Event-Triggered Neural Adaptive Distributed Cooperative Control for the Multi-Tug Towing of Unactuated Offshore Platform with Uncertainties and Unknown Disturbances
Abstract
1. Introduction
- Different from the simplified model of TS in [5,6,7,8,9,10], the parameter uncertainty and unknown disturbances are considered in our paper to establish a more realistic mathematical model for TS. Then, an MLP-based adaptive RBFNN is designed to compensate uncertainty and disturbances. Compared to the RBFNNs in [12,13,14,15], only three online learning parameters need to be considered for our MLP-based adaptive RBFNN, thus reducing the design and computational burden caused by the large number of learning parameters.
- Unlike the collaborative control methods of the TS [4,5,6,7,8,9,10], we design an event-triggered neural adaptive cooperative controller to reduce the communication burden and the frequency of actions for the tugs’ thrusters. Moreover, the ETC mechanism does not significantly affect the control performance of the TS.
2. Preliminaries and Problem Formulation
2.1. Radial Basis Function Neural Network
2.2. Towline Model
2.3. Dynamic Models of Tugs and the Offshore Platform
2.4. The Time-Variant Relative Position
2.5. Control Objective
3. Main Results
3.1. Event-Triggered Neural Adaptive Virtual Controller for Offshore Platform
3.2. Control Allocation of the Drag Force
3.3. Event-Triggered Neural Adaptive Distributed Cooperative Controllers for Tugs
3.4. Stability Analysis
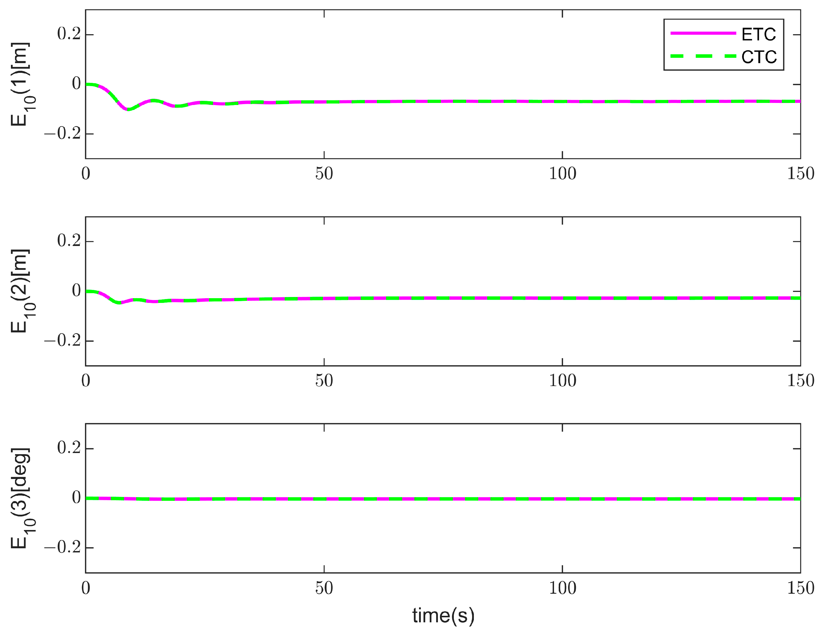
4. Simulation Results and Analysis
5. Conclusions
Author Contributions
Funding
Institutional Review Board Statement
Informed Consent Statement
Data Availability Statement
Acknowledgments
Conflicts of Interest
Abbreviation
| TS | Towing System |
| RBFNN | Radial basis function neural network |
| MLP | Minimal learning parameter |
| CTC | Continuous trigger control |
| ETC | Event-triggered control |
| QP | Quadratic programming |
| SHLNN | Single-hidden-layer neural network |
| The neuron basis function | |
| The horizontal tension | |
| The horizontal length of the towlines | |
| , | The positions of the tugs and platform |
| , | The velocity of the tugs and platform |
| , | The transformation matrices of the tugs and platform |
| , , , | The inertial and damping matrices of the tugs and platform |
| , , , | The disturbance forces and unmodeled dynamics of the tugs and platform |
| The effort vector induced by the horizontal tension | |
| The time-variant relative position | |
| , , , | Position tracking errors and velocity tracking errors of the tugs and platform |
| , | The virtual controller of the tugs and platform |
| , | The output of first-order filter |
| , | The total disturbances and uncertainties of the tugs and platform |
| , | The estimation of RBFNN |
References
- Vu, M.T.; Choi, H.-S.; Kang, J.; Ji, D.-H.; Jeong, S.-K. A study on hovering motion of the underwater vehicle with umbilical cable. Ocean Eng. 2017, 135, 137–157. [Google Scholar]
- Vu, M.T.; Le Thanh, H.N.N.; Huynh, T.T.; Thang, Q.; Duc, T.; Hoang, Q.D.; Le, T.H. Station-Keeping Control of a Hovering Over-Actuated Autonomous Underwater Vehicle under Ocean Current Effects and Model Uncertainties in Horizontal Plane. IEEE Access 2021, 9, 6855–6867. [Google Scholar] [CrossRef]
- Yu, Y.; Guo, C.; Yu, H. Finite-Time PLOS-Based Integral Sliding-Mode Adaptive Neural Path Following for Unmanned Surface Vessels with Unknown Dynamics and Disturbances. IEEE Trans. Autom. Sci. Eng. 2019, 16, 1500–1511. [Google Scholar] [CrossRef]
- Xia, G.; Sun, C.; Zhao, B. Output Feedback Cooperative Dynamic Positioning Control for an Unactuated Floating Object Using Multiple Vessels. J. Mar. Sci. Eng. 2021, 9, 463. [Google Scholar] [CrossRef]
- Du, Z.; Negenborn, R.R.; Reppa, V. Dynamic coordination of multiple vessels for offshore platform transportation. In Proceedings of the IEEE Conference on Control Technology and Applications, Trieste, Italy, 23–25 August 2022; pp. 76–81. [Google Scholar]
- Bidikli, B.; Tatlicioglu, E.; Zergeroglu, E. Robust dynamic positioning of surface vessels via multiple unidirectional tugboats. Ocean Eng. 2016, 113, 237–245. [Google Scholar] [CrossRef]
- Braganza, D.; Feemster, M.; Dawson, D. Positioning of large surface vessels using multiple tugboats. In Proceedings of the American Control Conference, New York, NY, USA, 9–13 July 2007; pp. 912–917. [Google Scholar]
- Esposito, J.M. Decentralized cooperative manipulation with a swarm of mobile robots. In Proceedings of the IEEE/RSJ International Conference on Intelligent Robots and Systems, St. Louis, MO, USA, 10–15 October 2009; pp. 5333–5338. [Google Scholar]
- Choi, J.K. Path-following control of a ship by pushing using a single autonomous tugboat. J. Mar. Sci. Technol. 2023, 28, 64957. [Google Scholar]
- Xia, G.; Sun, C.; Zhao, B.; Sun, X.; Xia, X. Robust cooperative trajectory tracking control for an unactuated floating object with multiple vessels system. ISA Trans. 2022, 123, 263–271. [Google Scholar] [CrossRef] [PubMed]
- Sun, M.; Luan, T.; Liang, L. RBF neural network compensation-based adaptive control for lift-feedback system of ship fin stabilizers to improve anti-rolling effect. Ocean Eng. 2018, 163, 307–321. [Google Scholar] [CrossRef]
- Shu, R.; Jia, Q.; Wu, Y.; Liao, H.; Zhang, C. Robust Active Fault-Tolerant Configuration Control for Spacecraft Formation via Learning RBFNN Approaches. J. Aerosp. Eng. 2024, 37, 04024007. [Google Scholar] [CrossRef]
- Jin, X.-Z.; Lu, S.-Y.; Che, W.-W.; Deng, C.; Chi, J. Robust adaptive radial-basis function neural network-based backstepping control of a class of perturbed nonlinear systems with unknown system parameters. Int. J. Robust Nonlinear Control 2021, 31, 5101–5117. [Google Scholar] [CrossRef]
- Dai, S.-L.; He, S.; Ma, Y.; Yuan, C. Distributed cooperative learning control of uncertain multiagent systems with prescribed performance and preserved connectivity. IEEE Trans. Neural Netw. Learn. Syst. 2021, 32, 3217–3229. [Google Scholar] [CrossRef] [PubMed]
- Zou, A.-M.; Kumar, K.D.; Hou, Z.-G.; Liu, X. Finite-Time Attitude Tracking Control for Spacecraft Using Terminal Sliding Mode and Chebyshev Neural Network. IEEE Trans. Syst. Man Cybern. Part B (Cybern.) 2011, 41, 950–963. [Google Scholar]
- Van, M. Adaptive neural integral sliding-mode control for tracking control of fully actuated uncertain surface vessels. Int. J. Robust Nonlinear Control 2019, 29, 1537–1557. [Google Scholar] [CrossRef]
- Poursadegh, A.; Shahnazi, R. Optimal Neuro-adaptive Funnel Heading Control for Marine Vessels Subject to Dead-zone Actuator. In Proceedings of the 2020 28th Iranian Conference on Electrical Engineering (ICEE), Tabriz, Iran, 4–6 August 2020; pp. 1–6. [Google Scholar]
- Tuo, Y.; Wang, S.; Guo, C.; Yu, H.; Shen, Z. Reliability-based event driven backstepping positioning control for a turret-moored FPSO vessel with unknown slow time-varying disturbances. Int. J. Control Autom. Syst. 2022, 20, 472–482. [Google Scholar] [CrossRef]
- Aspragkathos, S.N.; Karras, G.C.; Kyriakopoulos, K.J. Ensuring Safety for UAVs Through Event-Triggered Predictive Control. In Proceedings of the 2024 32nd Mediterranean Conference on Control and Automation (MED), Chania, Greece, 11–14 June 2024; pp. 185–190. [Google Scholar]
- Wang, J.; Xu, Y.; Xu, Y.; Yang, D. Time-varying formation for high-order multi-agent systems with external disturbances by event-triggered integral sliding mode control. Appl. Math. Comput. 2019, 359, 333–343. [Google Scholar] [CrossRef]
- Zhou, B.; Huang, B.; Su, Y.; Zhu, C. Interleaved periodic event-triggered communications-based distributed formation control for cooperative unmanned surface vessels. IEEE Trans. Neural Netw. Learn. Syst. 2024, 1–13. [Google Scholar] [CrossRef]
- Williams, D.A.; Chapman, A.; Manzie, C. Generalized Asynchronous Event-Triggered Measurement and Control for Non-Linear Systems. In Proceedings of the 2024 Australian & New Zealand Control Conference (ANZCC), Gold Coast, Australia, 1–2 February 2024; pp. 1–6. [Google Scholar]
- Seshagiri, S.; Khalil, H.K. Output feedback control of nonlinear systems using RBF neural networks. IEEE Trans. Neural Netw. 1999, 4, 2808–2812. [Google Scholar] [CrossRef] [PubMed]
- Tao, J.; Du, L.; Dehmer, M.; Wen, Y.; Xie, G.; Zhou, Q. Path following control for towing system of cylindrical drilling platform in presence of disturbances and uncertainties. ISA Trans. 2019, 95, 185–193. [Google Scholar] [CrossRef] [PubMed]
- Chen, L.; Hopman, H.; Negenborn, R.R. Distributed model predictive control for cooperative floating object transport with multi-vessel systems. Ocean Eng. 2019, 191, 106515. [Google Scholar] [CrossRef]
- Fossen, T.I. Marine Control Systems: Guidance, Navigation, and Control of Ships, Rigs and Underwater Vehicles; Marine Cybernetics, Trondheim, Norway; Springer: Berlin/Heidelberg, Germany, 2002. [Google Scholar]
- Postoyan, R.; Bragagnolo, M.C.; Galbrun, E. Event-triggered tracking control of unicycle mobile robots. Automatica 2015, 52, 302–308. [Google Scholar] [CrossRef]
- Girada, A. Dynamic triggering mechanisms for event triggered control. IEEE Trans. Autom. Control 2015, 60, 1992–1997. [Google Scholar] [CrossRef]
- Bekhit, N.M.; Emam, O.E.; Elhamid, L.A. A Multi-Level Multi-Objective Integer Quadratic Programming Problem Under Pentagonal Neutrosophic Environment. Fuzzy Inf. Eng. 2023, 15, 347–361. [Google Scholar] [CrossRef]
- Arnström, D.; Bemporad, A.; Axehill, D. A Linear Programming Method Based on Proximal-Point Iterations with Applications to Multi-Parametric Programming. IEEE Control Syst. Lett. 2022, 6, 2066–2071. [Google Scholar] [CrossRef]
- Dalman, H.; Bayram, M. Interactive Fuzzy Goal Programming Based on Taylor Series to Solve Multiobjective Nonlinear Programming Problems with Interval Type-2 Fuzzy Numbers. IEEE Trans. Fuzzy Syst. 2018, 26, 2434–2449. [Google Scholar] [CrossRef]
- Fang, X.; Xie, L. Distributed Formation Maneuver Control Using Complex Laplacian. IEEE Trans. Autom. Control 2024, 69, 1850–1857. [Google Scholar] [CrossRef]
- Xia, G.; Sun, C.; Zhao, B.; Xue, J. Cooperative control of multiple dynamic positioning vessels with input saturation based on finite time disturbance observer. Int. J. Control Autom. Syst. 2019, 17, 370–379. [Google Scholar] [CrossRef]
- Fu, M.; Yu, L. Finite-time extended state observer-based distributed formation control for marine surface vehicles with input saturation and disturbances. Ocean Eng. 2018, 159, 219–227. [Google Scholar] [CrossRef]
- Fossen, T.I.; Strand, J.P. Passive nonlinear observer design for ships using Lyapunov methods: Full-scale experiments with a supply vessel. Automatica 1999, 35, 3–16. [Google Scholar] [CrossRef]


















| The Towing System | Initial Positions | Initial Velocities |
|---|---|---|
| The offshore platform | ||
| The first tug | ||
| The second tug | ||
| The third tug | ||
| The fourth tug |
Disclaimer/Publisher’s Note: The statements, opinions and data contained in all publications are solely those of the individual author(s) and contributor(s) and not of MDPI and/or the editor(s). MDPI and/or the editor(s) disclaim responsibility for any injury to people or property resulting from any ideas, methods, instructions or products referred to in the content. |
© 2024 by the authors. Licensee MDPI, Basel, Switzerland. This article is an open access article distributed under the terms and conditions of the Creative Commons Attribution (CC BY) license (https://creativecommons.org/licenses/by/4.0/).
Share and Cite
Geng, S.; Tuo, Y.; Wang, Y.; Peng, Z.; Wang, S. Event-Triggered Neural Adaptive Distributed Cooperative Control for the Multi-Tug Towing of Unactuated Offshore Platform with Uncertainties and Unknown Disturbances. J. Mar. Sci. Eng. 2024, 12, 1242. https://doi.org/10.3390/jmse12081242
Geng S, Tuo Y, Wang Y, Peng Z, Wang S. Event-Triggered Neural Adaptive Distributed Cooperative Control for the Multi-Tug Towing of Unactuated Offshore Platform with Uncertainties and Unknown Disturbances. Journal of Marine Science and Engineering. 2024; 12(8):1242. https://doi.org/10.3390/jmse12081242
Chicago/Turabian StyleGeng, Shaolong, Yulong Tuo, Yuanhui Wang, Zhouhua Peng, and Shasha Wang. 2024. "Event-Triggered Neural Adaptive Distributed Cooperative Control for the Multi-Tug Towing of Unactuated Offshore Platform with Uncertainties and Unknown Disturbances" Journal of Marine Science and Engineering 12, no. 8: 1242. https://doi.org/10.3390/jmse12081242
APA StyleGeng, S., Tuo, Y., Wang, Y., Peng, Z., & Wang, S. (2024). Event-Triggered Neural Adaptive Distributed Cooperative Control for the Multi-Tug Towing of Unactuated Offshore Platform with Uncertainties and Unknown Disturbances. Journal of Marine Science and Engineering, 12(8), 1242. https://doi.org/10.3390/jmse12081242

