Next Article in Journal
Adaptive Cooperative Ship Identification for Coastal Zones Based on the Very High Frequency Data Exchange System
Previous Article in Journal
Temperature-Dependent Post-Cyclic Mechanical Characteristics of Interfaces between Geogrid and Marine Reef Sand: Experimental Research and Machine Learning Modeling
 
 
Font Type:
Arial Georgia Verdana
Font Size:
Aa Aa Aa
Line Spacing:
Column Width:
Background:
Article

Assessment of Hull and Propeller Performance Degradation Based on TSO-GA-LSTM

Faculty of Maritime and Transportation, Ningbo University, Ningbo 315832, China
*
Author to whom correspondence should be addressed.
J. Mar. Sci. Eng. 2024, 12(8), 1263; https://doi.org/10.3390/jmse12081263
Submission received: 6 June 2024 / Revised: 15 July 2024 / Accepted: 24 July 2024 / Published: 26 July 2024
(This article belongs to the Section Ocean Engineering)

Abstract

Evaluating the degradation of hull and ship performance and exploring their degradation pathways is crucial for developing scientific and reasonable ship maintenance plans. This paper proposes a two-stage optimization (TSO) algorithm that combines the Genetic Algorithm (GA) and Long Short-Term Memory (LSTM) network, capable of simultaneously optimizing input features and model parameters to enhance the accuracy and generalization ability of speed prediction models. Additionally, a performance degradation assessment method based on speed loss is provided, aimed at evaluating the degradation of hull and propeller performance, as well as extracting the performance degradation paths. The results indicated that the proposed TSO-LSTM-GA algorithm significantly outperformed existing baseline models. Furthermore, the provided performance degradation assessment method demonstrated certain effectiveness on the target ship data, with a measured degradation rate of 0.00344 kn/d and a performance degradation of 9.569% over 478 days, corresponding to an annual speed loss of 1.257 kn.

1. Introduction

Assessment of hull and propeller performance degradation is a critical research area in the maritime industry. Monitoring and evaluating the degradation of hull and propeller performances are crucial for ensuring the efficient operation and safety of vessels [1]. Over time, hulls and propellers experience increased hydrodynamic resistance and decreased propulsion efficiency due to biofouling and material wear [2,3,4]. Accurate performance degradation assessment not only aids in maintenance planning and reduces operational costs but also helps determine optimal dry-docking schedules and minimizes additional greenhouse gas emissions caused by fouled hull and propeller surfaces [5,6].
Traditionally, performance degradation assessment has primarily relied on physical models [7,8]. These models typically depend on empirical formulas and correction factors derived from controlled experiments and historical data [9,10]. While these methods have practical utility, they also present several limitations. For instance, they require extensive domain knowledge, heavily depend on the quality of input data [11], and often struggle to accurately capture the complex nonlinear interactions present in real-world scenarios [12].
In recent years, with the rapid development of machine learning and deep learning algorithms, data-driven methods have emerged as powerful tools for assessing performance degradation [13,14]. These methods leverage large datasets to uncover complex patterns that traditional assessment methods struggle to identify. Common data-driven models include Decision Trees, K-Nearest Neighbors (KNN), and Random Forests (RF) [15]. These models are often combined within a unified framework to maximize their individual strengths, thereby enhancing the accuracy and robustness of predictions. For instance, multiple linear regression is frequently employed for preliminary analysis to establish linear relationships between performance degradation and its influencing factors. Decision Trees and models, such as AdaBoost, are better suited for capturing nonlinear relationships, while KNN predicts performance degradation by analyzing similar cases. Additionally, unsupervised learning is often used to analyze hull and propeller performance degradation, with a particular focus on unlabeled data to explore underlying structures and patterns in the navigation data [16]. For example, clustering analysis can group navigation data into clusters that may correspond to different levels or types of degradation [17]. Principal Component Analysis (PCA) aids in dimensionality reduction, highlighting the most significant variables affecting hull and propeller performance [18]. However, the application of unsupervised learning also faces challenges, such as poor interpretability of results. This necessitates deeper domain knowledge and additional data analysis to comprehend the model outputs. Moreover, these methods are highly dependent on data quality—noise and inaccuracies in the data can lead to incorrect pattern recognition and erroneous conclusions.
Furthermore, Artificial Neural Network (ANN) models have demonstrated immense potential in assessing ship performance degradation due to their exceptional data-processing capabilities and ability to learn complex patterns. ANNs can handle nonlinear problems and are well suited for various complex dynamic systems, thereby enhancing the accuracy of predictions and providing better assessments of hull and propeller performance degradation, particularly in maritime engineering [19,20]. However, when dealing with large datasets, ANNs can become excessively deep, leading to high training costs. Additionally, ANN models are prone to overfitting, where they learn the noise in the training data rather than the underlying patterns, especially when the dataset is limited or contains too many features.
In contrast, Recurrent Neural Networks (RNNs) are widely used in various evaluation tasks due to their proficiency in handling time series data, especially when the historical data influence on current assessments is crucial. By incorporating recurrent connections within their architecture, RNN can effectively capture and utilize the temporal dependencies in input sequences, making them particularly suitable for solving ship performance degradation assessment problems. Long Short-Term Memory (LSTM) networks, an improvement over traditional RNNs, excel in retaining long-term dependencies. They show great promise in assessing trends in ship performance degradation and enhancing accuracy [21].
In data-driven assessments of hull and propeller performance degradation, feature selection plays a critical role [22]. Ship operational data typically involve numerous sensor inputs, including but not limited to main engine power, fuel consumption, and ocean environmental factors [23]. These datasets are often high-dimensional and contain a substantial amount of redundant information. Effective feature selection can filter out the most informative features from these complex datasets, such as wind field volume, characteristic wave height, and shaft speed. Good feature selection and dimensionality reduction not only enhance the efficiency and speed of model training but also significantly improve the model’s accuracy in identifying hull and propeller performance degradation while reducing noise interference from irrelevant variables [24]. Therefore, optimizing feature selection has become a key challenge.
On the other hand, optimizing model parameters is crucial for improving the accuracy of hull and propeller performance degradation assessments. In deep learning models, hyperparameter settings (such as batch size, number of network layers, and number of neurons) greatly influence the model’s learning capacity and generalization performance [25,26]. An optimal combination of hyperparameters can result in faster and more stable model training. Furthermore, an optimized model can more accurately assess hull and propeller performance degradation while maintaining high robustness and reducing the risk of overfitting. However, most current hyperparameter selection methods rely on experience or manual tuning, which is time-consuming and does not guarantee the optimal combination of hyperparameters. Therefore, developing efficient methods for model parameter optimization has become a pressing research issue.
The Genetic Algorithm (GA) is an optimization technique based on the principles of natural selection and genetics, and it has gained extensive application in feature selection and model parameter optimization in recent years. In the field of prediction, the GA is often combined with Long Short-Term Memory (LSTM) models. Existing studies indicate that the GA can optimize various internal parameters of LSTM models, such as the number of neurons in hidden layers [27,28,29], batch size [29,30], learning rate [28], and the number of training epochs [28,29,30], thereby enhancing the model’s generalization capabilities. Furthermore, the GA is also employed for input feature selection [31], where it identifies the most valuable features for model input, reducing the interference of irrelevant features and improving the model’s predictive performance. However, most current research focuses on either model internal parameter optimization or feature selection optimization, with few studies addressing both feature selection and model internal parameter optimization simultaneously using the GA.
To address these challenges, we have innovatively proposed a two-stage optimization (TSO) algorithm that combines the Genetic Algorithm (GA) with the Long Short-Term Memory (LSTM) network. This algorithm simultaneously optimizes input feature selection and model parameters, thereby enhancing the accuracy of speed prediction models and improving their generalization capabilities. Furthermore, we have introduced a hull and propeller performance degradation assessment method based on speed loss. This method evaluates the degradation of ship performance and extracts performance degradation curves, providing crucial insights for the formulation of scientifically sound ship maintenance plans.
The main contributions of this paper are as follows:
  • To enhance the predictive and generalization capabilities of the model, this paper innovatively proposes a two-stage optimization algorithm that integrates the GA with the LSTM network. This algorithm not only selects the optimal features, reduces dimensionality, and eliminates interfering features, but also optimizes the parameters of the LSTM model. Consequently, it achieves accurate speed prediction, laying a solid foundation for assessing the performance degradation of the hull and propeller.
  • This paper introduces a hull and propeller performance degradation assessment method based on speed loss. This method accurately evaluates the performance degradation of the hull and propeller and extracts the degradation path, providing essential references for developing scientifically sound ship maintenance plans.
  • A comprehensive comparative study of the research findings is conducted from multiple perspectives and levels. Through ablation experiments and comparisons between the proposed TSO-GA-LSTM algorithm and existing algorithms, the superiority of the TSO-GA-LSTM algorithm is validated.
The structure of the subsequent sections of this paper is as follows: Section 2 analyzes the factors contributing to hull and propeller performance degradation and introduces the performance evaluation principles utilized in this study. Section 3 presents the proposed TSO-GA-LSTM model and the hull and propeller performance degradation assessment method based on speed loss. Section 4 provides a detailed description of the dataset used, the results of comparative experiments, and related research findings. Section 5 discusses and analyzes the research outcomes and proposes future research directions. Section 6 summarizes the research findings of this paper.

2. Principle Overview

2.1. Factors Contributing to Hull and Propeller Performance Degradation

The hull, main engine, and propeller collectively form the ship’s propulsion system. When a vessel maintains steady navigation under a certain sea condition, it determines the operating conditions of both the main engine and the propeller, which in turn dictate the ship’s cruising speed. Excluding considerations of lateral and pitch motions, the state variations in the main engine’s rotational speed and the ship’s cruising speed can be described by Equations (1) and (2):
n ˙ e = M e M p M f 2 π I PP + J PP
where n ˙ e represents the rate of change of the main engine’s rotational speed, measured in r/s2; M e is the torque generated by the main engine, measured in N·m; M p = ρ w n e 2 D P 5 K Q is the propeller torque, measured in N·m; M f represents the frictional resistance torque of the shaft system; I PP is the combined moment of inertia of the propeller and the shaft system, measured in kg·m2; J PP denotes the added moment of inertia of the propeller and shaft system, also measured in kg·m2; D P represents the diameter of the propeller, measured in m, and K Q is the propeller torque coefficient.
V ˙ s = T p R t + R a + R s m + m x
where V ˙ s represents the rate of change of the ship’s speed, measured in m/s2; T P = 1 t P ρ w n e 2 D P 4 K T is the force exerted by the propeller in the x-direction on the ship, measured in N; ρ w denotes the density of seawater, measured in kg/m3; t P is the propeller thrust deduction factor; K T represents the propeller thrust coefficient; R t signifies the still water resistance; R a is the aerodynamic resistance, and R s accounts for the additional resistance caused by waves.
The calculation formula for R t is given by:
R t = R f + R w + R pv
where R f represents the frictional resistance, R w denotes the wave-making resistance, and R pv signifies the viscous pressure resistance.
Based on the equivalent flat-plate assumption, the formula for calculating frictional resistance is as follows:
R f = 1 2 1 + k C f + Δ C f ρ w S V s 2
where C f represents the frictional resistance of the equivalent flat plate, k is the hull form factor, Δ C f denotes the additional frictional resistance, and S is the wetted surface area of the hull, measured in square meters (m2).
Based on the above analysis, it is evident that when a vessel is in a stable, constant-speed sailing state without steering, the main engine speed, n ˙ e , fluctuates around zero due to the action of the governor, maintaining a balance between the output torque of the main engine and the absorbed torque of the propeller. In the absence of sudden changes in sea conditions, the vessel’s speed variation rate, V ˙ s , also fluctuates around zero, and a balance is maintained between the thrust of the propeller and the resistance experienced by the hull. However, as shown in Figure 1, over time, the hull immersed in seawater will corrode and rust below the waterline, increasing the surface roughness of the hull. Additionally, marine organisms, such as algae, barnacles, and mollusks, attach and grow on the hull, further increasing the surface roughness of both the hull and the propeller [32]. The former is generally referred to as “hull corrosion”, while the latter is known as “biofouling”. The increased surface roughness of the hull and propeller leads to increased additional frictional resistance and decreased propeller propulsion efficiency, ultimately resulting in a reduction in the vessel’s speed under the same sea conditions and main engine propulsion power. Therefore, describing the performance degradation of the hull and propeller through speed loss under the same boundary conditions is feasible and is a commonly used method in related research to describe performance degradation.
Moreover, operational vessels experience two distinct sailing conditions: ballast and fully loaded. When in ballast, the vessel’s draft is shallower compared to when fully loaded, leading to an increase in the longitudinal and transverse projected area of the hull above the waterline, as well as alterations in the hull shape below the waterline. Consequently, this results in changes in wind resistance, hydrostatic resistance, and added wave resistance experienced by the hull. The complexity of theoretically correcting these variations is substantial. To address this issue, this study separately established models for ballast sailing and fully loaded sailing, which are used to evaluate the degradation process of sailing in ballast and fully loaded conditions, respectively.

2.2. Hull and Propeller Performance Degradation Assessment Based on Speed Loss

To accurately assess the performance degradation of the hull and propeller and to map their degradation paths, this paper proposes a performance degradation assessment method based on speed loss. Initially, we developed a two-stage optimization model that integrates LSTM and the GA. Using the trained model, we can predict the ship’s speed at future time points, referred to as the “non-degraded speed”.
Next, we calculated the residuals between the non-degraded speed and the actual measured “observed speed”. As shown in Figure 2, the residuals over time are plotted, reflecting the performance degradation of the hull and propeller over time. By analyzing the time series of speed residuals, we can determine the degradation path of the hull and propeller, thereby describing the direction and extent of the degradation.
The key to this speed-loss-based assessment method lies in the accuracy of speed prediction during model training. The higher the prediction accuracy, the more precisely the impact of degradation factors on hull and propeller performance can be reflected, thus effectively assessing the performance degradation and extracting the degradation path. Based on this information, we can develop scientifically sound maintenance strategies to minimize performance loss and operational costs.

3. Materials and Methods

This paper employed a two-stage optimization GA combined with a LSTM model to predict the future non-degraded ship speed. Building on this foundation, we used a speed loss assessment method to evaluate the performance degradation of the hull and propeller, ultimately determining their degradation paths. The specific algorithm flow is illustrated in Figure 3.

3.1. Two-Stage Optimization Genetic Algorithm

Feature selection can remove redundant and noisy information, retaining the most valuable data [31,33,34], while model parameter optimization can enhance the model’s generalization ability and reliability [27,28,29,30]. Combining these two aspects can significantly improve the accuracy of speed prediction, thereby laying a foundation for better assessing the performance degradation of the hull and propeller. In this study, binary encoding was used to represent the selection of speed-influencing factors. The search mechanism of Genetic Algorithms, along with their crossover and mutation operations, are particularly suitable for this form of encoding, demonstrating inherent adaptability. Consequently, given the characteristics of our data, Genetic Algorithms showed clear advantages over other optimization algorithms, such as Particle Swarm Optimization (PSO) [35], Simulated Annealing (SA) [36], and Ant Colony Optimization (ACO) [37]. Furthermore, in small-scale optimization problems, Genetic Algorithms can efficiently explore complex solution spaces and quickly converge to high-quality solutions. In this paper, we employed a two-stage optimization GA to simultaneously identify the appropriate speed-influencing factors and optimize the LSTM model parameters to achieve the best predictive performance.

3.1.1. Two-Stage Encoding

As shown in Figure 4 and detailed in Table 1, let there be K speed-influencing factors, SIFi (i = 1, 2, …, K), and four LSTM model parameters: batch size (BS), number of hidden units (NHU), number of dense-layer neurons (ND), and Dropout. For the selection of speed-influencing factors, a binary encoding scheme was used, where 0 and 1 represent the exclusion and inclusion of the factor as part of the LSTM model’s input feature set, respectively. For the LSTM model parameters, BS, NHU, and ND were encoded as integers, while Dropout was encoded as a floating-point number. It is important to note that to leverage hardware optimization and memory alignment, and to improve computational efficiency and gradient update stability, batch size is typically set to a power of 2. Therefore, the actual value of batch size in this study was 2 A (where A is a non-negative integer).
In this paper, the selection of speed-influencing factors was considered the First-Stage Optimization (FSO), while the optimization of LSTM model parameters was regarded as the Second-Stage Optimization (SSO). Moreover, we concatenated the encoding from the First-Stage Optimization with the encoding from the Second-Stage Optimization to ultimately generate the individual genes used for the two-stage optimization.

3.1.2. Initialization

Initialization is a crucial step in Genetic Algorithms, as it directly affects the search efficiency and the quality of the final results. The objective of initialization is to generate a diverse set of individuals (solutions) to ensure coverage of different regions of the search space [38]. In this paper, we randomly initialized each speed-influencing factor in the individuals to either 0 or 1. Simultaneously, we randomly initialized the LSTM model parameters within a specified threshold range, ensuring that the parameters’ numerical types met the required specifications.

3.1.3. Minimization Fitness Evaluation

In this paper, we employed a minimization fitness function for evaluation, guiding the algorithm toward the minimization of the target. This approach not only effectively measured the closeness between the predicted speed and the observed speed but also provided a solid foundation for the subsequent optimization of individuals, aiding in the identification of optimal features and model parameters. The fitness function is expressed as follows:
F = j = 1 N Ψ x j y j 2
where x j represents the input feature sequence at the j-th time step in the test set, after feature selection and min–max normalization, Ψ x j denotes the output value of the input feature sequence processed by the trained LSTM model, N indicates the number of samples in the test set, and y j represents the observed speed at the j-th time step in the test set, after min–max normalization.

3.1.4. Selection

In Genetic Algorithms, the selection operation is a critical step, as it determines which individuals can serve as parents. These parents will further generate the next generation through crossover and mutation operations. Selection also ensures that the chosen parents are included in the next-generation population, thus influencing the convergence speed and the quality of the solutions. In this study, we used a combination of elitism and roulette wheel selection methods. This approach ensures the retention of high-quality individuals while maintaining population diversity.
First, since a minimization fitness function was used for fitness evaluation in this study, it was necessary to transform the fitness function for maximization before performing the selection:
F s = max F s F s max F s min F s , s = 1 , 2 , , L
where F s represents the fitness value of the s-th individual, and L denotes the number of individuals in the population.
Next, we performed elitist selection. We determined the elite ratio, m (where 0 < m < 1 ), and ranked the maximized fitness values of all individuals from highest to lowest. We then selected the top p individuals (where p < M , and M represents the total number of parents to be selected) as elite individuals, comprising a portion of the parents, and directly copied them into the next-generation population.
Finally, we applied roulette wheel selection. We calculated the selection probability for each individual as follows:
R s = F s = 1 K F s , s = 1 , 2 , , L
Then, we mapped the probability, R s , of each individual onto a roulette wheel, ensuring that individuals with higher selection probabilities occupied larger sections of the wheel. Using the roulette wheel method, we randomly selected M u individuals to complete the parent pool and incorporated them into the next-generation population.
This combination of elitist selection and roulette wheel selection effectively ensured the retention of superior individuals while maintaining population diversity through random selection. This approach enhanced both the convergence speed and the quality of the solutions in the algorithm.

3.1.5. Crossover

Crossover operation is a crucial step in generating new individuals, primarily aiming to produce offspring with superior solutions through the recombination of parental genes, thereby enhancing the search capability of the algorithm and the quality of the solutions. In this study, we adopted a uniform crossover method. Specifically, we randomly selected two individuals from the screened parents to pair up. For each gene locus in these two individuals, we exchanged genes with a certain probability, known as the crossover rate, to generate new offspring. This method further increased population diversity, helping to avoid the problem of getting trapped in local optima [31].

3.1.6. Mutation

In Genetic Algorithms, the mutation operation is crucial for introducing genetic diversity and preventing premature convergence. By randomly altering individual genes, mutation allows the population to explore a broader solution space, thereby increasing the likelihood of finding the global optimum.
In this paper, we introduced a mutation process for each gene of the newly generated offspring individuals, which were created through crossover operations, based on a certain probability (mutation rate). Specifically, the mutation operation involved the random binary encoding of speed influence factors and the random selection of model parameters within a specified range, ensuring the correctness of their numerical types. By employing this mutation method and setting a relatively high mutation rate, we could effectively enhance the diversity of the population and improve the overall performance of the algorithm.

3.2. Long Short-Term Memory Neural Network

The Long Short-Term Memory (LSTM) network is a specialized type of Recurrent Neural Network (RNN). As shown in Figure 5, LSTM introduces a gate mechanism to effectively address the issues of gradient vanishing and gradient exploding that are common in traditional RNNs when processing long sequence data.
The forget gate, f t , determines how much information from the cell state of the previous time step needs to be retained in the current time step. Its calculation formula is as follows:
f t = σ W f h t 1 , x t + q f
The input gate, I t , controls how much of the current input information needs to be written into the memory cell. The input component consists of the input gate, I t , itself and the candidate memory cell, C ˜ t . The calculation formulas are as follows:
I t = σ W I h t 1 , x t + q I
C ˜ t = tanh W C h t 1 , x t + q C
The update of the cell state, C t , is determined by both the forget gate, f t , and the input gate, I t . The calculation formula is as follows:
C t = f t C t 1 + I t C ˜ t
The output gate, o t , determines the contribution of the cell state to the hidden state, controlling the information output at the current time step. The calculation formula is as follows:
o t = σ W o h t 1 , x t + q o
The update formula for the hidden state, h t , is as follows:
h t = o t tanh C t
For the final predictive output, this paper employed two fully connected layers. First, the hidden state, h t , underwent a linear transformation through the first fully connected layer, followed by the application of an activation function:
z t = ReLU W 1 h t + q 1
Finally, the resulting predictive output, y t , is:
y t = W 2 z t + q 2
In the above equations, t = 1 , 2 , , t max represents the time step, where t max is the length of the time series, x t denotes the input feature sequence at the t-th time step, W f , W I , W C , W o , W 1 , W 2 represent the connection weights, q f , q I , q C , q o , q 1 , q 2 are the bias terms, tanh x = e x e x e x + e x is the hyperbolic tangent activation function, σ ( x ) = 1 1 e x is the sigmoid activation function, and ReLU x = max 0 , x is the ReLU activation function. It is important to note that the number of hidden-layer neurons in the LSTM, denoted as NHU, and the number of neurons in the first fully connected layer, denoted as ND, are model parameters.

3.3. Hull and Propeller Performance Degradation Path Based on Speed Loss

In this study, to eliminate the dimensional differences between different features before training the LSTM model, we applied the min–max normalization method to the input data of the training set. Therefore, for future data predictions, it was first necessary to input the future speed-influencing factors into the min–max normalizer, which was fitted using the training set, for normalization. Next, we used the features selected during the first stage of optimization as input data. Finally, we employed the optimal LSTM model, trained through the second stage of optimization, for prediction. The non-degraded speed, v r , was then obtained through inverse min–max normalization, as follows:
v r = InverseMinMax Ψ o p t x r
where x r represents the input feature sequence at the r-th time step in the future data, after feature selection and min–max normalization, Ψ o p t x r denotes the output value of the input feature sequence processed by the optimized and trained LSTM, and InverseMinMax represents the inverse min–max normalization process.
By comparing with the observed speed, the speed residuals at each time point were calculated as follows:
u r = y r v r , r = 1 , 2 , , D
where y r represents the observed speed at the r-th time step, and D denotes the total number of time steps.
To reduce noise and facilitate long-term trend analysis, the mean residual speed sequence u ¯ g was calculated through resampling, as follows:
u ¯ g = R Δ r Δ g u r
where Δ r represents the original time interval, Δ g Δ r < Δ g is the resampled time interval, and R denotes the resampling function, which resamples the original data sequence according to the new time interval.
Since changes in ship draught can affect speed residuals, to extract and analyze the degradation path of the hull and propeller performance, this paper established a regression model that accounts for the linear impact of draught more accurately. This model was used to extract the degradation path of hull and propeller performance:
u ¯ = β 0 + β 1 T + β 2 D + ε
where u ¯ represents the speed residual, T denotes time, D indicates draught, β 0 , β 1 , β 2 are the regression coefficients ( β 1 is the degradation rate), and ε is the error term.

4. Results

4.1. Evaluation Metrics

Accurately predicting ship speed in both the training and test sets is essential for precisely assessing the impact of degradation factors on hull and propeller performance. To ensure prediction accuracy, we employed various evaluation metrics, including Mean Absolute Error (MAE), Mean Squared Error (MSE), Mean Absolute Percentage Error (MAPE), and the Coefficient of Determination ( R 2 ):
MAE = 1 Q k = 1 Q Y k Y ^ k
MSE = 1 Q k = 1 Q Y k Y ^ k 2
MAPE = 1 Q k = 1 Q Y k Y ^ k Y k
R 2 = 1 k = 1 Q ( Y k Y ^ k ) 2 k = 1 Q ( Y k Y ¯ ) 2
where Q represents the total number of time steps, Y ^ k denotes the predicted speed at the k-th time step, Y k indicates the observed speed at the k-th time step, and Y ¯ represents the mean value of the observed speeds.

4.2. Dataset

The target ship in this study was a 300,000 ton bulk carrier. The main parameters are listed in Table 2.
The target ship was officially delivered for operation in January 2010 after sea trials and underwent dry docking in the first half of 2015. It primarily operates on the route between China and Brazil, with long-term continuous navigation monitoring data available. The operational time information from May 2015 to December 2016 is shown in Table 3.
In this paper, 27 speed-influencing factors were selected as input data, including navigation and main engine operation data, as well as meteorological data, with speed as the output data. The navigation and main engine operation data were sourced from the monitoring system onboard the target ship. The ship-side data collection interval ranged from 15 to 30 s, while the shore-side data reporting interval was 1 h. This study primarily utilized the ship-side monitored navigation and main engine operation data. The meteorological data were obtained from the ECMWF ERA-Interim reanalysis dataset. Through spatiotemporal interpolation, meteorological data corresponding to the ship’s navigation latitude, longitude, and time were acquired. It is worth noting that this dataset was discontinued in June 2023 and has been replaced by ERA5. ERA5 is the fifth-generation ECMWF reanalysis for the global climate and weather over the past eight decades, with data available from 1940 onwards [39]. To standardize the sampling interval, all data were resampled at 5 min intervals. Taking the data from Voyage 2 as an example, the resulting navigation and main engine operation data are shown in Figure 6, and the meteorological data are shown in Figure 7.

4.3. Two-Stage Optimization Results

The target ship transports iron ore from Brazil to China. During the voyage, the ship is in ballast condition when sailing from China to Brazil and in fully loaded condition when returning to China. Different load conditions affect the ship’s draught, displacement, and waterline length, thereby impacting its performance. Therefore, it is necessary to train two different types of models to predict the ship’s speed under ballast and fully loaded conditions. Voyage 1, from Brazil to China, represents the fully loaded condition, while Voyage 2, from China to Brazil, represents the ballast condition. Accordingly, data from Voyage 1 were used for the fully loaded model, and data from Voyage 2 were used for the ballast model.
Before model training, both datasets were normalized using min–max scaling and then split into training and test sets in an 8:2 ratio.
To balance the optimization range and computational cost, the GA parameters in the proposed TSO-GA-LSTM model were set as follows: the population size was 30, the maximum number of generations was 50, the elite ratio was 0.1, and the parent proportion was 0.1. The crossover operation adopted a uniform crossover method, with a crossover rate of 0.5 and a mutation rate of 0.1. The speed-influencing factors were randomly initialized to 0 or 1. The initialization range for BS was 2 A A 0 , 8 (where A is an integer), for NHU was between 150 and 300, for ND was between 50 and 100, and for Dropout was between 0.1 and 0.5. When training the LSTM model, ReLU was chosen as the activation function, and the Adam optimizer was used. The hyperparameters for the Adam optimizer were set as follows: the first-order momentum was 0.9, the second-order momentum was 0.999, and the initial learning rate was 0.001. The model was trained for a total of 50 epochs. The optimal fitness iteration process for both the fully loaded and ballast condition models is shown in Figure 8.
From Figure 8, it is evident that the optimal fitness continuously decreased since we use the minimization fitness function from Equation (5) for evaluation and optimization. Additionally, both models found the optimal solution in the early stages of iteration: the fully loaded model reached the optimal solution after 21 iterations with an optimal fitness value of 0.002621, and the ballast condition model reached the optimal solution after 14 iterations with an optimal fitness value of 0.000498. These results demonstrate that both models converged well and achieved high accuracy. During the experiments, we utilized uniform crossover and uniform mutation methods, setting a relatively high mutation rate (0.1) to ensure solution diversity. The experimental results demonstrate that the models could still converge rapidly despite the high mutation rate. This is partly attributed to our use of a selection strategy that combined elite selection and roulette wheel selection, which facilitated the retention of superior offspring. It is worth noting that the problem space in this study was not sufficiently small, encompassing 31 decision variables. As a result, local optima and global optima were not necessarily equivalent.
Furthermore, the optimal fitness of the ballast condition model was better than that of the fully loaded model. This is because the ballast condition model had a larger training sample size, leading to higher accuracy, stronger generalization ability, and a smaller optimal fitness value.
The final results after the two-stage optimization showed that the optimal fully loaded model selected 12 speed-influencing factors: course, shaft speed, shaft power, exhaust temperature of the second cylinder of the main engine, exhaust temperature of the third cylinder of the main engine, exhaust inlet temperature of the first turbocharger of the main engine, fuel consumption rate, zonal wind component at 10 m above sea level, meridional wind component at 10 m above sea level, significant wave height, mean wave direction, and mean wave period. The optimized LSTM model parameters were BS = 128, NHU = 252, ND = 72, and Dropout = 0.365. The genetic representation of the optimal individual is as follows:
[ 1 ,   0 ,   0 ,   0 ,   0 ,   1 ,   1 ,   0 ,   0 ,   0 ,   1 ,   1 ,   0 ,   0 ,   0 ,   1 ,   0 ,   0 ,   0 ,   1 ,   0 ,   1 ,   1 ,   0 ,   1 ,   1 ,   1 ,   7 ,   252 ,   72 ,   0 . 365 ]
For the optimal ballast condition model, 14 speed-influencing factors were selected: course, cooling seawater temperature, main engine fuel inlet temperature, shaft speed, shaft power, scavenging air pressure of the main engine, scavenging air box temperature of the main engine, exhaust temperature of the second cylinder of the main engine, fuel consumption rate, atmospheric pressure at sea level, zonal wind component at 10 m above sea level, meridional wind component at 10 m above sea level, significant wave height, and mean wave direction. The optimized LSTM model parameters were BS = 128, NHU = 202, ND = 58, and Dropout = 0.268.
The comparison between the predicted speed and the actual observed speed for both the optimal fully loaded and ballast condition models on the training and test sets is shown in Figure 9. The genetic representation of the optimal individual is as follows:
[ 1 ,   1 ,   1 ,   0 ,   0 ,   1 ,   1 ,   1 ,   1 ,   0 ,   1 ,   0 ,   0 ,   0 ,   0 ,   0 ,   0 ,   0 ,   0 ,   1 ,   1 ,   1 ,   1 ,   0 ,   1 ,   1 ,   0 ,   7 ,   202 ,   58 ,   0 . 268 ]
From Figure 9, it can be observed that the predicted ship speed by both models aligned closely with the actual observed speed in both the training and test sets, demonstrating good predictive performance. This indicates that the proposed TSO-GA-LSTM model effectively captured the speed variation trends. However, there were slight discrepancies between the predicted and actual speeds at certain time points in the test set, with the fully loaded model showing greater deviation than the ballast condition model. This could be due to the presence of some hard-to-detect outliers or noise in the training data, affecting the model’s prediction accuracy. Additionally, the ballast condition model used more data samples, which enhanced its generalization ability and accuracy.

4.4. Algorithm Evaluation Experiments

4.4.1. Ablation Experiments

To verify the effectiveness of combining two-stage optimization, Genetic Algorithms, and LSTM for training and prediction, we conducted ablation experiments using data from Voyage 2 (ballast condition data) as an example. First, we compared the optimal fitness iteration process of TSO-GA-LSTM, FSO-GA-LSTM, and SSO-GA-LSTM. As shown in Figure 10, all three models achieved iterative convergence. However, further analysis of the convergence precision of each model revealed that the TSO-GA-LSTM model achieved the lowest final optimal fitness value of 0.000498. In contrast, the final fitness values for the FSO-GA-LSTM and SSO-GA-LSTM models were 0.000805 and 0.000711, respectively. Although these models also demonstrated some optimization capability, their performance and precision were slightly inferior to those of the TSO-GA-LSTM model.
As shown in Figure 11, we compared the loss function performance during the training process of the TSO-GA-LSTM, FSO-GA-LSTM, SSO-GA-LSTM, and LSTM models. All models experienced a rapid decline in loss function values in the initial stages of training, indicating that the models quickly learned and optimized internal parameters. However, the TSO-GA-LSTM model exhibited some fluctuations around the 30th epoch, likely due to significant parameter adjustments during the optimization process. Overall, despite the fluctuations in the TSO-GA-LSTM model during training, it achieved the lowest final loss function value, indicating a significant advantage in ultimate accuracy.
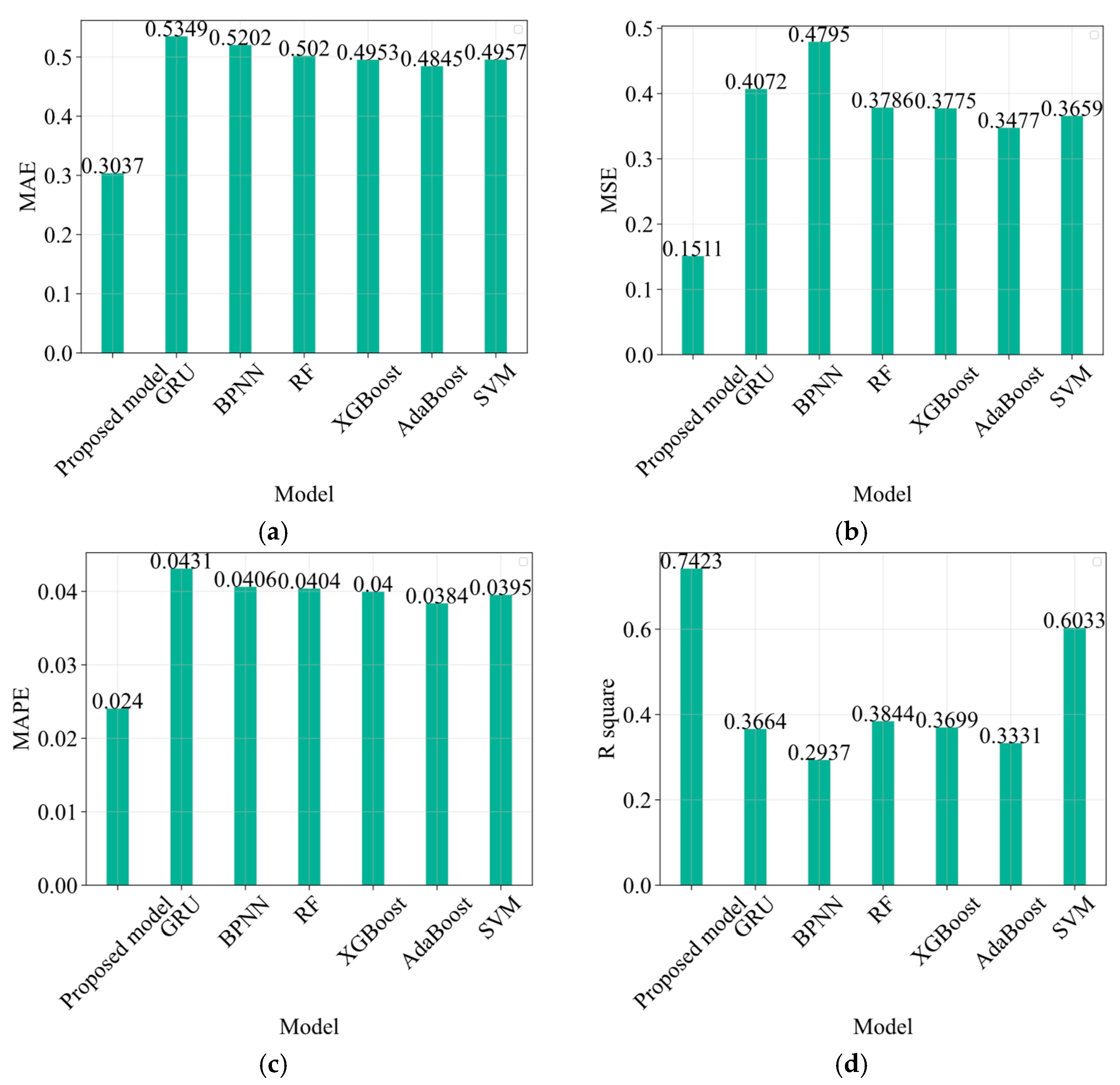
Furthermore, we compared the MAE, MSE, MAPE, and R2 values of the four models on the test set (as shown in Figure 12) and conducted a comparative analysis of the predicted and actual observed speeds on both the training and test sets (as shown in Figure 13). The results indicate that the TSO-GA-LSTM model achieved the best predictive performance on the test set, with an MAE of 0.3037, MSE of 0.1511, MAPE of 0.0240, and R 2 of 0.7423. These findings demonstrate that the TSO-GA-LSTM model excelled in predictive accuracy, providing robust support for the subsequent evaluation of hull and propeller performance degradation.

4.4.2. Comparative Experiments

To validate the superiority of the proposed TSO-GA-LSTM model, we compared its MAE, MSE, MAPE, and R 2 values on the test set with those of existing algorithms (as shown in Figure 14). We also compared the predicted and actual observed speeds on both the training and test sets across different models (as shown in Figure 15). It is important to note that the GRU (NHU = 200 and ND = 70) and BPNN (ND1 = 224, ND2 = 112, ND3 = 56, and ND4 = 16) models used in this study were constructed using the Keras framework (version 2.13.1). The ReLU activation function and the Adam optimizer were employed. The hyperparameters for the Adam optimizer were set as follows: first-order momentum at 0.9, second-order momentum at 0.999, and an initial learning rate of 0.001. Additionally, Random Forest (RF), XGBoost, AdaBoost, and Support Vector Machine (SVM) utilized the baseline models from the Scikit-Learn library (version 1.3.2). The results demonstrate the superiority of the proposed TSO-GA-LSTM model over the baseline model, with a significant improvement in predictive accuracy. Our model exhibited lower Mean Absolute Error (MAE), Mean Squared Error (MSE), and Mean Absolute Percentage Error (MAPE) on the test set compared to the baseline model, and a higher R-squared ( R 2 ) value. The TSO-GA-LSTM model showed enhanced accuracy and stability in handling the vessel speed prediction task for this dataset, confirming its excellent performance in practical applications.
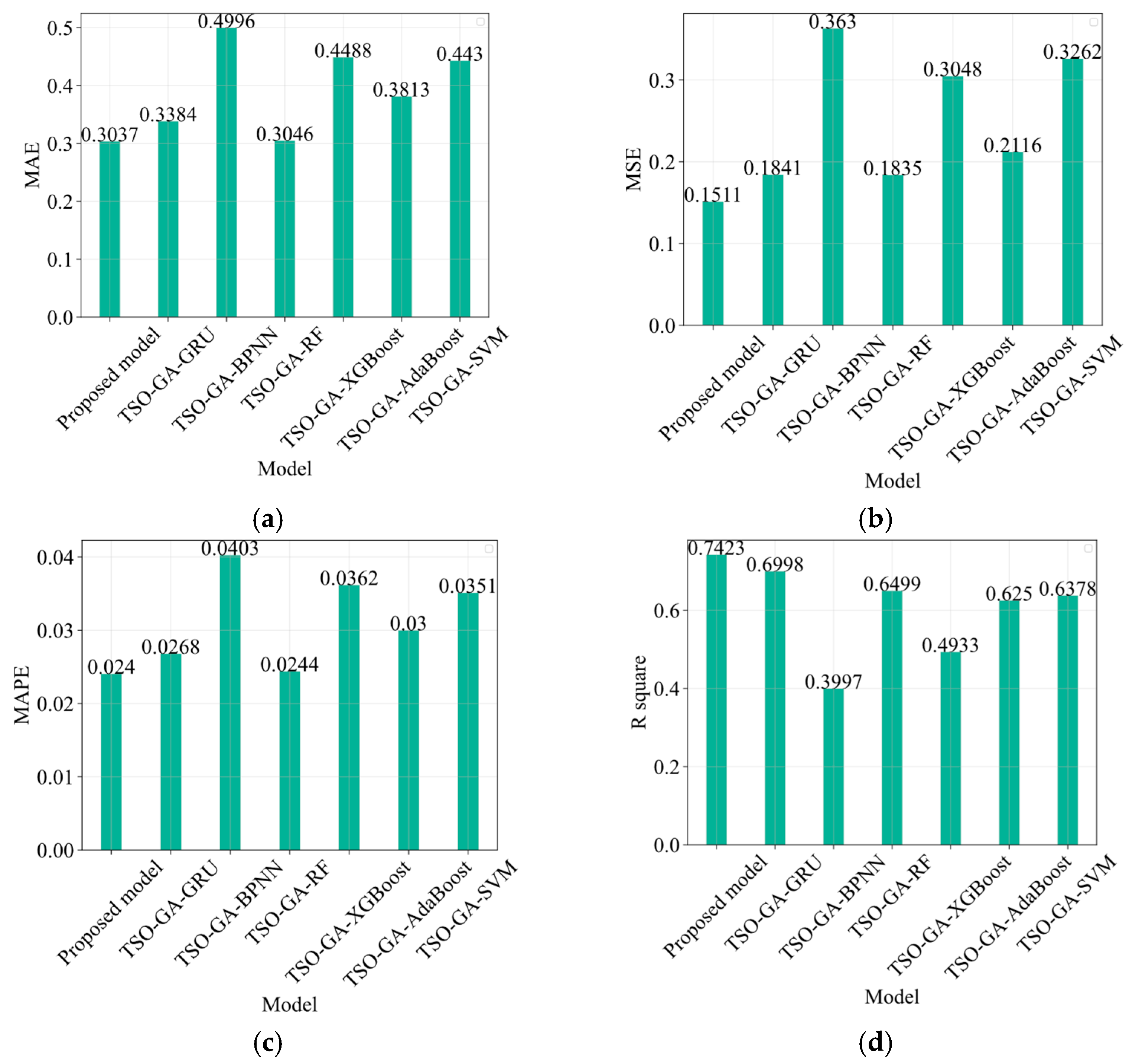
Additionally, to further validate the superiority of the proposed two-stage optimization algorithm, we applied it to benchmark models to achieve feature selection and internal model parameter optimization and compared the results with the TSO-GA-LSTM model (as shown in Figure 16 and Figure 17). It is important to note that the genetic algorithm parameters used for the two-stage optimization were the same as those for the TSO-GA-LSTM model. For different baseline models, we optimized various internal parameters specific to each model, namely: GRU (BS, Dropout, NHU, and ND), BPNN (BS, Dropout, ND1, ND2, ND3, and ND4), RF (number of base classifiers), XGBoost (number of base classifiers), AdaBoost (number of base classifiers), and SVM (regularization parameter).
The results from Figure 16 and Figure 17 show that the optimized benchmark models had lower MAE, MSE, and MAPE on the test set compared to the non-optimized models, while also exhibiting higher R 2 values. Furthermore, the proposed TSO-GA-LSTM model outperformed the other optimized baseline models, demonstrating the best performance on the test set.

4.5. Degradation Path

Since the ship was in a fully loaded condition during Voyage 1 and in a ballast condition during Voyage 2, we used the respective speed prediction models for degradation assessment. Specifically, we utilized the fully loaded condition model to predict the speed for Voyages 3, 5, 7, 9, and 11, and the ballast condition model for Voyages 4, 6, 8, and 10. The comparison results between the non-degraded speed and the observed speed are shown in Figure 18. It is evident that over time, the non-degraded speed gradually fell below the observed speed, indicating continuous degradation of hull and propeller performance, which aligns with our expectations.
Based on the analysis in Section 2.1, we conclude that the actual degradation process of the ship primarily manifested as an increase in the surface roughness of the hull and propeller. Under the same operating conditions and environmental settings, the speed residual of the ship can serve as an observational indicator of this degradation process. To investigate the correlation between the actual degradation process and the observational results, we resampled the data at 4320 min intervals (equivalent to 3 days) and calculated the corresponding speed residuals. The results are illustrated in Figure 19.
From the analysis of Figure 19, it can be observed that during the 478-day analysis period, the speed residuals exhibited a downward trend, while also showing a pattern of periodic variation. This periodic variation might be related to the alternating conditions of fully loaded and ballast during the ship’s operation. Therefore, we hypothesize that the draft depth has an impact on the observational results.
Based on the aforementioned analysis, the proposed regression model was employed to perform the fitting. The results obtained are presented in Equation (24), and the corresponding fitting curve is illustrated in Figure 19:
u ¯ = 0.331 3 . 985 × 10 8 T + 1.729 × 10 3 D
Combining Equation (24) and Figure 19, the degradation rate was determined to be 3 . 985 × 10 8 kn/s, and the draught influence was 1.729 × 10 3 kn/m. Both parameters hold physical significance. Since the TSO-GA-LSTM model was developed by separately training two different models for fully loaded and ballast conditions, and by predicting the non-degraded speed for ballast and fully loaded voyages, respectively, the impact of draught on the degradation results was minimal. This validates the effectiveness of the separate modeling and training approach.
When converted to a daily rate, the target ship’s degradation rate was 0.00344 kn/d. Over the 478 days of the target data, relative to the design speed of 17.129 kn, the overall degradation of hull and propeller performance was 9.569%. This translates to an annual speed loss of 1.257 kn for the target ship.
In analyzing the time points at which the degradation path exhibited steps, we identified several distinct degradation phenomena occurring between the 3rd and 4th voyages, the 7th and 8th voyages, and the 10th and 11th voyages. These degradation events correspond to docking periods from 7 to 14 October, from 19 April to 6 May, and from 21 October to 2 November, at Qingdao, China; Caofeidian, China; and São Luís, Brazil, respectively. While further data on the long-term degradation of hull and propeller performance, as well as corroborating materials, are required to fully explain these phenomena, we hypothesize two potential contributing factors based on temporal characteristics and conditions during the docking periods. One possible factor is that during specific seasons and in certain maritime regions, the relative speed of the ship’s hull to the water is lower when docked, making it easier for marine organisms to attach and grow, thereby accelerating the degradation of the hull and propeller performance. Another potential factor is the difference in the ship’s loading state, which may cause variations in the longitudinal inclination angle of the hull before and after docking, leading to additional errors in speed residual estimates. Both scenarios necessitate further investigation with new parameter data and extended degradation path data.
Although the current method has limitations in fully explaining certain phenomena due to the length and type of data available, it provides a foundational understanding that hull maintenance is typically conducted on an annual basis. By quantitatively determining the long-term degradation rate of hull and propeller performance, we can convert this information into additional power requirements and fuel consumption, thereby calculating the extra costs incurred due to performance degradation. This offers substantial data support for establishing objective functions in the optimization of ship maintenance cycles.

5. Discussion

5.1. Analysis of Speed Prediction Results

The comprehensive analysis of the results revealed that although the proposed TSO-GA-LSTM algorithm may experience training instability due to significant parameter adjustments during the optimization process, it ultimately achieved the lowest loss function value, indicating a significant advantage in final accuracy. Furthermore, by calculating the Mean Absolute Error (MAE), Mean Squared Error (MSE), Mean Absolute Percentage Error (MAPE), and the Coefficient of Determination ( R 2 ) (as shown in Table 4), and subsequently computing the relative improvement percentage of the proposed model compared to existing baseline models (as shown in Table 5), we can illustrate the effectiveness of our approach. The formula for calculating the relative improvement percentage is: P m e t r i c s = h 1 h 2 / h 2 × 100 % , where h represents the evaluation metric value.
The results indicate that the TSO-GA-LSTM algorithm achieved the best prediction performance on the test set. Compared to both the pre-optimized and optimized baseline models, this algorithm demonstrated reduced MAE, MSE, and MAPE, along with an increased R 2 value. These findings from multiple perspectives and levels validate the superiority of the proposed algorithm, highlighting its ability to accurately predict speed, thereby providing strong support for subsequent evaluations of hull and propeller performance degradation.

5.2. Limitations of the GA

In this study, the proposed TSO-GA-LSTM method utilized a Genetic Algorithm (GA) as an optimization strategy. Despite its strong performance in our experiments, the GA has potential weaknesses in local optimization that should not be overlooked. Firstly, the locally optimal solutions found by the GA may not be equivalent to the global optimum, and the GA is prone to getting trapped in local optima. Secondly, when the number of decision variables is large and the parameter range is extensive, the population diversity of the GA might be insufficient to cover the entire solution space, increasing the risk of local optima entrapment. Additionally, the efficiency and convergence speed of the GA heavily depend on parameter settings, such as population size, crossover rate, and mutation rate. Improper parameter settings can lead to degraded algorithm performance, inefficiency, or even failure to converge to the desired solution. Optimizing the GA performance requires extensive experiments and parameter tuning, which can increase computational costs and time consumption in practical applications.

5.3. Explanation of the Regression Model

The degradation path of hull and propeller performance is typically nonlinear. However, to simplify the model, we established a regression model that considers the linear influence of draft, which has proven effective to a certain extent. In future research, with the acquisition of more long-term degradation paths and additional data on ships and marine ecosystems, we will conduct further quantitative studies and analyses of the various influencing factors and their degrees of impact. This will help to explore and understand the actual degradation patterns of hulls and propellers.

5.4. Explanation of Training Data

This study utilized data from the first and second voyages, serving as the training data for the fully loaded and ballasted models, respectively. During this period, the hull and propeller were undergoing performance degradation. To better validate this error, we used speed data from sea trials of the ship (in the ballast state) at main engine loads of 60%, 85%, and 100%, and compared them with the speeds predicted using the ballasted model (second voyage). Specifically, we input navigation data, main engine operation data, and meteorological data corresponding to the main engine load states to obtain the predicted speeds, which were then compared with the observed speeds (as shown in Figure 20).
As shown in Figure 20, the model’s prediction results were consistent with the trial voyage data trend, demonstrating the method’s strong generalization capability. While there were some deviations between the two, these deviations were reasonable. On one hand, the draft of the target ship during ballast voyages selected in this study was 12 m, which is deeper than that during the trial voyages, resulting in greater hydrostatic resistance on the hull. Consequently, under the same main engine conditions and environmental settings, the predicted speed for the ballast voyage was lower than that for the trial voyage. On the other hand, since the target ship underwent dry docking in the first half of 2015 and had been in operation for three months by the second voyage, the hull was already in a degraded state, which also contributed to the lower predicted speed compared to the trial data.
This comparison also indicated that although the training samples from the first and second voyages already exhibited degradation, the model’s simulated state showed stable deviations compared to the trial state. In subsequent comparisons from the third to the twelfth voyages, adding this deviation effectively yielded speed residuals compared to the trial state. Therefore, despite the speed residuals from the third to the twelfth voyages being compared with the first and second voyages, they can still objectively reflect the degradation patterns of the hull and propeller.

5.5. Data Requirements for Using This Method

The operational states of a ship include constant speed, maneuvering, and docking. When using this method, training samples must be derived from monitoring data during the ship’s constant-speed navigation. During constant-speed navigation, the main engine’s RPM remains stable, and the throttle adjusts the main engine’s output power under the governor’s control to maintain the propulsion system in a quasi-steady state. Although wave and wind field variations can cause fluctuations in ship speed, it will oscillate around a certain stable speed. However, if the ship encounters severe sea conditions causing significant RPM fluctuations during constant-speed navigation, the calculated results will include additional deviations.
Constant-speed navigation encompasses different operating conditions, or varying set RPMs. Due to the data-driven nature of the model, the more operating conditions covered by the sample data, the stronger the trained model’s generalization capability, and the more accurate the subsequent degradation measurements. Considering the nonlinear relationship between ship speed and main engine RPM, including at least three different operating conditions ensures the model’s generalization capability.

5.6. Practical Significance

This study holds significant implications for maritime operations and environmental protection. By accurately assessing performance degradation, more precise maintenance schedules can be established, thereby reducing operational costs. The proposed data-driven method for assessing hull and propeller performance degradation leverages historical data and real-world conditions to formulate targeted maintenance plans. Compared to traditional maintenance schedules based on fixed intervals or empirical judgments, this method can mitigate issues of over-maintenance or under-maintenance to a certain extent.
Optimizing maintenance schedules can also timely reduce hull and propeller wear and the accumulation of biofouling, thereby lowering hull friction resistance, enhancing operational efficiency and safety, reducing unnecessary fuel consumption, and decreasing carbon emissions. This supports sustainable maritime operational practices.

6. Conclusions

To address the issues of feature selection and model parameter optimization, this paper proposed a two-stage optimization algorithm that combined the GA with the LSTM network. This algorithm simultaneously optimizes input features and model parameters, thereby enhancing the accuracy and generalization ability of ship speed prediction. Additionally, this paper introduced a speed-loss-based method for evaluating the degradation of hull and propeller performance. This method assesses the degradation condition and extracts performance degradation curves, providing crucial references for formulating scientifically sound ship maintenance plans.
The study results showed that the proposed TSO-GA-LSTM algorithm achieved a MAE of 0.3037, a MSE of 0.1511, a MAPE of 0.0240, and an R 2 value of 0.7423 on the test set. Results from ablation and comparative experiments indicated that the TSO-GA-LSTM algorithm performed the best in ship speed prediction, with significantly lower MAE, MSE, and MAPE values and a much higher R 2 value compared to other algorithms, thus validating its superiority from multiple levels and perspectives.
Furthermore, using the speed-loss-based method for evaluating hull and propeller performance degradation proposed in this paper, it was possible to effectively assess the degradation condition and extract the performance degradation path. The results indicated that the degradation rate of the target ship was 0.00344 kn/d. Over 478 days, the overall performance degradation of the hull and propeller was 9.569%, which translates to an annual speed loss of 1.257 kn for the target ship.
The TSO-GA-LSTM model also holds broad application potential in other fields. For example, in finance, this method can be used for stock price prediction and risk assessment, aiding investors in making more accurate decisions. In manufacturing, the algorithm can be employed for equipment failure prediction, thus improving production efficiency and equipment reliability.
In future research, we plan to first acquire or simulate a substantial dataset of ships operating under ideal conditions. This will optimize the input training data, aiming to enhance the model’s predictive performance while minimizing errors in hull and propeller degradation assessments. Additionally, we intend to delve deeper into the factors influencing degradation pathways and patterns. Secondly, we will explore more advanced and suitable machine learning techniques and optimization algorithms to further improve the model’s accuracy and generalization capabilities, thereby enhancing its applicability across various environments and conditions. Lastly, we will develop more precise quantitative models for extracting and analyzing the degradation pathways of hull and propeller performance. Through quantitative studies and in-depth analyses of different influencing factors and their magnitudes, we aim to provide comprehensive guidance and support for ongoing research in this field.

Author Contributions

Conceptualization, G.H. and Y.L.; methodology, G.H. and Y.L.; software, G.H. and J.X.; validation, G.H. and J.X.; writing—original draft preparation, T.B.; writing—review and editing, G.H.; visualization, Y.L.; supervision, Y.L.; project administration, Y.L. All authors have read and agreed to the published version of the manuscript.

Funding

This research was funded by the Zhejiang Provincial Natural Science Foundation of China under grant numbers LQ21E090006 and LY21E090001, and the National Social Science Foundation of China under grant number 23CTJ024.

Institutional Review Board Statement

Not applicable.

Informed Consent Statement

Not applicable.

Data Availability Statement

The data used in this study can be accessed at: https://github.com/leost123456/TSO-GA-LSTM/releases/download/v1.0/data.rar (accessed on 24 July 2024), and the code is available at: https://github.com/leost123456/TSO-GA-LSTM (accessed on 24 July 2024).

Conflicts of Interest

The authors declare no conflicts of interest.

References

  1. Farkas, A.; Degiuli, N.; Martić, I. The impact of biofouling on the propeller performance. Ocean Eng. 2021, 219, 108376. [Google Scholar] [CrossRef]
  2. Carchen, A.; Atlar, M. Four KPIs for the assessment of biofouling effect on ship performance. Ocean Eng. 2020, 217, 107971. [Google Scholar] [CrossRef]
  3. Fonteinos, M.I.; Tzanos, E.I.; Kyrtatos, N.P. Ship hull fouling estimation using shipboard measurements, models for resistance components, and shaft torque calculation using engine model. J. Ship Res. 2017, 61, 64–74. [Google Scholar] [CrossRef]
  4. Song, S.; Demirel, Y.K.; Atlar, M. Propeller performance penalty of biofouling: Computational fluid dynamics prediction. J. Offshore Mech. Arct. 2020, 142, 061901. [Google Scholar] [CrossRef]
  5. Giorgio, M.; Guida, M.; Pulcini, G. A wear model for assessing the reliability of cylinder liners in marine diesel engines. IEEE Trans. Reliab. 2007, 56, 158–166. [Google Scholar] [CrossRef]
  6. Kytariolou, A.; Themelis, N. Optimized Route Planning under the Effect of Hull and Propeller Fouling and Considering Ocean Currents. J. Mar. Sci. Eng. 2023, 11, 828. [Google Scholar] [CrossRef]
  7. Owen, D.; Demirel, Y.K.; Oguz, E.; Tezdogan, T.; Incecik, A. Investigating the effect of biofouling on propeller characteristics using CFD. Ocean Eng. 2018, 159, 505–516. [Google Scholar] [CrossRef]
  8. Liu, S.; Loh, M.; Leow, W.; Chen, H.L.; Shang, B.G.; Papanikolaou, A. Rational processing of monitored ship voyage data for improved operation. Appl. Ocean Res. 2020, 104, 102363. [Google Scholar] [CrossRef]
  9. Farkas, A.; Degiuli, N.; Martić, I.; Ančić, I. Performance prediction method for fouled surfaces. Appl. Ocean Res. 2020, 99, 102151. [Google Scholar] [CrossRef]
  10. Farkas, A.; Degiuli, N.; Martić, I. An investigation into the effect of hard fouling on the ship resistance using CFD. Appl. Ocean Res. 2020, 100, 102205. [Google Scholar] [CrossRef]
  11. Erol, E.; Cansoy, C.E.; Aybar, O.Ö. Assessment of the impact of fouling on vessel energy efficiency by analyzing ship automation data. Appl. Ocean Res. 2020, 105, 102418. [Google Scholar] [CrossRef]
  12. Liu, S.; Kee, Y.H.; Shang, B.; Papanikolaou, A. Assessment of the economic, environmental and safety impact of biofouling on a ship’s hull and propeller. Ocean Eng. 2023, 285, 115481. [Google Scholar] [CrossRef]
  13. Valchev, I.; Coraddu, A.; Kalikatzarakis, M.; Geertsma, R.; Oneto, L. Numerical methods for monitoring and evaluating the biofouling state and effects on vessels’ hull and propeller performance: A review. Ocean Eng. 2022, 251, 110883. [Google Scholar] [CrossRef]
  14. Kim, H.S.; Roh, M.I. Interpretable, data-driven models for predicting shaft power, fuel consumption, and speed considering the effects of hull fouling and weather conditions. Int. J. Nav. Arch. Ocean 2024, 16, 100592. [Google Scholar] [CrossRef]
  15. Laurie, A.; Anderlini, E.; Dietz, J.; Thomas, G. Machine learning for shaft power prediction and analysis of fouling related performance deterioration. Ocean Eng. 2021, 234, 108886. [Google Scholar] [CrossRef]
  16. Coraddu, A.; Lim, S.; Oneto, L.; Pazouki, K.; Norman, R.; Murphy, A.J. A novelty detection approach to diagnosing hull and propeller fouling. Ocean Eng. 2019, 176, 65–73. [Google Scholar] [CrossRef]
  17. Zhou, Y.; Daamen, W.; Vellinga, T.; Hoogendoorn, S.P. Ship classification based on ship behavior clustering from AIS data. Ocean Eng. 2019, 175, 176–187. [Google Scholar] [CrossRef]
  18. Perera, L.P.; Mo, B. Marine engine operating regions under principal component analysis to evaluate ship performance and navigation behavior. IFAC-PapersOnLine 2016, 49, 512–517. [Google Scholar] [CrossRef]
  19. Gupta, P.; Rasheed, A.; Steen, S. Ship performance monitoring using machine-learning. Ocean Eng. 2022, 254, 111094. [Google Scholar] [CrossRef]
  20. Spandonidis, C.; Paraskevopoulos, D. Evaluation of a Deep Learning-Based Index for Prognosis of a Vessel’s Propeller-Hull Degradation. Sensors 2023, 23, 8956. [Google Scholar] [CrossRef]
  21. Ordóñez, F.J.; Roggen, D. Deep convolutional and lstm recurrent neural networks for multimodal wearable activity recognition. Sensors 2016, 16, 115. [Google Scholar] [CrossRef] [PubMed]
  22. Wu, S.; Chen, X.; Shi, C.; Fu, J.; Yan, Y.; Wang, S. Ship detention prediction via feature selection scheme and support vector machine (SVM). Marit. Policy Manag. 2022, 49, 140–153. [Google Scholar] [CrossRef]
  23. Kim, S.H.; Roh, M.I.; Oh, M.J.; Park, S.W.; Kim, I.I. Estimation of ship operational efficiency from AIS data using big data technology. Int. J. Nav. Arch. Ocean 2020, 12, 440–454. [Google Scholar] [CrossRef]
  24. Shiravani, A.; Sadreddini, M.H.; Nahook, H.N. Network intrusion detection using data dimensions reduction techniques. J. Big Data 2023, 10, 27. [Google Scholar] [CrossRef]
  25. Yuan, X.; Chen, C.; Jiang, M.; Yuan, Y. Prediction interval of wind power using parameter optimized Beta distribution based LSTM model. Appl. Soft Comput. 2019, 82, 105550. [Google Scholar] [CrossRef]
  26. Yadav, A.; Jha, C.K.; Sharan, A. Optimizing LSTM for time series prediction in Indian stock market. Procedia Comput. Sci. 2020, 167, 2091–2100. [Google Scholar] [CrossRef]
  27. Chung, H.; Shin, K. Genetic algorithm-optimized long short-term memory network for stock market prediction. Sustainability 2018, 10, 3765. [Google Scholar] [CrossRef]
  28. Zhang, J.; Qu, S.; Zhang, Z.; Cheng, S. Improved genetic algorithm optimized LSTM model and its application in short-term traffic flow prediction. PeerJ Comput. Sci. 2022, 8, e1048. [Google Scholar] [CrossRef]
  29. Al Ali, A.; Khedr, A.M.; El Bannany, M.; Kanakkayil, S. GALSTM-FDP: A time-series modeling approach using hybrid GA and LSTM for financial distress prediction. Int. J. Financ. Stud. 2023, 11, 38. [Google Scholar] [CrossRef]
  30. Wang, K.; Hua, Y.; Huang, L.; Guo, X.; Liu, X.; Ma, Z.; Ma, R.; Jiang, X. A novel GA-LSTM-based prediction method of ship energy usage based on the characteristics analysis of operational data. Energy 2023, 282, 128910. [Google Scholar] [CrossRef]
  31. Chen, Y.; Dong, Z.; Wang, Y.; Su, J.; Han, Z.; Zhou, D.; Zhang, K.; Zhao, Y.; Bao, Y. Short-term wind speed predicting framework based on EEMD-GA-LSTM method under large scaled wind history. Energ. Convers. Manag. 2021, 227, 113559. [Google Scholar] [CrossRef]
  32. Tadros, M.; Ventura, M.; Guedes Soares, C. Effect of hull and propeller roughness during the assessment of ship fuel consumption. J. Mar. Sci. and Eng. 2023, 11, 784. [Google Scholar] [CrossRef]
  33. Xie, J.; Sage, M.; Zhao, Y.F. Feature selection and feature learning in machine learning applications for gas turbines: A review. Eng. Appl. Artif. Intel. 2023, 117, 105591. [Google Scholar] [CrossRef]
  34. El-Kenawy, E.S.M.; Mirjalili, S.; Khodadadi, N.; Abdelhamid, A.A.; Eid, M.M.; El-Said, M.; Ibrahim, A. Feature selection in wind speed forecasting systems based on meta-heuristic optimization. PLoS ONE 2023, 18, e0278491. [Google Scholar] [CrossRef] [PubMed]
  35. Gundu, V.; Simon, S.P. PSO–LSTM for short term forecast of heterogeneous time series electricity price signals. J. Amb. Intel. Hum. Comp. 2021, 12, 2375–2385. [Google Scholar] [CrossRef]
  36. He, D.; Qu, Y.; Sheng, G.; Wang, B.; Yan, X.; Tao, Z.; Lei, M. Oil Production Rate Forecasting by SA-LSTM Model in Tight Reservoirs. Lithosphere 2024, 2024, lithosphere_2023_197. [Google Scholar] [CrossRef]
  37. Challab, J.M.; Mardukhi, F. Ant colony optimization–rain optimization algorithm based on hybrid deep learning for diagnosis of lung involvement in coronavirus patients. Iran. J. Sci. Technol. Trans. Electr. Eng. 2023, 47, 887–902. [Google Scholar] [CrossRef]
  38. Mahmoudinazlou, S.; Kwon, C. A hybrid genetic algorithm for the min–max Multiple Traveling Salesman Problem. Comput. Oper. Res. 2024, 162, 106455. [Google Scholar] [CrossRef]
  39. ERA5 Hourly Data on Single Levels from 1940 to Present. Available online: https://cds.climate.copernicus.eu/cdsapp#!/dataset/reanalysis-era5-single-levels?tab=overview (accessed on 14 July 2024).
Figure 1. Factors affecting the performance degradation of the hull and propeller.
Figure 1. Factors affecting the performance degradation of the hull and propeller.
Jmse 12 01263 g001
Figure 2. Performance degradation principle.
Figure 2. Performance degradation principle.
Jmse 12 01263 g002
Figure 3. Overall algorithm flowchart.
Figure 3. Overall algorithm flowchart.
Jmse 12 01263 g003
Figure 4. Two-stage optimization diagram.
Figure 4. Two-stage optimization diagram.
Jmse 12 01263 g004
Figure 5. LSTM network architecture.
Figure 5. LSTM network architecture.
Jmse 12 01263 g005
Figure 6. Navigation and main engine operation data: (a) course; (b) cooling seawater temperature; (c) main engine fuel inlet temperature; (d) main engine turbocharger No. 1 speed; (e) main engine turbocharger No. 2 speed; (f) shaft speed; (g) shaft power; (h) main engine scavenging air pressure; (i) main engine scavenging air box temperature; (j) main engine cylinder No. 1 exhaust temperature; (k) main engine cylinder No. 2 exhaust temperature; (l) main engine cylinder No. 3 exhaust temperature; (m) main engine cylinder No. 4 exhaust temperature; (n) main engine cylinder No. 5 exhaust temperature; (o) main engine cylinder No. 6 exhaust temperature; (p) main engine turbocharger No. 1 exhaust gas inlet temperature; (q) main engine turbocharger No. 2 exhaust gas inlet temperature; (r) main engine turbocharger No. 1 exhaust gas outlet temperature; (s) main engine turbocharger No. 2 exhaust gas outlet temperature; (t) fuel consumption rate.
Figure 6. Navigation and main engine operation data: (a) course; (b) cooling seawater temperature; (c) main engine fuel inlet temperature; (d) main engine turbocharger No. 1 speed; (e) main engine turbocharger No. 2 speed; (f) shaft speed; (g) shaft power; (h) main engine scavenging air pressure; (i) main engine scavenging air box temperature; (j) main engine cylinder No. 1 exhaust temperature; (k) main engine cylinder No. 2 exhaust temperature; (l) main engine cylinder No. 3 exhaust temperature; (m) main engine cylinder No. 4 exhaust temperature; (n) main engine cylinder No. 5 exhaust temperature; (o) main engine cylinder No. 6 exhaust temperature; (p) main engine turbocharger No. 1 exhaust gas inlet temperature; (q) main engine turbocharger No. 2 exhaust gas inlet temperature; (r) main engine turbocharger No. 1 exhaust gas outlet temperature; (s) main engine turbocharger No. 2 exhaust gas outlet temperature; (t) fuel consumption rate.
Jmse 12 01263 g006
Figure 7. Meteorological data: (a) sea level atmospheric pressure; (b) zonal wind component at 10 m above sea level; (c) meridional wind component at 10 m above sea level; (d) sea surface roughness; (e) significant wave height; (f) mean wave direction; (g) mean wave period.
Figure 7. Meteorological data: (a) sea level atmospheric pressure; (b) zonal wind component at 10 m above sea level; (c) meridional wind component at 10 m above sea level; (d) sea surface roughness; (e) significant wave height; (f) mean wave direction; (g) mean wave period.
Jmse 12 01263 g007aJmse 12 01263 g007b
Figure 8. Optimal fitness iterative process: (a) fully loaded condition model and (b) ballasted condition model.
Figure 8. Optimal fitness iterative process: (a) fully loaded condition model and (b) ballasted condition model.
Jmse 12 01263 g008
Figure 9. Model training and testing results: (a) fully loaded condition model and (b) ballasted condition model.
Figure 9. Model training and testing results: (a) fully loaded condition model and (b) ballasted condition model.
Jmse 12 01263 g009
Figure 10. Comparison of the iterative process of optimal fitness for TSO-GA-LSTM, FSO-GA-LSTM, and SSO-GA-LSTM.
Figure 10. Comparison of the iterative process of optimal fitness for TSO-GA-LSTM, FSO-GA-LSTM, and SSO-GA-LSTM.
Jmse 12 01263 g010
Figure 11. The training processes of TSO-GA-LSTM, FSO-GA-LSTM, SSO-GA-LSTM, and LSTM.
Figure 11. The training processes of TSO-GA-LSTM, FSO-GA-LSTM, SSO-GA-LSTM, and LSTM.
Jmse 12 01263 g011
Figure 12. Evaluation results on the test set for TSO-GA-LSTM, FSO-GA-LSTM, SSO-GA-LSTM, and LSTM: (a) MAE, (b) MSE, (c) MAPE, and (d) R 2 .
Figure 12. Evaluation results on the test set for TSO-GA-LSTM, FSO-GA-LSTM, SSO-GA-LSTM, and LSTM: (a) MAE, (b) MSE, (c) MAPE, and (d) R 2 .
Jmse 12 01263 g012
Figure 13. Training and testing results of TSO-GA-LSTM, FSO-GA-LSTM, SSO-GA-LSTM, and LSTM.
Figure 13. Training and testing results of TSO-GA-LSTM, FSO-GA-LSTM, SSO-GA-LSTM, and LSTM.
Jmse 12 01263 g013
Figure 14. Evaluation results on the test set for different models: (a) MAE, (b) MSE, (c) MAPE, and (d) R 2 .
Figure 14. Evaluation results on the test set for different models: (a) MAE, (b) MSE, (c) MAPE, and (d) R 2 .
Jmse 12 01263 g014
Figure 15. Training and testing results of different models.
Figure 15. Training and testing results of different models.
Jmse 12 01263 g015
Figure 16. Evaluation results on the test set for different models (after optimization): (a) MAE, (b) MSE, (c) MAPE, and (d) R 2 .
Figure 16. Evaluation results on the test set for different models (after optimization): (a) MAE, (b) MSE, (c) MAPE, and (d) R 2 .
Jmse 12 01263 g016
Figure 17. Training and testing results of different models (after optimization).
Figure 17. Training and testing results of different models (after optimization).
Jmse 12 01263 g017
Figure 18. Comparison results of non-degraded speed and observed speed.
Figure 18. Comparison results of non-degraded speed and observed speed.
Jmse 12 01263 g018
Figure 19. Results of the degradation path of hull and propeller performance.
Figure 19. Results of the degradation path of hull and propeller performance.
Jmse 12 01263 g019
Figure 20. Comparative analysis of observed and predicted speeds under different main engine load conditions.
Figure 20. Comparative analysis of observed and predicted speeds under different main engine load conditions.
Jmse 12 01263 g020
Table 1. Parameter description.
Table 1. Parameter description.
ParameterDefinitionTypeRange
S I F i Speed-influencing factorsBinary 0 , 1
BSBatch sizeInteger 2 A , A = 0 , 1 , 2 , , 8
NHUNumber of hidden unitsInteger 150 , 300
NDNumber of dense-layer neuronsInteger 50 , 100
DropoutDropout rateFloat 0.1 , 0.5
Table 2. Key parameters of the target vessel.
Table 2. Key parameters of the target vessel.
IndexParameter NameParameter ValueIndexParameter NameParameter Value
1Overall length/m3275Main engine rated power/kW22,360
2Beam/m556Main engine rated speed/rpm73
3Depth/m297Propeller diameter/m9.70
4Main engine modelMAN B&W 6S80MC-C8Number of blades5
Table 3. Operational time information of the target vessel.
Table 3. Operational time information of the target vessel.
VoyageDuration
Voyage 120 May 2015~4 July 2015
Voyage 219 July 2015~24 August 2015
Voyage 329 August 2015~7 October 2015
Voyage 414 October 2015~20 November 2015
Voyage 527 November 2015~4 January 2016
Voyage 622 January 2016~28 February 2016
Voyage 78 March 2016~19 April 2016
Voyage 86 May 2016~6 May 2016
Voyage 924 July 2016~4 September 2016
Voyage 1010 September 2016~21 October 2016
Voyage 112 November 2016~19 December 2016
Table 4. Results of ablation experiments and comparative experiments.
Table 4. Results of ablation experiments and comparative experiments.
ExperimentModelMAEMSEMAPE R 2
Ablation ExperimentsTSO-GA-LSTM0.30370.15110.02400.7423
PSO-GA-LSTM0.35440.18150.02840.6730
SSO-GA-LSTM0.41070.25320.03290.5841
LSTM0.55710.44220.04540.4556
Comparative ExperimentsGRU0.53490.40720.04310.3664
BPNN0.52020.47950.04060.2937
RF0.50200.37860.04040.3844
XGBoost0.49530.37750.04000.3699
Adaboost0.48450.34770.03840.3331
SVM0.49570.36590.03950.6033
TSO-GA-GRU0.33840.18410.02680.6998
TSO-GA-BPNN0.49960.36300.04030.3997
TSO-GA-RF0.30460.18350.02440.6499
TSO-GA-XGBoost0.44880.30480.03620.4933
TSO-GA-Adaboost0.38130.21160.03000.625
TSO-GA-SVM0.4430.32620.03510.6378
Table 5. Comparison and ablation experiment results of optimized improvements.
Table 5. Comparison and ablation experiment results of optimized improvements.
ExperimentModelPMAE (%)PMSE (%)PMAPE (%) P R 2 (%)
Ablation ExperimentsPSO-GA-LSTM14.30616.74915.49310.297
SSO-GA-LSTM26.05340.32427.05227.084
LSTM45.48665.83047.13762.928
Comparative ExperimentsGRU43.22362.89344.316102.593
BPNN41.61968.48840.887152.741
RF39.50260.09040.59493.106
XGBoost38.68459.97440.000100.676
Adaboost37.31756.54337.500122.846
SVM38.73358.70539.24123.040
TSO-GA-GRU10.25417.92510.4486.073
TSO-GA-BPNN39.21158.37540.44785.714
TSO-GA-RF0.29517.6571.63914.218
TSO-GA-XGBoost32.33150.42733.70250.476
TSO-GA-Adaboost20.35128.59220.00018.768
TSO-GA-SVM31.44553.67931.62416.384
Disclaimer/Publisher’s Note: The statements, opinions and data contained in all publications are solely those of the individual author(s) and contributor(s) and not of MDPI and/or the editor(s). MDPI and/or the editor(s) disclaim responsibility for any injury to people or property resulting from any ideas, methods, instructions or products referred to in the content.

Share and Cite

MDPI and ACS Style

Huang, G.; Liu, Y.; Xin, J.; Bao, T. Assessment of Hull and Propeller Performance Degradation Based on TSO-GA-LSTM. J. Mar. Sci. Eng. 2024, 12, 1263. https://doi.org/10.3390/jmse12081263

AMA Style

Huang G, Liu Y, Xin J, Bao T. Assessment of Hull and Propeller Performance Degradation Based on TSO-GA-LSTM. Journal of Marine Science and Engineering. 2024; 12(8):1263. https://doi.org/10.3390/jmse12081263

Chicago/Turabian Style

Huang, Guolei, Yifan Liu, Jianjian Xin, and Tiantian Bao. 2024. "Assessment of Hull and Propeller Performance Degradation Based on TSO-GA-LSTM" Journal of Marine Science and Engineering 12, no. 8: 1263. https://doi.org/10.3390/jmse12081263

APA Style

Huang, G., Liu, Y., Xin, J., & Bao, T. (2024). Assessment of Hull and Propeller Performance Degradation Based on TSO-GA-LSTM. Journal of Marine Science and Engineering, 12(8), 1263. https://doi.org/10.3390/jmse12081263

Note that from the first issue of 2016, this journal uses article numbers instead of page numbers. See further details here.

Article Metrics

Back to TopTop