Wake Structures and Hydrodynamic Characteristics of Flows around Two Near-Wall Cylinders in Tandem and Parallel Arrangements
Abstract
1. Introduction
2. Mathematical Formulation
3. Numerical Method
3.1. Numerical Implementation
3.2. Geometric Models and Boundary Condition
3.3. Grid Generation
3.4. Grid Independence Verification
4. Numerical Results and Discussion
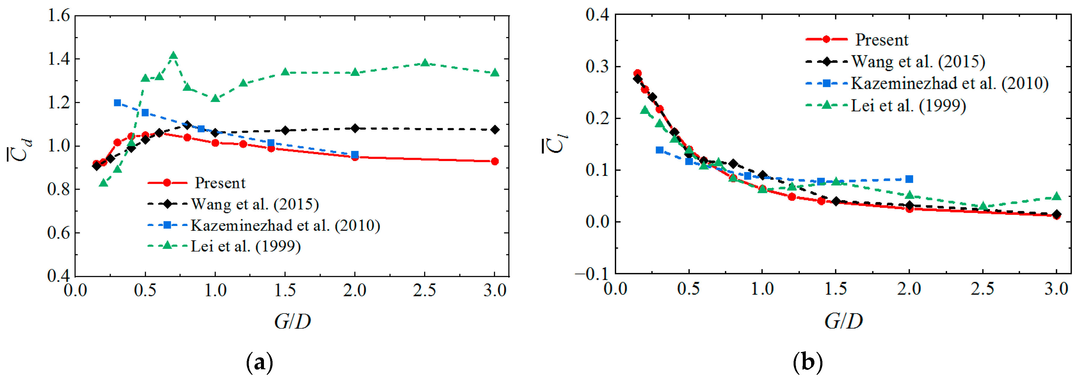
4.1. Near-Wall Single Cylinder
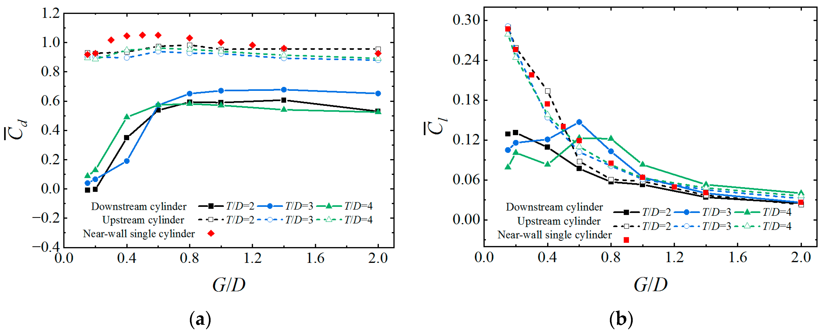
4.2. Two Near-Wall Tandem Cylinders
4.3. Two Near-Wall Parallel Cylinders
5. Conclusions
Author Contributions
Funding
Institutional Review Board Statement
Informed Consent Statement
Data Availability Statement
Conflicts of Interest
Nomenclature
| u | Cartesian velocity vector | U0 | Free-stream velocity |
| t | Time | θ | Angle |
| p | Pressure | D | Cylinder diameter |
| ρ | Density | St | Strouhal numbers |
| μ | Dynamic viscosity coefficient | f | Vortex-shedding frequency |
| Re | Reynolds number | Fl, Fd | Lift and drag forces on the cylinder |
| T | Center distance between two cylinders | G | Distance from the lower surface of a cylinder to the wall |
| k | Turbulent kinetic energy | ε | Turbulent dissipation rate |
| Turbulent viscosity coefficient | Average drag coefficient | ||
| Cd | Drag coefficient | Average lift coefficient | |
| Cl | Lift coefficient | xi (i = 1, 2) | Coordinates in the x- and y-directions |
| δij | Kronecker delta function |
References
- Wang, C.X. Research on Vortex Shedding and Hydrodynamic Characteristics of a Near-plane Circular Cylinder. Ph.D. Thesis, Harbin Engineering University, Harbin, China, 2016. [Google Scholar]
- Zhang, Z.M. Three-Dimensional Numerical Simulations on Flow Pasting a Stationary and Vibrating Cylinder Near a Wall with Different Attack Angles. Master’s Thesis, Tianjin University, Tianjin, China, 2018. [Google Scholar]
- Wang, L.; Lei, L.; Ma, T.; Zheng, K.; Guo, J. Investigation on the flow-induced vibration of tandem cylinders with varying diameters at subcritical Reynolds numbers. Appl. Ocean Res. 2023, 138, 103669. [Google Scholar] [CrossRef]
- Aksoy, M.H. Flow characteristics and passive flow control of circular cylinders with triangular vortex generators: An experimental investigation. Appl. Ocean Res. 2024, 142, 103836. [Google Scholar] [CrossRef]
- Misuriya, G.; Eldho, T.I.; Mazumder, B.S. Experimental investigations of turbulent flow characteristics around different cylindrical objects using PIV measurements. Eur. J. Mech. B. Fluid. 2023, 101, 30–41. [Google Scholar] [CrossRef]
- Amini, Y.; Izadpanah, E.; Zeinali, M. A comprehensive study on the power-law fluid flow around and through a porous cylinder with different aspect ratios. Ocean Eng. 2024, 296, 117035. [Google Scholar] [CrossRef]
- Dynnikova, G.Y. Simulation of two-dimensional flow around an elliptical cylinder at high Reynolds numbers. Phys. Fluid. 2024, 36, 023109. [Google Scholar] [CrossRef]
- Duan, M.; Wan, D. Large eddy simulation of three-dimensional cylindrical flow around 3900. J. Ocean Eng. 2016, 34, 11–20. [Google Scholar]
- Manzoor, R.; Mushtaq, S.; Nadeem, N.; Perveen, S.; Kalsoom, S.; Naeem, A.; Akbar, R. Numerical investigation of flow past a triangular cylinder at various Reynolds numbers. Phys. Fluid. 2023, 35, 124101. [Google Scholar] [CrossRef]
- Aksoy, M.H.; Goktepeli, I.; Ispir, M.; Cakan, A. Machine Learning Approach for Flow Fields Over a Circular Cylinder Based on Particle Image Velocimetry Measurements. Ocean Eng. 2023, 223, 113699. [Google Scholar] [CrossRef]
- Lam, K.; Li, J.Y.; Chan, K.T.; So, R.M.C. Flow pattern and velocity field distribution of cross-flow around four cylinders in a square configuration at a low Reynolds number. J. Fluids Struct. 2003, 17, 665–679. [Google Scholar] [CrossRef]
- Niegodajew, P.; Gajewska, K.; Elsner, W.; Gnatowska, R. Experimental investigation of flow characteristics around tandem arrangement of triangular and square cylinders. J. Fluid Struct. 2024, 124, 104045. [Google Scholar] [CrossRef]
- Mishra, S.K.; Sen, S. On the critical spacing between two in-line diamond cylinders at Re = 100. Ocean Eng. 2024, 296, 117011. [Google Scholar] [CrossRef]
- Mashhadi, A.; Sohankar, A.; Alam, M.M. Flow over rectangular cylinder: Effects of cylinder aspect ratio and Reynolds number. Int. J. Mech. Sci. 2021, 195, 106264. [Google Scholar] [CrossRef]
- Shuzheng Sun, S.Z.; Yang, W.Q.; Liu, S.N.; Li, P.; Ong, M.C. Computational fluid dynamics simulations of a near-wall rectangular cylinder in an oscillatory flow. Ocean Eng. 2024, 304, 117776. [Google Scholar]
- Chen, N.; Zhang, R.G.; Liu, Q.S.; Ding, Z.D. Deep reinforcement learning-based active control for drag reduction of three equilateral-triangular circular cylinders. Eur. J. Mech. B. Fluid. 2024, 104, 114–122. [Google Scholar] [CrossRef]
- Tu, J.H.; Yu, L.H.; Gang, H.; Wang, G.Y. Flow characteristics and mechanism of three cylinders in a triangular arrangement. J. Ship Mech. 2024, 28, 354–367. [Google Scholar]
- Tu, J.; Zhang, Z.; Lv, H.; Han, Z.; Fu, S. Influence of the center cylinder on the flow characteristics of four-and five-cylinder arrays at subcritical Reynolds number. Ocean Eng. 2020, 218, 108245. [Google Scholar] [CrossRef]
- Sarpkaya, T. A critical review of the intrinsic nature of vortex-induced vibrations. J. Fluids Struct. 2004, 19, 389–447. [Google Scholar] [CrossRef]
- Gabbai, R.D.; Benaroya, H. An overview of modeling and experiments of vortex-induced vibration of circular cylinders. J. Sound Vib. 2005, 282, 575–616. [Google Scholar] [CrossRef]
- Williamson, C.; Govardhan, R. A brief review of recent results in vortex-induced vibrations. J. Wind Eng. Ind. Aerod. 2008, 96, 713–735. [Google Scholar] [CrossRef]
- Sumner, D. Two circular cylinders in cross-flow: A review. J. Fluid. Struct. 2010, 26, 849–899. [Google Scholar] [CrossRef]
- Wu, X.; Fei, G.; Hong, Y. A review of recent studies on vortex-induced vibrations of long slender cylinders. J. Fluids Struct. 2012, 28, 292–308. [Google Scholar] [CrossRef]
- Zhou, Y.; Alam, M.M. Wake of two interacting circular cylinders: A review. Int. J. Heat Fluid Flow 2016, 62, 510–537. [Google Scholar] [CrossRef]
- Chen, W.M.; Fu, Y.Q.; Guo, S.X.; Jiang, C.H. Fluid-solid coupling and dynamic response of vortex induced vibration of slender ocean cylinders. Adv. Mech. 2017, 47, 201702. [Google Scholar]
- Wang, J.S.; Fan, D.; Lin, K. A review on flow-induced vibration of offshore circular cylinders. J. Hydrodyn. B. 2020, 32, 415–440. [Google Scholar] [CrossRef]
- Ouro, P.; Muhawenimana, V.; Wilson, C.A.M.E. Asymmetric wake of a horizontal cylinder in close proximity to a solid boundary for Reynolds numbers in the subcritical turbulence regime. Phy. Rev. Fluids. 2019, 4, 104604. [Google Scholar] [CrossRef]
- Zhou, L.; Xu, H.; Xi, G. Experimental study on PIV on the influence of gap ratio on the flow around a single cylinder near the wall. J. Mech. Des. Fabr. 2020, 11, 21–25. [Google Scholar]
- Zhang, Z.; Ji, C.; Xu, D. Temporal and spatial evolution of vortex shedding for flow around a cylinder close to a wall. Ocean Eng. 2021, 228, 108964. [Google Scholar] [CrossRef]
- Zhou, J.; Qiu, X.; Li, J.; Liu, Y. Vortex evolution of flow past the near-wall circular cylinder immersed in a flat-plate turbulent boundary layer. Ocean Eng. 2022, 260, 112011. [Google Scholar] [CrossRef]
- Zhai, S.; Ma, S.; Yin, G.; Xi, G. Experimental study of the flow characteristics of the transition flow down near-wall insertion cylinder. J. Mech. Des. Manuf. 2022, 10, 11–18. [Google Scholar]
- Li, Z.; Li, J.; Wu, J.; Chong, K.; Wang, B.; Zhou, Q.; Liu, Y. Numerical simulation of flow instability induced by a fixed cylinder placed near a plane wall in oscillating flow. Ocean Eng. 2023, 288, 116115. [Google Scholar] [CrossRef]
- Triyogi, Y.; Tohir, A. Numerical investigation of the flow interaction of I-type cylinder near the plane wall. Ocean Eng. 2022, 253, 111353. [Google Scholar] [CrossRef]
- Li, M.; Wang, R.; Guo, X.; Liu, X.; Wang, L. Analysis of inflow conditions on the flow past a wall-mounted square cylinder with OpenFOAM. Comput. Fluids 2024, 269, 106120. [Google Scholar] [CrossRef]
- Liu, Y.L.; Ding, Z.H.; Tao, Y.Z.; Qu, J.W.; Xie, X.L.; Qiu, X. Numerical study on compressible flow around a circular cylinder in proximity to the wall. Phys. Fluid. 2023, 35, 0148846. [Google Scholar]
- Li, Z.; Abrahamsenprsic, M.; Ong, M.C.; Khoo, B.C. Large Eddy Simulations of flow around two circular cylinders in tandem in the vicinity of a plane wall at small gap ratios. J. Fluid Struct. 2018, 76, 251–271. [Google Scholar] [CrossRef]
- Liu, Y.L.; Qi, L.M.; Zhou, J.K.; Li, J.H.; Tao, Y.Z.; Qiu, X. Experimental research on wake characteristics and vortex evolution of side-by-side circular cylinders placed near a wall. Ocean Eng. 2023, 285, 115268. [Google Scholar] [CrossRef]
- Launder, B.E.; Spalding, D.B. The numerical computation of turbulent flow. J. Comput. Math. Appl. Mech. Eng. 1974, 3, 269–289. [Google Scholar] [CrossRef]
- Lei, C.; Chen, L.; Armfield, S.W.; Kavanagh, K. Vortex shedding suppression for flow over a circular cylinder near a plane boundary. Ocean Eng. 2000, 27, 1109–1127. [Google Scholar] [CrossRef]
- Wang, X.K.; Zhang, J.X.; Hao, Z.; Zhou, B.; Tan, S.K. Influence of wall proximity on flow around two tandem circular cylinders. Ocean Eng. 2015, 94, 36–50. [Google Scholar] [CrossRef]
- Lei, C.; Cheng, L.; Kavanagh, K. Re-examination of the effect of a plane boundary on force and vortex shedding of a circular cylinder. J. Wind Eng. Ind. Aerod. 1999, 80, 263–286. [Google Scholar] [CrossRef]
- Kazeminezhad, M.H.; Bakhtiary, A.Y.; Shahidi, A.E. Numerical investigation of boundary layer effects on vortex shedding frequency and forces acting upon marine pipeline. J. Appl. Ocean Res. 2010, 32, 460–470. [Google Scholar] [CrossRef]
- Bearman, P.W.; Zdravkovich, M.M. Flow around a circular cylinder near a plane boundary. J. Fluid Mech. 1978, 89, 33–48. [Google Scholar] [CrossRef]
- Zhao, M.; Cheng, L.; Teng, B. Numerical Modeling of Flow and Hydrodynamic Forces around a Piggyback Pipeline near the Seabed. J. Waterway, Port, Coastal. Ocean Eng. 2007, 133, 286–295. [Google Scholar]
- Brørs, B. Numerical modeling of flow and scour at pipelines. J. Hydraul. Eng. 1999, 125, 511–523. [Google Scholar] [CrossRef]
- Kravchenko, A.G.; Moin, P. Numerical studies of flow over a circular cylinder at ReD = 3900. Phys. Fluids. 2000, 12, 403–417. [Google Scholar] [CrossRef]
- Franke, J.; Frank, W. Large eddy simulation of the flow past a circular cylinder at ReD = 3900. J. Wind Eng. Ind. Aerodyn. 2002, 90, 1191–1206. [Google Scholar] [CrossRef]




















| Grid Resolutions | Grid NO. 1 | Grid NO. 2 | Grid NO. 3 |
|---|---|---|---|
| Grid size of region I/mm | 3.5 | 3.5 | 3.5 |
| Grid size of region II/mm | 1.6 | 0.8 | 0.8 |
| Grid size of region III/mm | 0.8 | 0.4 | 0.4 |
| Grid size of region IV/mm | 0.4 | 0.2 | 0.1 |
| Number of elements | 53,721 | 190,642 | 540,170 |
Disclaimer/Publisher’s Note: The statements, opinions and data contained in all publications are solely those of the individual author(s) and contributor(s) and not of MDPI and/or the editor(s). MDPI and/or the editor(s) disclaim responsibility for any injury to people or property resulting from any ideas, methods, instructions or products referred to in the content. |
© 2024 by the authors. Licensee MDPI, Basel, Switzerland. This article is an open access article distributed under the terms and conditions of the Creative Commons Attribution (CC BY) license (https://creativecommons.org/licenses/by/4.0/).
Share and Cite
Chang, X.; Yin, P.; Xin, J.; Shi, F.; Wan, L. Wake Structures and Hydrodynamic Characteristics of Flows around Two Near-Wall Cylinders in Tandem and Parallel Arrangements. J. Mar. Sci. Eng. 2024, 12, 832. https://doi.org/10.3390/jmse12050832
Chang X, Yin P, Xin J, Shi F, Wan L. Wake Structures and Hydrodynamic Characteristics of Flows around Two Near-Wall Cylinders in Tandem and Parallel Arrangements. Journal of Marine Science and Engineering. 2024; 12(5):832. https://doi.org/10.3390/jmse12050832
Chicago/Turabian StyleChang, Xing, Pandeng Yin, Jianjian Xin, Fulong Shi, and Ling Wan. 2024. "Wake Structures and Hydrodynamic Characteristics of Flows around Two Near-Wall Cylinders in Tandem and Parallel Arrangements" Journal of Marine Science and Engineering 12, no. 5: 832. https://doi.org/10.3390/jmse12050832
APA StyleChang, X., Yin, P., Xin, J., Shi, F., & Wan, L. (2024). Wake Structures and Hydrodynamic Characteristics of Flows around Two Near-Wall Cylinders in Tandem and Parallel Arrangements. Journal of Marine Science and Engineering, 12(5), 832. https://doi.org/10.3390/jmse12050832

