Characteristics of Marine Heatwaves in the Southeastern Baltic Sea Based on Long-Term In Situ and Satellite Observations
Abstract
1. Introduction
2. Materials and Methods
2.1. Study Area
2.2. Data
2.3. Marine Heatwave Identification
3. Results
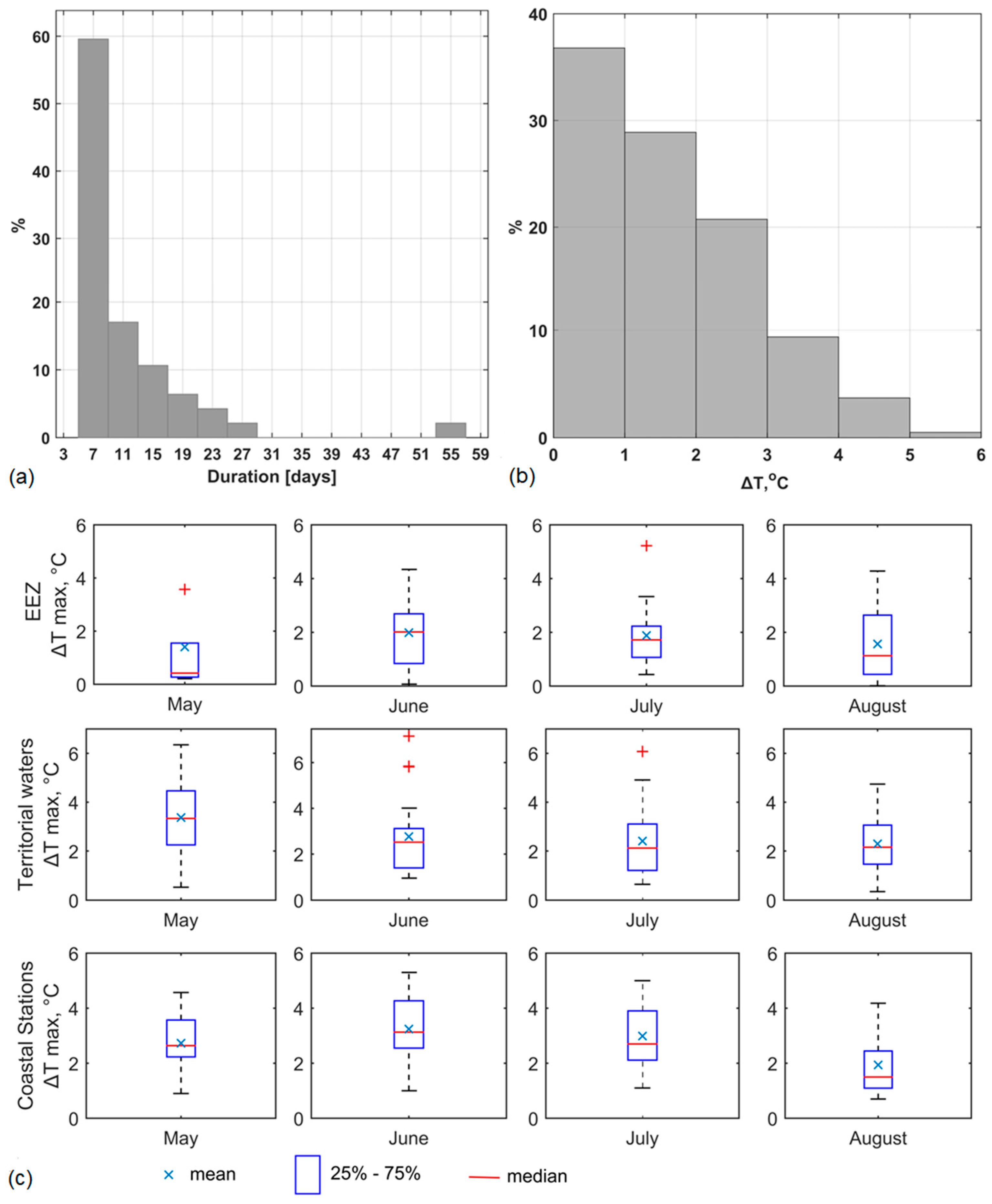
3.1. General Characteristics of MHW
3.2. Major MHW in the Summer of 2021
3.3. Upwelling and MHWs
4. Discussion
5. Conclusions
Author Contributions
Funding
Institutional Review Board Statement
Informed Consent Statement
Data Availability Statement
Acknowledgments
Conflicts of Interest
References
- HELCOM. State of the Baltic Sea. Third HELCOM Holistic Assessment 2016–2021. Baltic Sea Environment Proceedings n°194. 2023. Available online: https://helcom.fi/baltic-sea-trends/holistic-assessments/state-of-the-baltic-sea-2023/ (accessed on 12 February 2024).
- HELCOM. The Baltic Marine Environment 1999–2002. Baltic Sea Environment Proceedings No. 87. 2003. Available online: https://helcom.fi/wp-content/uploads/2019/10/BSEP87.pdf (accessed on 12 February 2024).
- Franz, M.; Lieberum, C.; Bock, G.; Karez, R. Environmental Parameters of Shallow Water Habitats in the SW Baltic Sea. Earth Syst. Sci. Data 2019, 11, 947–957. [Google Scholar] [CrossRef]
- Intergovernmental Panel on Climate Change (IPCC). Summary for Policymakers. In Climate Change 2013: The Physical Science Basis. Contribution of Working Group I to the Fifth Assessment Report of the Intergovernmental Panel on Climate Change; Stocker, T.F., Qin, D., Plattner, G.-K., Tignor, M., Allen, S.K., Boschung, J., Nauels, A., Xia, Y., Bex, V., Midgley, P.M., Eds.; Cambridge University Press: Cambridge, UK, 2013. [Google Scholar]
- Dutheil, C.; Meier, H.E.M.; Gröger, M.; Börgel, F. Warming of Baltic Sea Water Masses since 1850. Clim. Dyn. 2023, 61, 1311–1331. [Google Scholar] [CrossRef]
- HELCOM. Climate Change in the Baltic Sea Area: HELCOM Thematic Assessment in 2013. Baltic Sea Environment Proceedings No. 137. 2013. Available online: https://www.helcom.fi/wp-content/uploads/2019/10/BSEP137.pdf (accessed on 12 February 2024).
- Meier, H.E.M.; Dieterich, C.; Gröger, M.; Dutheil, C.; Börgel, F.; Safonova, K.; Christensen, O.B.; Kjellström, E. Oceanographic Regional Climate Projections for the Baltic Sea until 2100. Earth Syst. Dyn. 2022, 13, 159–199. [Google Scholar] [CrossRef]
- Zalewska, T.; Wilman, B.; Łapeta, B.; Marosz, M.; Biernacik, D.; Wochna, A.; Saniewski, M.; Grajewska, A.; Iwaniak, M. Seawater temperature changes in the southern Baltic Sea (1959–2019) forced by climate change. Oceanologia 2023, 66, 37–55. [Google Scholar] [CrossRef]
- Idzelytė, R.; Čerkasova, N.; Mėžinė, J.; Dabulevičienė, T.; Razinkovas-Baziukas, A.; Ertürk, A.; Umgiesser, G. Coupled Hydrological and Hydrodynamic Modelling Application for Climate Change Impact Assessment in the Nemunas River Watershed–Curonian Lagoon–Southeastern Baltic Sea Continuum. Ocean Sci. 2023, 19, 1047–1066. [Google Scholar] [CrossRef]
- Marin, M.; Feng, M.; Phillips, H.E.; Bindoff, N.L. A Global, Multiproduct Analysis of Coastal Marine Heatwaves: Distribution, Characteristics, and Long-Term Trends. J. Geophys. Res. Oceans 2021, 126, e2020JC016708. [Google Scholar] [CrossRef]
- Lonhart, S.I.; Jeppesen, R.; Beas-Luna, R.; Crooks, J.A.; Lorda, J. Shifts in the Distribution and Abundance of Coastal Marine Species along the Eastern Pacific Ocean during Marine Heatwaves from 2013 to 2018. Mar. Biodivers. Rec. 2019, 12, 13. [Google Scholar] [CrossRef]
- Welch, H.; Savoca, M.S.; Brodie, S.; Jacox, M.G.; Muhling, B.A.; Clay, T.A.; Cimino, M.A.; Benson, S.R.; Block, B.A.; Conners, M.G.; et al. Impacts of Marine Heatwaves on Top Predator Distributions Are Variable but Predictable. Nat. Commun. 2023, 14, 5188. [Google Scholar] [CrossRef] [PubMed]
- Garrabou, J.; Gómez-Gras, D.; Medrano, A.; Cerrano, C.; Ponti, M.; Schlegel, R.; Bensoussan, N.; Turicchia, E.; Sini, M.; Gerovasileiou, V.; et al. Marine Heatwaves Drive Recurrent Mass Mortalities in the Mediterranean Sea. Glob. Change Biol. 2022, 28, 5708–5725. [Google Scholar] [CrossRef]
- Roberts, S.D.; Van Ruth, P.D.; Wilkinson, C.; Bastianello, S.S.; Bansemer, M.S. Marine Heatwave, Harmful Algae Blooms and an Extensive Fish Kill Event During 2013 in South Australia. Front. Mar. Sci. 2019, 6, 610. [Google Scholar] [CrossRef]
- Dayan, H.; McAdam, R.; Juza, M.; Masina, S.; Speich, S. Marine Heat Waves in the Mediterranean Sea: An Assessment from the Surface to the Subsurface to Meet National Needs. Front. Mar. Sci. 2023, 10, 1045138. [Google Scholar] [CrossRef]
- Pastor, F.; Khodayar, S. Marine Heat Waves: Characterizing a Major Climate Impact in the Mediterranean. Sci Total Environ 2023, 861, 160621. [Google Scholar] [CrossRef]
- Androulidakis, Y.S.; Krestenitis, Y.N. Sea Surface Temperature Variability and Marine Heat Waves over the Aegean, Ionian, and Cretan Seas from 2008–2021. J. Mar. Sci. Eng. 2022, 10, 42. [Google Scholar] [CrossRef]
- Mohamed, B.; Ibrahim, O.; Nagy, H. Sea Surface Temperature Variability and Marine Heatwaves in the Black Sea. Remote Sens. 2022, 14, 2383. [Google Scholar] [CrossRef]
- Gröger, M.; Dutheil, C.; Börgel, F.; Meier, M.H.E. Drivers of Marine Heatwaves in a Stratified Marginal Sea. Clim. Dyn. 2024, 62, 3231–3243. [Google Scholar] [CrossRef]
- Safonova, K.; Meier, H.E.M.; Gröger, M. Summer Heatwaves on the Baltic Sea Seabed Contribute to Oxygen Deficiency in Shallow Areas. Commun. Earth Environ. 2024, 5, 1–12. [Google Scholar] [CrossRef]
- Travkin, V.S.; Tikhonova, N.A.; Zakharchuk, E.A. Characteristics of Marine Heatwaves of the Baltic Sea for 1993–2022 and Their Driving Factors. Pure Appl. Geophys. 2024, 1–15. [Google Scholar] [CrossRef]
- Oliver, E.C.J.; Burrows, M.T.; Donat, M.G.; Sen Gupta, A.; Alexander, L.V.; Perkins-Kirkpatrick, S.E.; Benthuysen, J.A.; Hobday, A.J.; Holbrook, N.J.; Moore, P.J.; et al. Projected Marine Heatwaves in the 21st Century and the Potential for Ecological Impact. Front. Mar. Sci. 2019, 6, 734. [Google Scholar] [CrossRef]
- Kauppi, L.; Villnäs, A. Marine Heatwaves of Differing Intensities Lead to Distinct Patterns in Seafloor Functioning. Proc. R. Soc. B 2022, 289, 20221159. [Google Scholar] [CrossRef]
- Conley, D.J.; Carstensen, J.; Aigars, J.; Axe, P.; Bonsdorff, E.; Eremina, T.; Haahti, B.-M.; Humborg, C.; Jonsson, P.; Kotta, J.; et al. Hypoxia Is Increasing in the Coastal Zone of the Baltic Sea. Environ. Sci. Technol. 2011, 45, 6777–6783. [Google Scholar] [CrossRef]
- Humborg, C.; Geibel, M.C.; Sun, X.; McCrackin, M.; Mörth, C.-M.; Stranne, C.; Jakobsson, M.; Gustafsson, B.; Sokolov, A.; Norkko, A.; et al. High Emissions of Carbon Dioxide and Methane From the Coastal Baltic Sea at the End of a Summer Heat Wave. Front. Mar. Sci. 2019, 6, 493. [Google Scholar] [CrossRef]
- Kozlov, I.; Dailidienė, I.; Korosov, A.; Klemas, V.; Mingėlaitė, T. MODIS-Based Sea Surface Temperature of the Baltic Sea Curonian Lagoon. J. Mar. Syst. 2014, 129, 157–165. [Google Scholar] [CrossRef]
- Zhu, S.; Luo, Y.; Ptak, M.; Sojka, M.; Ji, Q.; Choiński, A.; Kuang, M. A hybrid model for the forecasting of sea surface water temperature using the information of air temperature: A case study of the Baltic Sea. All Earth 2022, 34, 27–38. [Google Scholar] [CrossRef]
- Dabuleviciene, T.; Kozlov, I.E.; Vaiciute, D.; Dailidiene, I. Remote Sensing of Coastal Upwelling in the South-Eastern Baltic Sea: Statistical Properties and Implications for the Coastal Environment. Remote Sens. 2018, 10, 1752. [Google Scholar] [CrossRef]
- Vaičiūtė, D.; Sokolov, Y.; Bučas, M.; Dabulevičienė, T.; Zotova, O. Earth Observation-Based Cyanobacterial Bloom Index Testing for Ecological Status Assessment in the Open, Coastal and Transitional Waters of the Baltic and Black Seas. Remote Sens. 2024, 16, 696. [Google Scholar] [CrossRef]
- Hobday, A.J.; Alexander, L.V.; Perkins, S.E.; Smale, D.A.; Straub, S.C.; Oliver, E.C.J.; Benthuysen, J.A.; Burrows, M.T.; Donat, M.G.; Feng, M.; et al. A Hierarchical Approach to Defining Marine Heatwaves. Prog. Oceanogr. 2016, 141, 227–238. [Google Scholar] [CrossRef]
- Schlegel, R.W.; Oliver, E.C.J.; Hobday, A.J.; Smit, A.J. Detecting Marine Heatwaves With Sub-Optimal Data. Front. Mar. Sci. 2019, 6, 737. [Google Scholar] [CrossRef]
- Uiboupin, R.; Laanemets, J. Upwelling Characteristics Derived from Satellite Sea Surface Temperature Data in the Gulf of Finland, Baltic Sea. Boreal Environ. Res. 2009, 14, 297–304. [Google Scholar]
- Delpeche-Ellmann, N.; Mingelaitė, T.; Soomere, T. Examining Lagrangian Surface Transport during a Coastal Upwelling in the Gulf of Finland, Baltic Sea. J. Mar. Syst. 2017, 171, 21–30. [Google Scholar] [CrossRef]
- Dabuleviciene, T.; Vaiciute, D.; Kozlov, I.E. Chlorophyll—A Variability during Upwelling Events in the South-Eastern Baltic Sea and in the Curonian Lagoon from Satellite Observations. Remote Sens. 2020, 12, 3661. [Google Scholar] [CrossRef]
- Green, T.J.; Siboni, N.; King, W.L.; Labbate, M.; Seymour, J.R.; Raftos, D. Simulated Marine Heat Wave Alters Abundance and Structure of Vibrio Populations Associated with the Pacific Oyster Resulting in a Mass Mortality Event. Microb. Ecol. 2019, 77, 736–747. [Google Scholar] [CrossRef]
- Masanja, F.; Yang, K.; Xu, Y.; He, G.; Liu, X.; Xu, X.; Xiaoyan, J.; Xin, L.; Mkuye, R.; Deng, Y.; et al. Impacts of Marine Heat Extremes on Bivalves. Front. Mar. Sci. 2023, 10, 1159261. [Google Scholar] [CrossRef]
- Brown, M.V.; Ostrowski, M.; Messer, L.F.; Bramucci, A.; van de Kamp, J.; Smith, M.C.; Bissett, A.; Seymour, J.; Hobday, A.J.; Bodrossy, L. A Marine Heatwave Drives Significant Shifts in Pelagic Microbiology. Commun. Biol. 2024, 7, 125. [Google Scholar] [CrossRef] [PubMed]
- Smith, K.E.; Burrows, M.T.; Hobday, A.J.; Gupta, A.S.; Moore, P.J.; Thomsen, M.; Wernberg, T.; Smale, D.A. Socioeconomic Impacts of Marine Heatwaves: Global Issues and Opportunities. Science 2021, 374, eabj3593. [Google Scholar] [CrossRef]
- Gao, G.; Zhao, X.; Jiang, M.; Gao, L. Impacts of Marine Heatwaves on Algal Structure and Carbon Sequestration in Conjunction With Ocean Warming and Acidification. Front. Mar. Sci. 2021, 8, 758651. [Google Scholar] [CrossRef]
- Spillman, C.M.; Smith, G.A.; Hobday, A.J.; Hartog, J.R. Onset and Decline Rates of Marine Heatwaves: Global Trends, Seasonal Forecasts and Marine Management. Front. Clim. 2021, 3, 801217. [Google Scholar] [CrossRef]
- Baker-Austin, C.; Trinanes, J.A.; Salmenlinna, S.; Löfdahl, M.; Siitonen, A.; Taylor, N.G.H.; Martinez-Urtaza, J. Heat Wave–Associated Vibriosis, Sweden and Finland, 2014. Emerg. Infect. Dis. 2016, 22, 1216–1220. [Google Scholar] [CrossRef] [PubMed]
- Brehm, T.T.; Berneking, L.; Martins, M.S.; Dupke, S.; Jacob, D.; Drechsel, O.; Bohnert, J.; Becker, K.; Kramer, A.; Christner, M.; et al. Heatwave-Associated Vibrio Infections in Germany, 2018 and 2019. Eurosurveillance 2021, 26, 2002041. [Google Scholar] [CrossRef]
- Mohamed, B.; Barth, A.; Alvera-Azcárate, A. Extreme Marine Heatwaves and Cold-Spells Events in the Southern North Sea: Classifications, Patterns, and Trends. Front. Mar. Sci. 2023, 10, 1258117. [Google Scholar] [CrossRef]
- Hamdeno, M.; Alvera-Azcaráte, A. Marine Heatwaves Characteristics in the Mediterranean Sea: Case Study the 2019 Heatwave Events. Front. Mar. Sci. 2023, 10, 1093760. [Google Scholar] [CrossRef]
- Simon, A.; Pires, C.; Frölicher, T.L.; Russo, A. Long-Term Warming and Interannual Variability Contributions’ to Marine Heatwaves in the Mediterranean. Weather Clim. Extrem. 2023, 42, 100619. [Google Scholar] [CrossRef]
- Mohamed, B.; Nilsen, F.; Skogseth, R. Marine Heatwaves Characteristics in the Barents Sea Based on High Resolution Satellite Data (1982–2020). Front. Mar. Sci. 2022, 9, 821646. [Google Scholar] [CrossRef]
- Neumann, T.; Eilola, K.; Gustafsson, B.; Müller-Karulis, B.; Kuznetsov, I.; Meier, H.E.M.; Savchuk, O.P. Extremes of temperature, oxygen and blooms in the Baltic Sea in a changing climate. Ambio 2012, 41, 574–585. [Google Scholar] [CrossRef] [PubMed]
- Mahaffey, C.; Palmer, M.; Greenwood, N.; Sharples, J. Impacts of Climate Change on Dissolved Oxygen Concentration Relevant to the Coastal and Marine Environment around the UK. MCCIP Sci. Rev. 2020, 31–53. [Google Scholar] [CrossRef]
- Izquierdo, P.; Taboada, F.G.; González-Gil, R.; Arrontes, J.; Rico, J.M. Alongshore Upwelling Modulates the Intensity of Marine Heatwaves in a Temperate Coastal Sea. Sci Total Environ 2022, 835, 155478. [Google Scholar] [CrossRef]
- Iles, A.C.; Gouhier, T.C.; Menge, B.A.; Stewart, J.S.; Haupt, A.J.; Lynch, M.C. Climate-Driven Trends and Ecological Implications of Event-Scale Upwelling in the California Current System. Glob. Change Biol. 2012, 18, 783–796. [Google Scholar] [CrossRef]








Disclaimer/Publisher’s Note: The statements, opinions and data contained in all publications are solely those of the individual author(s) and contributor(s) and not of MDPI and/or the editor(s). MDPI and/or the editor(s) disclaim responsibility for any injury to people or property resulting from any ideas, methods, instructions or products referred to in the content. |
© 2024 by the authors. Licensee MDPI, Basel, Switzerland. This article is an open access article distributed under the terms and conditions of the Creative Commons Attribution (CC BY) license (https://creativecommons.org/licenses/by/4.0/).
Share and Cite
Dabulevičienė, T.; Servaitė, I. Characteristics of Marine Heatwaves in the Southeastern Baltic Sea Based on Long-Term In Situ and Satellite Observations. J. Mar. Sci. Eng. 2024, 12, 1109. https://doi.org/10.3390/jmse12071109
Dabulevičienė T, Servaitė I. Characteristics of Marine Heatwaves in the Southeastern Baltic Sea Based on Long-Term In Situ and Satellite Observations. Journal of Marine Science and Engineering. 2024; 12(7):1109. https://doi.org/10.3390/jmse12071109
Chicago/Turabian StyleDabulevičienė, Toma, and Inesa Servaitė. 2024. "Characteristics of Marine Heatwaves in the Southeastern Baltic Sea Based on Long-Term In Situ and Satellite Observations" Journal of Marine Science and Engineering 12, no. 7: 1109. https://doi.org/10.3390/jmse12071109
APA StyleDabulevičienė, T., & Servaitė, I. (2024). Characteristics of Marine Heatwaves in the Southeastern Baltic Sea Based on Long-Term In Situ and Satellite Observations. Journal of Marine Science and Engineering, 12(7), 1109. https://doi.org/10.3390/jmse12071109

