Modeling Rip Current Systems around Multiple Submerged Breakwaters
Abstract
1. Introduction
2. Methods
2.1. Numerical Model
2.2. Numerical Implementation
2.2.1. Computational Wave Basin
2.2.2. Model Setup
2.2.3. Tested Waves
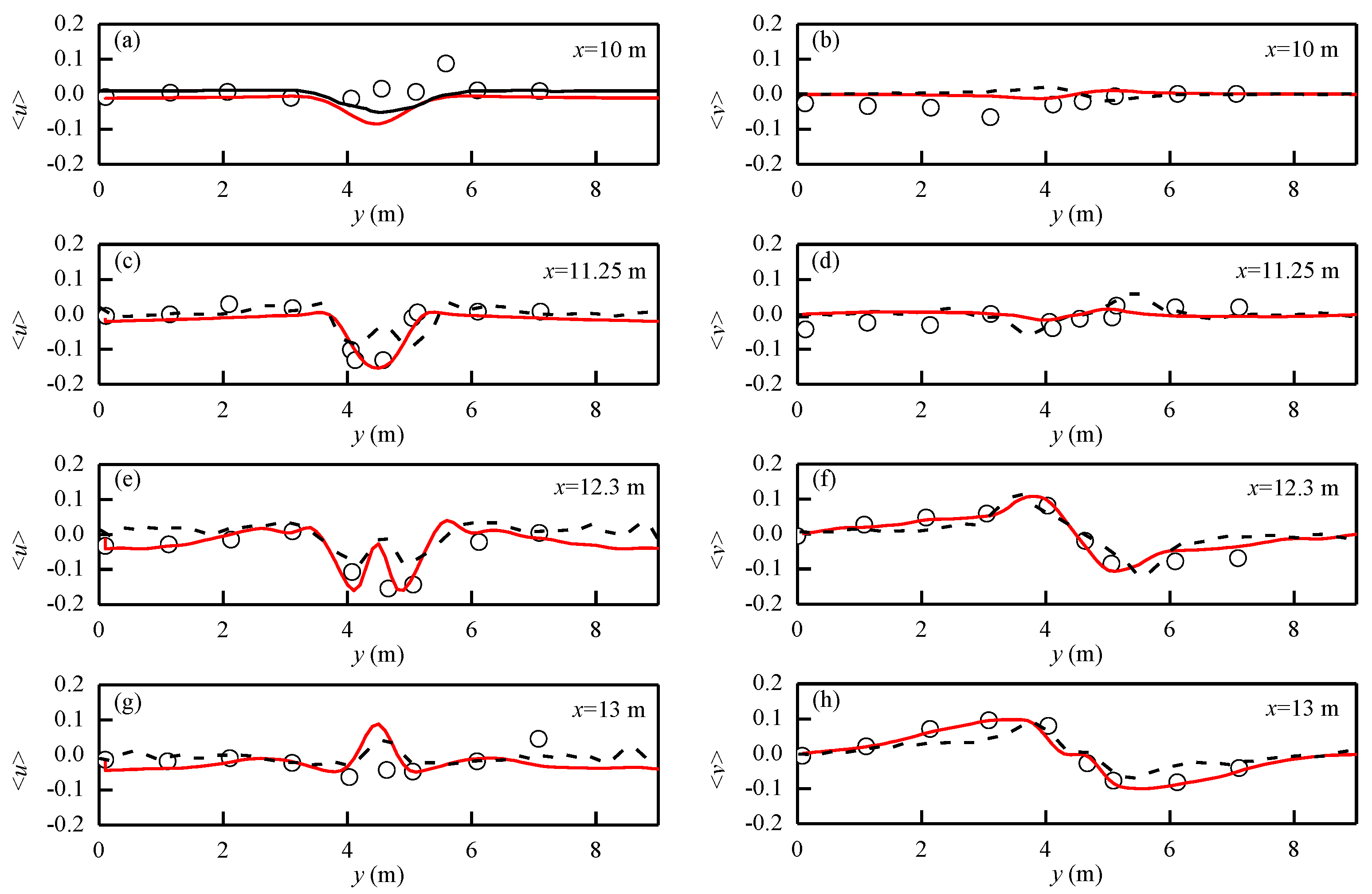
2.3. Model Validation
3. Results
3.1. Wave Field
3.2. Rip Current System
3.3. Low-Frequency Oscillation Feature Vation in the Experiment
4. Discussion
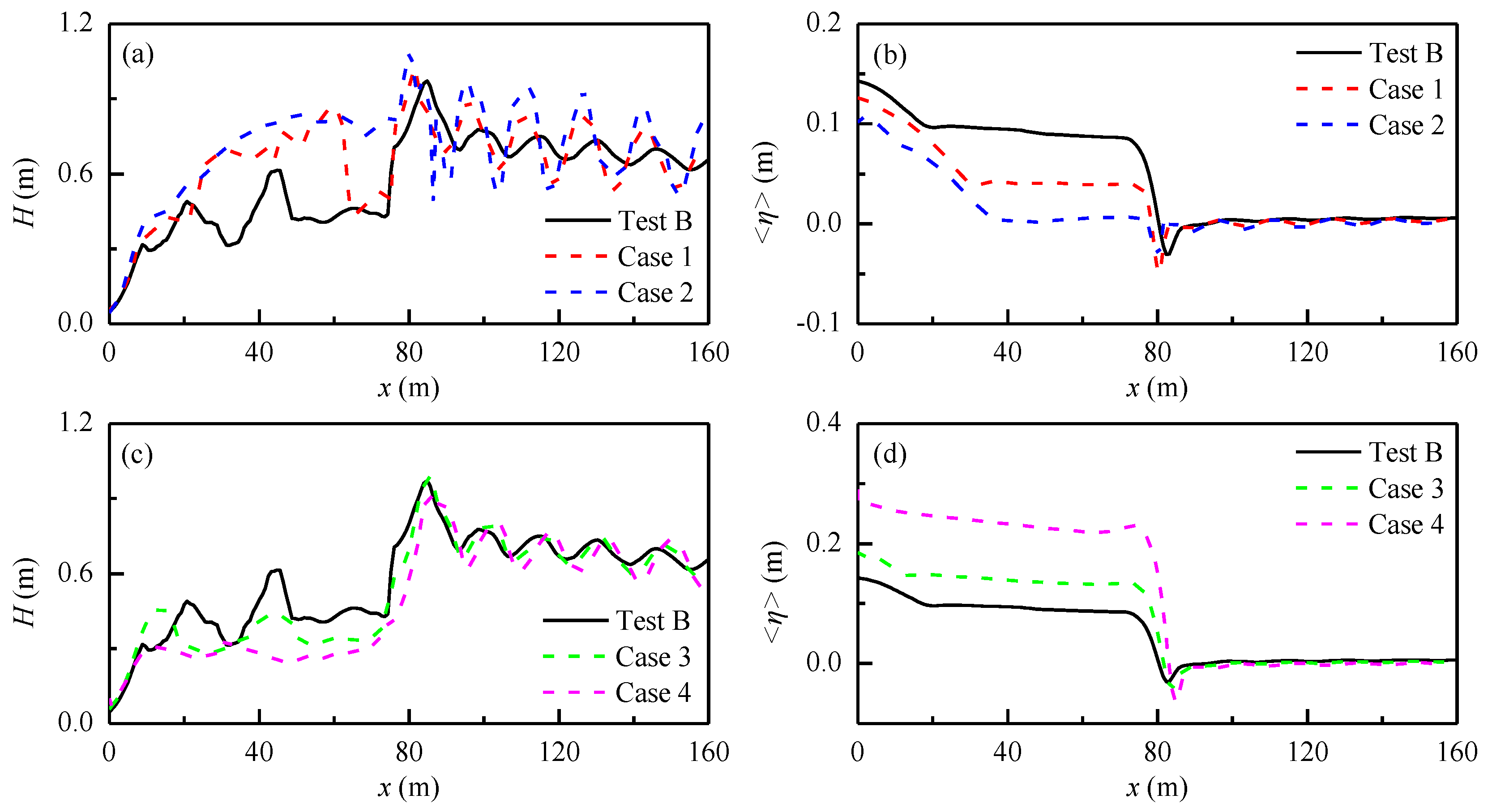
4.1. Effect of Submerged Breakwater Width and Height
4.2. Effect of Submerged Breakwater Form
4.3. Effect of Gap Width
4.4. Effect of Gap Number
5. Conclusions
Author Contributions
Funding
Institutional Review Board Statement
Informed Consent Statement
Data Availability Statement
Conflicts of Interest
Appendix A. The Evolution of Time Mean Vorticity and Velocities


References
- Bouvier, C.; Castelle, B.; Balouin, Y. Modeling the Impact of the Implementation of a Submerged Structure on Surf Zone Sandbar Dynamics. J. Mar. Sci. Eng. 2019, 7, 117. [Google Scholar] [CrossRef]
- Hur, D.S.; Lee, W.D.; Cho, W.C.; Jeong, Y.H.; Jeong, Y.M. Rip Current Reduction at the Open Inlet between Double Submerged Breakwaters by Installing a Drainage Channel. Ocean Eng. 2019, 193, 106580. [Google Scholar] [CrossRef]
- Klonaris, G.T.; Metallinos, A.S.; Memos, C.D.; Galani, K.A. Experimental and Numerical Investigation of Bed Morphology in the Lee of Porous Submerged Breakwaters. Coast. Eng. 2020, 155, 103591. [Google Scholar] [CrossRef]
- Ranasinghe, R.; Turner, I.L. Shoreline Response to Submerged Structures: A Review. Coast. Eng. 2006, 53, 65–79. [Google Scholar] [CrossRef]
- Da Silva, R.F.; Hansen, J.E.; Rijnsdorp, D.P.; Lowe, R.J.; Buckley, M.L. The Influence of Submerged Coastal Structures on Nearshore Flows and Wave Runup. Coast. Eng. 2022, 177, 104194. [Google Scholar] [CrossRef]
- Da Silva, R.F.; Hansen, J.E.; Lowe, R.J.; Rijnsdorp, D.P.; Buckley, M.L. Dynamics of the Wave-Driven Circulation in the Lee of Nearshore Reefs. J. Geophys. Res. Ocean. 2023, 128, e2022JC019013. [Google Scholar] [CrossRef]
- Valiente, N.G.; Masselink, G.; McCarroll, R.J.; Scott, T.; Conley, D.; King, E. Nearshore Sediment Pathways and Potential Sediment Budgets in Embayed Settings over a Multi-Annual Timescale. Mar. Geol. 2020, 427, 106270. [Google Scholar] [CrossRef]
- Dahmani, A.e.A.; Mezouar, K.; Cherif, Y.S.; Sallaye, M. Coastal Processes and Nearshore Hydrodynamics under High Contrast Wave Exposure, Bateau-Cassé and Stamboul Coasts, Algiers Bay. Estuar. Coast. Shelf Sci. 2021, 250, 107169. [Google Scholar] [CrossRef]
- Castelle, B.; Dehez, J.; Savy, J.P.; Marieu, V.; Lyser, S.; Bujan, S.; Carayon, D.; Brander, R. Environmental Controls on Lifeguard-Estimated Surf-Zone Hazards, Beach Crowds, and Resulting Life Risk at a High-Energy Sandy Beach in Southwest France. Nat. Hazards 2023, 120, 1557–1576. [Google Scholar] [CrossRef]
- Venkateswarlu, C.; Surisetty, V.V.A.K.; Somani, A.; Gireesh, B.; Naidu, C.V. Surf Zone-Related Drownings and Injuries Based on Lifeguard Records in Goa Beaches (2008–2020). Nat. Hazards 2023, 117, 313–337. [Google Scholar] [CrossRef]
- Lorenzoni, C.; Postacchini, M.; Mancinelli, A.; Brocchini, M. The Morphological Response of Beaches Protected by Different Breakwater Configurations. In Proceedings of the 33rd Conference on Coastal Engineering 2012, Santander, Spain, 1–6 July 2012; p. 52. [Google Scholar]
- Lorenzoni, C.; Postacchini, M.; Brocchini, M.; Mancinelli, A. Experimental Study of the Short-Term Efficiency of Different Breakwater Configurations on Beach Protection. J. Ocean Eng. Mar. Energy 2016, 2, 195–210. [Google Scholar] [CrossRef]
- Ranasinghe, R.; Sato, S. Beach Morphology behind Single Impermeable Submerged Breakwater under Obliquely Incident Waves. Coast. Eng. J. 2007, 49, 1–24. [Google Scholar] [CrossRef]
- Ranasinghe, R.; Larson, M.; Savioli, J. Shoreline Response to a Single Shore-Parallel Submerged Breakwater. Coast. Eng. 2010, 57, 1006–1017. [Google Scholar] [CrossRef]
- Postacchini, M.; Russo, A.; Carniel, S.; Brocchini, M. Assessing the Hydro-Morphodynamic Response of a Beach Protected by Detached, Impermeable, Submerged Breakwaters: A Numerical Approach. J. Coast. Res. 2016, 32, 590–602. [Google Scholar] [CrossRef]
- Nguyen, N.-M.; Van, D.D.; Le, D.T.; Cong, S.D.; Chuong, L.T.; Hai, T.D.; Nguyen, T.C.; Wright, D.; Tanim, A.H.; Pham, N.T.; et al. Experimental and Numerical Modeling of Pile-Rock Breakwater Gap Arrangement for Optimal Coastal Erosion Protection in Deltaic Coasts. Ocean Eng. 2023, 280, 114625. [Google Scholar] [CrossRef]
- Schuh, E.; Grilli, A.R.; Groetsch, F.; Grilli, S.T.; Crowley, D.; Ginis, I.; Stempel, P. Assessing the Morphodynamic Response of a New England Beach-Barrier System to an Artificial Reef. Coast. Eng. 2023, 184, 104355. [Google Scholar] [CrossRef]
- López-Ramade, E.; Mulligan, R.P.; Medellín, G.; Torres-Freyermuth, A. Modelling Beach Morphological Responses near Coastal Structures under Oblique Waves Driven by Sea-Breezes. Coast. Eng. 2023, 182, 104290. [Google Scholar] [CrossRef]
- Dalrymple, R.A.; MacMahan, J.H.; Reniers, A.J.H.M.; Nelko, V. Rip Currents. Annu. Rev. Fluid Mech. 2011, 43, 551–581. [Google Scholar] [CrossRef]
- van der Baan, A. Developing a Design Criterion for the Shoreline Response to Multiple Submerged Breakwaters. Master’s Thesis, Delft University of Technology, Delft, The Netherlands, 2013. [Google Scholar]
- Alkan, S.; Karadurmuş, U. Risk Assessment of Natural and Other Hazard Factors on Drowning Incidents in Turkey. Nat. Hazards 2023, 118, 2459–2475. [Google Scholar] [CrossRef]
- Haller, M.C.; Dalrymple, R.A.; Svendsen, I.A. Rip Channels and Nearshore Circulation. In Proceedings of the International Conference on Coastal Research through Large Scale Experiments, Plymouth, UK, 23–27 June 1997; pp. 594–603. [Google Scholar]
- Haller, M.C.; Dalrymple, R.A.; Svendsen, I.A. Experimental Study of Nearshore Dynamics on a Barred Beach with Rip Channels. J. Geophys. Res. 2002, 107, 14-1–14-21. [Google Scholar] [CrossRef]
- Haller, M.C.; Dalrymple, R.A. Rip Current Instabilities. J. Fluid Mech. 2001, 433, 161–192. [Google Scholar] [CrossRef]
- Gao, J.; Shi, H.; Zang, J.; Liu, Y. Mechanism Analysis on the Mitigation of Harbor Resonance by Periodic Undulating Topography. Ocean Eng. 2023, 281, 114923. [Google Scholar] [CrossRef]
- Gao, J.; Hou, L.; Liu, Y.; Shi, H. Influences of Bragg Reflection on Harbor Resonance Triggered by Irregular Wave Groups. Ocean Eng. 2024, 305, 117941. [Google Scholar] [CrossRef]
- Chen, Q.; Dalrymple, R.A.; Kirby, J.T.; Kennedy, A.B.; Haller, M.C. Boussinesq Modeling of a Rip Current System. J. Geophys. Res. Ocean. 1999, 104, 20617–20637. [Google Scholar] [CrossRef]
- Haas, K.A.; Svendsen, I.A.; Haller, M.C.; Zhao, Q. Quasi-Three-Dimensional Modeling of Rip Current Systems. J. Geophys. Res. Ocean. 2003, 108, 1–21. [Google Scholar] [CrossRef]
- Fang, K.Z.; Yin, J.W.; Zou, Z.L.; Liu, Z.B.; Dong, P. Reproducing Laboratory-Scale Rip Currents on a Barred Beach by a Boussinesq Wave Model. J. Mar. Sci. Technol. 2014, 22, 231–239. [Google Scholar] [CrossRef]
- Wang, H.; Zhu, S.; Li, X.; Zhang, W.; Nie, Y. Numerical Simulations of Rip Currents off Arc-Shaped Coastlines. Acta Oceanol. Sin. 2018, 37, 21–30. [Google Scholar] [CrossRef]
- Drønen, N.; Karunarathna, H.; Fredsøe, J.; Mutlu Sumer, B.; Deigaard, R. An Experimental Study of Rip Channel Flow. Coast. Eng. 2002, 45, 223–238. [Google Scholar] [CrossRef]
- Bellotti, G. A Simplified Model of Rip Currents Systems around Discontinuous Submerged Barriers. Coast. Eng. 2004, 51, 323–335. [Google Scholar] [CrossRef]
- Johnson, H.K.; Karambas, T.V.; Avgeris, I.; Zanuttigh, B.; Gonzalez-Marco, D.; Caceres, I. Modelling of Waves and Currents around Submerged Breakwaters. Coast. Eng. 2005, 52, 949–969. [Google Scholar] [CrossRef]
- Kennedy, A.B.; Zhang, Y.; Haas, K.A. Rip Currents with Varying Gap Widths. J. Waterw. Port Coastal Ocean Eng. 2008, 134, 61–65. [Google Scholar] [CrossRef]
- Kim, I.H.; Lee, W.D.; Shin, S.; Kim, J.H.; Hur, D.S.; Cho, W.C. Study on Rip Current Generated by Submerged Breakwaters: Field Observation and Numerical Simulation. J. Coast. Res. 2016, 1, 1352–1356. [Google Scholar] [CrossRef]
- Hong, X.; Zhang, Y.; Wang, B.; Zhou, S.; Yu, S.; Zhang, J. Numerical Study of Rip Currents Interlaced with Multichannel Sandbars. Nat. Hazards 2021, 108, 593–605. [Google Scholar] [CrossRef]
- Xu, J.; Yan, S.; Zou, Z.; Chang, C.; Fang, K.; Wang, Y. Flow Characteristics of the Rip Current System near a Shore-Normal Structure with Regular Waves. J. Mar. Sci. Eng. 2023, 11, 1297. [Google Scholar] [CrossRef]
- Wang, Y.; Zou, Z.; Liu, Z. Vertical Distribution of Rip Currents Generated by Intersecting Waves in a Sandbar—Groin Systems. J. Mar. Sci. Eng. 2024, 12, 911. [Google Scholar] [CrossRef]
- Bheeroo, V.A.; Yeh, H. Long-Wave Response to Laterally Periodic Reef-Lagoon Bathymetry. Coast. Eng. 2022, 178, 104218. [Google Scholar] [CrossRef]
- He, D.; Ma, Y.; Dong, G.; Perlin, M. A Numerical Investigation of Wave and Current Fields along Bathymetry with Porous Media. Ocean Eng. 2022, 244, 110333. [Google Scholar] [CrossRef]
- Huang, S.; Huang, Z. Hydrodynamics of an Idealized Reef-Lagoon-Channel Coastal System: A Three-Dimensional CFD Simulation. Coast. Eng. 2023, 183, 104314. [Google Scholar] [CrossRef]
- Yao, Y.; Peng, E.; Liu, W.; Han, X.; Liu, Y.; Ning, Y. Modeling Wave Processes in a Reef-Lagoon-Channel System Based on a Boussinesq Model. Ocean Eng. 2023, 268, 113404. [Google Scholar] [CrossRef]
- De Silva, A.; Mori, I.; Dusek, G.; Davis, J.; Pang, A. Automated Rip Current Detection with Region Based Convolutional Neural Networks. Coast. Eng. 2021, 166, 103859. [Google Scholar] [CrossRef]
- Wei, Z.; Davison, A. A Convolutional Neural Network Based Model to Predict Nearshore Waves and Hydrodynamics. Coast. Eng. 2022, 171, 104044. [Google Scholar] [CrossRef]
- Castelle, B.; Scott, T.; Brander, R.W.; McCarroll, R.J. Rip Current Types, Circulation and Hazard. Earth-Science Rev. 2016, 163, 1–21. [Google Scholar] [CrossRef]
- Xu, J.; Zou, Z.-L.; Yan, S. A Set of Fully Nonlinear Mild Slope Equations. Ocean Eng. 2024, 297, 116881. [Google Scholar] [CrossRef]
- Beji, S.; Nadaoka, K. A Time-Dependent Nonlinear Mild-Slope Equation for Water Waves. Proc. R. Soc. A Math. Phys. Eng. Sci. 1997, 453, 319–332. [Google Scholar] [CrossRef]
- Tsai, C.-P.; Chen, H.-B.; Hsu, J.R.C. Second-Order Time-Dependent Mild-Slope Equation for Wave Transformation. Math. Probl. Eng. 2014, 2014, 341385. [Google Scholar] [CrossRef]
- Kirby, J.T.; Wei, G.; Chen, Q.; Kennedy, A.B.; Dalrymple, R.A. FUNWAVE 1.0 Fully Nonlinear Boussinesq Wave Model Documentation and User’s Manual; Research Report CACR-98-06; Center for Applied Coastal Research, Department of Civil and Environmental Engineering, University of Delaware: Newark, DE, USA, 1998. [Google Scholar]
- Kim, G.; Lee, C.; Suh, K.D. Generation of Random Waves in Time-Dependent Extended Mild-Slope Equations Using a Source Function Method. Ocean Eng. 2006, 33, 2047–2066. [Google Scholar] [CrossRef]
- Wei, G.; James, T. Kirby Time-Dependent Numerical Code for Extended Boussinesq Equations. J. Waterw. Port Coast. Ocean Eng. 1995, 121, 251–261. [Google Scholar] [CrossRef]
- Shi, F.; Kirby, J.T.; Harris, J.C.; Geiman, J.D.; Grilli, S.T. A High-Order Adaptive Time-Stepping TVD Solver for Boussinesq Modeling of Breaking Waves and Coastal Inundation. Ocean Model. 2012, 43–44, 36–51. [Google Scholar] [CrossRef]
- Hsu, T.W.; Hsu, J.R.C.; Weng, W.K.; Wang, S.K.; Ou, S.H. Wave Setup and Setdown Generated by Obliquely Incident Waves. Coast. Eng. 2006, 53, 865–877. [Google Scholar] [CrossRef]
- Scott, T.; Austin, M.; Masselink, G.; Russell, P. Dynamics of Rip Currents Associated with Groynes—Field Measurements, Modelling and Implications for Beach Safety. Coast. Eng. 2016, 107, 53–69. [Google Scholar] [CrossRef]
- Mucerino, L.; Carpi, L.; Schiafno, C.F.; Pranzini, E.; Sessa, E.; Ferrari, M. Correction to: Rip Current Hazard Assessment on a Sandy Beach in Liguria, NW Mediterranean. Nat. Hazards 2021, 105, 137–156. [Google Scholar] [CrossRef]
- Pilarczyk, K.W. Design of Low-Crested (Submerged) Structures—An Overview. In Proceedings of the 6th International Conference on Coastal and Port Engineering in Developing Countries, Colombo, Sri Lanka, 15–19 September 2003; pp. 1–19. [Google Scholar]

















| Test | Wave Condition | Hi (m) | T (s) | α (°) |
|---|---|---|---|---|
| A | Low-energy | 0.4 | 6.0 | 0 |
| B | Typical | 0.6 | 6.0 | 0 |
| C | Storm | 1.6 | 12.0 | 0 |
| D | Oblique | 0.6 | 6.0 | 31.97 |
| Test | Wave Condition | |u|max (m/s) | Xoff (m) | RD |
|---|---|---|---|---|
| A | Low-energy | 0.57 | 77.6 | I |
| B | Typical | 1.07 | 85.6 | II |
| C | Storm | 1.53 | 84.8 | III |
| D | Oblique | 1.44 | 84.0 | III |
| Cases | δ | WB | HB | hc | WB/Lw | hc/Hi | |u|max (m/s) | Xoff (m) | RD |
|---|---|---|---|---|---|---|---|---|---|
| Test B | 96 | 32 | 1.28 | 0.72 | 0.66 | 1.2 | 1.07 | 85.6 | II |
| 1 | 16 | 16 | 1.28 | 0.72 | 0.33 | 1.2 | 0.67 | 88.8 | I |
| 2 | 4 | 8 | 1.28 | 0.72 | 0.17 | 1.2 | 0.40 | 28.8 | I |
| 3 | 96 | 32 | 1.5 | 0.5 | 0.66 | 0.83 | 1.38 | 81.6 | III |
| 4 | 96 | 32 | 1.8 | 0.2 | 0.66 | 0.33 | 1.99 | 84.8 | III |
Disclaimer/Publisher’s Note: The statements, opinions and data contained in all publications are solely those of the individual author(s) and contributor(s) and not of MDPI and/or the editor(s). MDPI and/or the editor(s) disclaim responsibility for any injury to people or property resulting from any ideas, methods, instructions or products referred to in the content. |
© 2024 by the authors. Licensee MDPI, Basel, Switzerland. This article is an open access article distributed under the terms and conditions of the Creative Commons Attribution (CC BY) license (https://creativecommons.org/licenses/by/4.0/).
Share and Cite
Xu, J.; Wang, Y.; Mu, B.; Du, H.; Li, Y.; You, Z.; Yan, S.; Lu, L. Modeling Rip Current Systems around Multiple Submerged Breakwaters. J. Mar. Sci. Eng. 2024, 12, 1627. https://doi.org/10.3390/jmse12091627
Xu J, Wang Y, Mu B, Du H, Li Y, You Z, Yan S, Lu L. Modeling Rip Current Systems around Multiple Submerged Breakwaters. Journal of Marine Science and Engineering. 2024; 12(9):1627. https://doi.org/10.3390/jmse12091627
Chicago/Turabian StyleXu, Jie, Yuchuan Wang, Baoying Mu, Huan Du, Yanlei Li, Zaijin You, Sheng Yan, and Lixin Lu. 2024. "Modeling Rip Current Systems around Multiple Submerged Breakwaters" Journal of Marine Science and Engineering 12, no. 9: 1627. https://doi.org/10.3390/jmse12091627
APA StyleXu, J., Wang, Y., Mu, B., Du, H., Li, Y., You, Z., Yan, S., & Lu, L. (2024). Modeling Rip Current Systems around Multiple Submerged Breakwaters. Journal of Marine Science and Engineering, 12(9), 1627. https://doi.org/10.3390/jmse12091627

