Optimization of Joint Scheduling for Automated Guided Vehicles and Unmanned Container Trucks at Automated Container Terminals Considering Conflicts
Abstract
1. Introduction
2. Literature Review
2.1. Research on the Scheduling of Various Types of Container Trucks in Automated Container Terminals
- (1)
- Analysis of simulation- and algorithm-based scheduling optimization models
- (2)
- AGV path conflict scheduling optimization models
- (3)
- Energy saving and carbon emissions in scheduling optimization models
2.2. Research on Cooperative Scheduling of Multiple Equipment Resources in Automated Container Terminals
- (1)
- Equipment interactions in cooperative scheduling
- (2)
- Cooperative scheduling problems in terminal loading and unloading
- (3)
- Consideration of Cooperative Scheduling problems in AGV conflicts
2.3. Research on Cooperative Scheduling of Multiple Types of Automated Container Trucks
3. Model
3.1. Problem Description
3.2. Model Assumptions
- (1)
- Terminal handling equipment with AGVs and unmanned container trucks operating on individual containers are averaged over time;
- (2)
- Unmanned container trucks continue transportation from the yard to the logistics park for the entire ship unloading task. Unmanned container trucks wait for task instructions without considering dispatching entry times;
- (3)
- Unmanned container trucks travel unidirectionally depending on the flow direction of the terminal lanes, considering queue congestion issues and ignoring path conflicts;
- (4)
- During the unloading process of a ship’s imports, the positions of the containers in the vessel and yard are not considered. The unloading sequence of the container tasks is randomly determined;
- (5)
- Both AGV and unmanned container trucks have sufficient battery levels, and the battery capacity allows them to complete their entire transportation tasks.
3.3. Joint-Scheduling and Task-Allocation Model
- :
- A binary variable that equals one if container l is assigned to the a-th AGV; otherwise, it equals zero.
- :
- A binary variable that equals one if container l is handled by quay crane q; otherwise, it equals zero.
- :
- A binary variable that equals one if container l is handled by yard crane d; otherwise, it equals zero.
- :
- A binary variable that equals one if the a-th AGV continues to work on container l + 1 after delivering container l; otherwise, it equals zero.
3.4. Path-Optimization Model Considering Conflict Strategies
- :
- A binary variable that equals one if the g-th horizontal transport vehicle (including the unmanned container truck and AGV) passes from node i to node j; otherwise, it equals zero.
- :
- A binary variable that equals one if the g-th AGV passes from node i to node j; otherwise, it equals zero.
- :
- A binary variable that equals one if the u-th unmanned container truck passes from node i to node j; otherwise, it equals zero.
4. Algorithm Design
4.1. Solving the Task-Allocation Model Using Improved Genetic Algorithm
4.2. Solving Conflicting Paths Using A* Optimization Search Algorithm
- (1)
- Establishment of two-dimensional plane node set and path assignment: Generate combinations of position nodes and assign path values based on actual operating distances;
- (2)
- Decoding and data processing to generate the initial set: Utilize the IGA to obtain the scheduling task sequence for decoding. Generate a scheduling program and reprocess the data with a three-point coordinate matrix, where the three-point coordinates correspond to the two-dimensional plane horizontal coordinates, vertical coordinates, and time parameters, respectively. As depicted in Figure 6, the decoding result of the AGV1 task is to service containers 1-4-6-10, which is transformed into the initial time t0 when the location is (AQCx, AQCy). It is then added to the initial time dimension to generate coordinates (AQCx, AQCy, t0) in accordance with the AGV operation path. Based on the IGA scheduling result, a new set of coordinates is generated and stored in the search list op[ ];
- (3)
- Path search and iterative optimization: (a) Traverse the search list op[], find the starting point value, and move it into the stop search list cl[]. (b) Move the node to the surroundings, transfer the surrounding nodes into op[], record the target value and node state after movement, and ignore the nodes that do not meet the conditions. (c) Repeat “Step b” in a loop search until the endpoint is found and added to op[], outputting the path optimization results;
- (4)
- Conflict path resolution: Determine path conflicts based on the obtained coordinates. A path conflict occurs when judging the starting time of the task to establish priority. High priority is given to pass, while low priority stops and waits for the node time to be updated. Invoke the A* algorithm from the point of conflict to generate subsequent task routes until no conflicting paths remain, reaching the end to generate the optimal path.
5. Case Study Analysis
5.1. Experimental Layout and Parameters
5.2. Algorithm Validation and Result Analysis
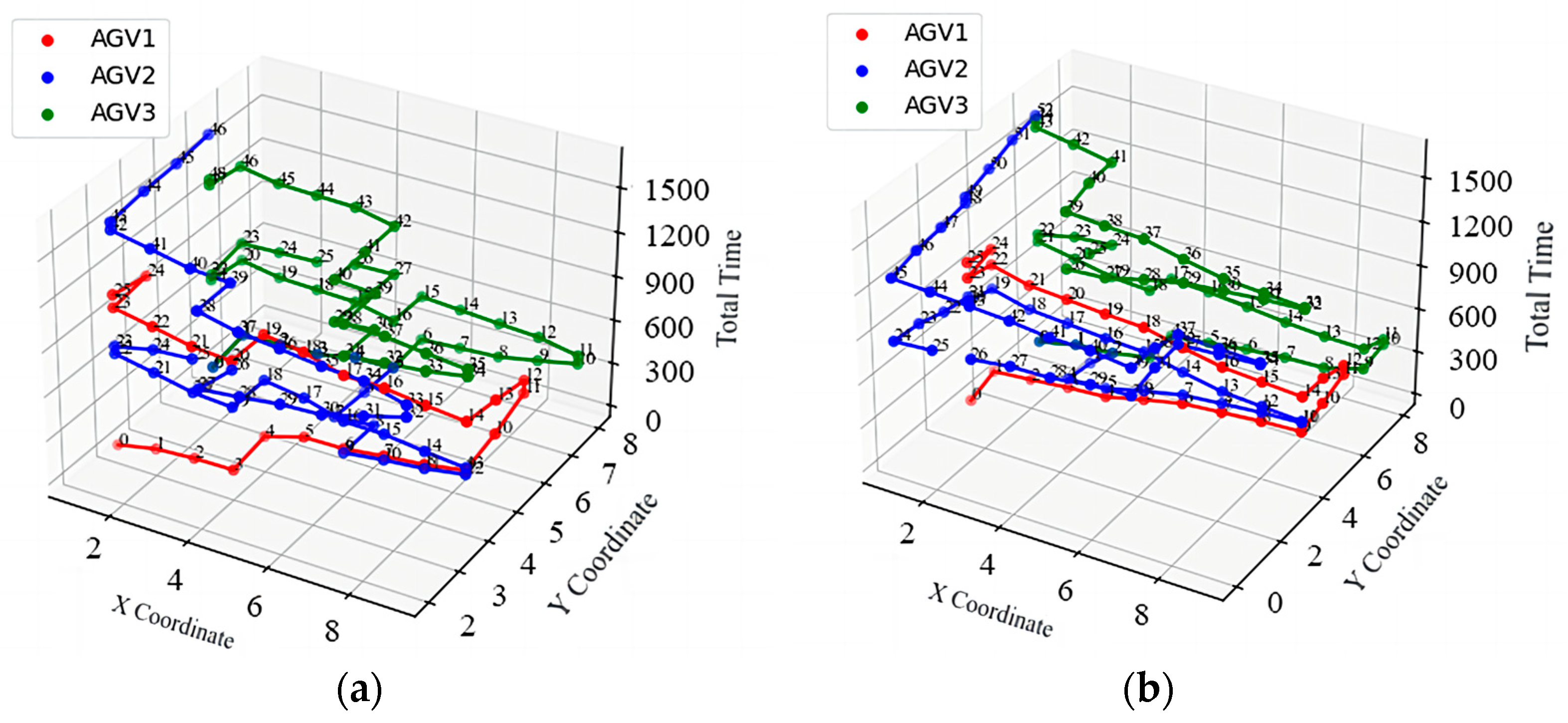
5.3. Validation of Strategy Effectiveness
6. Conclusions
Author Contributions
Funding
Institutional Review Board Statement
Informed Consent Statement
Data Availability Statement
Conflicts of Interest
Abbreviations
| AGV | Automated Guided Vehicles |
| UCTs | Unmanned Container Trucks |
| AQC | Automated Quay Cranes |
| ARMG | Automated Rail-Mounted Gantry Cranes |
| GA | Genetic Algorithm |
| IGA | Improved Genetic Algorithm |
| ALVs | Automatic Lifting Vehicles |
| RHP | Rolling Horizon Process algorithm |
| VDTWs | Vehicle Dispatching with Time Windows |
| CRP-BGA | Congestion Prevention strategy Bi-level Genetic Algorithm |
| NSGA-II | Nondominated Sorting Genetic Algorithm-II |
| OPSO | Optimized Particle Swarm Optimization |
Appendix A
| Advantage | Disadvantage | |
| GA | Capable of handling non-linear, non- differentiable objective functions with less sensitivity to the initial solution. | Genetic algorithms typically require more computational resources and time to converge compared to single-point search algorithms. |
| IGA | By optimizing selection, crossover, and mutation strategies, it is possible to accelerate the convergence process. | May not always find the globally optimal solution. |
| A-star | Widely used and well-understood, with extensive research and optimization techniques available. | Requires a good heuristic function to perform well; finding such a heuristic can be challenging. |
| Optimized A-star | Mitigates memory usage concerns by limiting the size of the explored set or dividing the search space into manageable parts. | Specific variants may require additional computational overhead for managing state spaces or integrating with domain-specific constraints. |
| Other | Greedy Best-First Search can be effective when a simple heuristic is available, and the graph structure allows for quick expansion of promising paths; Dijkstra’s Algorithm guarantees the shortest path in non-negative weighted graphs. | Both may not scale well to very large graphs or complex search spaces without additional optimizations. |
| Heuristic Algorithms | Heuristics are generally faster than exact solvers because they sacrifice optimality for efficiency, and often easier to implement, and require less computational resources. | It can be challenging to analyze the performance and theoretical guarantees of heuristic algorithms due to their non-deterministic nature. |
| Solvers | Solvers guarantee finding the optimal solution (if one exists), ensuring the best possible outcome. | Implementing and fine-tuning exact methods can require a deep understanding of algorithmic complexities and optimization techniques. They may struggle with certain types of constraints or problem structures that are not well-suited to the problem-solving approach. |
References
- Luo, J.; Wu, Y. Modelling of Dual-Cycle Strategy for Container Storage and Vehicle Scheduling Problems at Automated Container Terminals. Transp. Res. Part E Logist. Transp. Rev. 2015, 79, 49–64. [Google Scholar] [CrossRef]
- Zaghdoud, R.; Mesghouni, K.; Dutilleul, S.C.; Zidi, K.; Ghedira, K. A Hybrid Method for Assigning Containers to AGVs in Container Terminal. IFAC Pap. 2016, 49, 96–103. [Google Scholar] [CrossRef]
- Tao, J.; Qiu, Y. A Simulation Optimization Method for Vehicles Dispatching among Multiple Container Terminals. Expert Syst. Appl. 2015, 42, 3742–3750. [Google Scholar] [CrossRef]
- Hu, X.; Guo, J.; Zhang, Y. Optimal Strategies for the Yard Truck Scheduling in Container Terminal with the Consideration of Container Clusters. Comput. Ind. Eng. 2019, 137, 106083. [Google Scholar] [CrossRef]
- Hu, H.; Chen, X.; Wang, T.; Zhang, Y. A Three-Stage Decomposition Method for the Joint Vehicle Dispatching and Storage Allocation Problem in Automated Container Terminals. Comput. Ind. Eng. 2019, 129, 90–101. [Google Scholar] [CrossRef]
- Yue, L.; Fan, H. Dynamic Scheduling and Path Planning of Automated Guided Vehicles in Automatic Container Terminal. IEEE-CAA J. Autom. Sin. 2022, 9, 2005–2019. [Google Scholar] [CrossRef]
- Su, P. AGV Scheduling and Path Planning Considering Opportunistic Charging Process. Int. Core J. Eng. 2022, 8, 523–538. [Google Scholar]
- Chen, G.; Govindan, K.; Golias, M.M. Reducing Truck Emissions at Container Terminals in a Low Carbon Economy: Proposal of a Queueing-Based Bi-Objective Model for Optimizing Truck Arrival Pattern. Transp. Res. Part E Logist. Transp. Rev. 2013, 55, 3–22. [Google Scholar] [CrossRef]
- Lu, Y.; Le, M. The Integrated Optimization of Container Terminal Scheduling with Uncertain Factors. Comput. Ind. Eng. 2014, 75, 209–216. [Google Scholar] [CrossRef]
- Yang, Y.; Zhong, M.; Dessouky, Y.; Postolache, O. An Integrated Scheduling Method for AGV Routing in Automated Container Terminals. Comput. Ind. Eng. 2018, 126, 482–493. [Google Scholar] [CrossRef]
- Homayouni, S.M.; Tang, S.H.; Motlagh, O. A Genetic Algorithm for Optimization of Integrated Scheduling of Cranes, Vehicles, and Storage Platforms at Automated Container Terminals. J. Comput. Appl. Math. 2014, 270, 545–556. [Google Scholar] [CrossRef]
- Kizilay, D.; Van Hentenryck, P.; Eliiyi, D.T. Constraint Programming Models for Integrated Container Terminal Operations. Eur. J. Oper. Res. 2020, 286, 945–962. [Google Scholar] [CrossRef]
- Zhou, C.; Lee, B.K.; Li, H. Integrated Optimization on Yard Crane Scheduling and Vehicle Positioning at Container Yards. Transp. Res. Part E Logist. Transp. Rev. 2020, 138, 101966. [Google Scholar] [CrossRef]
- Yue, L.; Fan, H.; Ma, M. Optimizing Con Fi Guration and Scheduling of Double 40 Ft Dual-Trolley Quay Cranes and AGVs for Improving Container Terminal Services. J. Clean Prod. 2021, 292, 126019. [Google Scholar] [CrossRef]
- Dang, C.H.; Nguyen, V.H.; Truong, T.M.A. Adaptive Particle Swarm Optimization for Integrated Quay Crane and Yard Truck Scheduling Problem. Comput. Ind. Eng. 2021, 153, 107075. [Google Scholar]
- Xu, B.; Jie, D.; Li, J.; Yang, Y.; Wen, F.; Song, H. Integrated Scheduling Optimization of U-Shaped Automated Container Terminal under Loading and Unloading Mode. Comput. Ind. Eng. 2021, 162, 107695. [Google Scholar] [CrossRef]
- Ji, S.; Luan, D.; Chen, Z.; Guo, D. Integrated Scheduling in Automated Container Terminals Considering AGV Conflict-Free Routing. Transp. Lett. 2021, 13, 501–513. [Google Scholar]
- Zhong, M.; Yang, Y.; Dessouky, Y.; Postolache, O. Multi-AGV Scheduling for Conflict-Free Path Planning in Automated Container Terminals. Comput. Ind. Eng. 2020, 142, 106371. [Google Scholar] [CrossRef]
- Cui, H.; Chen, S.; Chen, R.; Meng, Q. A Two-Stage Hybrid Heuristic Solution for the Container Drayage Problem with Trailer Reposition. Eur. J. Oper. Res. 2022, 299, 468–482. [Google Scholar] [CrossRef]
- Tang, L.; Zhao, J.; Liu, J. Modeling and Solution of the Joint Quay Crane and Truck Scheduling Problem. Eur. J. Oper. Res. 2014, 236, 978–990. [Google Scholar] [CrossRef]
- Chen, G.; Govindan, K.; Yang, Z. Managing Truck Arrivals with Time Windows to Alleviate Gate Congestion at Container Terminals. Int. J. Prod. Econ. 2013, 141, 179–188. [Google Scholar] [CrossRef]
- Nossack, J.; Pesch, E. A Truck Scheduling Problem Arising in Intermodal Container Transportation. Eur. J. Oper. Res. 2013, 230, 666–680. [Google Scholar] [CrossRef]
- Chen, X.; Zhou, X.; List, G.F. Using Time-Varying Tolls to Optimize Truck Arrivals at Ports. Transp. Res. Part E Logist. Transp. Rev. 2011, 47, 965–982. [Google Scholar] [CrossRef]
- Azab, A.; Karam, A.; Eltawil, A. A simulation-based optimization approach for external trucks appointment scheduling in container terminals. Int. J. Model. Simul. 2020, 40, 321–338. [Google Scholar] [CrossRef]
- Rijal, A.; Bijvank, M.; de Koster, R. Integrated Scheduling and Assignment of Trucks at Unit-Load Cross-Dock Terminals with Mixed Service Mode Dock Doors. Eur. J. Oper. Res. 2019, 278, 752–771. [Google Scholar] [CrossRef]
- Heidari, F.; Zegordi, S.H.; Tavakkoli-Moghaddam, R. Modeling Truck Scheduling Problem at a Cross-Dock Facility through a Bi-Objective Bi-Level Optimization Approach. J. Intell. Manuf. 2018, 29, 1155–1170. [Google Scholar] [CrossRef]
- Xi, X.; Liu, C.; Yuan, W.; Hay, L.L. Two-Stage Conflict Robust Optimization Models for Cross-Dock Truck Scheduling Problem under Uncertainty. Transp. Res. Part E Logist. Transp. Rev. 2020, 144, 102123. [Google Scholar] [CrossRef]








| Notation | Sets |
|---|---|
| L | The set of sequential numbers for unloading container task orders, L = {1, 2, …, l}; |
| Q | The set of quay cranes, Q = {1, 2, …, q}; |
| D | The set of yard container areas, D = {1, 2, …, d}; |
| A | The set of all AGVs, A = {1, 2, …, a}; |
| K | The set of all unmanned container trucks, K = {1, 2, …, k}; |
| Z | The set of terminal gates, Z = {1, 2, …, z}; |
| W | The set of container areas in the logistics park, W = {1, 2, …, w}; |
| P | The number of buffer racks in a single container area, indicating the quantity of buffer racks available for placing containers; |
| The scheduled time for quay crane q to handle the l-th container; | |
| The actual time for quay crane q to handle the l-th container; | |
| The time when the l-th container-handling task begins for the a-th AGV at either the quay crane or in the yard; | |
| The time when the l-th container is placed on the buffer rack in yard d; | |
| The average operation time for quay crane unloading container l; | |
| The average operation time for the yard crane to extract container l and place it at the destination position; | |
| The average operation time for unloading container l from the unmanned container truck to the yard in the logistics park; | |
| The time taken for the next container task, after handling container l, to be processed at the quay crane; | |
| The time taken for the next container task, after handling container l, to be processed in the yard; | |
| The time window during which the AGV places container l on the buffer rack in the yard’s ARMG area; | |
| The time taken for the a-th AGV to transport container l to its destination; | |
| The time taken for the a-th AGV to travel empty from the delivery point of container l to the next task point at l + 1; | |
| The waiting time for the a-th AGV when transporting container l to quay crane q; | |
| The waiting time for the a-th AGV when transporting container l to yard crane d (under the buffer rack); | |
| The waiting time for the k-th unmanned container truck when retrieving container l from quay crane d; | |
| The waiting time for the k-th unmanned container truck when retrieving container l at gate z, including the queuing time; | |
| Tkl | The arrival time of the k-th unmanned container truck at the yard to retrieve container l; |
| The time when the yard crane handles the l-th container; | |
| The time when the k-th unmanned container truck, loaded with the l-th container, exits the gate; | |
| The time when the k-th unmanned container truck unloads the l-th container in the logistics park; | |
| The average time taken by the k-th unmanned container truck to transport container l to its destination; | |
| The average operation time for loading and unloading containers in the logistics park; | |
| The average travel time on the bridge for an unmanned container truck after leaving the terminal gate; | |
| M | A large positive integer. |
| Notation | Sets |
|---|---|
| The set of various operation points in the automated container terminal, including quay cranes, buffer racks in the yard, and intersection points in the AGV driving process. Here, i and j are node identifiers within this set. | |
| ; | |
| ; | |
| The lines connecting the nodes in the AGV travel path; | |
| The set of nodes for unmanned container truck operations, including the yard gantry crane operation points, terminal gate, and logistics park; | |
| ; | |
| ; | |
| The time at which the AGV arrives at node j; | |
| The distance from node i to node j; | |
| The average travel speed of the AGV; | |
| The time at which the AGV enters or leaves the path; | |
| The time at which all horizontal transport vehicles enter or leave the path; | |
| RLij | The number of AGVs that the current path can accommodate; |
| ) | |
| The length of the AGV’s body; | |
| The total time it takes for a container to travel from the quay crane to the buffer stand; | |
| The safe time interval required between two AGVs passing through the same node; | |
| The time it takes to traverse a specific path. |
| Notation | Parameterization | Notation | Parameterization |
|---|---|---|---|
| L | 10–200 | 100 s | |
| Q | 2 | 120 s | |
| D | 3–6 | γ1 | 50 s |
| A | 3–12 | 200 s | |
| K | 3–12 | P | 2 |
| Z | 6 | (unloaded) | 2 m/s |
| W | 6 | (reloading) | 1 m/s |
| Parameter Object | Parameter Value | Parameter Meaning |
|---|---|---|
| Pop_size | 100 | IGA population size |
| Iter_Max (small, large) | 100, 200 | Maximum number of iterations for different sizes of IGAs |
| Pc, Pm | Adaptation values | IGA crossover, mutation probability |
| 0.8 CNY/s | Base transportation cost factor | |
| 0.3 CNY/s | Penalty cost factor |
| Serial Number | Number of Tasks | Number of AGVs | Number of Unmanned Collector Trucks | Configuration Ratio | GA | IGA + A* | GAP% | ||
|---|---|---|---|---|---|---|---|---|---|
| f | T | f* | T* | ||||||
| 1 | 10 | 5 | 5 | 1.00 | 2495 | 10.64 | 2357 | 8.03 | 5.85% |
| 2 | 10 | 7 | 7 | 1.00 | 2464 | 10.91 | 2337 | 8.74 | 5.43% |
| 3 | 10 | 7 | 5 | 1.40 | 2460 | 10.67 | 2342 | 8.94 | 5.04% |
| 4 | 10 | 5 | 7 | 0.71 | 2499 | 10.73 | 2357 | 8.98 | 6.02% |
| 5 | 20 | 7 | 7 | 1.00 | 3879 | 20.30 | 3744 | 17.47 | 3.61% |
| 6 | 20 | 12 | 12 | 1.00 | 3717 | 21.02 | 3604 | 19.86 | 3.22% |
| 7 | 20 | 7 | 12 | 0.58 | 3702 | 20.46 | 3599 | 18.97 | 2.86% |
| 8 | 20 | 12 | 7 | 1.71 | 3789 | 20.49 | 3629 | 18.42 | 4.41% |
| 9 | 50 | 9 | 9 | 1.00 | 9204 | 47.03 | 8995 | 40.41 | 2.32% |
| 10 | 50 | 12 | 12 | 1.00 | 9197 | 48.26 | 8976 | 41.97 | 2.46% |
| 11 | 50 | 9 | 12 | 0.75 | 9291 | 48.39 | 9001 | 41.71 | 3.22% |
| 12 | 50 | 12 | 9 | 1.33 | 9374 | 49.97 | 9014 | 41.83 | 3.99% |
| 13 | 100 | 9 | 9 | 1.00 | 18,049 | 85.88 | 17,697 | 73.49 | 1.99% |
| 14 | 100 | 12 | 12 | 1.00 | 17,991 | 94.45 | 17,603 | 81.51 | 2.20% |
| 15 | 100 | 9 | 12 | 0.75 | 17,997 | 94.03 | 17,699 | 81.25 | 1.68% |
| 16 | 100 | 12 | 9 | 1.33 | 18,006 | 93.97 | 17,710 | 82.54 | 1.67% |
| 17 | 200 | 9 | 9 | 1.00 | 38,321 | 185.71 | 37,463 | 171.41 | 2.29% |
| 18 | 200 | 12 | 12 | 1.00 | 38,002 | 184.36 | 37,298 | 170.57 | 2.12% |
| 19 | 200 | 9 | 12 | 0.75 | 38,079 | 186.02 | 37,254 | 172.79 | 2.21% |
| 20 | 200 | 12 | 9 | 1.33 | 37,902 | 184.25 | 37,297 | 172.44 | 1.62% |
| AGV No. | AGV Tasking Results | AGV Initial Path List |
|---|---|---|
| AGV1 | 8-3-6 | (1,3,103) (9,6,941) (1,3,1019) (9,12,1289) (1,3,1404) (9,6,1723) |
| AGV2 | 10-2-1-9-7 | (1,6,98) (9,4,478) (1,3,500) (9,2,841) (1,3,974) (9,10,1451) (1,3,1501) (9,2,1876) (1,6,98) (9,8,1876) |
| AGV3 | 4-5 | (1,6,278) (9,8,699) (1,6,1093) (9,2,1649) |
| Serial Number | Task Allocation | AGV Initial Path List |
|---|---|---|
| AGV1 | 8-3-6 | (1,3,103) (1,4,143) (2,4,176) (3,4,190) (3,5,206) (4,5,238) (5,5,251) (6,5,277) (7,5,303) (7,6,322) (8,6,344) (9,6,362) (9,6,381) (8,6,417) (7,6,437) (7,5,449) (6,5,483) (5,5,499) (4,5,522) (3,5,546) (3,4,557) (2,4,588) (1,4,608) (1,3,640) (1,3,663) (1,4,684) (2,4,716) (3,4,730) (3,5,744) (4,5,768) (5,5,791) (6,5,811) (7,5,833) (7,6,856) (7,7,887) (7,8,901) (8,8,918) (8,9,941) (8,10,971) (9,10,994) (9,11,1013) (9,12,1041) (9,12,1067) (9,11,1089) (9,10,1101) (8,10,1131) (8,9,1153) (8,8,1171) (7,8,1196) (7,7,1210) (7,6,1237) (7,5,1262) (6,5,1278) (5,5,1304) (4,5,1319) (3,5,1347) (3,4,1365) (2,4,1386) (1,4,1404) (1,3,1435) (1,3,1463) (1,4,1486) (2,4,1509) (3,4,1535) (3,5,1547) (4,5,1578) (5,5,1603) (6,5,1622) (7,5,1643) (7,6,1663) (8,6,1689) (9,6,1705) |
| AGV2 | 10-2-1-9-7 | (1,6,98) (1,5,109) (2,5,124) (2,4,132) (3,4,140) (4,4,154) (5,4,178) (6,4,192) (7,4,213) (8,4,225) (9,4,240) (9,4,253) (8,4,265) (7,4,290) (6,4,309) (5,4,320) (4,4,341) (3,4,355) (2,4,371) (1,4,381) (1,3,403) (1,3,418) (2,3,432) (3,3,451) (4,3,468) (5,3,482) (6,3,498) (6,2,520) (7,2,536) (8,2,554) (9,2,575) (9,2,591) (8,2,610) (7,2,624) (6,2,635) (6,3,658) (5,3,676) (4,3,686) (3,3,708) (2,3,726) (1,3,739) (1,3,761) (1,4,774) (1,5,791) (1,6,801) (2,6,819) (2,7,838) (3,7,852) (4,7,863) (5,7,882) (5,8,902) (6,8,914) (7,8,925) (7,9,944) (8,9,965) (8,10,976) (9,10,992) (9,10,1012) (8,10,1028) (8,9,1046) (7,9,1060) (7,8,1074) (6,8,1091) (5,8,1099) (5,7,1121) (4,7,1137) (3,7,1151) (2,7,1175) (2,6,1190) (1,6,1202) (1,5,1218) (1,4,1235) (1,3,1246) (1,3,1268) (2,3,1280) (3,3,1297) (4,3,1317) (5,3,1331) (6,3,1346) (6,2,1369) (7,2,1384) (8,2,1398) (9,2,1421) (9,2,1436) (8,2,1446) (7,2,1472) (6,2,1488) (6,3,1497) (5,3,1516) (4,3,1531) (4,4,1553) (3,4,1563) (2,4,1582) (2,5,1595) (1,5,1610) (1,6,1623) (1,6,1644) (2,6,1659) (2,7,1674) (3,7,1692) (4,7,1710) (5,7,1728) (5,8,1745) (6,8,1757) (7,8,1769) (8,8,1789) (9,8,1805) |
| AGV3 | 4-5 | (1,6,278) (2,6,297) (3,6,328) (4,6,429) (5,6,424) (5,7,425) (6,7,530) (7,7,584) (8,7,544) (8,8,636) (9,8,640) (9,8,741) (8,8,737) (8,7,760) (7,7,857) (6,7,896) (5,7,919) (5,6,971) (4,6,979) (3,6,1038) (2,6,1058) (1,6,1065) (1,6,1131) (1,5,1175) (2,5,1160) (2,4,1251) (2,3,1279) (3,3,1346) (4,3,1379) (5,3,1429) (6,3,1406) (7,3,1462) (8,3,1479) (9,3,1579) (9,2,1624) |
| Serial Number | Number of Tasks | Number of AGVs | Number of Unmanned Collector Trucks | Conflict-Free Path | Conflict-Resolution Strategies | GAP% | ||
|---|---|---|---|---|---|---|---|---|
| f | Wf | f* | Wf* | |||||
| 1 | 10 | 5 | 5 | 2361 | 279 | 2357 | 249 | 0.17% |
| 2 | 10 | 7 | 7 | 2363 | 284 | 2337 | 271 | 1.11% |
| 5 | 20 | 7 | 7 | 3740 | 511 | 3744 | 504 | −0.11% |
| 6 | 20 | 12 | 12 | 3593 | 527 | 3604 | 515 | −0.31% |
| 9 | 50 | 9 | 9 | 9032 | 1120 | 8995 | 1098 | 0.41% |
| 10 | 50 | 12 | 12 | 9009 | 1349 | 8976 | 1246 | 0.37% |
| 13 | 100 | 9 | 9 | 17,708 | 2677 | 17,697 | 2554 | 0.06% |
| 14 | 100 | 12 | 12 | 17,689 | 2703 | 17,603 | 2740 | 0.49% |
| 17 | 200 | 9 | 9 | 37,157 | 5662 | 37,463 | 5599 | −0.82% |
| 18 | 200 | 12 | 12 | 37,327 | 5832 | 37,298 | 5702 | 0.08% |
Disclaimer/Publisher’s Note: The statements, opinions and data contained in all publications are solely those of the individual author(s) and contributor(s) and not of MDPI and/or the editor(s). MDPI and/or the editor(s) disclaim responsibility for any injury to people or property resulting from any ideas, methods, instructions or products referred to in the content. |
© 2024 by the authors. Licensee MDPI, Basel, Switzerland. This article is an open access article distributed under the terms and conditions of the Creative Commons Attribution (CC BY) license (https://creativecommons.org/licenses/by/4.0/).
Share and Cite
Chu, L.; Gao, Z.; Dang, S.; Zhang, J.; Yu, Q. Optimization of Joint Scheduling for Automated Guided Vehicles and Unmanned Container Trucks at Automated Container Terminals Considering Conflicts. J. Mar. Sci. Eng. 2024, 12, 1190. https://doi.org/10.3390/jmse12071190
Chu L, Gao Z, Dang S, Zhang J, Yu Q. Optimization of Joint Scheduling for Automated Guided Vehicles and Unmanned Container Trucks at Automated Container Terminals Considering Conflicts. Journal of Marine Science and Engineering. 2024; 12(7):1190. https://doi.org/10.3390/jmse12071190
Chicago/Turabian StyleChu, Liangyong, Zijian Gao, Shuo Dang, Jiawen Zhang, and Qing Yu. 2024. "Optimization of Joint Scheduling for Automated Guided Vehicles and Unmanned Container Trucks at Automated Container Terminals Considering Conflicts" Journal of Marine Science and Engineering 12, no. 7: 1190. https://doi.org/10.3390/jmse12071190
APA StyleChu, L., Gao, Z., Dang, S., Zhang, J., & Yu, Q. (2024). Optimization of Joint Scheduling for Automated Guided Vehicles and Unmanned Container Trucks at Automated Container Terminals Considering Conflicts. Journal of Marine Science and Engineering, 12(7), 1190. https://doi.org/10.3390/jmse12071190

