A Decoupled Buckling Failure Analysis of Buried Steel Pipeline Subjected to the Strike-Slip Fault
Abstract
1. Introduction
2. Numerical Model and Material Properties
2.1. Steel Pipeline Model
2.2. Pipe–Soil Interaction
- -
- Longitudinal soil spring
- -
- Transverse horizontal soil spring
- -
- Vertical uplift and bearing soil springs
2.3. Pipeline Internal Pressure and Failure Criteria
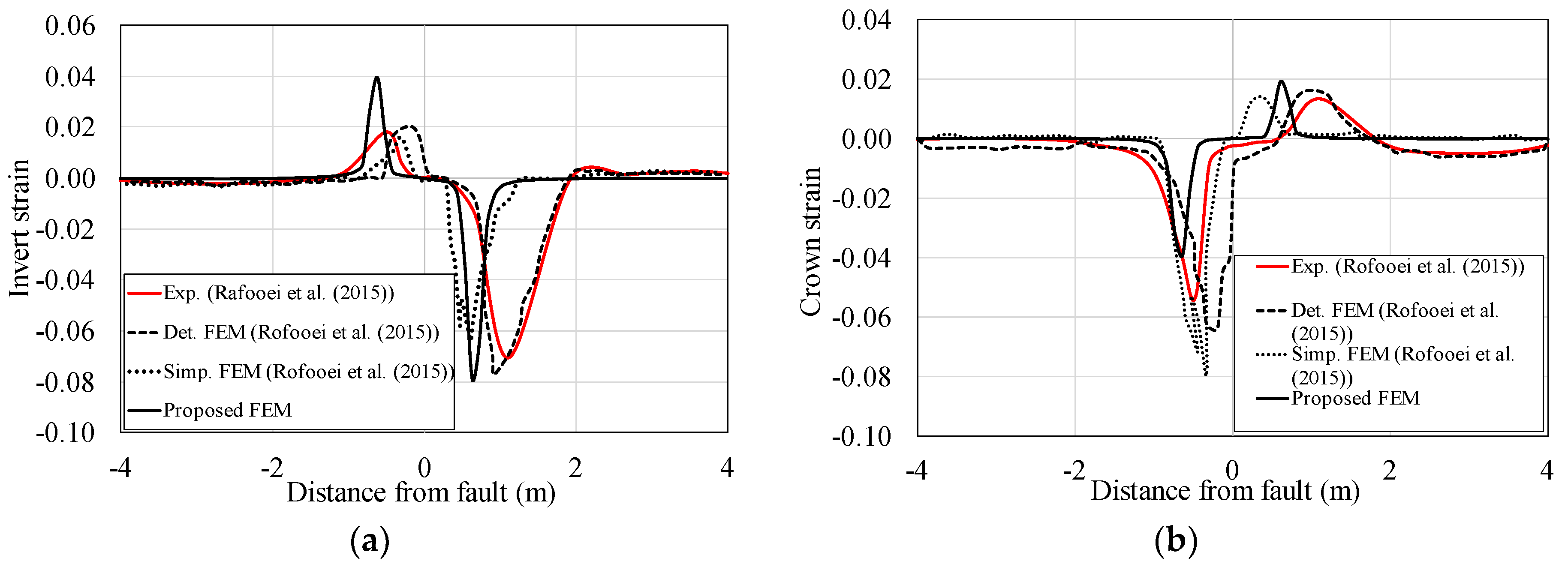
2.4. Verification Basis
3. Results and Discussion
3.1. Effect Influence of Strain Softening and Soil Strength on the Soil and Pipeline Failure Mechanisms
3.2. The Influence of the Pipeline Burial Depth Ratio
3.3. The Influence of Initial Embedment
3.4. The Influence of Backfilling Material Strength
3.5. The Influence of Pipeline Diameter
3.6. Pipeline Surface Roughness
4. Conclusions
- Incorporating strain-softening behavior for seabed soil leads to an increase in the mobilized soil volume while reducing lateral soil resistance. This highlights the importance of considering strain-softening characteristics for accurate soil–pipeline interaction modeling.
- When comparing a linear variation in soil strength to a constant soil strength profile, the linear variation results in a lower lateral force–displacement response and a greater tendency for the pipeline to move upward. This indicates that linear soil strength profiles may underestimate the resistance provided by the soil against lateral pipeline displacement.
- The backfilling strength has a significant impact on the lateral soil resistance. A higher backfilling strength (1) increases the intensity of pipeline–trench bed interaction intensity; (2) increases the soil resistance when the pipe moves inside the trench; and (3) generates higher ultimate lateral soil resistance, producing passive pressure against trench wall collapse and mobilizing a larger soil volume in front of the moving pipeline.
- The initial embedment depth of the pipeline within the trench significantly affects its lateral load–displacement behavior. An increased embedment depth results in greater pipeline–trench bed resistance and earlier propagation of shear bands beyond the trench wall to the soil surface.
- The surface roughness of the pipeline is a critical factor in determining lateral soil resistance. A rough pipeline surface fosters stronger interaction with the surrounding soil, leading to increased resistance. For pipelines with rough surfaces, the trench wall failure mechanism is characterized by global shear failure, whereas smooth pipelines tend to exhibit local flow failure mechanisms.
- Utilizing backfilling soil reduces the likelihood of local buckling in the pipeline. This suggests that appropriate backfilling materials can enhance the structural stability of buried pipelines.
- Considering strain softening and linear shear strength in soil models results in lower induced axial strains in the pipeline. This underscores the importance of accurately modeling soil behavior to predict pipeline strains.
- Using stiffer backfilling materials does not significantly alter the location of maximum axial strain along the pipeline, suggesting that stiffness primarily affects lateral resistance rather than strain localization.
- Higher initial embedment depths lead to increased axial strain in the pipeline. This finding emphasizes the need to optimize embedment depth to manage axial strain levels effectively.
- An increased burial depth results in higher axial strains within the pipeline, indicating that deeper burial may impose greater demands on pipeline integrity.
Author Contributions
Funding
Institutional Review Board Statement
Informed Consent Statement
Data Availability Statement
Conflicts of Interest
References
- Scawthorn, C. Fire Following Earthquake in the Vancouver Region; Institute for Catastrophic Loss Reduction: Toronto, ON, Canada, 2020. [Google Scholar]
- Zhensheng, G. The Tangshan Earthquake of 1976: An Anatomy of Disaster; Pergamon Press: Oxford, UK, 1988. [Google Scholar]
- Izumi, M. Damage to structures caused by the Japan Sea earthquake of 1983. Disasters 1983, 7, 244–250. [Google Scholar] [CrossRef]
- Eguchi, R.T.; Tang, A. The Loma Prieta, California, Earthquake of October 17, 1989; U.S. Geological Survey Professional Paper 1551-A; U.S. Geological Survey: Reston, VA, USA, 1991. [Google Scholar]
- O’Rourke, T.D.; Palmer, M.C. Earthquake performance of gas transmission pipelines. Earthq. Spectra 1996, 12, 493–527. [Google Scholar] [CrossRef]
- Erdik, M. Report on 1999 Kocaeli and Düzce (Turkey) earthquakes. In Structural Control for Civil and Infrastructure Engineering; World Scientific Publishing: Singapore, 2001; pp. 149–186s. [Google Scholar]
- Liu, X.; Zhang, H.; Chen, Y. Strain Prediction for X80 Steel Pipeline Subjected to Strike-Slip Fault Under Compression Combined with Bending. In Proceedings of the Pressure Vessels and Piping Conference, Boston, MA, USA, 19–23 July 2015; American Society of Mechanical Engineers: New York, NY, USA, 2015; Volume 56987, p. V005T09A006. [Google Scholar]
- Liu, X.; Zhang, H.; Han, Y.; Xia, M.; Zheng, W. A semi-empirical model for peak strain prediction of buried X80 steel pipelines under compression and bending at strike-slip fault crossings. J. Nat. Gas Sci. Eng. 2016, 32, 465–475. [Google Scholar] [CrossRef]
- Meniconi, S.; Brunone, B.; Tirello, L.; Rubin, A.; Cifrodelli, M.; Capponi, C. Transient tests for checking the Trieste subsea pipeline: Towards field tests. J. Mar. Sci. Eng. 2024, 12, 374. [Google Scholar] [CrossRef]
- Newmark, N.M.; Hall, W.J. Pipeline design to resist large fault displacement. In Proceedings of the US National Conference on Earthquake Engineering, Ann Arbor, MI, USA, 18–20 June 1975; Volume 1975, pp. 416–425. [Google Scholar]
- Kennedy, R.P.; Williamson, R.A.; Chow, A.M. Fault Movement Effects on Buried Oil Pipeline. Transp. Eng. J. ASCE 1977, 103, 617–633. [Google Scholar] [CrossRef]
- Wang, L.R.-L.; Yeh, Y.-H. A refined seismic analysis and design of buried pipeline for fault movement. Earthq. Eng. Struct. Dyn. 1985, 13, 75–96. [Google Scholar] [CrossRef]
- Takada, S.; Hassani, N.; Fukuda, K. A new proposal for simplified design of buried steel pipes crossing active faults. Earthq. Eng. Struct. Dyn. 2001, 30, 1243–1257. [Google Scholar] [CrossRef]
- Karamitros, D.K.; Bouckovalas, G.D.; Kouretzis, G.P. Stress analysis of buried steel pipelines at strike-slip fault crossings. Soil Dyn. Earthq. Eng. 2007, 27, 200–211. [Google Scholar] [CrossRef]
- Trifonov, O.V.; Cherniy, V.P. A semi-analytical approach to a nonlinear stress–strain analysis of buried steel pipelines crossing active faults. Soil Dyn. Earthq. Eng. 2010, 30, 1298–1308. [Google Scholar] [CrossRef]
- Karamitros, D.K.; Bouckovalas, G.D.; Kouretzis, G.P.; Gkesouli, V. An analytical method for strength verification of buried steel pipelines at normal fault crossings. Soil Dyn. Earthq. Eng. 2011, 31, 1452–1464. [Google Scholar] [CrossRef]
- Vazouras, P.; Karamanos, S.A.; Dakoulas, P. Finite element analysis of buried steel pipelines under strike-slip fault displacements. Soil Dyn. Earthq. Eng. 2010, 30, 1361–1376. [Google Scholar] [CrossRef]
- Shokouhi, S.K.; Dolatshah, A.; Ghobakhloo, E. Seismic strain analysis of buried pipelines in a fault zone using hybrid FEM-ANN approach. Earthq Struct. 2013, 5, 417–438. [Google Scholar] [CrossRef]
- Uckan, E.; Akbas, B.; Shen, J.; Rou, W.; Paolacci, F.; O’rourke, M. A simplified analysis model for determining the seismic response of buried steel pipes at strike-slip fault crossings. Soil Dyn. Earthq. Eng. 2015, 75, 55–65. [Google Scholar] [CrossRef]
- Melissianos, V.E.; Vamvatsikos, D.; Gantes, C.J. Performance assessment of buried pipelines at fault crossings. Earthq. Spectra 2017, 33, 201–218. [Google Scholar] [CrossRef]
- Ha, D.; Abdoun, T.H.; O’Rourke, M.J.; Symans, M.D.; O’Rourke, T.D.; Palmer, M.C.; Stewart, H.E. Buried high-density polyethylene pipelines subjected to normal and strike-slip faulting—A centrifuge investigation. Can. Geotech. J. 2008, 45, 1733–1742. [Google Scholar] [CrossRef]
- Xie, X.; Symans, M.D.; O’Rourke, M.J.; Abdoun, T.H.; O’Rourke, T.D.; Palmer, M.C.; Stewart, H.E. Numerical modeling of buried HDPE pipelines subjected to strike-slip faulting. J. Earthq. Eng. 2011, 15, 1273–1296. [Google Scholar] [CrossRef]
- Rofooei, F.R.; Jalali, H.H.; Attari, N.K.A.; Kenarangi, H.; Samadian, M. Parametric study of buried steel and high density polyethylene gas pipelines due to oblique-reverse faulting. Can. J. Civ. Eng. 2015, 42, 178–189. [Google Scholar] [CrossRef]
- Rofooei, F.R.; Jalali, H.H.; Attari, N.K.; Alavi, M. September. Full-scale laboratory testing of buried pipelines subjected to permanent ground displacement caused by reverse faulting. In Proceedings of the 15th World Conference on Earthquake Engineering, Lisbon, Portugal, 24–28 September 2012; pp. 24–28. [Google Scholar]
- Wei, B.; Qin, Q.; Bai, Y.; Yu, C.; Xu, J.; Sun, C.; Ke, W. Short-period corrosion of X80 pipeline steel induced by AC current in acidic red soil. Eng. Fail. Anal. 2019, 105, 156–175. [Google Scholar] [CrossRef]
- American Lifelines Alliance. Guidelines for the Design of Buried Steel Pipe; American Society of Civil Engineers: Reston, VA, USA, 2001. [Google Scholar]
- Honegger, D.G.; Nyman, J. Guidelines for the Seismic Design and Assessment of Natural Gas and Liquid Hydrocarbon; Pipeline Research Council International (PRCI), Catalog No. L51927; Pipeline Research Council International: Houston, TX, USA, 2004. [Google Scholar]
- ABAQUS. User’s Manual, version 6.11; Dassault Systemes; Hebbit, Karlsson and Sorensen Inc.: Providence, RI, USA, 2011. [Google Scholar]
- IITK-GSDMA. IITK-GSDMA Guidelines for Seismic Design of Buried Pipelines; Gujarat State Disaster Management Authority: Gandhinagar, India, 2007. [Google Scholar]
- Ramberg, W.; Osgood, W.R. Description of Stress-Strain Curves by Three Parameters (No. NACA-TN-902); National Advisory Committee for Aeronautics: Washington, DC, USA, 1943. [Google Scholar]
- CSA Z662-07; Oil and Gas Pipeline Systems. Canadian Standards Association: Mississauga, ON, Canada, 2007.
- ASME. Gas Transmission and Distribution Piping Systems; American Society of Mechanical Engineers: New York, NY, USA, 2007. [Google Scholar]
- Gresnigt, A.M. Plastic design of buried steel pipelines in settlement areas. Heron 1987, 31, 1–113. [Google Scholar]
- Zhang, W.; Wang, D.; Randolph, M.F.; Puzrin, A.M. Catastrophic failure in planar landslides with a fully softened weak zone. Géotechnique 2015, 65, 755–769. [Google Scholar] [CrossRef]
- Zhang, W.; Randolph, M.F.; Puzrin, A.M.; Wang, D. Transition from shear band propagation to global slab failure in submarine landslides. Can. Geotech. J. 2019, 56, 554–569. [Google Scholar] [CrossRef]
- Asgarihajifirouz, M.; Dong, X.; Shiri, H. Assessment of the Response of Trenched–Backfilled Pipelines to Strike-Slip Faults: An Analytical Approach. Geosciences 2023, 13, 47. [Google Scholar] [CrossRef]







































| Property | Value | |
|---|---|---|
| Geometry | Burial depth to pipeline center (m) | 1.92 |
| Trench width (m) | 2.5 | |
| Initial embedment of pipeline (mm) | 4 | |
| Native seabed soil | Undrained shear strength at pipeline centerline (kPa) | 33.1 |
| Linear variation in undrained shear strength with depth (kPa) | 24.43 + 6.8 z | |
| Backfill soil | Undrained shear strength at pipeline centerline (kPa) | 1.6 |
| Linear variation in undrained shear strength with depth (kPa) | 1.26 z | |
| Case Name | Pipe Diameter (m) | Burial Depth Ratio | Soil Strength Pattern | Backfill su (kPa) | Pipe Roughness | Initial Embedment (mm) | Strain Softening |
|---|---|---|---|---|---|---|---|
| CS-1 | 0.9144 | 1.92 | Linear | 1.6 | Rough | 4 | Yes |
| CS-2 | 0.95 | 1.92 | Linear | 1.6 | Rough | 4 | Yes |
| CS-3 | 0.9144 | 2.92 | Linear | 1.6 | Rough | 4 | Yes |
| CS-4 | 0.9144 | 3.92 | Linear | 1.6 | Rough | 4 | Yes |
| CS-5 | 0.9144 | 1.92 | Constant | 1.6 | Rough | 4 | Yes |
| CS-6 | 0.9144 | 1.92 | Linear | 0.1 | Rough | 4 | Yes |
| CS-7 | 0.9144 | 1.92 | Linear | 5.0 | Rough | 4 | Yes |
| CS-8 | 0.9144 | 1.92 | Linear | 1.6 | Penalty | 4 | Yes |
| CS-9 | 0.9144 | 1.92 | Linear | 1.6 | Smooth | 4 | Yes |
| CS-10 | 0.9144 | 1.92 | Linear | 1.6 | Rough | 154 | Yes |
| CS-11 | 0.9144 | 1.92 | Linear | 1.6 | Rough | 254 | Yes |
| CS-12 | 0.9144 | 1.92 | Linear | 1.6 | Rough | 4 | No |
| CS-13 | 0.9144 | 1.92 | Constant | 1.6 | Rough | 4 | No |
Disclaimer/Publisher’s Note: The statements, opinions and data contained in all publications are solely those of the individual author(s) and contributor(s) and not of MDPI and/or the editor(s). MDPI and/or the editor(s) disclaim responsibility for any injury to people or property resulting from any ideas, methods, instructions or products referred to in the content. |
© 2024 by the authors. Licensee MDPI, Basel, Switzerland. This article is an open access article distributed under the terms and conditions of the Creative Commons Attribution (CC BY) license (https://creativecommons.org/licenses/by/4.0/).
Share and Cite
Asgarihajifirouz, M.; Dong, X.; Shiri, H. A Decoupled Buckling Failure Analysis of Buried Steel Pipeline Subjected to the Strike-Slip Fault. J. Mar. Sci. Eng. 2024, 12, 1243. https://doi.org/10.3390/jmse12081243
Asgarihajifirouz M, Dong X, Shiri H. A Decoupled Buckling Failure Analysis of Buried Steel Pipeline Subjected to the Strike-Slip Fault. Journal of Marine Science and Engineering. 2024; 12(8):1243. https://doi.org/10.3390/jmse12081243
Chicago/Turabian StyleAsgarihajifirouz, Mozhgan, Xiaoyu Dong, and Hodjat Shiri. 2024. "A Decoupled Buckling Failure Analysis of Buried Steel Pipeline Subjected to the Strike-Slip Fault" Journal of Marine Science and Engineering 12, no. 8: 1243. https://doi.org/10.3390/jmse12081243
APA StyleAsgarihajifirouz, M., Dong, X., & Shiri, H. (2024). A Decoupled Buckling Failure Analysis of Buried Steel Pipeline Subjected to the Strike-Slip Fault. Journal of Marine Science and Engineering, 12(8), 1243. https://doi.org/10.3390/jmse12081243

