Ommastrephes caroli (Cephalopoda: Ommastrephidae) from the Adriatic Sea: Morphometry, Age, and Genetic Characterization
Abstract
1. Introduction
2. Materials and Methods
2.1. Sampling
2.2. Morphometry and Age Analysis
2.3. DNA Extraction, PCR Amplification, and Sequencing
2.4. Genetic Data Analysis
3. Results
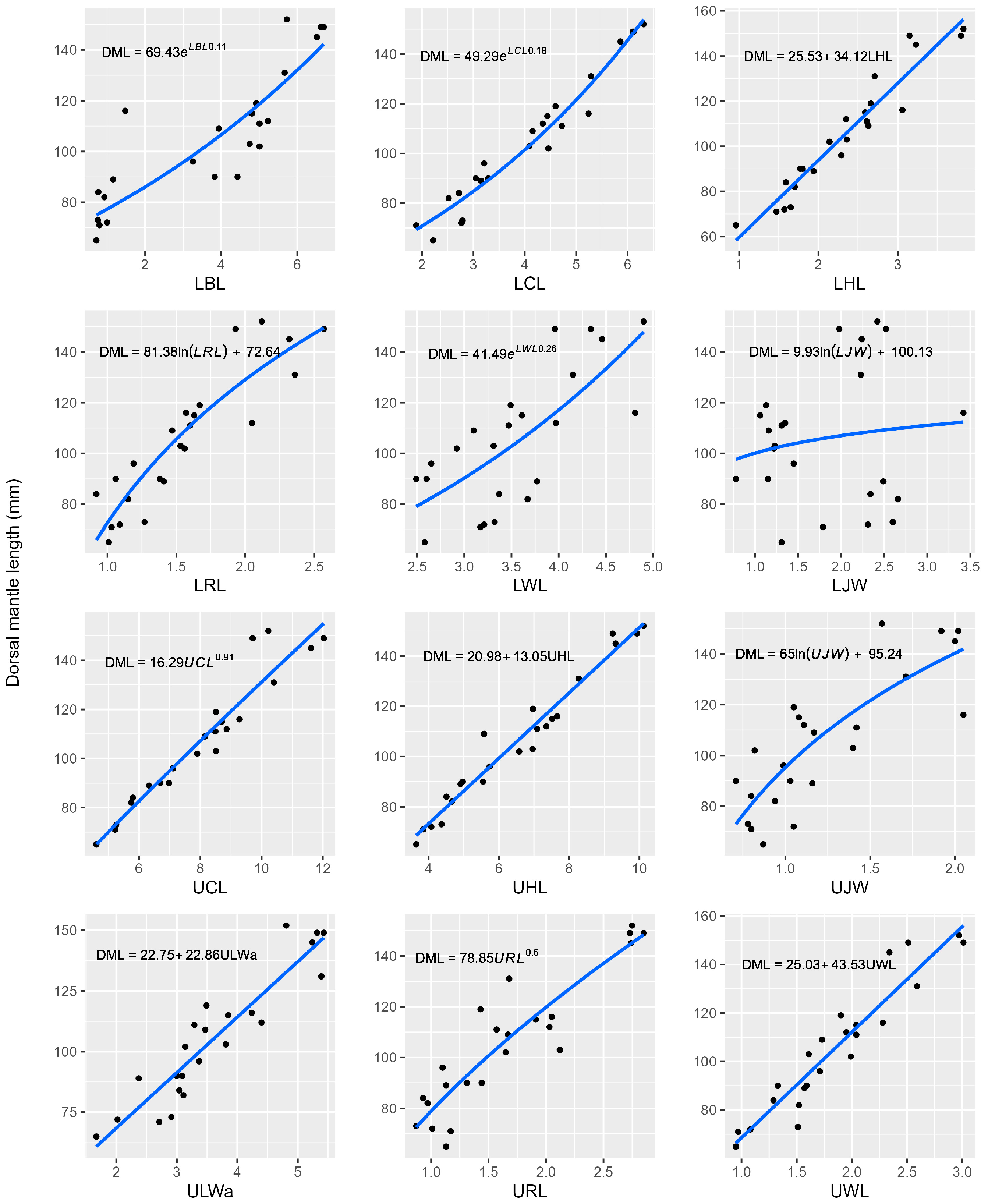
3.1. Morphometry and Age Analysis
3.2. Phylogenetic Analysis and Genetic Characterisation
4. Discussion
Supplementary Materials
Author Contributions
Funding
Institutional Review Board Statement
Informed Consent Statement
Data Availability Statement
Acknowledgments
Conflicts of Interest
References
- Roper, C.F.E.; Nigmatullin, C.M.; Jereb, P. Family Ommastrephidae. In Cephalopods of the World. An Annotated and Illustrated Catalogue of Species Known to Date; Myopsid and Oegopsid Squids; Jereb, P., Roper, C.F.E., Eds.; FAO: Rome, Italy, 2010; Volume 2, pp. 269–347. [Google Scholar]
- FAO Fishery and Aquaculture Statistics. Global Capture Production 1950–2021 (FishStatJ); FAO Fisheries and Aquaculture Division: Rome, Italy, 2023; Available online: https://www.fao.org/fishery/en/statistics/software/fishstatj (accessed on 16 April 2024).
- Arkhipkin, A.I.; Rodhouse, P.G.K.; Pierce, G.J.; Sauer, W.; Sakai, M.; Allcock, L.; Arguelles, J.; Bower, J.R.; Castillo, G.; Ceriola, L.; et al. World Squid Fisheries. Rev. Fish. Sci. Aquac. 2015, 23, 92–252. [Google Scholar] [CrossRef]
- Fernández-Álvarez, F.Á.; Braid, H.E.; Nigmatullin, C.M.; Bolstad, K.S.R.; Haimovici, M.; Sánchez, P.; Sajikumar, K.K.; Ragesh, N.; Villanueva, R. Global Biodiversity of the Genus Ommastrephes (Ommastrephidae: Cephalopoda): An Allopatric Cryptic Species Complex. Zool. J. Linn. Soc. 2020, 190, 460–482. [Google Scholar] [CrossRef]
- Nesis, K. Cephalopods of the World: Squid, Cuttlefish, Octopuses and Their Allies; T.F.H. Publications Inc. Ltd.: Neptune City, NJ, USA, 1987. [Google Scholar]
- Zalygalin, V.; Nigmatullin, C.; Sabirov, R. Morphology and functioning of the male reproductive system of the squid Ommastrephes bartramii Lesueur. In Taxonomy and Ecology of Cephalopods; USSR Publication: Leningrad, Russia, 1983; pp. 62–64. [Google Scholar]
- Nigmatullin, C.; Sabirov, R.; Zalygalin, V. Ontogenetic Aspects of Morphology, Size, Structure and Production of Spermatophores in Ommastrephid Squids: An Overview. Berl. Palaeobiologische Abh. 2003, 3, 225–240. [Google Scholar]
- Shevtsova, S.; Nesis, K.; Rozengart, E.V. Differences in the Properties of Cholinesterases in the Visual Ganglions of Ommastrephes bartrami (Les.) Squids as an Indicator of the Isolation of Populations from Various Parts of a Discontinuous Range. Okeanologiya 1979, 19, 481–485. [Google Scholar]
- Rozengart, E.V.; Basova, N.E. Differences in Substrate and Inhibitor Specificity of Cholinesterase Activity of Optical Ganglia of the Squid Ommastrephes bartrami (Les) as a Characteristic of Isolation of Populations from Different Areas of a Disjunctive Home Range. Dokl. Biochem. Biophys. 2005, 400, 56–60. [Google Scholar] [CrossRef] [PubMed]
- Lefkaditou, E.; Peristeraki, P.; Chartosia, N.; Salman, A. Recent Findings of Ommastrephes bartramii (Cephalopoda: Ommastrephidae) in the Eastern Mediterranean and the Implication on Its Range Expansion. Mediterr. Mar. Sci. 2011, 12, 413. [Google Scholar] [CrossRef][Green Version]
- Bello, G. Teuthophagous Predators as Collectors of Oceanic Cephalopods: The Case of the Adriatic Sea. Boll. Malacol. 1996, 32, 71–78. [Google Scholar]
- Romeo, T.; Battaglia, P.; Pedà, C.; Perzia, P.; Consoli, P.; Esposito, V.; Andaloro, F. Pelagic Cephalopods of the Central Mediterranean Sea Determined by the Analysis of the Stomach Content of Large Fish Predators. Helgol. Mar. Res. 2012, 66, 295–306. [Google Scholar] [CrossRef]
- Orsi Relini, L. Field Observations of Young Ommastrephes bartrami in Offshore Waters in the Ligurian Sea. Apports Proces-Verbaux Reun. Comm. Int. Pour L’Exploration Sci. Mer. Mediterr. 1990, 32, 243. [Google Scholar]
- Ragonese, S.; Rivas, G.; Jereb, P. New Records of Large Neon Flying Squid (Ommastrephes bartramii Lesueur, 1821) in the Southern Tyrrhenian Sea. Rapp. Commision Int. Pour L’ Explor. Mer Méditerranée 1992, 33, 308. [Google Scholar]
- Bello, G. Ommastrephes bartramii (Cephalopoda, Teuthida, Ommastrephidae) in the Gulf of Taranto, Eastern Mediterranean Sea. Basteria 2007, 71, 97–100. [Google Scholar]
- Akyol, O.; Sen, H. A New Large Pelagic Squid Record for the Northern Aegean Sea of Turkey; Neon Flying Squid, Ommastrephes bartrami (LeSueur, 1821) (Cephalopoda: Ommastrephidae). Turk. J. Fish. Aquat. Sci. 2004, 4, 111–113. [Google Scholar]
- Kapiris, K.; Apostolidis, C.; Baldacconi, R.; Başusta, N.; Bilecenoglu, M.; Bitar, G.; Bobori, D.C.; Boyaci, Y.Ö.; Dimitriadis, C.; Djurović, M.; et al. New Mediterranean Biodiversity Records (April, 2014). Mediterr. Mar. Sci. 2014, 15, 198. [Google Scholar] [CrossRef]
- Franjević, D.; Skaramuca, D.; Katavić, V.; Rajević, N.; Skaramuca, B. Genetic Identification of a Rare Record of Ommastrephes bartramii (Cephalopoda: Ommastrephidae) from the Eastern Adriatic Sea. Folia Biol. (Praha) 2015, 63, 19–23. [Google Scholar] [CrossRef] [PubMed]
- Tsiamis, K.; Aydogan, Ö.; Bailly, N.; Balistreri, P.; Bariche, M.; Carden-Noad, S.; Corsini-Foka, M.; Crocetta, F.; Davidov, B.; Dimitriadis, C.; et al. New Mediterranean Biodiversity Records (July 2015). Mediterr. Mar. Sci. 2015, 16, 472. [Google Scholar] [CrossRef]
- Agus, B.; Carugati, L.; Bellodi, A.; Cannas, R.; Cau, A.; Cera, J.; Coluccia, E.; Melis, R.; Ruiu, S.; Cuccu, D. Molecular and Biological Analysis on Ommastrephes caroli Findings in the Central Western Mediterranean Sea (Sardinian Waters) Including First Age Investigation Using Eye Lenses and Beaks. Front. Mar. Sci. 2021, 8, 683856. [Google Scholar] [CrossRef]
- Gamulin-Brida, H.; Ilijanić, V. Note Sur Quelques Especes de Céphalopods, Rares En Adriatique, Déposées Dans Le Musée de Zoologie de Zagreb. Rapp. Procès-Verbaux La. Réun. Comm. Int. Pour Explor. Sci. Mer. Méditerranée 1965, 18, 207–210. [Google Scholar]
- Guescini, A.; Manfrin, G. Rinvenimento Di Cefalopodi Rari in Adriatico: Abralia veranyi (Ruppell, 1844) e Ommastrephes caroli (Furtado, 1887). Nova Thalass. 1986, 8, 519–521. [Google Scholar]
- Kahle, D.; Wickham, H. Ggmap: Spatial Visualization Withggplot2. R. J. 2013, 5, 144. [Google Scholar] [CrossRef]
- Petrić, M.; Ferri, J.; Škeljo, F.; Krstulović Šifner, S. Body and Beak Measures of Illex coindetii (Cephalopoda: Ommastrephidae) and Their Relation to Growth and Maturity. Cah. Biol. Mar. 2010, 51, 275–287. [Google Scholar]
- Jereb, P.; Ragonese, S. An Outline Of The Biology of the Squid Illex Coindetii in the Sicilian Channel (Central Mediterranean). J. Mar. Biol. Assoc. U. K. 1995, 75, 373–390. [Google Scholar] [CrossRef]
- Clarke, M.R.; Marine Biological Association of the United Kingdom, Natural Environment Research Council (Great Britain) (Eds.) A Handbook for the Identification of Cephalopod Beaks; Oxford Science Publications; Clarendon Press: New York, NY, USA; Oxford University Press: Oxford, UK; New York, NY, USA, 1986; ISBN 978-0-19-857603-7. [Google Scholar]
- Chen, X.; Cao, J.; Chen, Y.; Liu, B.; Tian, S. Effect of the Kuroshio on the Spatial Distribution of the Red Flying Squid Ommastrephes bartramii in the Northwest Pacific Ocean. Bull. Mar. Sci. 2012, 88, 63–71. [Google Scholar] [CrossRef]
- Hurvich, C.M.; Tsai, C.-L. Regression and Time Series Model Selection in Small Samples. Biometrika 1989, 76, 297–307. [Google Scholar] [CrossRef]
- Mazerolle, M. AICcmodavg: Model Selection and Multimodel Inference Based on (Q)AIC(c). R Package Version 2.3.3. Available online: https://cran.r-project.org/package=AICcmodavg (accessed on 9 May 2024).
- R Core Team R: A Language and Environment for Statistical Computing. R Foundation for Statistical Computing, Vienna, Austria. 2021. Available online: https://www.R-project.org/ (accessed on 9 May 2024).
- Baty, F.; Ritz, C.; Charles, S.; Brutsche, M.; Flandrois, J.-P.; Delignette-Muller, M.-L. A Toolbox for Nonlinear Regression in R: The Package Nlstools. J. Stat. Softw. 2015, 66, 1–21. [Google Scholar] [CrossRef]
- Ceriola, L.; Milone, N. Cephalopods Age Determination by Statolith Reading: A Technical Manual. Scientific Cooperation to Support Responsible Fisheries in the Adriatic Sea; GCP/RER/010/ITA/TD-22, Rome, AdriaMed Technical Documents, No 22; FAO: Rome, Italy, 2007; p. 78. [Google Scholar]
- Lipinski, M. Methods for the Validation of Squid Age from Statoliths. J. Mar. Biol. Assoc. U. K. 1986, 66, 505–526. [Google Scholar] [CrossRef]
- Lipinski, M.; Durholtz, M.; Underhill, L. Field Validation of Age Readings from the Statoliths of Chokka Squid (Loligo vulgaris reynaudii d’Orbigny, 1845) and an Assessment of Associated Errors. ICES J. Mar. Sci. 1998, 55, 240–257. [Google Scholar] [CrossRef][Green Version]
- Nakamura, Y.; Sakurai, Y. Validation of Daily Growth Increments in Statoliths of Japanese Common Squid Todarodes pacificus. Nippon Suisan Gakkaishi 1991, 57, 2007–2011. [Google Scholar] [CrossRef]
- Martínez, G.; Shaw, E.M.; Carrillo, M.; Zanuy, S. Protein Salting-Out Method Applied to Genomic DNA Isolation from Fish Whole Blood. BioTechniques 1998, 24, 238–239. [Google Scholar] [CrossRef] [PubMed]
- Simon, C.; Frati, F.; Beckenbach, A.; Crespi, B.; Liu, H.; Flook, P. Evolution, Weighting, and Phylogenetic Utility of Mitochondrial Gene Sequences and a Compilation of Conserved Polymerase Chain Reaction Primers. Ann. Entomol. Soc. Am. 1994, 87, 651–701. [Google Scholar] [CrossRef]
- Folmer, O.; Black, M.; Hoeh, W.; Lutz, R.; Vrijenhoek, R. DNA Primers for Amplification of Mitochondrial Cytochrome c Oxidase Subunit I from Diverse Metazoan Invertebrates. Mol. Mar. Biol. Biotechnol. 1994, 3, 294–299. [Google Scholar] [PubMed]
- Kearse, M.; Moir, R.; Wilson, A.; Stones-Havas, S.; Cheung, M.; Sturrock, S.; Buxton, S.; Cooper, A.; Markowitz, S.; Duran, C.; et al. Geneious Basic: An Integrated and Extendable Desktop Software Platform for the Organization and Analysis of Sequence Data. Bioinformatics 2012, 28, 1647–1649. [Google Scholar] [CrossRef] [PubMed]
- Nguyen, L.-T.; Schmidt, H.A.; von Haeseler, A.; Minh, B.Q. IQ-TREE: A Fast and Effective Stochastic Algorithm for Estimating Maximum-Likelihood Phylogenies. Mol. Biol. Evol. 2015, 32, 268–274. [Google Scholar] [CrossRef] [PubMed]
- Trifinopoulos, J.; Nguyen, L.-T.; von Haeseler, A.; Minh, B.Q. W-IQ-TREE: A Fast Online Phylogenetic Tool for Maximum Likelihood Analysis. Nucleic Acids Res. 2016, 44, W232–W235. [Google Scholar] [CrossRef] [PubMed]
- Kalyaanamoorthy, S.; Minh, B.Q.; Wong, T.K.F.; von Haeseler, A.; Jermiin, L.S. ModelFinder: Fast Model Selection for Accurate Phylogenetic Estimates. Nat. Methods 2017, 14, 587–589. [Google Scholar] [CrossRef] [PubMed]
- Hoang, D.T.; Chernomor, O.; von Haeseler, A.; Minh, B.Q.; Vinh, L.S. UFBoot2: Improving the Ultrafast Bootstrap Approximation. Mol. Biol. Evol. 2018, 35, 518–522. [Google Scholar] [CrossRef] [PubMed]
- Kimura, M. A Simple Method for Estimating Evolutionary Rates of Base Substitutions through Comparative Studies of Nucleotide Sequences. J. Mol. Evol. 1980, 16, 111–120. [Google Scholar] [CrossRef] [PubMed]
- Tamura, K.; Stecher, G.; Kumar, S. MEGA11: Molecular Evolutionary Genetics Analysis Version 11. Mol. Biol. Evol. 2021, 38, 3022–3027. [Google Scholar] [CrossRef] [PubMed]
- Rozas, J.; Ferrer-Mata, A.; Sánchez-DelBarrio, J.C.; Guirao-Rico, S.; Librado, P.; Ramos-Onsins, S.E.; Sánchez-Gracia, A. DnaSP 6: DNA Sequence Polymorphism Analysis of Large Data Sets. Mol. Biol. Evol. 2017, 34, 3299–3302. [Google Scholar] [CrossRef] [PubMed]
- Nei, M. Molecular Evolutionary Genetics; Columbia University Press: New York, NY, USA, 1987; ISBN 978-0-231-88671-0. [Google Scholar]
- Tajima, F. Statistical Method for Testing the Neutral Mutation Hypothesis by DNA Polymorphism. Genetics 1989, 123, 585–595. [Google Scholar] [CrossRef] [PubMed]
- Rogers, A.; Harpeding, H. Population Growth Makes Waves in the Distribution of Pairwise Genetic Differences. Mol. Biol. Evol. 1992, 9, 552–569. [Google Scholar] [CrossRef]
- Ramos-Onsins, S.E.; Rozas, J. Statistical Properties of New Neutrality Tests Against Population Growth. Mol. Biol. Evol. 2002, 19, 2092–2100. [Google Scholar] [CrossRef] [PubMed]
- Leigh, J.W.; Bryant, D. popart: Full-feature Software for Haplotype Network Construction. Methods Ecol. Evol. 2015, 6, 1110–1116. [Google Scholar] [CrossRef]
- Excoffier, L.; Lischer, H.E.L. Arlequin Suite Ver 3.5: A New Series of Programs to Perform Population Genetics Analyses under Linux and Windows. Mol. Ecol. Resour. 2010, 10, 564–567. [Google Scholar] [CrossRef] [PubMed]
- Fu, Y.-X. Statistical Tests of Neutrality of Mutations Against Population Growth, Hitchhiking and Background Selection. Genetics 1997, 147, 915–925. [Google Scholar] [CrossRef] [PubMed]
- Wang, J.; Yu, W.; Chen, X.; Lei, L.; Chen, Y. Detection of Potential Fishing Zones for Neon Flying Squid Based on Remote-Sensing Data in the Northwest Pacific Ocean Using an Artificial Neural Network. Int. J. Remote Sens. 2015, 36, 3317–3330. [Google Scholar] [CrossRef]
- Wang, Y.; Han, P.; Fang, Z.; Chen, X. Climate-Induced Life Cycle and Growth Variations of Neon Flying Squid (Ommastrephes bartramii) in the North Pacific Ocean. Aquac. Fish. 2023, 8, 211–220. [Google Scholar] [CrossRef]
- Aneesh Kumar, K.; Pravin, P.; Ragesh, N.; Meenakumari, B. Length-Weight Relationship of Neon Flying Squid Ommastrephes bartramii (Cephalopoda: Ommastrephidae) Cought from Indian Sector of Southern Ocean. Indian. J. Geo-Mar. Sci. 2013, 43, 1581–1584. [Google Scholar]
- Han, P.; Wang, Y.; Fang, Z.; Chen, X.J. Age and Growth of Ommastrephes bartramii in Eastern and Western Cohorts in North Pacific Based on Statolith Information. Chin. J. Ecol. 2022, 41, 393–403. [Google Scholar]
- Pecl, G.T.; Jackson, G.D. The Potential Impacts of Climate Change on Inshore Squid: Biology, Ecology and Fisheries. Rev. Fish Biol. Fish. 2008, 18, 373–385. [Google Scholar] [CrossRef]
- Yatsu, A.; Mori, J. Early Growth of the Autumn Cohort of Neon Flying Squid Ommastrephes bartramii, in the North Pacific Ocean. Fish. Res. 2000, 45, 189–194. [Google Scholar] [CrossRef]
- Chen, C.-S.; Chiu, T.-S. Variations of Life History Parameters in Two Geographical Groups of the Neon Flying Squid, Ommastrephes bartramii, from the North Pacific. Fish. Res. 2003, 63, 349–366. [Google Scholar] [CrossRef]
- Fang, Z.; Han, P.; Wang, Y.; Chen, Y.; Chen, X. Interannual Variability of Body Size and Beak Morphology of the Squid Ommastrephes bartramii in the North Pacific Ocean in the Context of Climate Change. Hydrobiologia 2021, 848, 1295–1309. [Google Scholar] [CrossRef]
- Han, P.; Li, J.; Dan, Y.; Liu, B.; Chen, X.; Fang, Z. Decadal Changes in the Annual Growth of Two Commercial Ommastrephid Species in the Pacific Ocean. Fishes 2022, 7, 280. [Google Scholar] [CrossRef]
- Guerra, Á.; Allcock, L.; Pereira, J. Cephalopod Life History, Ecology and Fisheries: An Introduction. Fish. Res. 2010, 106, 117–124. [Google Scholar] [CrossRef]
- Nigmatullin, C.M. Las Especies Del Calamar Mas Abundantes Del Atlantico Sudoeste y Sinopsis Sobre Ecologia Del Calamar Illex argentinus. Frente Marit. 1989, 5A, 71–81. [Google Scholar]
- Dawe, E.G.; Beck, P.C. Population Structure, Growth, and Sexual Maturation of Short-Finned Squid (Illex illecebrosus) at Newfoundland. Can. J. Fish. Aquat. Sci. 1997, 54, 137–146. [Google Scholar] [CrossRef]
- Arkhipkin, A.I.; Jereb, P.; Ragonese, S. Growth and Maturation in Two Successive Seasonal Groups of the Short-Finned Squid, Illex coindetii from the Strait of Sicily (Central Mediterranean). ICES J. Mar. Sci. 2000, 57, 31–41. [Google Scholar] [CrossRef]
- Markaida, U.; Quiñónez-Velázquez, C.; Sosa-Nishizaki, O. Age, Growth and Maturation of Jumbo Squid Dosidicus gigas (Cephalopoda: Ommastrephidae) from the Gulf of California, Mexico. Fish. Res. 2004, 66, 31–47. [Google Scholar] [CrossRef]
- Goicochea-Vigo, C.; Morales-Bojórquez, E.; Zepeda-Benitez, V.Y.; Hidalgo-de-la-Toba, J.Á.; Aguirre-Villaseñor, H.; Mostacero-Koc, J.; Atoche-Suclupe, D. Age and Growth Estimates of the Jumbo Flying Squid (Dosidicus gigas) off Peru. Aquat. Living Resour. 2019, 32, 7. [Google Scholar] [CrossRef]
- Yatsu, A.; Midorikawa, S.; Shimada, T.; Uozumi, Y. Age and Growth of the Neon Flying Squid, Ommastrephes bartrami, in the North Pacific Ocean. Fish. Res. 1997, 29, 257–270. [Google Scholar] [CrossRef]
- Cherel, Y.; Hobson, K.A. Stable Isotopes, Beaks and Predators: A New Tool to Study the Trophic Ecology of Cephalopods, Including Giant and Colossal Squids. Proc. R. Soc. B Biol. Sci. 2005, 272, 1601–1607. [Google Scholar] [CrossRef] [PubMed]
- Chen, X.; Lu, H.; Liu, B.; Chen, Y.; Li, S.; Jin, M. Species Identification of Ommastrephes bartramii, Dosidicus gigas, Sthenoteuthis oualaniensis and Illex argentinus (Ommastrephidae) Using Beak Morphological Variables. Sci. Mar. 2012, 76, 473–481. [Google Scholar] [CrossRef]
- Fang, Z.; Li, J.; Thompson, K.; Hu, F.; Chen, X.; Liu, B.; Chen, Y. Age, Growth, and Population Structure of the Red Flying Squid (Ommastrephes bartramii) in the North Pacific Ocean, Determined from Beak Microstructure. Fish. Bull. 2016, 114, 34–44. [Google Scholar] [CrossRef]
- Hebert, P.D.N.; Ratnasingham, S.; De Waard, J.R. Barcoding Animal Life: Cytochrome c Oxidase Subunit 1 Divergences among Closely Related Species. Proc. R. Soc. Lond. B Biol. Sci. 2003, 270, S96–S99. [Google Scholar] [CrossRef] [PubMed]
- Pérez-Losada, M.; Nolte, M.J.; Crandall, K.A.; Shaw, P.W. Testing Hypotheses of Population Structuring in the Northeast Atlantic Ocean and Mediterranean Sea Using the Common Cuttlefish Sepia officinalis. Mol. Ecol. 2007, 16, 2667–2679. [Google Scholar] [CrossRef]
- Tine, M.; Kuhl, H.; Gagnaire, P.-A.; Louro, B.; Desmarais, E.; Martins, R.S.T.; Hecht, J.; Knaust, F.; Belkhir, K.; Klages, S.; et al. European Sea Bass Genome and Its Variation Provide Insights into Adaptation to Euryhalinity and Speciation. Nat. Commun. 2014, 5, 5770. [Google Scholar] [CrossRef] [PubMed]
- De Luca, D.; Catanese, G.; Procaccini, G.; Fiorito, G. Octopus vulgaris (Cuvier, 1797) in the Mediterranean Sea: Genetic Diversity and Population Structure. PLoS ONE 2016, 11, e0149496. [Google Scholar] [CrossRef] [PubMed]
- Matić-Skoko, S.; Šegvić-Bubić, T.; Mandić, I.; Izquierdo-Gomez, D.; Arneri, E.; Carbonara, P.; Grati, F.; Ikica, Z.; Kolitari, J.; Milone, N.; et al. Evidence of Subtle Genetic Structure in the Sympatric Species Mullus barbatus and Mullus surmuletus (Linnaeus, 1758) in the Mediterranean Sea. Sci. Rep. 2018, 8, 676. [Google Scholar] [CrossRef] [PubMed]
- Alonso, H.; Granadeiro, J.P.; Waap, S.; Xavier, J.; Symondson, W.O.C.; Ramos, J.A.; Catry, P. An holistic ecological analysis of the diet of Cory’s shearwaters using prey morphological characters and DNA barcoding. Mol. Ecol. 2014, 23, 3719–3733. [Google Scholar] [CrossRef]
- Carlini, D.B.; Graves, J. Phylogenetic analysis of cytochrome c oxidase I sequences to determine higher-level relationships within the coleoid cephalopods. Bull. Mar. Sci. 1999, 64, 57–76. [Google Scholar]
- Carrasco, S.A.; Meerhoff, E.; Yannicelly, B.; Ibáñez, C.M. First Records and Descriptions of Early Life Stages of Cephalopods from Rapa Nui (Easter Island) and the Nearby Apolo Seamount. Pac. Sci. 2019, 73, 163. [Google Scholar] [CrossRef] [PubMed]
- Giribet, G.; Okusu, A.; Lindgren, A.R.; Huff, S.W.; Schrödl, M.; Nishiguchi, M.K. Evidence for a clade composed of molluscs with serially repeated structures: Monoplacophorans are related to chitons. Proc. Natl. Acad. Sci. USA 2006, 103, 7723–7728. [Google Scholar] [CrossRef] [PubMed]
- Lindgren, A.R. Molecular inference of phylogenetic relationships among Decapodiformes (Mollusca: Cephalopoda) with special focus on the squid Order Oegopsida. Mol. Phylogenet. Evol. 2010, 56, 77–90. [Google Scholar] [CrossRef] [PubMed]
- Strugnell, J.; Norman, M.; Jackson, J.; Drummond, A.J.; Cooper, A. Molecular phylogeny of coleoid cephalopods (Mollusca: Cephalopoda) using a multigene approach; the effect of data partitioning on resolving phylogenies in a Bayesian framework. Mol. Phylogenet. Evol. 2005, 37, 426–441. [Google Scholar] [CrossRef] [PubMed]
- Waap, S.; Symondson, W.O.C.; Granadeiro, J.P.; Alonso, H.; Serra-Gonçalves, C.; Dias, M.P.; Catry, P. The diet of a nocturnal pelagic predator, the Bulwer’s petrel, across the lunar cycle. Sci. Rep. 2017, 7, 1384. [Google Scholar] [CrossRef] [PubMed]
- Wakabayashi, T.; Suzuki, N.; Sakai, M.; Ichii, T.; Chow, S. Identification of ommastrephid squid paralarvae collected in northern Hawaiian waters and phylogenetic implications for the family Ommastrephidae using mtDNA analysis. Fish. Sci. 2006, 72, 494–502. [Google Scholar] [CrossRef]
- Wakabayashi, T.; Wada, S.; Ochi, Y.; Ichii, T.; Sakai, M. Genetic differentiation of the neon flying squid Ommastrephes bartramii between North Pacific and South Atlantic populations. Nippon Suisan Gakkaishi 2012, 78, 198–203. [Google Scholar] [CrossRef][Green Version]
- Wakabayashi, T.; Suzuki, N.; Sakai, M.; Ichii, T.; Chow, S. Phylogenetic relationships among the family Ommastrephidae (Mollusca: Cephalopoda) inferred from two mitochondrial DNA gene sequences. Mar. Genom. 2012, 7, 11–16. [Google Scholar] [CrossRef] [PubMed]








| ID | Sex | BW | DML | TL | HL | FL | FW | MW | HW | EW | LD | AL-R | AL-L |
|---|---|---|---|---|---|---|---|---|---|---|---|---|---|
| 1 | N | 75.20 | 149 | 287 | 26 | 59 | 104 | 37 | 29 | 24 | 9 | 57 | 59 |
| 2 | F | 89.80 | 152 | 298 | 33 | 62 | 109 | 40 | 28 | 24 | 8 | 63 | 61 |
| 3 | M | 74.60 | 145 | 288 | 26 | 56 | 96 | 33 | 27 | 26 | 8 | 58 | 56 |
| 4 | F | 84.70 | 149 | 266 | 29 | 59 | 105 | 35 | 28 | 25 | 6 | 64 | 65 |
| 5 | N | 34.20 | 119 | 224 | 22 | 43 | 75 | 25 | 19 | 14 | 4 | 44 | 44 |
| 6 | M | 39.70 | 112 | 241 | 25 | 42 | 81 | 30 | 20 | 14 | 6 | 44 | 44 |
| 7 | M | 35.70 | 115 | 205 | 23 | 41 | 77 | 29 | 20 | 16 | 7 | 41 | 38 |
| 8 | N | 31.20 | 103 | 202 | 22 | 37 | 73 | 28 | 19 | 15 | 6 | 37 | 36 |
| 9 | N | 34.40 | 111 | 229 | 22 | 41 | 76 | 28 | 18 | 14 | 6 | 46 | 44 |
| 10 | N | 28.50 | 109 | 199 | 21 | 37 | 72 | 26 | 17 | 14 | 6 | 35 | 38 |
| 11 | N | 16.00 | 90 | 168 | 16 | 29 | 56 | 21 | 17 | 14 | 4 | 25 | 27 |
| 12 | N | 23.60 | 102 | 191 | 20 | 37 | 68 | 27 | 19 | 17 | 6 | 38 | 38 |
| 13 | N | 16.20 | 90 | 172 | 13 | 30 | 59 | 24 | 13 | 11 | 3 | 26 | 27 |
| 14 | F | 53.20 | 131 | 257 | 24 | 48 | 89 | 34 | 25 | 21 | 6 | 55 | 56 |
| 15 | N | 20.70 | 96 | 170 | 16 | 35 | 59 | 24 | 14 | 10 | 4 | 29 | 30 |
| 16 | N | 40.84 | 116 | 249 | 30 | 43 | 81 | 34 | 14 | 11 | - | 49 | 47 |
| 17 | N | 7.57 | 65 | 133 | 19 | 19 | 44 | 24 | 12 | 9 | 5 | 26 | 27 |
| 18 | N | 10.76 | 72 | 152 | 21 | 23 | 49 | 22 | 13 | 7 | 6 | 24 | 28 |
| 19 | N | 16.15 | 89 | 179 | 19 | 28 | 56 | 24 | 11 | 9 | 4 | 33 | 35 |
| 20 | N | 12.39 | 82 | 162 | 19 | 26 | 47 | 24 | 14 | 9 | 6 | 28 | 29 |
| 21 | N | 14.06 | 84 | 168 | 18 | 25 | 52 | 26 | 14 | 6 | 5 | 32 | 31 |
| 22 | N | 10.02 | 71 | 137 | 18 | 18 | 45 | 26 | 10 | 6 | 4 | 27 | 28 |
| 23 | N | 9.68 | 73 | 144 | 12 | 23 | 49 | 21 | 11 | 8 | 4 | 29 | 28 |
| Variable | Min | Max | Mean | SD |
|---|---|---|---|---|
| UCL | 4.61 | 12.03 | 7.79 | 2.10 |
| UHL | 3.65 | 10.12 | 6.29 | 1.99 |
| UJW | 0.71 | 2.05 | 1.16 | 0.44 |
| ULWa | 1.67 | 5.43 | 3.53 | 1.07 |
| URL | 0.87 | 2.85 | 1.56 | 0.64 |
| UWL | 0.95 | 3.01 | 1.81 | 0.58 |
| LBL | 0.72 | 6.70 | 3.70 | 2.18 |
| LCL | 1.89 | 6.31 | 3.97 | 1.34 |
| LHL | 0.96 | 3.83 | 2.28 | 0.75 |
| LJW | 0.78 | 3.42 | 1.79 | 0.70 |
| LRL | 0.92 | 2.57 | 1.50 | 0.47 |
| LWL | 2.49 | 4.90 | 3.50 | 0.69 |
| Gene Region | N | O. bartramii | O. cylindraceus | O. brevimanus |
|---|---|---|---|---|
| 16S rRNA | ||||
| O. bartramii | 12 | - | ||
| O. cylindraceus | 16 | 1.05 | - | |
| O. brevimanus | 3 | 0.87 | 1.20 | - |
| O. caroli | 37 | 2.19 | 2.51 | 1.39 |
| COI | ||||
| O. bartramii | 6 | - | ||
| O. cylindraceus | 10 | 3.70 | - | |
| O. brevimanus | 3 | 3.43 | 2.51 | - |
| O. caroli | 31 | 8.48 | 9.13 | 9.24 |
| Gene Region | N | Mean | Range |
|---|---|---|---|
| 16S rRNA | |||
| O. bartramii | 12 | 0.84 | 0–3.77 |
| O. cylindraceus | 16 | 0.15 | 0–0.58 |
| O. brevimanus | 3 | 0 | 0 |
| O. caroli | 37 | 0.25 | 0–1.16 |
| COI | |||
| O. bartramii | 6 | 0.64 | 0–1.75 |
| O. cylindraceus | 10 | 0.08 | 0–0.35 |
| O. brevimanus | 3 | 0 | 0 |
| O. caroli | 31 | 0.20 | 0–0.70 |
| Gene Region | N | H | S | Hd | π | k | D | FS | r | R2 |
|---|---|---|---|---|---|---|---|---|---|---|
| 16S rRNA | ||||||||||
| Adriatic | 21 | 5 | 3 | 0.352 | 0.0013 | 0.457 | −1.1867 | −3.188 * | 0.1891 | 0.0932 |
| Central Western Mediterranean | 3 | 1 | 0 | 0.000 | 0.0000 | 0.000 | 0.0000 | 0.000 | - | - |
| Northeast Atlantic | 11 | 3 | 2 | 0.345 | 0.0011 | 0.364 | −1.4296 | −1.246 | 0.2030 | 0.1928 |
| Global dataset | 35 | 7 | 5 | 0.605 | 0.0022 | 0.763 | −0.9755 | −3.502 | 0.1201 | 0.0815 |
| COI | ||||||||||
| Adriatic | 23 | 5 | 5 | 0.565 | 0.0014 | 0.857 | −1.1533 | −1.447 | 0.0570 | 0.0872 |
| Central Western Mediterranean | 3 | 2 | 1 | 0.667 | 0.0012 | 0.667 | 0.0000 | 0.201 | 0.5556 | 0.4714 |
| Northeast Atlantic | 4 | 2 | 1 | 0.667 | 0.0012 | 0.667 | 1.6329 | 0.540 | 0.5560 | 0.3333 |
| Global dataset | 30 | 8 | 8 | 0.671 | 0.0019 | 1.074 | −1.4228 | −3.661 | 0.0468 | 0.0665 |
| Gene Region | Central Western Mediterranean | Adriatic | Northeast Atlantic |
|---|---|---|---|
| 16S rRNA | |||
| Central Western Mediterranean | - | −0.1359 | 0.7309 |
| Adriatic | −0.1650 | - | 0.6361 * |
| Northeast Atlantic | 0.7591 | 0.6587 * | - |
| COI | |||
| Central Western Mediterranean | - | −0.0658 | 0.3333 |
| Adriatic | 0.0008 | - | 0.4062 * |
| Northeast Atlantic | 0.6380 | 0.5948 * | - |
Disclaimer/Publisher’s Note: The statements, opinions and data contained in all publications are solely those of the individual author(s) and contributor(s) and not of MDPI and/or the editor(s). MDPI and/or the editor(s) disclaim responsibility for any injury to people or property resulting from any ideas, methods, instructions or products referred to in the content. |
© 2024 by the authors. Licensee MDPI, Basel, Switzerland. This article is an open access article distributed under the terms and conditions of the Creative Commons Attribution (CC BY) license (https://creativecommons.org/licenses/by/4.0/).
Share and Cite
Petrić, M.; Dadić, M.; Roje, D.; Udovičić, D.; Stanić, R.; Trumbić, Ž. Ommastrephes caroli (Cephalopoda: Ommastrephidae) from the Adriatic Sea: Morphometry, Age, and Genetic Characterization. J. Mar. Sci. Eng. 2024, 12, 1182. https://doi.org/10.3390/jmse12071182
Petrić M, Dadić M, Roje D, Udovičić D, Stanić R, Trumbić Ž. Ommastrephes caroli (Cephalopoda: Ommastrephidae) from the Adriatic Sea: Morphometry, Age, and Genetic Characterization. Journal of Marine Science and Engineering. 2024; 12(7):1182. https://doi.org/10.3390/jmse12071182
Chicago/Turabian StylePetrić, Mirela, Marija Dadić, Damir Roje, David Udovičić, Rino Stanić, and Željka Trumbić. 2024. "Ommastrephes caroli (Cephalopoda: Ommastrephidae) from the Adriatic Sea: Morphometry, Age, and Genetic Characterization" Journal of Marine Science and Engineering 12, no. 7: 1182. https://doi.org/10.3390/jmse12071182
APA StylePetrić, M., Dadić, M., Roje, D., Udovičić, D., Stanić, R., & Trumbić, Ž. (2024). Ommastrephes caroli (Cephalopoda: Ommastrephidae) from the Adriatic Sea: Morphometry, Age, and Genetic Characterization. Journal of Marine Science and Engineering, 12(7), 1182. https://doi.org/10.3390/jmse12071182

