, A., Eds.; Wiley, Inc.: Hoboken, NJ, USA, 2012; pp. 381–416. [Google Scholar] [CrossRef]
- Camacho-Ibarra, V.F.; Rivera-Monroy, V.H. Coastal Lagoons and Estuaries in Mexico: Processes and Vulnerability. Estuaries Coasts 2014, 37, 1313–1318. [Google Scholar] [CrossRef]
- Smith, J.; Burford, M.A.; Revill, A.T.; Haese, R.R.; Fortune, J. Effect of nutrient loading on biogeochemical processes in tropical tidal creeks. Biogeochemistry 2012, 108, 359–380. [Google Scholar] [CrossRef]
- Medina-Galván, J.; Osuna-Martínez, C.C.; Padilla-Arredondo, G.; Frías-Espericueta, M.G.; Barraza-Guardado, R.H.; Arreola-Lizárraga, J.A. Comparing the biogeochemical functioning of two arid subtropical coastal lagoons: The effect of wastewater discharges. Ecosyst. Health Sustain. 2021, 7, 1892532. [Google Scholar] [CrossRef]
- Torregroza-Espinosa, A.C.; Restrepo, J.C.; Escobar, J.; Brenner, M.; Newton, A. Nutrient inputs and net ecosystem productivity in the mouth of the Magdalena River, Colombia. Estuar. Coast. Shelf Sci. 2020, 243, 106899. [Google Scholar] [CrossRef]
- Villate, F.; Ruiz, A. Caracterización geomorfología e hidrológica de cinco sistemas estuáricos del País Vasco. Kobie 1989, XVIII, 157–170. [Google Scholar]
- Ruiz-Ruiz, T.M.; Arreola-Lizárraga, J.A.; Morquecho, L.; Méndez-Rodríguez, L.C.; Martínez-López, A.; Mendoza-Salgado, R.A. Detecting eutrophication symptoms by means of three methods in a subtropical semi-arid coastal lagoon. Wetlands 2017, 37, 1105–1118. [Google Scholar] [CrossRef]
- Aouissi, J.; Benabdallah, S.; Lili, C.Z.; Cudennec, C. Modelling water quality to improve agricultural practices and land management in a Tunisian catchment using soil and water assessment tool. J. Environ. Qual. 2014, 43, 18–25. [Google Scholar] [CrossRef] [PubMed]
- Buzzelli, C.; Wan, Y.; Doering, P.H.; Boyer, J.N. Seasonal dissolved inorganic nitrogen and phosphorus budgets for two subtropical estuaries in South Florida, USA. Biogeosciences 2013, 10, 6721–6736. [Google Scholar] [CrossRef]
- Cerda, M.; Barboza, C.D.N.; Carvalho, C.N.; Jandre, K.A.; Marques, A.N. Nutrient Budget sinthe Piratininga–Itaipu lagoon system (southeastern Brazil): Effects of sea-exchange management. Lat. Am. J. Aquat. Res. 2013, 41, 226–238. [Google Scholar] [CrossRef]
- Vybernaite-Lubiene, I.; Zilius, M.; Bartoli, M.; Petkuviene, J.; Zemlys, P.; Magri, M.; Giordani, G. Biogeochemical Budgets of Nutrients and Metabolism in the Curonian Lagoon (South East Baltic Sea): Spatial and Temporal Variations. Water 2022, 14, 164. [Google Scholar] [CrossRef]
- Salas, M.D.R.; Durazo, A.M.; Enrique, J.M.M. La acuicultura y su impacto en la zona costera del golfo de california/the aquaculture and their impact in the coastal zone of the gulf of california. Biotecnia 2016, 18, 37–46. [Google Scholar] [CrossRef]
- Gobierno de México. Desplazamiento Forzado Interno en México: Del Reconocimiento a los Desafíos. Gobierno de México, Secretaría de Gobernación, Subsecretaría de Derechos Humanos, población y migración: Mexico City, Mexico, 2022; 192p, ISBN 978-607-427-332-8. Available online: http://www.alejandroencinas.mx/wp-content/uploads/2022/07/DESPLAZAMIENTO-FORZADO-INTERNO-EN-MEXICO-PDF.pdf (accessed on 19 September 2024).
Disclaimer/Publisher’s Note: The statements, opinions and data contained in all publications are solely those of the individual author(s) and contributor(s) and not of MDPI and/or the editor(s). MDPI and/or the editor(s) disclaim responsibility for any injury to people or property resulting from any ideas, methods, instructions or products referred to in the content. |
© 2025 by the authors. Licensee MDPI, Basel, Switzerland. This article is an open access article distributed under the terms and conditions of the Creative Commons Attribution (CC BY) license (https://creativecommons.org/licenses/by/4.0/).










