Temperature-Dependent Post-Cyclic Mechanical Characteristics of Interfaces between Geogrid and Marine Reef Sand: Experimental Research and Machine Learning Modeling
Abstract
1. Introduction
2. Methods and Materials
2.1. Test Equipment
2.2. Test Materials
2.2.1. Reef Sand
2.2.2. Geogrid
2.3. Preliminary Sample Preparation
2.4. Test Procedure
3. Test Results
3.1. The Impact of Stress History on Interface Shear Strength (Post-Cyclic Stage)
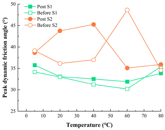
3.2. The Impact of Stress History on the Interface Dynamic Friction Angle (Post-Cyclic Stage)
3.3. Modified Merchant Constitutive Model Fitting Results Analysis
4. Discussion
4.1. Effect of Temperature, Grain Size, and Stress History on the Interface Mechanical Properties
4.2. Machine Learning Prediction
5. Conclusions
Author Contributions
Funding
Institutional Review Board Statement
Informed Consent Statement
Data Availability Statement
Conflicts of Interest
References
- Wu, Q.; Liu, Q.; Zhuang, H.; Xu, C.; Chen, G. Experimental investigation of dynamic shear modulus of saturated marine coral sand. Ocean Eng. 2022, 264, 112412. [Google Scholar]
- Peng, Y.; Ding, X.; Yin, Z.; Wang, P. Micromechanical analysis of the particle corner breakage effect on pile penetration resistance and formation of breakage zones in coral sand. Ocean Eng. 2022, 259, 111859. [Google Scholar] [CrossRef]
- Lv, Y.; Li, F.; Liu, Y.; Fan, P.; Wang, M. Comparative study of coral sand and silica sand in creep under general stress states. Can. Geotech. J. 2017, 54, 1601–1611. [Google Scholar] [CrossRef]
- Akosah, S.; Zhou, L.; Chen, J.; Yao, T.; Gidigasu, S.S.R. Undrained dynamic behavior of geogrid-reinforced coral sand. Mar. Georesources Geotechnol. 2024, 1–16. [Google Scholar] [CrossRef]
- Ari, A.; Akbulut, S. Evaluation of sand-geomembrane interface behavior using discrete element method. Granul. Matter. 2022, 24. [Google Scholar] [CrossRef]
- Chao, Z.; Shi, D.; Fowmes, G. Mechanical behaviour of soil under drying–wetting cycles and vertical confining pressures. Environ. Geotech. 2023, 40, 1–11. [Google Scholar] [CrossRef]
- Anjana, R.K.; Keerthana, S.; Arnepalli, D.N. Coupled effect of UV ageing and temperature on the diffusive transport of aqueous, vapour and gaseous phase organic contaminants through HDPE geomembrane. Geotext. Geomembr. 2023, 51, 316–329. [Google Scholar] [CrossRef]
- Chao, Z.; Li, Z.; Dong, Y.; Shi, D.; Zheng, J. Estimating compressive strength of coral sand aggregate concrete in marine environment by combining physical experiments and machine learning-based techniques. Ocean Eng. 2024, 308, 118320. [Google Scholar] [CrossRef]
- Francey, W.; Rowe, R.K. Importance of thickness reduction and squeeze-out Std-OIT loss for HDPE geomembrane fusion seams. Geotext. Geomembr. 2023, 51, 30–42. [Google Scholar] [CrossRef]
- Samea, A.; Abdelaal, F.B. Effect of elevated temperatures on the degradation behaviour of elastomeric bituminous geomembranes. Geotext. Geomembr. 2023, 51, 219–232. [Google Scholar] [CrossRef]
- Marcotte, B.A.; Fleming, I.R. Design guidance for protection of geomembrane liners in landfill applications. Can. Geotech. J. 2022, 59, 743–757. [Google Scholar] [CrossRef]
- Francey, W.; Rowe, R.K. Stress crack resistance of unaged high-density polyethylene geomembrane fusion seams. Geosynth. Int. 2023, 30, 154–168. [Google Scholar] [CrossRef]
- Shirazi, S.G.; Valipourian, K.; Golhashem, M.R. A review on geomembrane characteristics and application in geotechnical engineering. Int. J. Civ. Environ. Eng. 2019, 13, 494–501. [Google Scholar]
- Chao, Z.; Fowmes, G.; Mousa, A.; Zhou, J.; Zhao, Z.; Zheng, J.; Shi, D. A new large-scale shear apparatus for testing geosynthetics-soil interfaces incorporating thermal condition. Geotext. Geomembr. 2024, 52, 999–1010. [Google Scholar] [CrossRef]
- Wang, Y.; Huang, J.; Wang, D.; Liu, Y.; Zhao, Z.; Liu, J. Experimental study on hygrothermal characteristics of coral sand aggregate concrete and aerated concrete under different humidity and temperature conditions. Constr. Build. Mater. 2020, 230, 117034. [Google Scholar] [CrossRef]
- Wang, Y.; Liu, Z.; Jin, C.; Lu, L.; Bai, M. Experimental Study on the Preparation and Physical Thermal Performance of Coral Sand-Based Phase Change Material Concrete Composites. Constr. Build. Mater. 2023, 389, 131631. [Google Scholar] [CrossRef]
- Guo, J.; Yu, H.; Ma, H.; Wu, Z. Damage and deterioration characteristics of basic magnesium sulfate cement-coral aggregate concrete exposed to elevated temperature. Eng. Fail. Anal. 2022, 137, 106275. [Google Scholar] [CrossRef]
- Bathurst, R.J.; Naftchali, F.M. Geosynthetic reinforcement stiffness for analytical and numerical modelling of reinforced soil structure. Geotext. Geomembr. 2021, 49, 921–940. [Google Scholar] [CrossRef]
- Karademir, T.; Frost, J.D. Micro-scale tensile properties of single geotextile polypropylene filaments at elevated temperatures. Geotext. Geomembr. 2014, 42, 201–213. [Google Scholar] [CrossRef]
- Chao, Z.; Wang, H.; Hu, S.; Wang, M.; Xu, S.; Zhang, W. Permeability and porosity of light-weight concrete with plastic waste aggregate: Experimental study and machine learning modelling. Constr. Build. Mater. 2024, 411, 134465. [Google Scholar] [CrossRef]
- Chen, J.; Akosah, S.; Ma, C.; Gidigasu, S.S.R. Large-scale triaxial tests of reinforced coral sand with different grain size distributions. Mar. Georesour. Geotec. 2023, 41, 544–554. [Google Scholar] [CrossRef]
- Samanta, M.; Bhowmik, R.; Khanderi, H. Laboratory evaluation of dynamic shear response of sand–geomembrane interface. Geosynth. Int. 2022, 29, 99–112. [Google Scholar] [CrossRef]
- Kamalzadeh, A.; Pender, M.J. Dynamic response of Mechanically Stabilised Earth (MSE) structures: A numerical study. Geotext. Geomembr. 2023, 51, 73–87. [Google Scholar] [CrossRef]
- Ari, A.; Akbulut, S. Effect of fractal dimension on sand-geosynthetic interface shear strength. Powder Technol. 2022, 401, 117349. [Google Scholar] [CrossRef]
- Tafreshi, S.N.M.; Rahimi, M.; Dawson, A.R.; Leshchinsky, B. Cyclic and post-cycling anchor response in geocell-reinforced sand. Can. Geotech. J. 2019, 56, 1700–1718. [Google Scholar] [CrossRef]
- Ibrahim, A.; Desbrousses, R.L.E.; Xu, J.; Meguid, M.A. Investigation of the mechanical response of recovered geogrids under repeated loading. Geosynth. Int. 2024, 1–27. [Google Scholar] [CrossRef]
- Ying, M.; Liu, F.; Wang, J.; Wang, C.; Li, M. Coupling effects of particle shape and cyclic shear history on shear properties of coarse-grained soil–geogrid interface. Transp. Geotech. 2021, 27, 100504. [Google Scholar] [CrossRef]
- Basti, T.H.; Chenari, R.J.; Payan, M.; Senetakis, K. Monotonic, cyclic and post-cyclic shearing behavior of sand-EPS geofoam interface. Geosynth. Int. 2021, 28, 259–278. [Google Scholar] [CrossRef]
- Xu, D.; Zhang, Z.; Qin, Y.; Liu, T.; Cheng, Z.M. Effect of particle size distribution on dynamic properties of cemented coral sand under SHPB impact loading. Soil Dyn. Earthq. Eng. 2022, 162, 107438. [Google Scholar] [CrossRef]
- Chen, J.; Ren, X.; Xu, H.; Zhang, C.; Xia, L. Effects of grain size and moisture content on the strength of geogrid-reinforced sand in direct shear mode. Int. J. Geomech. 2022, 22, 04022006. [Google Scholar] [CrossRef]
- Akosah, S.; Zhou, L.; Chen, J.; Korli Lawer, A. Experimental investigation on cyclic behavior of geogrid-reinforced coral sand from the South China Sea. Mar. Georesour. Geotechnol. 2024, 42, 707–720. [Google Scholar] [CrossRef]
- Soroush, A.; Soltani-Jigheh, H. Pre-and post-cyclic behavior of mixed clayey soils. Can. Geotech. J. 2009, 46, 115–128. [Google Scholar] [CrossRef]
- An, L.; Zhao, X.; Li, D.; Yang, L.; Li, P.; Guo, L.; Wang, L. Cyclic and Post-Cyclic Behaviors of Stabilized Sand-Containing Soft Soil in Coastal Areas. Sustainability 2022, 14, 15017. [Google Scholar] [CrossRef]
- Wang, Y.; Wan, Y.; Guo, C.; Zeng, C.; Shao, J.; Wang, F. Experimental investigation on the monotonic, cyclic and post cyclic interfacial behavior of non-water reacted polymer and concrete. Constr. Build. Mater. 2021, 292, 123323. [Google Scholar] [CrossRef]
- ASTM D6072-08; Standard Practice for Obtaining Samples of Geosynthetic Clay Liners. ASTM: West Conshohocken, PA, USA, 2008.
- Shoushtari, M.R.; Lashkari, A.; Martinez, A. Effect of gas-oil contamination on the mechanical behavior of sand-woven geotextile interface: Experimental investigation and constitutive modeling. Geotext. Geomembr. 2023, 51, 56–71. [Google Scholar] [CrossRef]
- Chao, Z.; Shi, D.; Zheng, J. Experimental research on temperature–Dependent dynamic interface interaction between marine coral sand and polymer layer. Ocean Eng. 2024, 297, 117100. [Google Scholar] [CrossRef]
- Yuan, J.; Chen, Z.; Liu, Z.; Wu, X. Rheological test and model analysis of Guangzhou Luogang soft soil. Electron. J. Geotech. Eng. 2016, 21, 4101–4110. [Google Scholar]
- Feng, S.; Ai, S.; Chen, H. Membrane effect of geosynthetic reinforcement subjected to localized sinkholes. Can. Geotech. J. 2018, 55, 1334–1348. [Google Scholar] [CrossRef]
- Morsy, A.M.; Zornberg, J.G.; Han, J.; Leshchinsky, D. A new generation of soil-geosynthetic interaction experimentation. Geotext. Geomembr. 2019, 47, 459–476. [Google Scholar] [CrossRef]
- Shi, D.; Niu, J.; Zhang, J.; Chao, Z.; Fowmes, G. Effects of particle breakage on the mechanical characteristics of geogrid-reinforced granular soils under triaxial shear: A DEM investigation. Geomech. Energy Environ. 2023, 34, 100446. [Google Scholar] [CrossRef]
- Dassanayake, S.M.; Mousa, A.; Fowmes, G.J.; Susilawati, S.; Zamara, K. Forecasting the moisture dynamics of a landfill capping system comprising different geosynthetics: A NARX neural network approach. Geotext. Geomembr. 2023, 51, 282–292. [Google Scholar] [CrossRef]
- Shao, W.; Li, Q.; Zhang, W.; Shi, D.; Li, H. Numerical modeling of chloride diffusion in cement-based materials considering calcium leaching and external sulfate attack. Constr. Build. Mater. 2023, 401, 132913. [Google Scholar] [CrossRef]
- Zhang, Y.; Zang, W.; Zheng, J.; Cappietti, L.; Zhang, J.; Zheng, Y.; Fernandez-Rodriguez, E. The influence of waves propagating with the current on the wake of a tidal stream turbine. Appl. Energy 2021, 290, 116729. [Google Scholar] [CrossRef]
- Xu, J.; Gong, J.; Li, Y.; Fu, Z.; Wang, L. Surf-riding and broaching prediction of ship sailing in regular waves by LSTM based on the data of ship motion and encounter wave. Ocean Eng. 2024, 297, 117010. [Google Scholar] [CrossRef]
- Dong, Y.; Wang, D.; Randolph, M.F. Investigation of impact forces on pipeline by submarine landslide using material point method. Ocean Eng. 2017, 146, 21–28. [Google Scholar] [CrossRef]
- Dong, Y.; Cui, L.; Zhang, X. Multiple-GPU parallelization of three-dimensional material point method based on single-root complex. Int. J. Numer. Methods Eng. 2022, 123, 1481–1504. [Google Scholar] [CrossRef]
- Shao, W.; Qin, F.; Shi, D.; Soomro, M.A. Horizontal bearing characteristic and seismic fragility analysis of CFRP composite pipe piles subject to chloride corrosion. Comput. Geotech. 2024, 166, 105977. [Google Scholar] [CrossRef]
- Zhang, Y.; Zhang, Z.; Zheng, J.; Zheng, Y.; Zhang, J.; Liu, Z.; Fernandez-Rodriguez, E. Research of the array spacing effect on wake interaction of tidal stream turbines. Ocean Eng. 2023, 276, 114227. [Google Scholar] [CrossRef]
- Sudakov, O.; Burnaev, E.; Koroteev, D.A. Driving Digital Rock towards Machine Learning: Predicting permeability with Gradient Boosting and Deep Neural Networks. Comput. Geosci. 2018, 127, 91–98. [Google Scholar] [CrossRef]
- Çalışkan, A.; Demirhan, S.; Tekin, R. Comparison of different machine learning methods for estimating compressive strength of mortars. Constr. Build. Mater. 2022, 335, 127490. [Google Scholar] [CrossRef]
- Erofeev, A.; Orlov, D.M.; Ryzhov, A.; Koroteev, D.A. Prediction of Porosity and Permeability Alteration Based on Machine Learning Algorithms. Transp. Porous Med. 2019, 128, 677–700. [Google Scholar] [CrossRef]
- Kardani, N.; Zhou, A.; Nazem, M.; Shen, S.L. Estimation of bearing capacity of piles in cohesionless soil using optimised machine learning approaches. Geotech. Geol. Eng. 2020, 38, 2271–2291. [Google Scholar] [CrossRef]











| Parameters | Value | |
|---|---|---|
| Grain size (mm) | 1~2 | 2~4 |
| Density (g/cm3) | 1.75 | 1.5 |
| Water content (%) | 9.65 | |
| Thickness (mm) | Density (g/cm3) | Fracturing Strength (N/mm) | Yield Strength (N/mm) | Puncture Strength (N) |
|---|---|---|---|---|
| 2 | 0.942 | 53.5 | 29.3 | 645 |
| Sample | Temperature/°C | Fitting Parameters | ||
|---|---|---|---|---|
| Post S1 | 5 | 16.955 | −19.192 | 2.089 |
| 20 | 16.706 | −17.681 | 7.173 | |
| 40 | 16.090 | −17.298 | 3.300 | |
| 60 | 15.534 | −18.037 | 3.876 | |
| 80 | 16.678 | −18.387 | 2.581 | |
| Before S1 | 5 | 16.291 | −17.522 | 1.189 |
| 20 | 15.655 | −16.859 | 2.493 | |
| 40 | 14.899 | −15.430 | 4.979 | |
| 60 | 14.424 | −14.011 | 1.461 | |
| 80 | 17.374 | −19.921 | 3.437 | |
| Sample | Temperature/°C | Fitting Parameters | ||
|---|---|---|---|---|
| Post S2 | 5 | 18.672 | −24.554 | 2.094 |
| 20 | 23.735 | −22.574 | 3.676 | |
| 40 | 25.255 | −24.190 | 4.076 | |
| 60 | 17.584 | −19.033 | 3.212 | |
| 80 | 17.817 | −20.321 | 3.310 | |
| Before S2 | 5 | 20.208 | −20.114 | 4.819 |
| 20 | 15.077 | −14.537 | 1.480 | |
| 40 | 16.861 | −17.274 | 1.440 | |
| 60 | 27.358 | −27.696 | 8.225 | |
| 80 | 16.096 | −17.729 | 1.075 | |
| Sample | Temperature/°C | |||
|---|---|---|---|---|
| Post S1 | 5 | −11.176 | 1.303 | 2.721 |
| 20 | −25.641 | 1.414 | 10.142 | |
| 40 | −20.695 | 1.445 | 4.769 | |
| 60 | −9.988 | 1.386 | 5.372 | |
| 80 | −14.628 | 1.360 | 3.509 | |
| Before S1 | 5 | −20.309 | 1.427 | 1.696 |
| 20 | −20.764 | 1.483 | 3.697 | |
| 40 | −47.081 | 1.620 | 8.067 | |
| 60 | 60.533 | 1.784 | 2.607 | |
| 80 | −9.815 | 1.255 | 4.313 |
| Sample | Temperature/°C | |||
|---|---|---|---|---|
| Post S2 | 5 | −4.250 | 1.018 | 2.132 |
| 20 | 21.533 | 1.107 | 4.071 | |
| 40 | 23.474 | 1.033 | 4.212 | |
| 60 | −17.253 | 1.314 | 4.219 | |
| 80 | −9.984 | 1.230 | 4.072 | |
| Before S2 | 5 | 265.957 | 1.243 | 5.990 |
| 20 | 46.296 | 1.720 | 2.545 | |
| 40 | −60.533 | 1.447 | 2.084 | |
| 60 | −73.964 | 0.903 | 7.424 | |
| 80 | −15.309 | 1.410 | 1.516 |
Disclaimer/Publisher’s Note: The statements, opinions and data contained in all publications are solely those of the individual author(s) and contributor(s) and not of MDPI and/or the editor(s). MDPI and/or the editor(s) disclaim responsibility for any injury to people or property resulting from any ideas, methods, instructions or products referred to in the content. |
© 2024 by the authors. Licensee MDPI, Basel, Switzerland. This article is an open access article distributed under the terms and conditions of the Creative Commons Attribution (CC BY) license (https://creativecommons.org/licenses/by/4.0/).
Share and Cite
Chao, Z.; Wang, H.; Zheng, J.; Shi, D.; Li, C.; Ding, G.; Feng, X. Temperature-Dependent Post-Cyclic Mechanical Characteristics of Interfaces between Geogrid and Marine Reef Sand: Experimental Research and Machine Learning Modeling. J. Mar. Sci. Eng. 2024, 12, 1262. https://doi.org/10.3390/jmse12081262
Chao Z, Wang H, Zheng J, Shi D, Li C, Ding G, Feng X. Temperature-Dependent Post-Cyclic Mechanical Characteristics of Interfaces between Geogrid and Marine Reef Sand: Experimental Research and Machine Learning Modeling. Journal of Marine Science and Engineering. 2024; 12(8):1262. https://doi.org/10.3390/jmse12081262
Chicago/Turabian StyleChao, Zhiming, Haoyu Wang, Jinhai Zheng, Danda Shi, Chunxu Li, Gege Ding, and Xianhui Feng. 2024. "Temperature-Dependent Post-Cyclic Mechanical Characteristics of Interfaces between Geogrid and Marine Reef Sand: Experimental Research and Machine Learning Modeling" Journal of Marine Science and Engineering 12, no. 8: 1262. https://doi.org/10.3390/jmse12081262
APA StyleChao, Z., Wang, H., Zheng, J., Shi, D., Li, C., Ding, G., & Feng, X. (2024). Temperature-Dependent Post-Cyclic Mechanical Characteristics of Interfaces between Geogrid and Marine Reef Sand: Experimental Research and Machine Learning Modeling. Journal of Marine Science and Engineering, 12(8), 1262. https://doi.org/10.3390/jmse12081262

