Abstract
Foundations for offshore wind turbines come in various types, with spar-type floating foundations being the most promising for different depths. This research analyzed the hydrodynamic–mechanical response of a 5 MW spar-type floating foundation under conditions typical of the Colombian Caribbean following the DNV standard. Two types of concrete were evaluated through numerical modeling: one with normal density (2400 kg/m3) and another with lightweight density (1900 kg/m3). Based on the hydrodynamic and structural dynamic response, it was concluded that the variation in concrete density only affected pitch rotation, with better performance observed in the lightweight concrete, achieving maximum rotations of 10°. The coupled model between QBlade and Aqwa was validated by code-to-code comparisons with QBlade’s fully coupled system with its ocean module. This study contributes to offshore engineering in Colombia by providing a detailed methodology for developing a coupled simulation, serving as a reference for both academia and industry amid the ongoing and projected wind energy development initiatives in the country.
1. Introduction
Renewable energy sources are a valuable resource and a cornerstone of the seventh Sustainable Development Goal, affordable and clean energy. They play a fundamental role in the energy transition of at least 120 countries that are advancing in the energy sector and are part of the World Economic Forum’s Energy Transition Index. Renewable energy sources include solar, wind, hydro, tidal, hydrogen, geothermal, and biomass energy, with wind energy standing out due to increasing technological development and global interest [1], with short-, medium-, and long-term utilization projections [2]. At the national level, progress includes the development of documents for the roadmap to a just energy transition. In Colombia, offshore wind energy is being targeted for long-term utilization [3], with studies by Devis-Morales et al. [4] evaluating extreme wind and wave fields on the Colombian Caribbean coast for offshore applications. Additionally, Bolívar [5], and Rueda-Bayona, Guzmán et al. [6] identified an offshore zone near Barranquilla to implement wind farms.
The harnessing of wind resources has been made possible through the development of wind turbines which operate both on land and at sea. For offshore applications, there are two main types of wind turbines: fixed-bottom and floating foundations (Figure 1). Currently, the focus is on developing offshore wind projects due to the constant wind speeds, minimal interruptions to wind flow compared to onshore installations, and reduced visual impact depending on the distance from the coast to the offshore installation site. The current development of foundations for offshore wind turbines is moving toward floating structures, which allow for deployments at depths ranging from 120 to 300 m, avoiding laying foundations for the structure on the seabed, which becomes unfeasible at depths greater than 120 m [7]. Furthermore, the trend in the design of floating foundations is shifting toward the use of concrete as a structural material [8] as it is more cost-effective and requires less maintenance than structural steel [9], which is more commonly used for offshore applications [10].
The origins of using concrete in offshore structures date back to 1993 with the construction of a Tension Leg Platform (TLP) using lightweight concrete. Haug and Fjeld [11] analyzed the advantages of this material, such as its durability, resistance to fatigue and cracking, and low permeability, noting its elevated cost as the only disadvantage. However, lightweight concrete also offers benefits, including mass reduction, reduced lifting capacity requirements for cranes, lower transportation costs, advantages in modular construction [12], and greater resistance to freeze–thaw cycles [13]. Subsequently, the studies by Campos et al. [14] present the design of a spar foundation made of normal-density concrete for a 5 MW wind turbine, emphasizing that this material offers significant cost reductions compared to equivalent steel alternatives, and Oh et al. [15] also present the design of a spar foundation made of concrete for a 10 MW wind turbine, applying an ultimate limit state (ULS) design and optimizing the structure. An example of the applicability of spar-type floating foundation using normal-density concrete is the Hywind Tampen project, located in Norway at depths ranging from 260 to 300 m. Currently in operation with 11 wind turbines of 8.6 MW, it is considered the largest floating wind farm in the world [16,17]. Although there are various floating foundation alternatives in the state-of-the-art, spar-type foundations stand out for their potential for mass production and for offering a cost-effective solution [18,19]. Additionally, their design provides advantages in hydromechanical performance, characterized by reduced heave displacements due to their small waterplane area, and lower roll and pitch rotations thanks to their low center of gravity [20].
Figure 1.
Typologies of fixed and floating foundations for wind turbines. Reproduced with permission from Moisés Jiménez Martinez, International Journal of Fatigue; published by Elsevier, 2020 [21].
Figure 1.
Typologies of fixed and floating foundations for wind turbines. Reproduced with permission from Moisés Jiménez Martinez, International Journal of Fatigue; published by Elsevier, 2020 [21].

Other trends are evident in the state-of-the-art focus on hydromechanical modeling, the implementation of Machine Learning techniques in numerical modeling [18], artificial intelligence (AI) to predict FOWT motions and tensions in mooring lines [22], and even to optimize active ballast systems [23]. Additionally, notable advancements include the design of shared mooring lines for wind farms [24,25], innovative and stable anchoring systems for offshore wind [26,27], and the implementation of dynamic simulations that couple aerodynamic–hydromechanic interactions and anchors [28]. Recent studies by Amiri et al. [29] and Fadaei et al. [30] have delved into the classification of numerical methods for modeling. While Computational Fluid Dynamics (CFD) remains the most precise high-fidelity numerical method, current trends favor more computationally efficient approaches such as nonlinear coupled time-domain analysis incorporating the free-wake vortex theory (medium fidelity). This latter approach has been adopted by software such as OpenFAST (https://github.com/openfast/openfast), QBlade (https://qblade.org), and Simpack (https://www.3ds.com/products/simulia/simpack). Behrens De Luna et al. [31] emphasize the importance of accurate simulation tools for wind turbine design. Comparing QBlade with other software and experimental data, the authors demonstrated that QBlade provides a more accurate representation of physical reality. These findings call into question the reliability of methods like Blade Element Momentum (BEM), which have been widely used in the industry, and highlight the need for more sophisticated approaches to ensure wind turbine safety and optimal performance. In the absence of physical data and modeling, Yang et al. [32] validated the coupled FAST2Aqwa model through code-to-code comparisons with the OpenFAST model, showcasing Aqwa’s strength in resolving hydrodynamic nonlinearities and its superiority in mooring line dynamics. Similarly, Manolas et al. [33] conducted code-to-code comparisons between the models Orcaflex, HAWC2, BLADED, FAST, and hGAST using the BEM theory calibrated through free-wake vortex methods.
This research focuses on the design of a floating concrete spar-type for depths ranging from 120 to 300 m considering extreme maritime weather conditions associated with the ultimate limit state (ULS). Additionally, it evaluates the advantages of lightweight concrete with reduced density compared to the conventional structural concrete of normal density considering the logistical challenges involved in developing massive structures. The study also explores opportunities for more sustainable and cost-effective concrete production, such as the use of recycled materials and fiber-reinforced concrete. The main motivation is to contribute to the development of technologies that promote the harnessing of wind energy, which can complement current energy generation sources in Colombia and, in turn, contribute to the energy transition.
2. Materials and Methods
The methodology used to address the objectives of this work is based on the methodological process proposed by Rueda-Bayona [34] for fixed offshore structures. However, it has been modified (Figure 2) to adapt it for floating structures, given that at least one of the processes established for fixed structures, specifically in item 7 (mechanical analysis of the soil), differs from those required for floating structures.
Figure 2.
Methodological process (stages) for the design of offshore floating wind turbines (FOWTs), modified from Rueda-Bayona [34].
2.1. Study Area
The city of Barranquilla, Atlántico, was selected to obtain the environmental conditions and design the floating foundation, considering that Bolívar [5] and later Bastidas-Salamanca and Bayona [35] analyzed feasible geographic locations for the installation of wind farms near Barranquilla. Based on these studies, a nearby location was chosen that met the minimum depth requirement of 120 to 300 m for the spar-type floating foundation (Figure 3).
Figure 3.
Bathymetry and elevations for the installation of the floating foundation.
Barranquilla (Figure 4) is located in the northeast of Colombia along the Colombian Caribbean (−74.8° O, 11° N). The adjacent coast is influenced hydrodynamically by waters from the Magdalena River through the Bocas de Ceniza mouth, as well as by the physical phenomena of the Caribbean Sea. Regarding tides, Barranquilla and the Colombian Caribbean region, in general, are characterized by mixed semidiurnal tides, with tidal ranges of up to 0.55 m https://cioh.dimar.mil.co/meteorologia/ (accessed on 12 September 2024).
Figure 4.
Study area: Barranquilla (Colombia).
The geographic coordinates for the foundation are −75.5° W, 11.5° N, located approximately 2 km from the coastline, where depths range between 120 and 300 m relative to the sea surface.
2.2. One-Way Coupling: QBlade and ANSYS-Aqwa
- The rotor-nacelle (RNA) and tower assembly model is created in QBlade (version CE 2.0.7.7);
- The floating foundation model is created in ANSYS-Aqwa (version 2024R1);
- The QBlade model is initially run to analyze aerodynamic forces and moments on the hub;
- Forces and moments from the hub are transferred to the center of gravity of the floating foundation using a Matlab (version R2024b) code;
- The model is run in Aqwa with the forces and moments calculated in step 4;
- Hydrodynamic pressure distribution plots on the foundation are exported.
2.3. Data Source
The secondary data source is detailed in Table 1.
Table 1.
Secondary information.
Table 2 presents the physical parameters of seawater and wind.
Table 2.
Wind and seawater properties.
3. Results
3.1. Wave
The deepwater wave data are sourced from the WW3-NOAA reanalysis https://polar.ncep.noaa.gov/waves/hindcasts/ (accessed on 12 September 2024) generated using the WaveWatch 3 spectral wave model. The database has been validated and corrected using a station near the area of influence, specifically, the wave buoy with identifier 41,194 located in Barranquilla at coordinates 11.161° N and −74.681° W https://www.ndbc.noaa.gov/ (accessed on 12 September 2024).
Figure 5 presents the statistics corresponding to the data validation, showing a 13% scatter, a bias (BIAS) close to zero, a linear correlation coefficient of at least 0.84, and a root mean square error (RMS) of 0.31 m. The Taylor diagram (Figure 5b) demonstrates that the reanalysis closely matches the in situ data, as the difference in standard deviation is negligible despite not achieving a linear correlation greater than 0.95.
Figure 5.
Validation of the WW3-NOAA database with in situ data from wave buoy 41194: (a) scatter plot; (b) Taylor diagram.
Once the data were validated, a characterization was performed using wave roses (Figure 6 and Figure 7), which showed similarity to those presented by the Caribbean Oceanographic and Hydrographic Research Center for the area [36]. Additionally, the wave rose for significant wave height exhibits the same predominant directions as those reported by Mesa [37] for the coordinates 12° N and −74° W.
Figure 6.
Wave rose; significant wave height Hs.
Figure 7.
Wave rose; peak period Tp.
A predominant direction is observed around 45°, with the most frequent wave heights ranging from 1.0 to 2.5 m (Figure 6).
From Figure 7, the most frequent wave periods are identified within a range of 6 to 8 s.
For the generation of joint probability plots, the wave periods are discretized in 1 s intervals, the wave heights in 0.25 m intervals, and the directions in 15-degree intervals.
Figure 8 shows the most frequent periods for the defined wave height ranges. This information will later be used to determine the period associated with the extreme wave regime height. Based on the joint probability, a quadratic fit is applied to calculate the period associated with the wave height corresponding to the return period.
Figure 8.
Joint probability Hs-Tp.
The joint probability Hs-Dp (Figure 9) shows dispersion, leading to establishing multiple directions that will define the aligned and misaligned load cases. The directional sectors considered range from 0 to 60 degrees, associated with wave heights greater than 4 m.
Figure 9.
Joint probability Hs-Dp.
Using the annual maxima method, the Gumbel distribution was fitted to determine the extreme wave regime. The result is shown in Figure 10.
Figure 10.
Extreme regime of the significant wave height.
3.2. Ocean Currents
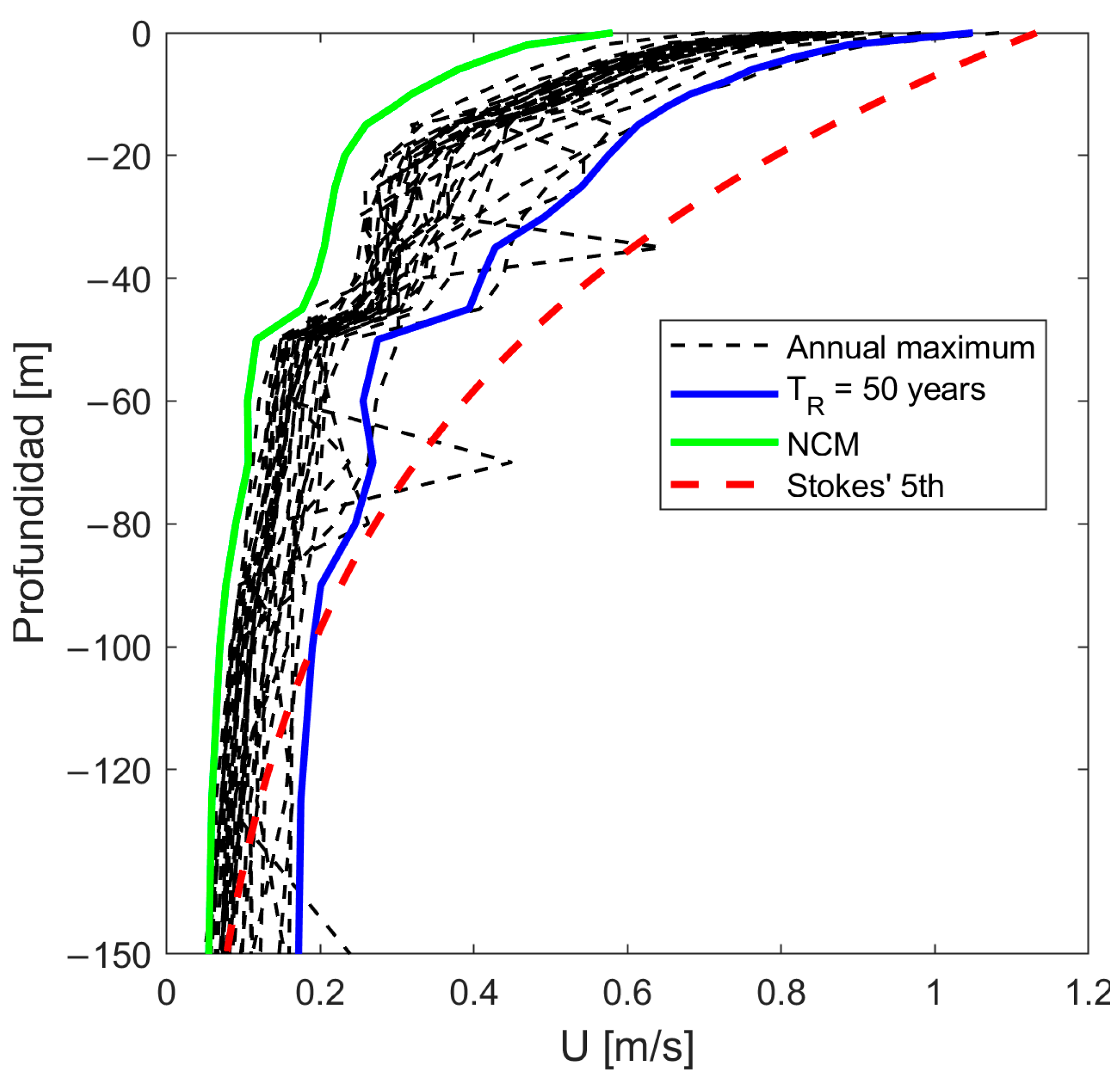
The current database used corresponds to the Hycom reanalysis. Still, it could not be validated due to the lack of in situ data for the area, generating uncertainty in the use of these data. For this reason, it is proposed to use a current profile based on the applicable wave theory to validate both the order of magnitude of the data and its behavior in the vertical direction. Starting from the complete dataset, the current profile for the 50-year return period was calculated using the annual maxima method for each vertical layer, determining the profiles corresponding to the Extreme Current Model (ECM) and Normal Current Model (NCM). Then, the applicable wave theory was evaluated according to the corresponding values for the vertical and horizontal axes of Figure 2.3.1-3 from the API RP 2A-WSD [38].
The data summary is presented in Table 3, leading to the application of Stokes’ fifth wave theory. Fenton’s equations [39] are then followed to generate the current profile for the extreme sea state. The current profiles can be seen in Figure 11.
Table 3.
Variables for the applicability of the wave theory.
Figure 11.
Current profiles.
The wavelength is calculated using an iterative method from Equation (1) with Matlab (version R2024b).
Using the Stokes current profile as a reference, it can be stated that the current profiles generated with Hycom model data maintain both the order of magnitude and the vertical shape.
A current rose is also developed to analyze the predominant current direction, as shown in Figure 12. The surface current has a predominant direction around 50 to 60 degrees relative to the north (0°), with the most frequent speeds ranging from 0.4 to 0.8 m/s.
Figure 12.
Surface current intensity rose.
3.3. Wind
The ERA5 reanalysis [40] was used to characterize the wind field in the area of interest. The closest point was selected at coordinates 11.25° N and −75° W. The database has been validated and corrected with satellite data for the same location (Figure 13) through the metocean-on-demand.com web application.
Figure 13.
Validation of the ERA5 database for the study area.
The wind rose (Figure 14) shows a pattern similar to those presented by CIOH [36] and Rueda-Bayona, Guzmán et al. [6].
Figure 14.
Wind rose; average wind intensity over 1 h at 10 m above the free surface of the sea.
The predominant directions correspond to the 22.5–45 and 45–67.5 sectors, with predominant wind speeds ranging from 6 to 12 m/s. Maximum speeds exceed 15 m/s but are not very frequent, as speeds below 12 m/s are more likely to occur.
The annual maxima method was used to determine the extreme regime and establish the value associated with the 50-year return period. The Weibull distribution was fitted following the methodology presented by Eraso Checa and Escobar Rosero [41]. The result is shown in Figure 15, from which a value of 16.9 m/s was calculated for a 50-year return period.
Figure 15.
Extreme regime of wind intensity at 10 m.
Wind Potential
After processing the historical data, an annual average wind speed of 8.27 m/s at 10 m above the free surface of the sea was obtained, which coincides with the calculation from the Global Wind Atlas (GWA) for the selected point https://globalwindatlas.info/es/ (accessed on 12 September 2024), where a value of 8.43 m/s is reported. It is important to highlight that a good match in the annual mean wind intensity was achieved, considering that ERA5 has a resolution of 27 km, while the GWA has a finer spatial resolution (3 km). The GWA data source was generated by downscaling ERA5 using the WRF—Weather Research and Forecasting model https://www.mmm.ucar.edu/models/wrf (accessed on 12 September 2024).
From the analysis of the curves in Figure 16, it can be observed that average wind speeds exceed 5.1 m/s. The months from January to April and December stand out as having the highest average intensity and, consequently, the highest energy potential of the series (Figure 16b). An average of 400 W/m2 was calculated, with May, September, and October identified as the months with the lowest power density, with approximate values of 183, 86, and 80 W/m2, respectively.
Figure 16.
(a) Multiyear monthly average of wind intensity and (b) available wind power density at 10 m elevation.
Based on the wind analysis, it can be concluded that the selected location is feasible for implementing offshore wind projects using the criterion that locations with annual average wind speeds greater than 5 m/s are suitable [42].
3.4. Definition of Wind Turbine
Before selecting or defining the wind turbine, it is important to establish the required turbine class, which is determined using the information from Table 2-1 of the DNV standard [43] and presented in Table 4. The table shows the limits for each class, with the design values for the maritime climate of the area provided in parentheses.
Table 4.
Offshore wind turbine classification.
As a result of the literature review, a variety of reference wind turbines were found [44] and are listed in Table 5.
Table 5.
Reference wind turbines.
It is evident that the NREL models are not dependent on a specific class, whereas the DTU and IEA models are classified as 1A and 1B, respectively. Therefore, the decision was made to select the 5 MW NREL wind turbine proposed by Jonkman et al. [45] considering the following:
- It has a cut-in wind speed of 3 m/s;
- The higher-powered reference models are class 1, but class 3 is required;
- The NREL 5 MW model has extensive documentation; detailed descriptions of masses, inertias, and operating speeds; and the RNA geometries are available.
The power curve of the wind turbine can be seen in Figure 17, and the power coefficient in Figure 18.
Figure 17.
Power curve. Source: NREL [44].
Figure 18.
Power coefficient. Source: NREL [44].
From Figure 18, it can be observed that the wind turbine operates optimally at wind speeds between approximately 6 and 11 m/s.
The main characteristics of the NREL 5 MW wind turbine are presented in Table 6.
Table 6.
Characteristics of the NREL 5 MW wind turbine.
3.5. Wind at Hub Height
From the extreme wind value calculated in Section 3.1, the wind speed at hub height can be calculated using the formulation described in Section 2.3.2.11 of the DNV standard [46], which converts the hourly average wind intensity at 10 m elevation to the 10 min average wind intensity at the desired height, and in this case, at hub height.
Table 7 presents the probabilities of occurrence for the average wind regime in the range of the cut-in condition (3 m/s), the turbine’s maximum efficiency speed (11.4 m/s), and the cut-out speed (24 m/s). It is evident that from 3 m/s, there is a 96.36% probability of occurrence, which decreases as the wind speed increases, ensuring that the wind turbine will be in operation at least 96% of the time. Furthermore, up to 11.4 m/s, there is a 45.53% probability of occurrence, indicating that the wind turbine will operate at its nominal speed 45% of the time.
Table 7.
Exceedance probability of wind speed at the hub.
Although the annual average is 8.27 m/s, it is necessary to analyze the wind resource variability; therefore, monthly and daily cycles are generated. Figure 19 shows that September and October have the lowest average intensities, around 5.1 m/s.
Figure 19.
Monthly wind cycle.
In the daily wind cycle (Figure 20), it can be observed that the hours of the day with low wind intensities (5 m/s) for September and October are between 12 and 14 h.
Figure 20.
Daily wind cycle.
3.6. Joint Probability Wind-Wave
From the joint probability of significant wave height and wind intensity (Figure 21), a wind intensity of 20.3 m/s is established, associated with an extreme wave height of 5.42 m.
Figure 21.
Joint probability of significant wave height Hs—wind intensity Vhub.
From Figure 22, the aligned and misaligned directions for wave and wind are established, showing the following combinations:
Figure 22.
Joint probability of wave direction—wind direction. The data were derived from the ERA5 reanalysis [40].
- Wave 17.0° wind 52.5° (misaligned by 35.5°);
- Wave 30.0° wind 52.5° (misaligned by 22.5°);
- Wave 37.5° wind 52.5° (misaligned by 15.0°);
- Wave 45.0° wind 52.5° (misaligned by 7.5°);
- Wave 52.5° wind 52.5° (aligned);
- Wave 45.0° wind 45.0° (aligned).
3.7. Design Load Case
Based on the definition of environmental loads and the design load combinations in Table 4-4 [43], Table 8 summarizes the design load cases according to the extreme conditions of Barranquilla, Colombia.
Table 8.
Design load cases (DLCs). Direction convention adjusted for modeling.
3.8. Floating Foundation Materials
Reinforced concrete was established as the primary material for the floating foundation considering both normal and lightweight concrete. Only two types of concrete, categorized by their density, were considered, as the only structural materials typically used for floating foundations are steel and concrete. It should be noted that steel was excluded due to its relatively high cost compared to concrete.
Fiber-reinforced polymers (FRPs) are only applicable as reinforcement bars, either pre-stressed or post-tensioned. However, fiber-reinforced concrete (FRC) is considered a viable alternative. Among the fibers permitted for marine environments by the DNV-C502 standard, FRP and stainless steel fibers are included [47].
Fiber-reinforced concrete was excluded due to its density, as the two selected types of concrete cover the minimum and maximum density values applicable to offshore structures. For the purposes of this research, classifying the material based on its density is crucial, as it is the primary physical property for conducting the hydromechanical analysis. An estimation of the densities for the three types of concrete is presented in Table 9, where a composition of 98% concrete and 2% reinforcement (steel reinforcement ratio) is assumed.
Table 9.
Density of different concrete types.
For steel-reinforced concrete, Section 4.3.2.10 of the DNV standard [47] specifies a minimum concrete grade of C40 (40 MPa) for members exposed to seawater. The concrete grades can be found in Table 4-2 of the same standard for normalweight concrete and Table 4-3 for lightweight concrete [47]. The exposure classes XS3 and XF4 are also defined for a marine environment, establishing a minimum corrosion protection cover of 50 mm for a service life of 50 years (Section 6.17.2).
3.9. Floating Foundation Sizing
Based on the following:
- Analysis and design for the ultimate limit state (ULS);
- Reinforced concrete as the primary material;
- The service life of a concrete structure must be at least 50 years (Section 2.2.1.6);
- Spar-type foundation;
- Depth of around 120 to 300 m;
- Density: 1800 kg/m3.
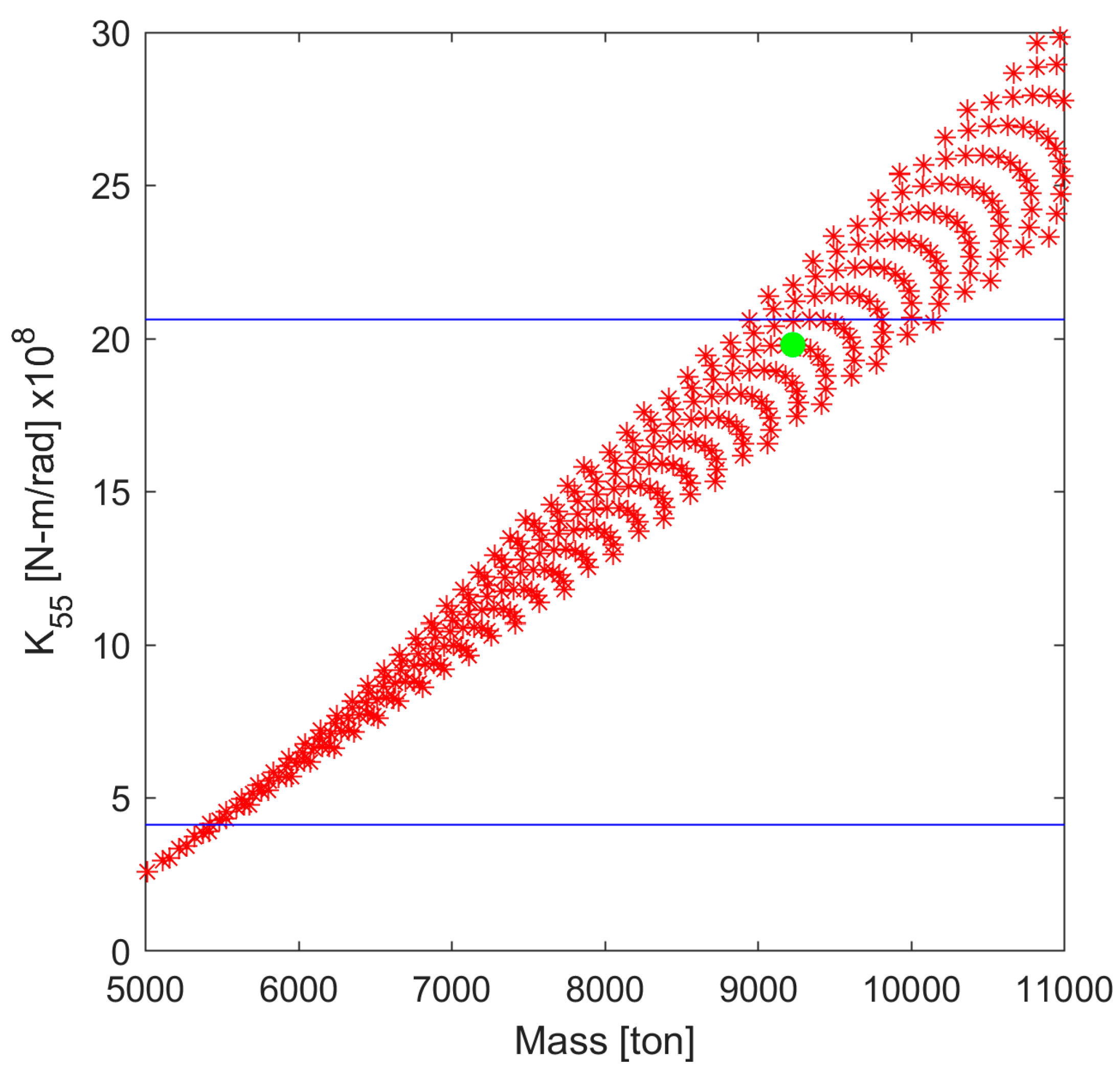
A Matlab (version R2024b) code from Guzmán Montón [48] is implemented to obtain a geometry that meets the minimum restoring coefficient for a maximum pitch angle of 10° under operating conditions. The code was then modified to fit a spar geometry with a truncated conical transition and a semi-spherical base. Among the possible alternatives, the diameter of the foundation that meets the maximum inclination angle between the draft diameter and the base diameter of the tower with a 1:6 ratio is first selected, as recommended for section reduction in concrete columns according to DNV [47]. Then, the alternative with the maximum restoring coefficient among the options is chosen. Figure 23 presents the possible alternatives, with the configuration indicated by the green point being selected.
Figure 23.
Alternative geometries for the design.
The restoring coefficient can be calculated using Equation (2).
The selected foundation is graphically depicted in Figure 24, along with the RNA assembly and tower details in Table 10.
Figure 24.
Dimensions of the selected spar foundation.
Table 10.
Configuration of the selected foundation.
As shown in Table 10, a metacentric height GM = 13.76 m was obtained, thus meeting the stability requirement calculated using the expression from Equation (3) referenced from ACI Committee 357 [49].
3.10. Coefficients and Dimensionless Number
The dimensionless Reynolds number is initially calculated using Equation (4), which is required along with the KC number to determine the inertia and drag coefficients. A maximum surface current velocity U of 1.13 m/s is used. The KC number is calculated using Equation (5).
Thus, for KC < 10 and Re ≥ 1 × 105, the inertia and drag coefficients are established as CM = 2 and CD = 0.6.
3.11. Hydrodynamic Force
Morison’s equation allows the calculation of inertia forces (FI) and drag forces (FD) resulting from a flow acting on a submerged structure. The equation is widely used in oceanographic and coastal engineering and is an adaptation of Newton’s second law. It can be discretized vertically to compute the variation in force per unit meter [50].
By applying the acceleration profile to the inertia term in Morison’s Equation (6) and applying the current profile to the drag term in the same equation, an inertia force FI = 4091 kN and a drag force FD = 108.52 kN are obtained, which aligns with the identified flow regime.
where
ρ is the fluid density [kg/m3];
CD is the drag coefficient;
CM is the inertia coefficient;
Dc is the cylinder diameter [m];
e is the height or depth at which the force is calculated [m];
u(e, t) is the particle velocity [m/s];
is the flow acceleration [m/s2].
3.12. Aerodynamic Force
3.12.1. Rotor
First, the Tip Speed Ratio (TSR) is determined for an optimal operating state, V = 11.4 m/s and RPM 12.1 [45], using Equation (7).
where ωr is the rotor speed in units of rad/s and Rr is the rotor radius in units of meters. Converting 12.1 RPM to rad/s yields a value of 1.2671 rad/s. Solving Equation (7) gives a TSR = 7. From Figure 25, a thrust coefficient Ct = 0.79 is obtained, corresponding to the calculated TSR value.
Figure 25.
Rotor thrust coefficient.
The projected rotor area is then determined using Equation (8) to later apply the drag term from Morison’s equation [50], as presented in Equation (9).
3.12.2. Tower
The projected area, shape coefficient Cs, and height coefficient Ch must be calculated to determine the wind force on the tower. From Table 1 of the DNV-OS-C301 document [51], a shape coefficient is obtained for members with approximately cylindrical shapes, and a height coefficient at hub height (90 m). The projected area of the tower was determined by generating a surface along the tower in ANSYS’s geometric module (SpaceClaim), resulting in a projected area of 472.4 m2.
Once the data are obtained, the drag force is calculated using Equation (10).
3.13. Calculation of Mooring Lines
The code for calculating mooring lines is based on the inelastic solution of the catenary equation proposed by Faltinsen [52]. To use the code, it is necessary to input the horizontal force (Th), the depth (h), and the mass per unit length of the mooring line (w). Regarding the outputs, Tz represents the vertical tension in the mooring line, Tmax is the maximum tension, φw is the angle at the mooring line’s connection point to the floating structure, x is the horizontal distance projected by the mooring line, and l represents the total length of the mooring line.
The procedure for calculating the mooring lines of the foundation in this study is then carried out. Initially, the inertia and drag forces previously determined are summed:
A safety factor of 2 is then applied to select a chain with a breaking strength greater than the total force.
The total force equals 9961.4 kN, and a chain was selected from a catalog available on the website www.dhac.co.kr (accessed on 12 September 2024) with the characteristics listed in Table 11.
Table 11.
Selected chain properties.
In the next step, to use the code, it is assumed that the foundation is in a non-operational state, for which only the drag forces are considered:
The code is run with the horizontal force in units of N (889,700 N), mass per meter in units of N/m (2461.46 N/m), and the vertical position on the foundation in meters. The results from running the code are listed in Table 12, and the configuration of a mooring line can also be seen graphically in Figure 26.
Table 12.
Mooring line results.
Figure 26.
Mooring line for the spar floating foundation.
3.14. Mesh Sensitivity Analysis
A mesh sensitivity analysis was initially performed, and the results are shown in Table 13. A resolution of 1000 mm was chosen for the maximum element size.
Table 13.
Mesh sensitivity analysis of the Aqwa model.
A stability analysis was then performed (Table 14), from which a desired behavior was obtained, as the magnitudes of the final displacements and rotations are close to zero.
Table 14.
Stability analysis.
3.15. Numerical Modeling
The numerical models used in this research are QBlade (version CE 2.0.7.7) and ANSYS-Aqwa (version 2024R1). To achieve more accurate results and conduct a comprehensive analysis of floating foundations for offshore wind turbines (FOWTs), a coupling between both software programs has been implemented. The decision to use these tools is based on the requirements of the IMP-3121 project from the Universidad Militar Nueva Granada, from which this research originates. In this project, simulations were conducted with ANSYS-Aqwa, considering only simplified aerodynamic loads.
Although QBlade is a model that couples aerodynamic and hydrodynamic analyses, the coupling between QBlade (aerodynamics) and Aqwa (hydrodynamics) was chosen because Aqwa, in addition to the governing equations of QBlade’s oceanic module, incorporates the Boundary Element Momentum theory, commonly known as the Panel Method. This allows for the accurate representation and discretization of complex geometries using shell elements and optionally Morison elements or a combination of both [53]. In contrast, QBlade is limited to Morison elements. Morison elements are characterized as tubular or cylindrical elements defined by their outer diameter and wall thickness.
3.15.1. Governing Equations in QBlade: Free-Wake Vortex
The QBlade (version CE 2.0.7.7) software uses the free-wake vortex method to simulate aerodynamic forces on rotors. Unlike other methods such as Blade Element Momentum (BEM), this approach explicitly models the rotor wake, enabling more accurate and realistic results, particularly in scenarios with complex operating conditions, such as floating offshore wind turbines.
The assumptions of the free-wake vortex method include an incompressible, inviscid, and irrotational fluid [29]. The wake trajectory is determined by the sectional lift force in Equation (14).
where is the air fluid density, is the flow velocity, is the blade velocity, is the induced velocity, and represents the vortex lines. Equations (15) and (16) represent the vortex elements on the blades and in the wake, respectively.
Thus, the induced velocity is calculated using the Biot–Savart equation (Equation (17)) by integrating the contributions from the vortex elements along the vortex segments.
3.15.2. Governing Equations in ANSYS-Aqwa: Flow Potential Theory
The flow potential theory simplifies fluid analysis by assuming that friction and viscosity forces are negligible compared to potential flow forces. The potential function is then defined in Equation (18), with its gradient applied to resulting in the flow velocity, as shown in Equation (19).
where is the amplitude of the potential flow, represents the depth, is the wave number, represents the spatial coordinate in the plane normal to in the direction of the flow, is the angular frequency, and represents time in consistent units.
The flow velocity is represented by .
The flow potential theory assumes an irrotational flow, as shown in Equation (20), under the assumption that it must satisfy the Laplace equation (Equation (21)), which is discretized in Equation (22).
The variable represents the horizontal coordinate normal to the -plane in consistent units.
To solve for pressures, the normal velocity component is assumed to be zero at the seabed (Equation (23)). At the free surface of the sea, it is assumed that the fluid remains on the surface (Equation (24)). For surface pressure, a reference value equal to atmospheric pressure is assumed, allowing the fluid pressure to be determined using Bernoulli’s equation (Equation (25)).
where represents the fluid pressure, is the atmospheric pressure, is the water fluid density, and is the gravitational acceleration in consistent units.
3.16. QBlade vs. QBlade–Aqwa Comparison
Two cases were prepared for numerical modeling: one fully coupled in QBlade (Figure 27) and the other in Aqwa (Figure 28), coupled one-way with QBlade. Both cases had identical environmental forcing conditions (Table 15), the same stiffness and mass matrices, and the same mooring line configuration.
Figure 27.
QBlade model. (a) Side view and (b) isometric view.
Figure 28.
Aqwa model. (a) Side view and (b) isometric view.
Table 15.
Modeling case conditions.
Among the assumptions in the aerodynamic component, and as established in Table 6, the NREL 5 MW wind turbine is defined as a variable-speed turbine and modeled accordingly using a TUB interface controller type. The controller used includes the DLL file TUBCon_1.3.9_64Bit.dll and the parameter file TUBCon_Params_V1.3.9_NREL5MW.xml.
In Figure 28, the green points represent the concentrated masses of the RNA and the tower, and the horizontal blue arrow represents the wave incidence.
Evaluating the results, as shown in Figure 29, a bias in the pitch movement is evident, which is confirmed by analyzing the average and maximum values in Figure 30 for pitch.
Figure 29.
Comparison of the time series of displacements and rotations between the QBlade and Aqwa models.
Figure 30.
Basic statistics for comparing the QBlade–Aqwa implementation.
According to Figure 29 and Figure 30, it can be confirmed that the premise of a maximum operating pitch angle of 10° is met (this angle was established as the pitch limit during the sizing of the structure). In the comparative time series for pitch, as well as in the minimum and maximum values, angles are observed to reach a maximum of 10°.
To determine the best configuration for a floating foundation by choosing between normal-density and lightweight concrete, a comparison is made (Figure 31). It shows that the amplitudes for sway, heave, and rotational displacements are greater when using normalweight concrete, while the surge displacement is slightly larger in the case of lightweight concrete. The primary result highlights a smaller pitch rotation for the floating foundation made of lightweight concrete (FO1). This is primarily attributed to the reduced metacentric height of the equivalent foundation made of normal-density concrete (FO2), which decreases from (FO1) to (FO2). The reduction in metacentric height is due to the decreased ballast in FO2 required to maintain the same initial equilibrium position as FO1, with the total ballast decreasing from 4,974,431.6 kg (FO1) to 4,115,513.2 kg in FO2.
Figure 31.
Comparison of floating foundations with normal and lightweight concrete.
4. Discussion
The results obtained in this study, where smaller displacements and rotations were observed in the hydromechanical response with the lightweight concrete floating foundation compared to conventional concrete, seem to contradict the findings of Campos et al. [54], who reported larger displacements when using more flexible materials. However, this apparent discrepancy may be attributed to the fact that, in the numerical modeling of the present study, the floating foundation was treated as a rigid body.
The research was conducted under specific environmental and climatic conditions in the Colombian Caribbean region, characterized by a microtidal regime with a tidal range of 0.55 m, sea states with maximum wave heights of 5.5 m, and maximum wind intensities of 16 m/s (at 10 m above sea level) with a misalignment angle of up to 35.5° for the most severe sea states. These conditions are favorable for the hydromechanical performance of a spar-type floating concrete structure in Colombia. However, this implies the need for specific analyses in other geographic locations to extrapolate the results and account for changing or more severe environmental conditions, such as greater depths, harsher sea states, or extreme temperatures. Such conditions would require specific design adaptations or the use of additional materials.
According to the response of a steel spar foundation evaluated by Yang et al. [32], where they obtained maximum displacements during operating conditions of 30 m in surge, 1.8 m in heave, and a maximum pitch rotation of 7° using the F2A and OpenFast models, it is demonstrated that the QBlade–Aqwa and QBlade models are consistent, as the numerical results exhibited the same behavior and were of the same order.
In this regard, this research serves as the foundation for implementing lightweight concretes in floating structures, whether of the same type, TLP, or semi-submersible, which use a similar catenary mooring system.
The future implementation of floating foundations should consider the flexible behavior of the materials that constitute them using two-way coupling methodologies. Additionally, it is essential to explore and analyze emerging materials as alternatives to conventional steel reinforcement, such as FRP reinforcement.
5. Conclusions
The coupling between QBlade and Aqwa offers an alternative to the existing medium-fidelity codes (OpenFAST, QBlade, and Simpack) by implementing the free-wake vortex method (aerodynamic) while also providing aerodynamic capabilities in ANSYS-Aqwa.
The validation of the coupled QBlade and Aqwa model, along with its comparison to QBlade (including its ocean module), showed maximum differences of 2 m in displacements and 0.5° in rotations, indicating that the modeling using QBlade and Aqwa is reliable and produces consistent results. However, while these results are promising under ideal conditions, they may not be replicable in more complex or variable and changing real-world scenarios.
The stability analysis and the corresponding hydromechanical response allow us to conclude that the floating foundation is stable, as it developed maximum displacements and rotations of 0.18 m and 0.07°, respectively.
Maximum displacements were recorded during operating conditions in surge, sway, and heave of 19.43 m, 0.41 m, and 2.45 m, and rotations in roll, pitch, and yaw of 1.15°, 10.34°, and 1.64°, respectively, revealing differences in surge, sway, and heave of 0.18 m, 0.14 m, and 0.66 m, and rotations in roll, pitch, and yaw of 0.88°, 6.16°, and 0.71° when comparing the hydromechanical response of two modeling cases: (1) lightweight concrete structure and (2) normal-density concrete structure.
The pitch rotation behavior is affected by the type of concrete used, with lower densities improving the response by reducing its magnitude. This demonstrates that the use of normal-density concrete in these types of structures can result in rotations of up to 16.5°, whereas lightweight concrete does not exceed 10.34°. Therefore, lightweight concrete is a suitable option to continue the experimental process and is recommended for use in real-world installations considering recent advancements with this material. These advancements include high durability, ultra-high strength, ease of modular construction, transportation, lifting, and superior resistance to freeze–thaw cycles compared to normal-density concrete, making it potentially applicable to other regions of the world.
In brief, the results of this study confirm that lightweight concrete offers superior performance for floating foundations, with reduced displacements and rotations compared to normal-density concrete. The improved stability of lightweight concrete makes it a promising material for future offshore wind turbine foundations in Colombia, especially in areas where minimizing rotation is critical for operational stability.
Future research should focus on promoting sustainability in marine construction and reducing environmental impact by intensifying research and development efforts around concrete. The aim should be to optimize costs, explore the feasibility of using recycled aggregates that comply with stringent regulations, and achieve improvements in structural performance. These efforts would not only reduce production costs but also expand the range of concrete applications in marine environments, enabling the evaluation of its long-term durability and performance under diverse oceanic conditions, beyond the considerations of density.
Author Contributions
Conceptualization, A.G. and W.G.; formal analysis, J.C.; funding acquisition, A.G.; investigation, J.C. and A.G.; methodology, J.C. and A.G.; project administration, W.G.; software, J.C.; supervision, A.G. and W.G.; validation, A.G. and W.G.; visualization, J.C.; writing—original draft, J.C.; writing—review and editing, A.G. and W.G. All authors have read and agreed to the published version of the manuscript.
Funding
This research was supported by the research office of the Militar Nueva Granada University through the IMP-ING-3121 project.
Institutional Review Board Statement
Not applicable.
Informed Consent Statement
Not applicable.
Data Availability Statement
The raw data supporting the conclusions of this article will be made available by the authors upon request.
Conflicts of Interest
The authors declare no conflicts of interest.
References
- REN21. 2023 Renewable Energy and Sustainability Report; REN21 Secretariat: Paris, France, 2023. [Google Scholar]
- Cagatay, G. Se Espera Que La Energía Eólica Marina Aumente Más Del 25% Para 2030. 2019. Available online: https://www.aa.com.tr/es/mundo/se-espera-que-la-energ%C3%ADa-e%C3%B3lica-marina-aumente-m%C3%A1s-del-25-para-2030/1560016 (accessed on 12 September 2024).
- Lopez, A. El País Alista Desarrollo de Proyectos Eólicos Offshore. Portafolio. 2020. Available online: https://andesco.org.co/el-pais-alista-desarrollo-de-proyectos-eolicos-offshore/ (accessed on 12 September 2024).
- Devis-Morales, A.; Montoya-Sánchez, R.A.; Bernal, G.; Osorio, A.F. Assessment of Extreme Wind and Waves in the Colombian Caribbean Sea for Offshore Applications. Appl. Ocean Res. 2017, 69, 10–26. [Google Scholar] [CrossRef]
- Bolívar, M. Lineamientos Metodológicos Para la Ubicación de un Parque Eólico Offshore Asociados al Clima Marítimo y Condiciones Hidrodinámicas en el Departamento del Atlántico. Master’s Thesis, Universidad del Norte, Barranquilla, Colombia, 2019. [Google Scholar] [CrossRef]
- Rueda-Bayona, J.G.; Guzmán, A.; Eras, J.J.C.; Silva-Casarín, R.; Bastidas-Arteaga, E.; Horrillo-Caraballo, J. Renewables Energies in Colombia and the Opportunity for the Offshore Wind Technology. J. Clean. Prod. 2019, 220, 529–543. [Google Scholar] [CrossRef]
- Wang, X.; Zeng, X.; Li, J.; Yang, X.; Wang, H. A Review on Recent Advancements of Substructures for Offshore Wind Turbines. Energy Convers. Manag. 2018, 158, 103–119. [Google Scholar] [CrossRef]
- Leimeister, M.; Kolios, A.; Collu, M. Critical Review of Floating Support Structures for Offshore Wind Farm Deployment. J. Phys. Conf. Ser. 2018, 1104, 12. [Google Scholar] [CrossRef]
- Lerch, M.; De-Prada-Gil, M.; Molins, C.; Benveniste, G. Sensitivity Analysis on the Levelized Cost of Energy for Floating Offshore Wind Farms. Sustain. Energy Technol. Assess. 2018, 30, 77–90. [Google Scholar] [CrossRef]
- Igwemezie, V.; Mehmanparast, A.; Kolios, A. Current Trend in Offshore Wind Energy Sector and Material Requirements for Fatige Resistance Improvement in Large Wind Turbine Support Structures—A Review. Renew. Sustain. Energy Rev. 2019, 101, 181–196. [Google Scholar] [CrossRef]
- Haug, A.K.; Fjeld, S. A Floating Concrete Platform Hull Made of Lightweight Aggregate Concrete. Eng. Struct. 1996, 18, 831–836. [Google Scholar] [CrossRef]
- Lu, J.-X. Recent Advances in High Strength Lightweight Concrete: From Development Strategies to Practical Applications. Constr. Build. Mater. 2023, 400, 132905. [Google Scholar] [CrossRef]
- Zhou, X.; Yu, F.; Ashour, A.; Yang, W.; Luo, Y.; Han, B. A Review on the Potential Application of Ultra-High Performance Concrete in Offshore Wind Towers: Insights into Material Properties, Mechanisms, and Models. Thin Walled Struct. 2025, 207, 112717. [Google Scholar] [CrossRef]
- Campos, A.; Molins, C.; Gironella, X.; Trubat, P. Spar Concrete Monolithic Design for Offshore Wind Turbines. Proc. Inst. Civ. Eng. Marit. Eng. 2016, 169, 49–63. [Google Scholar] [CrossRef]
- Oh, S.; Inoue, H.; Takahashi, Y. Structural Design of a Prestressed-Concrete Spar-Type Floater for 10 MW Wind Turbines. J. Phys. Conf. Ser. 2020, 1669, 012012. [Google Scholar] [CrossRef]
- Equinor. Hywind Tampen: The World’s First Renewable Power for Offshore Oil and Gas. 2022. Available online: https://www.equinor.com/energy/hywind-tampen (accessed on 12 September 2024).
- Qaiser, M.T.; Ejaz, J.; Osen, O.; Hasan, A. Digital Twin-Driven Energy Modeling of Hywind Tampen Floating Wind Farm. Energy Rep. 2023, 9, 284–289. [Google Scholar] [CrossRef]
- Barooni, M.; Ashuri, T.; Sogut, D.V.; Wood, S.; Taleghani, S.G. Floating Offshore Wind Turbines: Current Status and Future Prospects. Energies 2022, 16, 2. [Google Scholar] [CrossRef]
- Hall, M.; Lozon, E.; McAuliffe, F.D.; Bessone, M.B.; Bayati, I.; Bowie, M.; Bozonnet, P.; Castagné, M.; Feng, J.; Housner, S.; et al. The IEA Wind Task 49 Reference Floating Wind Array Design Basis; National Renewable Energy Laboratory (NREL): Golden, CO, USA, 2024. [Google Scholar]
- Zheng, Z.; Chen, J.; Liang, H.; Zhao, Y.; Shao, Y. Hydrodynamic Responses of a 6 MW Spar-Type Floating Offshore Wind Turbine in Regular Waves and Uniform Current. Fluids 2020, 5, 187. [Google Scholar] [CrossRef]
- Jimenez-Martinez, M. Fatigue of Offshore Structures: A Review of Statistical Fatigue Damage Assessment for Stochastic Loadings. Int. J. Fatigue 2020, 132, 17. [Google Scholar] [CrossRef]
- Medina-Manuel, A.; Sánchez, R.M.; Souto-Iglesias, A. AI-Driven Model Prediction of Motions and Mooring Loads of a Spar Floating Wind Turbine in Waves and Wind. J. Mar. Sci. Eng. 2024, 12, 1464. [Google Scholar] [CrossRef]
- Ahmad, I.; M’zoughi, F.; Aboutalebi, P.; Garrido, I.; Garrido, A.J. Fuzzy Logic Control of an Artificial Neural Network-Based Floating Offshore Wind Turbine Model Integrated with Four Oscillating Water Columns. Ocean Eng. 2023, 269, 113578. [Google Scholar] [CrossRef]
- Liang, G.; Lopez-Olocco, T.; Medina-Manuel, A.; Saavedra-Ynocente, L.A.; Souto-Iglesias, A.; Jiang, Z. Experimental Investigation of Two Shared Mooring Configurations for a Dual-Spar Floating Offshore Wind Farm in Irregular Waves. Mar. Struct. 2024, 95, 103579. [Google Scholar] [CrossRef]
- Zhong, W.; Zhao, W.; Wan, D.; Zhao, Y. Comparison Study on Mooring Line Models for Hydrodynamic Performances of Floating Offshore Wind Turbines. Ocean Eng. 2024, 296, 117083. [Google Scholar] [CrossRef]
- Cerfontaine, B.; White, D.; Kwa, K.; Gourvenec, S.; Knappett, J.; Brown, M. Anchor Geotechnics for Floating Offshore Wind: Current Technologies and Future Innovations. Ocean Eng. 2023, 279, 114327. [Google Scholar] [CrossRef]
- Chang, H.-C.; Noorizadegan, A.; Liu, Y.-H.; Ma, K.-T. A Study on Offshore Anchor Selection with a Focus on Torpedo Anchor Stability and Performance. J. Mar. Sci. Eng. 2024, 12, 1721. [Google Scholar] [CrossRef]
- Qiao, D.; Zhou, Y.; Xu, B.; Qin, J.; Tang, G.; Lu, L.; Ou, J. Dynamic Response Analysis of a Fully Coupled Aerodynamic-Hydrodynamic-Mooring-Anchor Floating Offshore Wind Turbine. Ocean Eng. 2024, 312, 119085. [Google Scholar] [CrossRef]
- Amiri, M.M.; Shadman, M.; Estefen, S.F. A Review of Numerical and Physical Methods to Analyze the Coupled Hydro-Aero-Structural Dynamics of Floating Wind Turbine Systems. J. Mar. Sci. Eng. 2024, 12, 392. [Google Scholar] [CrossRef]
- Fadaei, S.; Afagh, F.F.; Langlois, R.G. A Survey of Numerical Simulation Tools for Offshore Wind Turbine Systems. Wind 2024, 4, 1–24. [Google Scholar] [CrossRef]
- Luna, R.B.d.; Perez-Becker, S.; Saverin, J.; Marten, D.; Papi, F.; Ducasse, M.-L.; Bonnefoy, F.; Bianchini, A.; Paschereit, C.-O. Verifying QBlade-Ocean: A Hydrodynamic Extension to the Wind Turbine Simulation Tool QBlade. Wind. Energy Sci. Discuss. 2023, 1–36, (preprints). [Google Scholar] [CrossRef]
- Yang, Y.; Bashir, M.; Michailides, C.; Li, C.; Wang, J. Development and Application of an Aero-Hydro-Servo-Elastic Coupling Framework for Analysis of Floating Offshore Wind Turbines. Renew. Energy 2020, 161, 606–625. [Google Scholar] [CrossRef]
- Manolas, D.I.; Riziotis, V.A.; Papadakis, G.P.; Voutsinas, S.G. Hydro-Servo-Aero-Elastic Analysis of Floating Offshore Wind Turbines. Fluids 2020, 5, 200. [Google Scholar] [CrossRef]
- Rueda-Bayona, J.G. Identificación de La Influencia de Las Variaciones Convectivas En La Generación de Cargas Transitorias y Su Efecto Hidromecánico En Las Estructuras Offshore. Ph.D. Thesis, Universidad del Norte, Barranquilla, Columbia, 2017. [Google Scholar]
- Bastidas-Salamanca, M.; Bayona, J.G. Pre-Feasibility Assessment for Identifying Locations of New Offshore Wind Projects in the Colombian Caribbean. Int. J. Sustain. Energy Plan. Manag. 2021, 32, 139–152. [Google Scholar] [CrossRef]
- CIOH. Climatología de Los Principales Puertos Del Caribe Colombiano; Barranquilla. 2010. Available online: https://cioh.dimar.mil.co/images/site/principales_puertos/pdf/9_BARRANQUILLA.pdf (accessed on 12 September 2024).
- Mesa, J.C. Metodología para el Reanálisis de Series de Oleaje para el Caribe Colombiano. Master’s Thesis, Universidad Nacional de Colombia, Medellín, Colombia, 2010; p. 114. Available online: https://repositorio.unal.edu.co/handle/unal/3432 (accessed on 12 September 2024).
- API RP 2A-WSD; Recommended Practice for Planning, Designing and Constructing Fixed Offshore Platforms—Working Stress Design. API: Washington, DC, USA, 2005; p. 14.
- Fenton, J.D. A Fifth-Order Stokes Theory for Steady Waves. J. Waterw. Port Coast. Ocean Eng. 1985, 111, 216–234. [Google Scholar] [CrossRef]
- Hersbach, H.; Bell, B.; Berrisford, P.; Biavati, G.; Horányi, A.; Sabater, J.M.; Nicolas, J.; Peubey, C.; Radu, R.; Rozum, I.; et al. ERA5 Hourly Data on Single Levels from 1940 to Present. Copernicus Climate Change Service (C3S) Climate Data Store (CDS). 2023. [Google Scholar] [CrossRef]
- Checa, F.E.; Rosero, E.E. Metodología para la determinación de características del viento y evaluación del potencial de energía eólica en Túquerres-Nariño. Rev. Cient. 2018, 1, 19–31. [Google Scholar] [CrossRef]
- IEA. Offshore Wind Outlook 2019: World Energy Outlook Special Report; IEA Publications: Paris, France, 2019; p. 98. [Google Scholar]
- DNV-ST-0437; Loads and Site Conditions for Wind Turbines. DNV: Oslo, Norway, 2021.
- NREL. NREL_5MW_126_RWT. Available online: https://nrel.github.io/turbine-models/NREL_5MW_126_RWT.html (accessed on 28 April 2024).
- Jonkman, J.; Butterfield, S.; Musial, W.; Scott, G. Definition of a 5-MW Reference Wind Turbine for Offshore System Development; National Renewable Energy Laboratory: Golden, CO, USA, 2009; p. 75. [Google Scholar]
- DNVGL-RP-C205; Environmental Conditions and Environmental Loads. DNV GL: Oslo, Norway, 2019.
- DNVGL-ST-C502; Offshore Concrete Structures. DNV GL: Oslo, Norway, 2018.
- de Guzmán, S. Plataforma Offshore Para un Aerogenerador de 5 MW; Universidad Politécnica de Madrid: Madrid, Spain, 2011. [Google Scholar]
- ACI Committee 357. 2R-10: Report on Floating and Float-in Concrete Structures, 1st ed.; American Concrete Institute: Farmington Hills, MI, USA, 2010; ISBN 978-0-87031-384-4. [Google Scholar]
- Morison, J.R.; Johnson, J.W.; Schaaf, S.A. The Force Exerted by Surface Waves on Piles. J. Pet. Technol. 1950, 2, 149–154. [Google Scholar] [CrossRef]
- DNV-OS-C301; Stability and Watertight Integrity. DNV: Oslo, Norway, 2021.
- Faltinsen, O.M. Sea Loads on Ships and Offshore Structures; Cambridge University Press: Cambridge, UK, 1990. [Google Scholar]
- ANSYS. Aqwa Theory Manual; ANSYS, Inc.: Canonsburg, PA, USA, 2024. [Google Scholar]
- Campos, A.; Molins, C.; Trubat, P.; Alarcón, D. Analysis of Structural Second Order Effects on a Floating Concrete Platform for FOWT’s. Energy Proced. 2016, 94, 155–163. [Google Scholar] [CrossRef][Green Version]
Disclaimer/Publisher’s Note: The statements, opinions and data contained in all publications are solely those of the individual author(s) and contributor(s) and not of MDPI and/or the editor(s). MDPI and/or the editor(s) disclaim responsibility for any injury to people or property resulting from any ideas, methods, instructions or products referred to in the content. |
© 2025 by the authors. Licensee MDPI, Basel, Switzerland. This article is an open access article distributed under the terms and conditions of the Creative Commons Attribution (CC BY) license (https://creativecommons.org/licenses/by/4.0/).





























