Abstract
With increasingly strict emission regulations, research on diesel engine combustion and emissions is urgently needed. This study conducted computational fluid dynamics modeling on diesel engines. The effects of intake humidity and oxygen concentration of a diesel engine on the combustion emission of biodiesel were studied. The results indicate that when the humidity ratio is below 0.4 (WR = 0.4), intake humidification has a certain promoting effect on the combustion reaction process. Water molecule pyrolysis can promote the pyrolysis of biodiesel, and the peak pressure in the cylinder slightly increases. As the intake humidification ratio increases, the cylinder temperature decreases, and the oxygen concentration also decreases due to the increase in water molecular weight. The combustion reaction process is suppressed, and the cylinder pressure decreases. When the humidity ratio is 1 (WR = 1), the peak pressure decreases by 2.61% compared to when it is not humidified (WR = 0). The concentration of O radicals decreases with an increase in humidity ratio. When WR = 1.0, the emissions of NOx decreased by 55.02%, but with the decrease in oxygen concentration in the high-temperature area, the emissions of soot increased. The results indicate that as the oxygen concentration increases, the cylinder pressure and average temperature increase, the ignition-delay time decreases, the heat-release rate increases, and it ultimately leads to an increase in NOx emissions.
1. Introduction
Diesel engines have been used in various fields because of their many advantages [1,2,3]. With the increasing demand for energy in the world, the problem of pollution has been put on the agenda. While the extensive use of fossil fuel has contributed to people’s lives, the environmental pollution caused by emissions is becoming more and more serious [4,5]. Among them, the emissions of SOx, NOx, and CO2 from ships have drawn greater attention because of the substantial total quantities. It is estimated that global shipping contributed average annual totals of 5.6 Tg (Tg = 1012 g) of sulfur, 6.3 Tg of nitrogen, and 277.1 Tg of carbon from 2007 to 2012, accounting for approximately 13.0%, 15.0%, and 3.1% of global SOx, NOx, and CO2 from anthropogenic sources, respectively. The International Maritime Organization (IMO) implemented more rigorous Tier III standards in the Emission Control Area (ECA) in 2016, with the NOx emission limit being 80% lower than the Tier I standards [6]. To meet the escalating demand for energy and reduce carbon dioxide emissions, the world requires more efficient and sustainable energy. In recent years, the application of new clean energy and renewable energy in diesel engines has been the focus of scholars [7,8,9].
Biodiesel is a fuel extracted from organic biomass and lignocellulosic substances, and some of the most commonly used biofuels include biodiesel, bioethanol, biogas, and bio hydrogen [10]. There are various production methods for biodiesel [11,12,13,14], and the most commonly used method is the ester-exchange reaction between vegetable oil and animal fats. The methods for extracting biodiesel often include mechanical extraction, solvent extraction, and enzyme extraction. From this perspective, the production cost of biodiesel mainly lies in two aspects: by-product recovery and ester-exchange process. A continuous ester-exchange process is the best choice to reduce the production cost of biodiesel [15,16]. Biodiesel has good fuel performance, and it reduces the emission of pollutants such as PM, CO, and HC [17,18]. Sara Tayari [19] compared three types of biodiesel and showed that in comparison, biodiesel produced from Chlorella emitted the smallest amounts of CO and HC. Secondly, the physical and chemical properties of biodiesel are similar to those of conventional diesel. These properties allow biodiesel to be used in most modern diesel engines without major modifications to the diesel engine [20]. This shows that biodiesel has a great advantage in reducing particulate emissions from diesel engines. Yang Ning tested the combustion emissions of different proportions of biodiesel in a marine diesel engine. The use of biodiesel increased CO2 emissions to a certain extent, and CO emissions decreased as the proportion of biodiesel increased [21]. Peng Geng studied the combustion emissions of biodiesel in marine auxiliary diesel engines. As the proportion of biodiesel increased, the ignition delay was shortened, and as the total NOx emissions decreased, the ratio of NO2/NO also decreased [22]. M Puškár conducted a study on the combustion of biodiesel in a six-cylinder diesel engine, and the results showed that as the volume of biodiesel increased, the ignition-delay time shortened, and combustion became faster. The increase in engine load also led to an increase in NOx emissions and the consumption of biodiesel [23]. In addition to finding suitable alternative fuels, scholars have investigated other measures to reduce particulate emissions such as exhaust gas recirculation, intake air humidification techniques, and changes in injection strategies. Scholar Xiuxiu Sun conducted experiments on a two-stroke diesel engine; the results show that it can make the quantity of NO meet the requirement of Tier III [24].
Oxygen-enriched combustion technology is accomplished by raising the oxygen content in the intake air, enabling combustion to be mainly governed by the mass ratio of oxygen to fuel instead of the conventional air–fuel ratio [25]. Roussos G. Papagiannakis probed into the influence of intake oxygen concentration on the quality of fuel combustion. Research has indicated that when the diesel fuel ratio remains unchanged, an increase in the intake oxygen concentration ratio can enhance combustion quality and reduce the ignition-delay time of the fuel. The peak cylinder pressure during the combustion process also rises along with the increase in intake oxygen concentration [26]. Qinming Tan explored the effect of different ratios of O2/N2/CO2 on the combustion emissions of diesel engines. The outcomes reveal that increasing the concentration of O2 can enhance combustion performance, but when the concentrations of O2 and N2 are high, the peak cylinder pressure and heat-release rate will increase, resulting in a decrease in CO emissions and an increase in NOx emissions [27]. Jeya Jeevahan, A carried out oxygen enrichment tests on a single-cylinder four-stroke diesel engine. The results indicate that an increase in oxygen concentration can effectively shorten ignition-delay time; reduce CO, HC, and soot content; and increase NOx emissions. The break thermal efficiency also increased [28]. Wenchao Wang conducted numerical simulations on the combustion of diesel at different concentrations. Oxygen enrichment has a significant impact on flame temperature, flame gradient, and flame propagation rate. It can facilitate the production of radicals like O, H, and OH and enhance the oxidation process of PAHs [29]. F Manenti explored the influences of EA on the performance and exhaust emissions of high-speed direct-injection diesel engines and examined the effects of enriched air and injection strategies under various load conditions and operating circumstances. The research has discovered that oxygen-rich combustion reduces soot and dust emissions, enhances the engine’s thermal efficiency, but simultaneously increases peak cylinder pressure and NOx emissions. By changing the injection time, the cylinder pressure can be improved, thereby reducing the increase in NOx [30].
Intake humidification technology is a technology that reduces the NOx emissions of diesel engines by adding a certain amount of water to the cylinder to reduce the cylinder temperature during combustion. T Zhou conducted numerical simulations on marine diesel engines. They found that lower intake humidification rates can significantly reduce NOx emissions. However, as the intake humidification rate increases, the amount of soot emissions will increase. This is due to the increase in water, the decrease in oxygen content, and the decrease in soot oxidation rate [31]. Changpu Zhao conducted a numerical study on the effects of oxygen enrichment and intake humidification on combustion and emissions of marine direct-injection diesel engines. The cylinder pressure decreases with an increase in humidity ratio and increases with an increase in oxygen concentration. Totals of 22–23% oxygen and 60–100% humidity can better reduce NOx emissions [25]. Sirui Huang explored the influences of the combustion chamber structure and intake humidification on the combustion emissions of diesel engines. The results show that combustion quality can be improved by increasing the aperture of the re-entry chamber, vortex, and TKE, as well as other methods. Air intake humidification can reduce NOx emissions while also prolonging combustion time [32]. M. Kettner investigated the effect of a single-point water-injection system on diesel engine combustion emissions. The results showed that at higher loads, when the water-to-fuel ratio was below 40%, it had a small impact on the pre combustion stage and had little effect on the main combustion stage. The effective specific fuel consumption remained almost constant, and the nitrogen oxidation and particulate matter emissions were effectively improved [33,34,35].
In this paper, the impact of humidifying the intake air on the combustion process and emission generation is investigated. The ratio of water-to-fuel mass is designated as diverse IAH rates. Through analyzing the average cylinder pressure and temperature, the influence of IAH on the formation of NOx and soot was examined at higher IAH rates. Engine performance drops due to the deterioration of combustion. Further studies were carried out on the effects of different SOIs on the combustion and emissions of marine diesel engines with IAH, mainly exploring the variations in temperature and pressure, as well as the trade-off relationship between NOx and particulate matter. This offers a specific theoretical foundation for the application and enhancement of marine diesel engines utilizing intake humidification technology.
2. Numerical Simulation
2.1. Engine Model
In this paper, a Perkins 2306c marine turbocharged internal cooling diesel engine is studied. This model of diesel engine is mainly used as a generator set on ships. The software used is CONVERGE3.0, which can automatically generate grids and save overall calculation time. Table 1 presents the main parameters of a diesel engine. Figure 1 depicts the computational grid of the original marine diesel engine combustion chamber. The shape of the combustion chamber of this diesel engine is of ω type, symmetrically distributed around the center of the cylinder. The type of fuel injector employed is 6 nozzle holes. To reduce the quantity of grids and save computational time without influencing computational accuracy, only a 1/6-cylinder sector is utilized to simulate the combustion process. The number of meshes is approximately 173,494 for the piston at top dead center (TDC). This paper mainly conducts a simulation of the combustion process of diesel engines. The simulation range is −147° CA–135° CA.
Table 1.
Engine parameters.
Figure 1.
Combustion chamber model with the piston at TDC.
2.2. Initial and Boundary Conditions
Table 2 shows the initial boundary conditions of the diesel engine. We maintained initial pressure and temperature constant during the simulation. The humidity ratios were set to 0%, 20%, 40%, 60%, 80%, and 100%. This paper simulates the combustion emissions of 21%, 23%, 25%, 27%, and 29% oxygen concentrations under the condition of zero humidity ratio. When the humidity ratio of the intake is 0% and the oxygen concentration is 21%, it indicates that the intake is dry air. The test engine speed is 1500 r/min, and the test load is 75% of the rated power. Table 3 shows the physical models used in the simulation. Equation (1) is the equation for turbulent kinetic energy ; Equation (2) is the equation for turbulent flow energy dissipation rate [35].
where the density is represented by ; the turbulent kinetic energy per unit mass is ; the time is ; the velocity vector is ; the dynamic viscosity is ; the dissipation rate is ; the generation term of turbulent kinetic energy caused by the average velocity gradient is ; the generation term of turbulent kinetic energy caused by buoyancy is ; for in-compressible fluids, = 0; the rate of dissipation of turbulence kinetic energy is ; the compressibility correction term is ; and are the source terms of equations and , respectively; and is a constant term.
Table 2.
Initial boundary conditions.
Table 3.
Material models used in the experiment.
The RNG k-epsilon model has an additional correction term compared to the standard k-epsilon model. This additional item is the effect of eddy currents on turbulence, which improves the accuracy of fast strain flow and also enhances the accuracy of eddy currents. The collision model used is NTC collision. NOx emissions are calculated using the Zeldovich model, while soot emissions are calculated using a dynamic model. Table 3 shows the specific model usage. Table 4 presents the main characteristics of the ULSD and the biodiesel. Table 5 indicates the initial gas mass fraction within the cylinder.
Table 4.
Properties of ultralow sulfur diesel (ULSD) and biodiesel.
Table 5.
The initial gas mass fraction in the cylinder.
2.3. Model Validation
Figure 2 shows a comparison between experimental and simulated cylinder pressure and heat-release rate. It can be seen from the graph that the curves of the experiment and simulation are quite consistent. The peak pressure of the experimental cylinder is 11.5 MPa, and the peak pressure of the simulated cylinder is 11.3 MPa. The authors of this paper believe that the model can predict the combustion and emission effects of the diesel engine well by comparing the curves of cylinder pressure and heat-release rate.
Figure 2.
Comparison of in-cylinder pressure and HRR for the simulation and experiment.
3. Results and Discussion
The Effect of Intake Humidification on the Combustion Emissions of Biodiesel
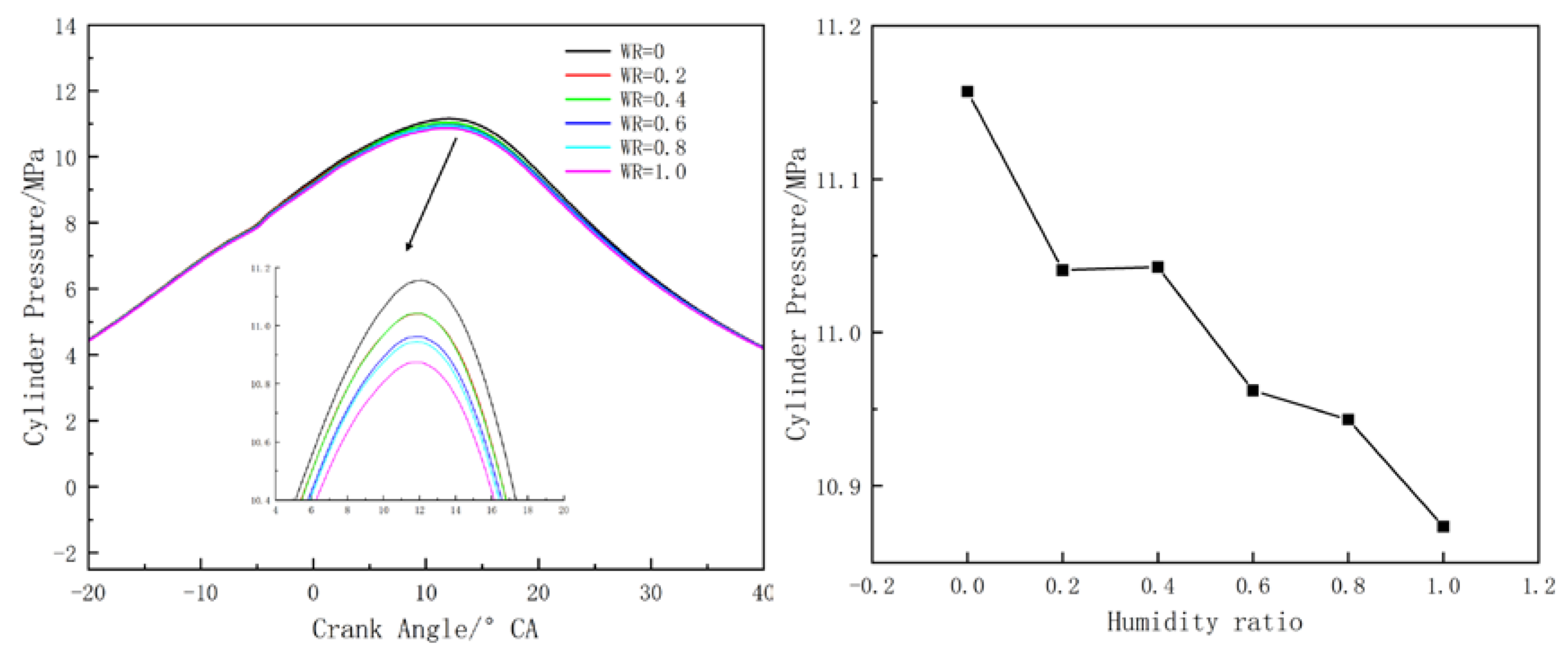
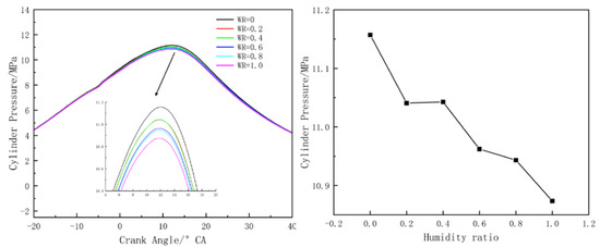
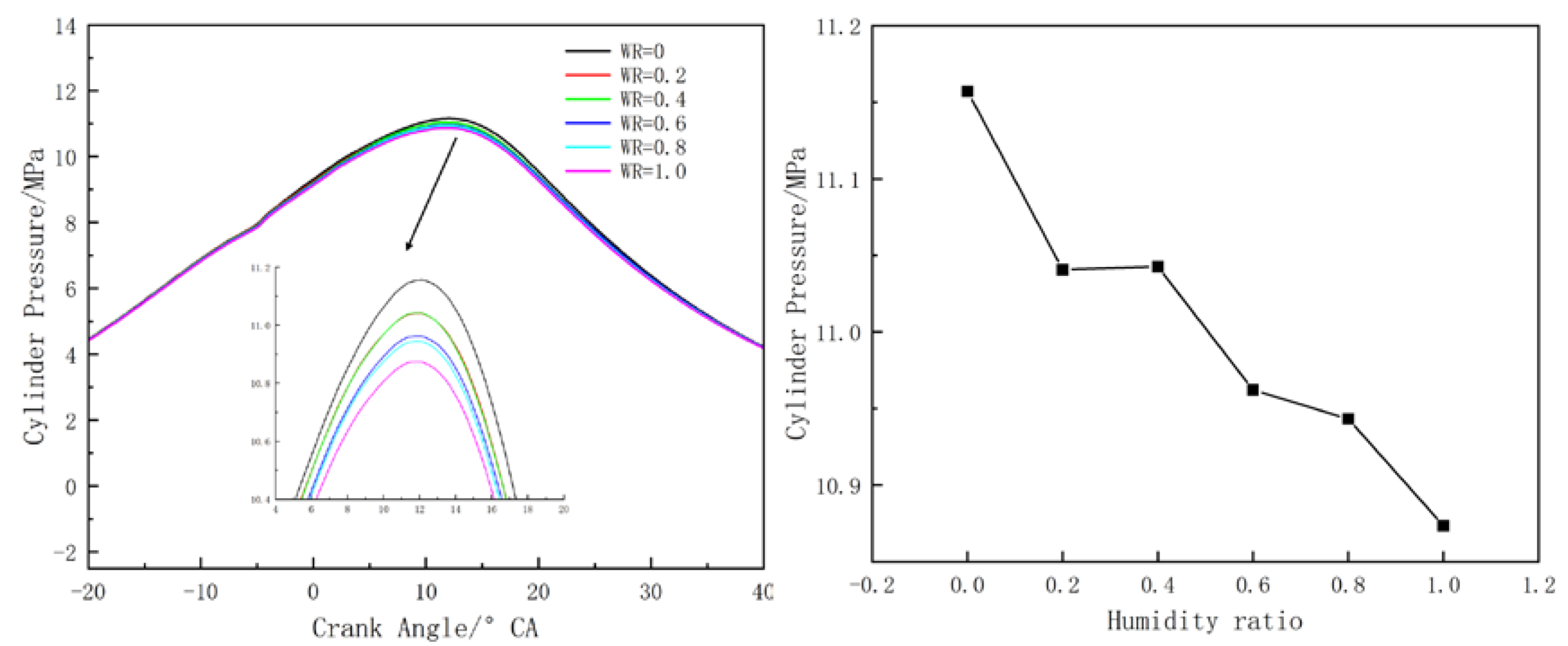
Figure 3 shows the effect of humidity ratios on combustion pressure and peak cylinder pressure inside the cylinder. From Figure 3 and Figure 4, it can be seen that the pressure inside the cylinder is less affected by the humidity ratio during the compression stroke. After igniting the fuel during the power stroke, except for a humidity ratio of 0.4, the cylinder pressure decreases as the humidity ratio increases. When the humidity ratio is 0.4, the peak cylinder pressure is 0.2 MPa higher than when it is 0.2. The main reason for this is that when the humidity ratio is less than 0.4, water will undergo a decomposition reaction when injected into the cylinder. The radicals produced by the decomposition will promote the pyrolysis of biodiesel, leading to an increase in the peak cylinder pressure. As the humidity ratio continues to increase, the heat capacity of the mixture of water and biodiesel is relatively large, so it can absorb more heat. This leads to a decrease in the pyrolysis reaction rate of biodiesel and a decrease in the peak cylinder pressure. When the humidity ratio increases from 0% to 100%, the peak pressure in the cylinder decreases from 10.873 MPa to 11.157 MPa, while the corresponding crankshaft angle does not change much.
Figure 3.
Effects of humidity ratios on cylinder pressure and peak cylinder pressure.
Figure 4.
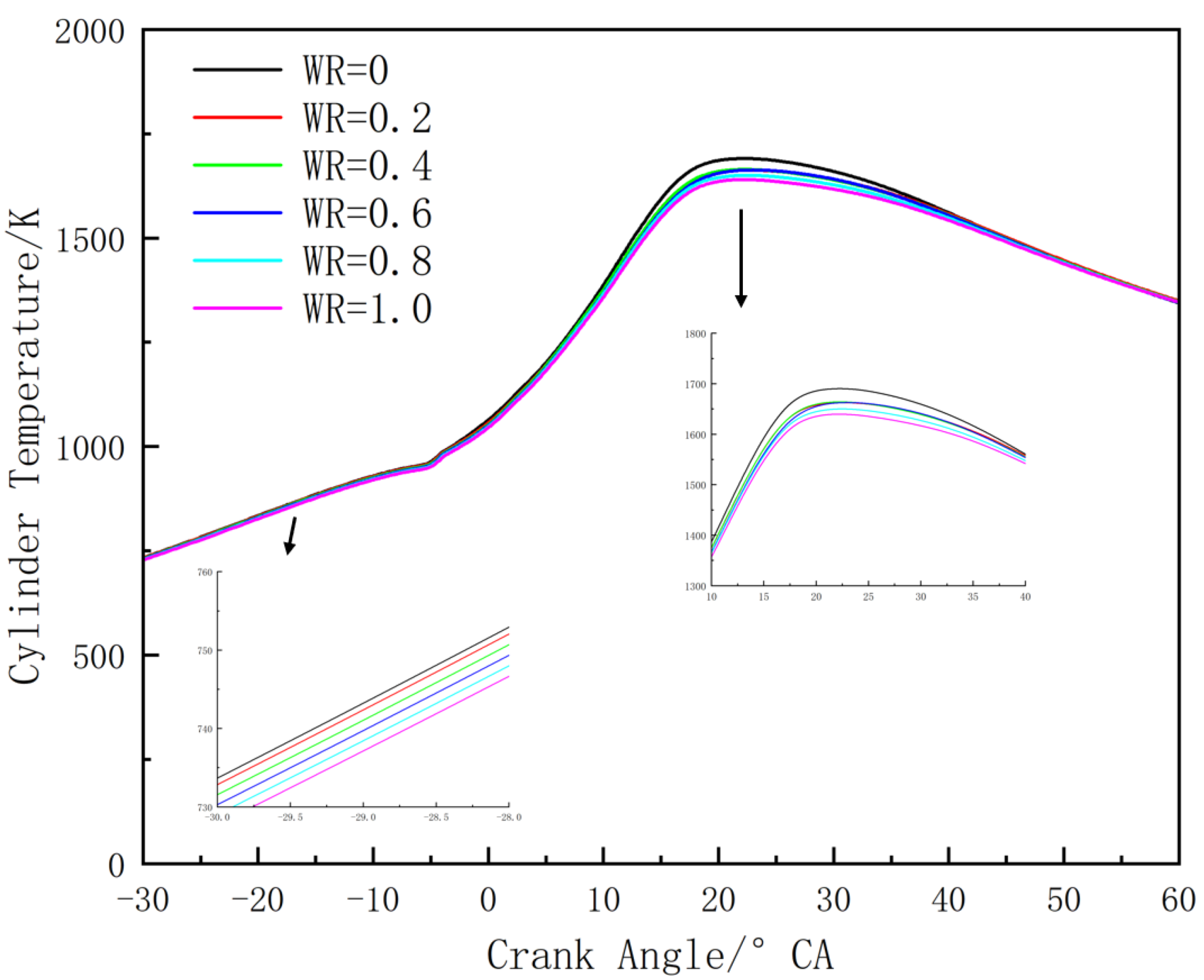
Effects of humidity ratios on cylinder temperature.
Figure 4 shows the relationship between cylinder temperature and crankshaft angle under different humidity ratios. It can be seen that air humidification can reduce the cylinder temperature. For the compression stage, because of the relatively large specific heat capacity of water, the cylinder temperature decreases with an increase in humidity ratio. After entering the cylinder, it is distributed in areas such as the cylinder wall, piston, and gap, which can absorb more heat. For the combustion stage, the peak temperature of a cylinder with a humidity ratio of 0.2 is lower than the peak pressure of a cylinder with a humidity ratio of 0.4. This is because at lower humidity ratios, functional groups generated by water molecule decomposition can promote fuel pyrolysis, leading to an increase in cylinder temperature. The peak cylinder temperature at a humidity ratio of 0.6 is lower than the peak at a cylinder temperature of 0.4, and the crankshaft angle reaching the peak is delayed. This is because water molecules need to absorb more heat during the decomposition process than when the humidity ratio is 0.4. At the same time, more water molecules will reduce the oxygen concentration in the cylinder, reduce the rate of fuel pyrolysis reaction, and reduce the temperature inside the cylinder.
Figure 5 shows the relationship between NOx and crankshaft angle. It can be seen that intake humidification can effectively decrease NOx emissions. As the humidity ratio increases, the rate of NOx generation also decreases, and the peak emissions also decrease. The NOx emissions at a humidity ratio of 1.0 are 55.02% lower than those at a humidity ratio of 0. The rate of NOx generation mainly depends on the average temperature inside the cylinder and the concentrations of O and N2 [36]. Figure 6 presents the relationship between the mass of O radicals and the crankshaft angle at different humidity ratios. From the graph, it can be seen that as the humidity ratio increases, the number of oxygen radicals decreases. When the humidity ratio is 1.0, there are the fewest oxygen radicals, and the least NOx is generated. Figure 7 is a schematic diagram of NOx emissions during fuel combustion at 50% under different humidity ratios (CA50). From the graph, it can be seen that the generation of NOx is mainly concentrated in areas such as cylinder walls, cylinder heads, and clearances, and as the humidity ratio increases, the area of NOx generation decreases.
Figure 5.
Effects of humidity ratios on NOx.
Figure 6.
Effects of humidity ratios on O.
Figure 7.
NOx distribution in the cylinder at CA50 ATDC under different WRs.
The formation of soot particles is due to incomplete combustion of fuel. This means that higher carbon emissions are a sign of inadequate combustion. The process of forming cigarette ash particles includes the formation of cigarette ash precursors; nucleation or initial particle formation of heavy polycyclic aromatic hydrocarbon molecules; increase in particle mass from addition of gas-phase molecules; coagulation caused by reactive particle collision; carbonization of granular materials; and oxidation of polycyclic aromatic hydrocarbons and smoke particles [37]. Figure 8 shows the variation in OH radicals with crankshaft angles of different humidity ratios. As the humidity ratio increases, the quality of OH-radical generation decreases. This is mainly due to the increase in humidity ratio leading to a decrease in cylinder temperature, a decrease in the decomposition reaction rate of water molecules, and a decrease in the quality of OH-radical generation. Figure 9 illustrates how the emissions of soot and dust vary with crank angles (CAs) under different humidity ratios. Figure 10 presents the soot distribution at CA50. Theoretically, as the humidity ratio increases, the ignition-delay period becomes longer, allowing for more uniform fuel and air mixing. This extended mixing time ensures better homogeneity, while intake humidification also mitigates localized oxygen deficiency and fuel-rich regions. One primary effect of intake humidification is to lower the combustion temperature within the cylinder, which helps to inhibit fuel pyrolysis and reduce soot formation. Moreover, water molecules decompose into OH radicals at high temperatures, accelerating soot oxidation and consequently reducing soot levels. As the humidity ratio rises from 0% to 100%, there is a slight reduction in soot content.
Figure 8.
Effects of humidity ratios on OH.
Figure 9.
Effects of humidity ratios on soot.
Figure 10.
Soot distribution in the cylinder at 50° CA ATDC under different WRs.
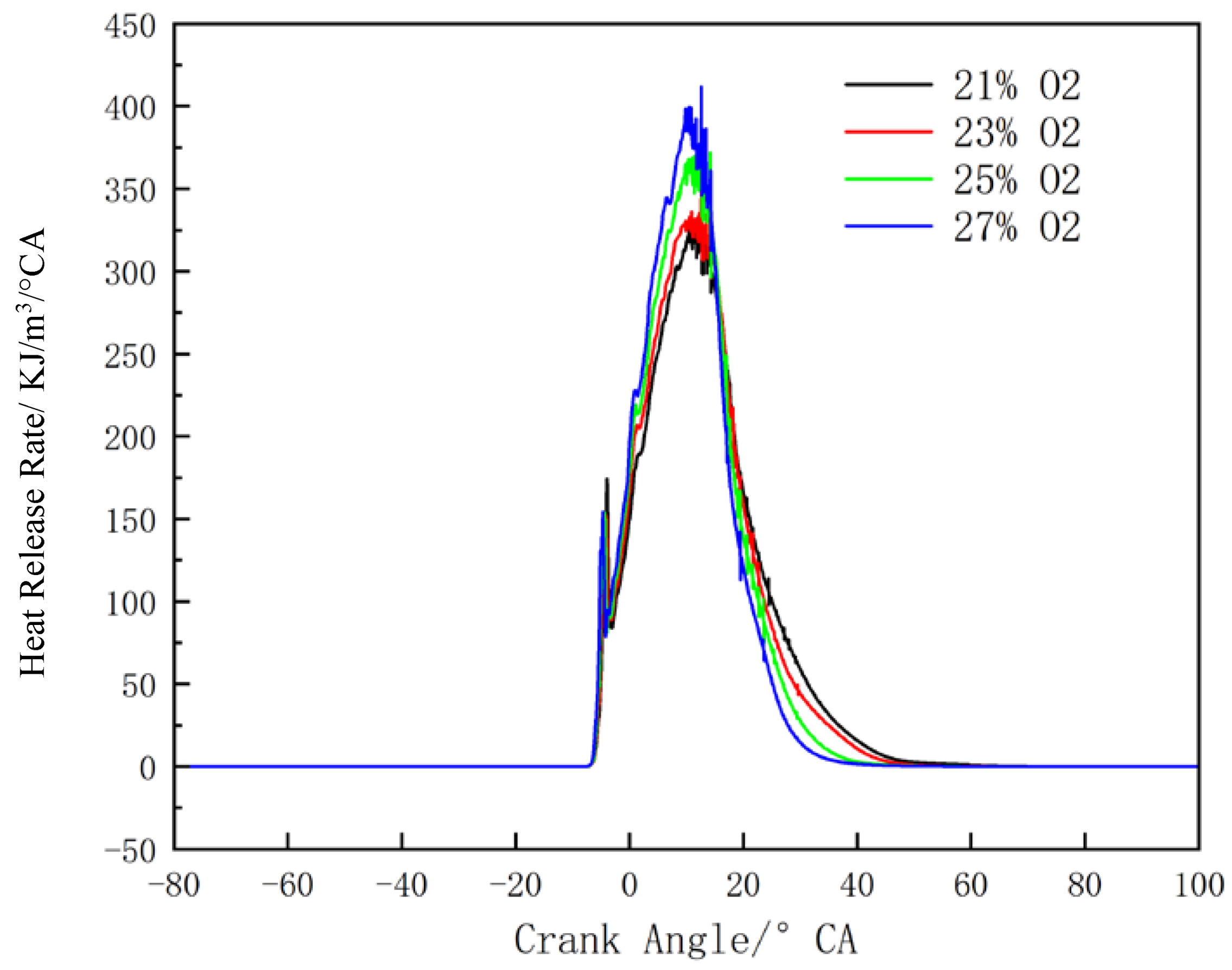
Figure 11 presents the connection between the cylinder pressure curve and the crankshaft angle under diverse oxygen concentrations. It is observable that during the compression stage, the influence of oxygen concentration on cylinder pressure is not prominent. With the rise of oxygen concentration, the peak cylinder pressure slightly ascends. When the oxygen concentration is 27%, the peak value increases by approximately 8.3% compared to when it is 21%. Figure 12 depicts the comparison of ignition-delay time under different oxygen concentrations. In this paper, ignition-delay time is defined as the period between the injection time and CA10. From the graph, it can be noticed that the ignition-delay time reduces as the oxygen concentration increases. The shorter the ignition-delay time, the more easily the diesel engine can start. Figure 13 demonstrates the impact of oxygen concentration on the heat-release rate. As can be seen in the figure, the peak heat-release rate rises with the increase in oxygen concentration. This is because an increase in oxygen concentration leads to the acceleration of the chemical reaction rate, an increase in exothermic rate, and the acceleration of the fuel pyrolysis rate, which eventually leads to the increase in cylinder pressure.
Figure 11.
Variation in cylinder pressure with CA for different O2 concentrations (humidity ratio: WR = 0).
Figure 12.
Ignition-delay time under different O2 concentrations.
Figure 13.
HRR under different O2 concentrations.
Figure 14 presents the average temperature of the cylinder under various oxygen concentrations and the temperature within the cylinder at different crank angles. The alteration in oxygen concentration has a negligible impact on the compression stage. In the combustion phase, with the increase in oxygen concentration, both the rate of temperature increase in the cylinder and the peak value of the cylinder temperature rise. Due to the increase in oxygen content, the mid-term diffusion combustion of biodiesel is promoted, the combustion speed is accelerated, the fuel combustion is more complete, and the temperature rises. When the oxygen concentration decreases, the reaction speed slows down, fuel combustion is not sufficient, and the average temperature in the cylinder decreases accordingly.
Figure 14.
Variation in cylinder temperature with CA for different O2 concentrations.
Figure 15 shows the relationship between NOx and crankshaft angle under different oxygen concentration ratios. Among them, NO is the main NOx emitted from the combustion of biodiesel. As shown in the figure, with the increase in oxygen concentration, the formation time of NOx is advanced, and the formation rate of NOx increases. This affects the final generation quality of NOx. The NOx emissions at an oxygen concentration of 27% are 7.08 times higher than the NOx emissions at an oxygen concentration of 21%. Figure 16 presents the distribution of NOx within the cylinder at various oxygen concentrations under CA50 conditions and with WR equaling 0. It can be observed from the figure that NOx is distributed in the cylinder, the cylinder wall, and the gap. As the oxygen concentration rises, the quantity of NOx produced increases.
Figure 15.
Variation in NOx with CA for different O2 concentrations (humidity ratio: H0).
Figure 16.
NOx distribution in the cylinder at CA50 ATDC under different oxygen concentrations.
Figure 16 shows the NOx distribution in the cylinder at CA50 ATDC under different oxygen concentrations. The increase in oxygen concentration leads to the formation of soot, and the peak time occurs slightly earlier. The peak value of carbon soot generated at an oxygen concentration of 27% is reduced by 86.13% compared to 21%, and it is 2.8° CA earlier. Figure 17 shows soot distribution in the cylinder at CA50 ATDC under different oxygen concentrations. It can be seen that due to collision with the cylinder wall, a small amount of fuel accumulates at the bottom of the combustion chamber, while more fuel moves upward after colliding with the wall, resulting in more soot at the top of the cylinder head and the gap. At CA50, with the increase in oxygen concentration, the area where soot and dust are formed decreases. This is mainly because enriched oxygen air increases the combustion temperature and pressure inside the cylinder, making fuel molecules more prone to thermal decomposition. From Figure 18, it can be seen that when the oxygen concentration is 27%, the amount of soot produced is the lowest.
Figure 17.
Variation in soot with CA for different O2 concentrations (humidity ratio: H0).
Figure 18.
Soot distribution in the cylinder at CA50 ATDC under different oxygen concentrations.
4. Conclusions
Taking a marine diesel engine as a model, this paper studies the effects of intake humidity and oxygen concentration on biodiesel combustion emissions of diesel engines. The following conclusions are drawn:
- (1)
- The humidity ratio can affect fuel pyrolysis and consequently cylinder pressure by changing the oxygen concentration and water molecule decomposition radicals. When WR = 1, the cylinder pressure decreases by 2.61% compared to when WR = 0. When the oxygen concentration increases from 21% to 27%, the peak cylinder pressure increases by 8.3%;
- (2)
- An increase in oxygen concentration can effectively reduce the ignition-delay time of biodiesel. The ignition-delay time is 6.4° earlier at 21% oxygen concentration than at 27%. The reduction of ignition-delay time can make it easier for diesel engines to start;
- (3)
- With the increase in humidity ratio, the emission of NOx decreased. Compared to dry air, NOx emissions decrease by 55.02% when WR = 1. The NOx emissions at an oxygen concentration of 27% are 7.08 times higher than those at 21%. As the combustion process continues, NOx is mainly distributed in the cylinder head, cylinder wall, gap, and other areas, and the area where NOx is produced decreases with the increase in humidity ratio;
- (4)
- Although air intake humidification can improve NOx emissions, it will also increase soot emissions mainly because an increase in humidity ratio reduces the decrease in oxygen concentration, leading to a decrease in fuel-cracking reaction rate. The peak mass of carbon soot at an oxygen concentration of 27% decreased by 86.13% compared to 21%.
Both intake humidification and an increase in oxygen concentration can improve the combustion emissions of diesel engines to a certain extent. However, both methods have certain drawbacks. In order to better improve the combustion emissions of diesel engines, a combination of the two methods can be considered.
Author Contributions
Software, X.L.; Writing—original draft, P.G.; Writing—review & editing, X.H. All authors have read and agreed to the published version of the manuscript.
Funding
This work is supported by Shanghai Engineering and Technology Research Center of Port and Marine Heavy Equipment Safety (Grant No. 20DZ2253300).
Institutional Review Board Statement
Not applicable.
Informed Consent Statement
Not applicable.
Data Availability Statement
The original contributions presented in this study are included in the article. Further inquiries can be directed to the corresponding authors.
Conflicts of Interest
The authors declare no conflict of interest.
References
- Ge, J.C.; Wu, G.; Choi, N. Comparative study of pilot–main injection timings and diesel/ethanol binary blends on combustion, emission and microstructure of particles emitted from diesel engines. Fuel 2022, 313, 122658. [Google Scholar] [CrossRef]
- Duraisamy, B.; Varuvel, E.G.; Palanichamy, S.; Subramanian, B.; Jerome Stanley, M.; Madheswaran, D.K. Impact of hydrogen addition on diesel engine performance, emissions, combustion, and vibration characteristics using a Prosopis Juliflora methyl ester-decanol blend as pilot fuel. Int. J. Hydrogen Energy 2023, 75, 12–23. [Google Scholar] [CrossRef]
- Lu, Z.; Liu, M.; Shi, L.; Wang, T.; Lu, T.; Wang, H. Numerical research of the injected exhaust gas recirculation strategy on a two-stroke low-speed marine diesel engine. Energy 2022, 244, 122731. [Google Scholar] [CrossRef]
- Fernando, S.; Hall, C.; Jha, S. NOx reduction from biodiesel fuels. Energy Fuels 2006, 20, 376–382. [Google Scholar] [CrossRef]
- Yusuf, A.A.; Yusuf, D.A.; Jie, Z.; Bello, T.Y.; Tambaya, M.; Abdullahi, B.; Muhammed-Dabo, I.A.; Yahuza, I.; Dandakouta, H. Influence of waste oil-biodiesel on toxic pollutants from marine engine coupled with emission reduction measures at various loads. Atmos. Pollut. Res. 2022, 13, 101258. [Google Scholar] [CrossRef]
- Troberg, M.; Delneri, D. Tier III emission roadmap for marine engine application; Roadmap zur Erfuellung der Tier-III-Abgasnorm fuer Schiffsmotoren. MTZ Worldw. 2010, 71, 12–17. [Google Scholar] [CrossRef]
- Verma, T.N.; Shrivastava, P.; Rajak, U.; Dwivedi, G.; Jain, S.; Zare, A.; Shukla, A.K.; Verma, P. A comprehensive review of the influence of physicochemical properties of biodiesel on combustion characteristics, engine performance and emissions. J. Traffic Transp. Eng. 2021, 8, 510–533. [Google Scholar] [CrossRef]
- Kumar, K.S.; Surakasi, R.; Patro, S.G.K.; Govil, N.; Ramis, M.; Razak, A.; Sharma, P.; Alsubih, M.; Islam, S.; Khan, T.; et al. Performance, combustion, and emission analysis of diesel engine fuelled with pyrolysis oil blends and n-propyl alcohol-RSM optimization and ML modelling. J. Clean. Prod. 2023, 434, 140354. [Google Scholar] [CrossRef]
- Nadimi, E.; Przybyła, G.; Lewandowski, M.T.; Adamczyk, W. Effects of ammonia on combustion, emissions, and performance of the ammonia/diesel dual-fuel compression ignition engine. J. Energy Inst. 2023, 107, 101158. [Google Scholar] [CrossRef]
- Chhandama, M.V.L.; Satyan, K.B.; Changmai, B.; Vanlalveni, C.; Rokhum, S.L. Microalgae as a feedstock for the production of biodiesel: A review. Bioresour. Technol. Rep. 2021, 15, 100771. [Google Scholar] [CrossRef]
- Wetterwald, L.; Leybros, A.; Fleury, G.; Delrue, F.; Dimitriades-Lemaire, A.; Chambonniere, P.; Hertz, A. Supercritical CO2 extraction of neutral lipids from dry and wet Chlorella vulgaris NIES 227 microalgae for biodiesel production. J. Environ. Chem. Eng. 2023, 11, 110628. [Google Scholar] [CrossRef]
- Patiño, Y.; Faba, L.; Díaz, E.; Ordóñez, S. Biodiesel production from wastewater sludge using exchange resins as heterogeneous acid catalyst: Catalyst selection and sludge pre-treatments. J. Water Process Eng. 2021, 44, 102335. [Google Scholar] [CrossRef]
- Mondal, B.; Kapadiya, P.; Jana, A.K. A zero discharge, carbon-neutral bi-fuel production process for algal biodiesel and renewable hydrogen. J. Clean. Prod. 2023, 425, 138865. [Google Scholar] [CrossRef]
- Kumsiri, B.; Pekkoh, J.; Pathom-Aree, W.; Lumyong, S.; Phinyo, K.; Pumas, C.; Srinuanpan, S. Enhanced production of microalgal biomass and lipid as an environmentally friendly biodiesel feedstock through actinomycete co-culture in biogas digestate effluent. Bioresour Technol 2021, 337, 125446. [Google Scholar] [CrossRef] [PubMed]
- Mishra, V.K.; Goswami, R. A review of production, properties and advantages of biodiesel. Biofuels 2018, 9, 273–289. [Google Scholar] [CrossRef]
- Silva, A.L.; Farias, A.F.F.; Meneghetti, S.M.P.; dos Santos Filho, E.A.; de Melo Costa, A.C.F. Optimization of biodiesel production via transesterification of soybean oil using α-MoO3 catalyst obtained by the combustion method. Arab. J. Chem. 2022, 15, 104012. [Google Scholar] [CrossRef]
- Azad, A.K.; Halder, P.; Wu, Q.; Rasul, M.G.; Hassan, N.M.S.; Karthickeyan, V. Experimental investigation of ternary biodiesel blends combustion in a diesel engine to reduce emissions. Energy Convers. Manag. X 2023, 20, 100499. [Google Scholar] [CrossRef]
- Akintunde, S.B.; Obayopo, S.O.; Adekunle, A.S.; Obisesan, O.R.; Olaoye, O.S. Combustion and emission study of sandbox seed oil biodiesel performance in a compression ignition (CI) engine. Energy Rep. 2021, 7, 3869–3876. [Google Scholar] [CrossRef]
- Tayari, S.; Abedi, R.; Rahi, A. Comparative assessment of engine performance and emissions fueled with three different biodiesel generations. Renew. Energy 2020, 147, 1058–1069. [Google Scholar] [CrossRef]
- Benjumea, P.; Agudelo, J.R.; Agudelo, A.F. Effect of the degree of unsaturation of biodiesel fuels on engine performance, combustion characteristics, and emissions. Energy Fuels 2011, 25, 77–85. [Google Scholar] [CrossRef]
- Yang, N.; Deng, X.; Liu, B.; Li, L.; Li, Y.; Li, P.; Tang, M.; Wu, L. Combustion performance and emission characteristics of marine engine burning with different biodiesel. Energies 2022, 15, 5177. [Google Scholar] [CrossRef]
- Geng, P.; Mao, H.; Zhang, Y.; Wei, L.; You, K.; Ju, J.; Chen, T. Combustion characteristics and NOx emissions of a waste cooking oil biodiesel blend in a marine auxiliary diesel engine. Appl. Therm. Eng. 2017, 115, 947–954. [Google Scholar] [CrossRef]
- Puškár, M.; Kopas, M.; Puškár, D.; Lumnitzer, J.; Faltinová, E.J. Method for reduction of the NOx emissions in marine auxiliary diesel engine using the fuel mixtures containing biodiesel using HCCI combustion. Mar. Pollut. Bull. 2018, 127, 752–760. [Google Scholar] [CrossRef] [PubMed]
- Sun, X.; Liang, X.; Zhou, P.; Yu, H.; Cao, X. Computational study of NOx reduction on a marine diesel engine by application of different technologies. Energy Procedia 2019, 158, 4447–4452. [Google Scholar] [CrossRef]
- Wang, H.Y.; Yang, X.; Li, Z.Y.; Zhang, C.; Zhu, X.; Zhang, R.; Du, J.; Zhang, S. Numerical Investigation on the Effect of Air Humidification and Oxygen Enrichment on Combustion and Emission Characteristics of Gas Boiler. Processes 2024, 12, 2282. [Google Scholar] [CrossRef]
- Papagiannakis, R.G.; Rakopoulos, D.C.; Rakopoulos, C.D. Evaluation of the air oxygen enrichment effects on combustion and emissions of natural gas/diesel dual-fuel engines at various loads and pilot fuel quantities. Energies 2018, 11, 3028. [Google Scholar] [CrossRef]
- Tan, Q.; Hu, Y. A study on the combustion and emission performance of diesel engines under different proportions of O2 & N2 & CO2. Appl. Therm. Eng. 2016, 108, 508–515. [Google Scholar]
- Jeevahan, J.; Poovannan, A.; Sriram, V.; Raj, R.B.D.; Maghwaran, G.; Joseph, G.B. Effect of intake air oxygen enrichment for improving engine performance and emissions control in diesel engine. Int. J. Ambient. Energy 2019, 40, 96–100. [Google Scholar] [CrossRef]
- Wang, W.; Li, F.; Wang, H. Numerical simulation study on the effect of different oxygen-enrichment atmospheres on diesel combustion. Energy 2023, 266, 126474. [Google Scholar] [CrossRef]
- Ghobadian, B.; Rahimi, H.; Nikbakht, A.M.; Najafi, G.; Yusaf, T.F. Diesel Engine Performance And Exhaust Emission Analysis Using Waste Cooking Biodiesel Fuel With An Artificial Neural Network. 2009. Available online: https://econpapers.repec.org/article/eeerenene/v_3a34_3ay_3a2009_3ai_3a4_3ap_3a976-982.htm (accessed on 26 December 2024).
- Zhou, T.; Geng, P.; Lu, X. Technology. Numerical Simulation of Marine Diesel Engine Combustion and Emissions Using Intake Air Humidification at the Different Injection Timing. Combust. Sci. Technol. 2022, 194, 2440–2460. [Google Scholar] [CrossRef]
- Temizer, I.; Cihan, Ö.; Öncüoğlu, Ö. Numerical investigation of different combustion chamber on flow, combustion characteristics and exhaust emissions. Eur. Mech. Sci. 2023, 7, 7–15. [Google Scholar] [CrossRef]
- Kettner, M.; Dechent, S.; Hofmann, M.; Huber, E.; Arruga, H.; Mamat, R.; Najafi, G. Investigating the influence of water injection on the emissions of a diesel engine. J. Mech. Eng. Sci. 2016, 10, 1865. [Google Scholar] [CrossRef]
- Ravi, R.; Pachamuthu, S.; Shivaprasad, K.V.; Kasinathan, P.; Anandan, S.S.; Sundarababu, J. CFD analysis of innovative protracted finned counter flow heat exchanger for diesel engine exhaust waste heat recovery. Adv. Trends Mech. Aerosp. Eng. 2019. [Google Scholar] [CrossRef]
- Jones, W.P.; Launder, B.E. The prediction of laminarization with a two-equation model of turbulence. Int. J. Heat Mass Transf. 1972, 15, 301–314. [Google Scholar] [CrossRef]
- Ni, P.; Wang, X. Modeling the formation of NOx and soot emissions in a diesel engine at different humidity. Int. J. Green Energy 2012, 9, 815–828. [Google Scholar] [CrossRef]
- Agarwal, A.K.; Kumar, D.; Sharma, N.; Sonawane, U. Engine Modeling and Simulation; Springer: Berlin/Heidelberg, Germany, 2022. [Google Scholar]
Disclaimer/Publisher’s Note: The statements, opinions and data contained in all publications are solely those of the individual author(s) and contributor(s) and not of MDPI and/or the editor(s). MDPI and/or the editor(s) disclaim responsibility for any injury to people or property resulting from any ideas, methods, instructions or products referred to in the content. |
© 2025 by the authors. Licensee MDPI, Basel, Switzerland. This article is an open access article distributed under the terms and conditions of the Creative Commons Attribution (CC BY) license (https://creativecommons.org/licenses/by/4.0/).

















