Numerical Simulation of Production Behavior with Different Complex Structure Well Types in Class 1-Type Hydrate Reservoir
Abstract
1. Introduction
2. Methodology
2.1. Geological Background
2.2. Numerical Simulator
- Components and phases
- 2.
- Mass balance
- 3.
- Energy balance
2.3. Model Construction and Well Type Design
2.4. Initial and Boundary Conditions
2.5. Grid Independence Test
3. Results and Discussion
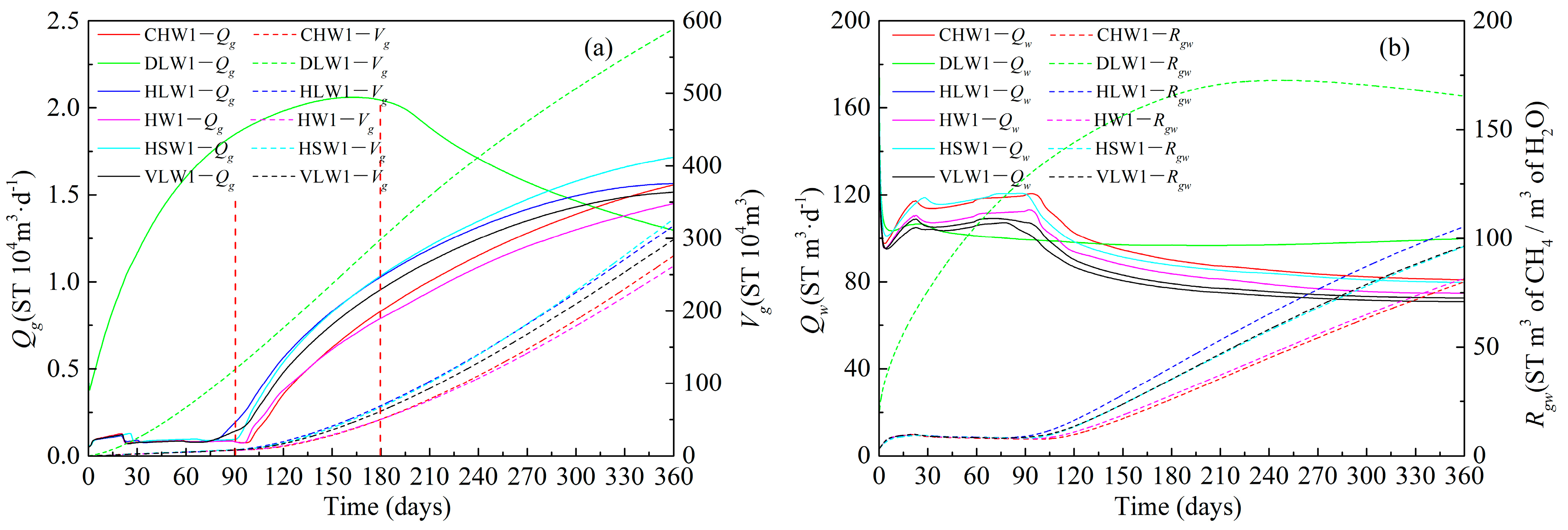
3.1. Well Types Deployed at GHBL
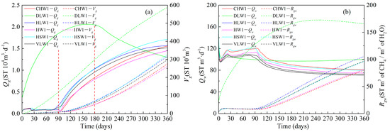
3.1.1. Gas and Water Characteristics
3.1.2. Characteristics of Reservoir Parameters
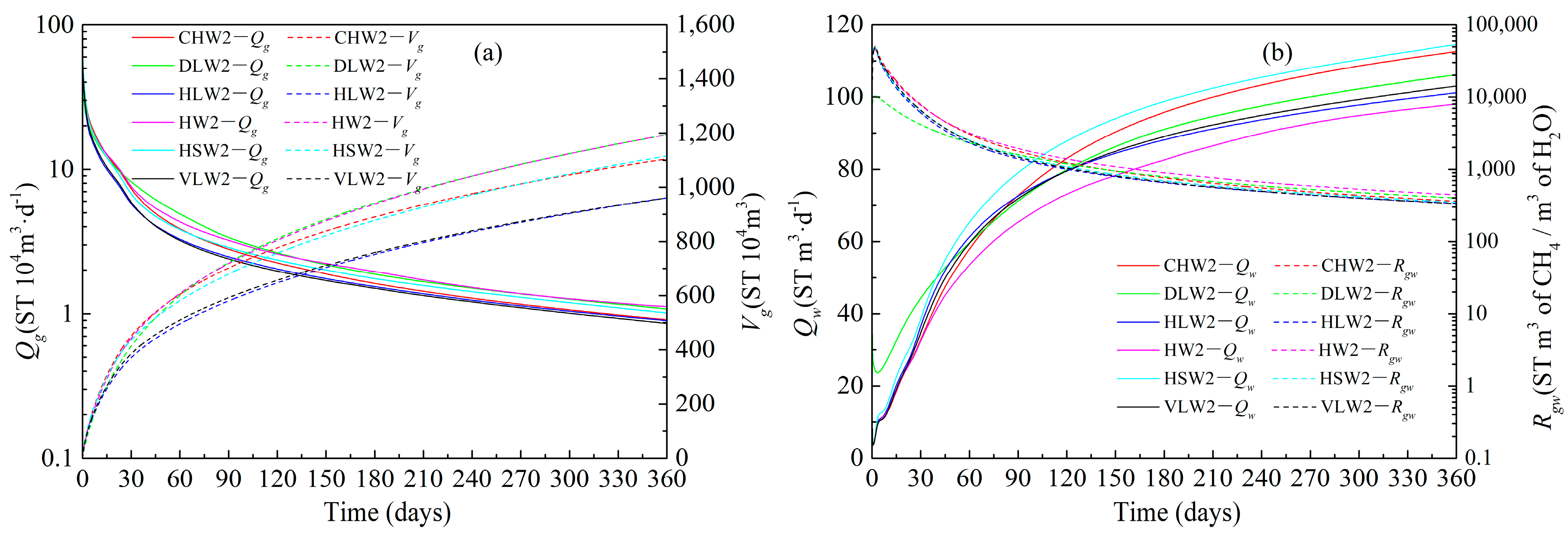
3.2. Well Types Deployed at TPL
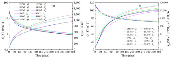
3.2.1. Gas and Water Characteristics
3.2.2. Characteristics of Reservoir Parameters
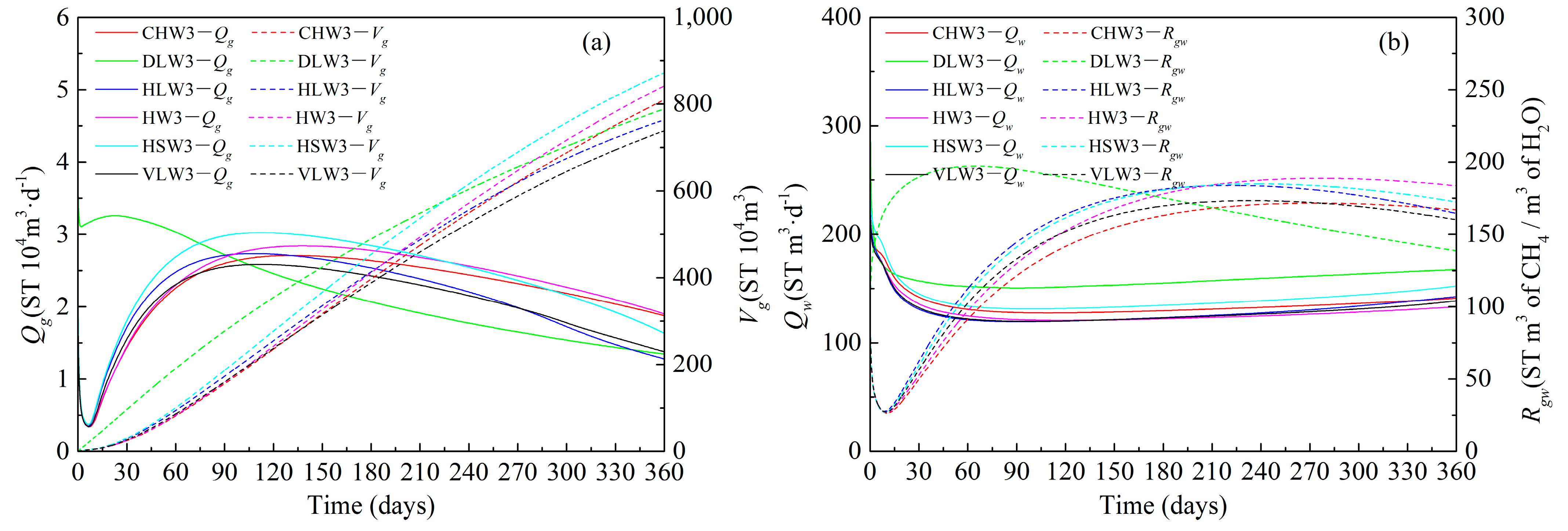
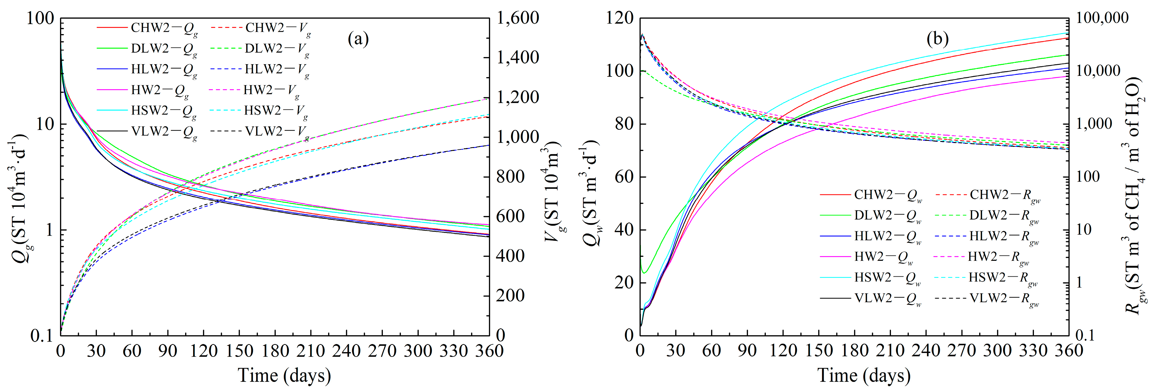
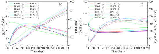
3.3. Well Types Deployed at FGL
3.3.1. Gas and Water Characteristics
3.3.2. Characteristics of Reservoir Parameters
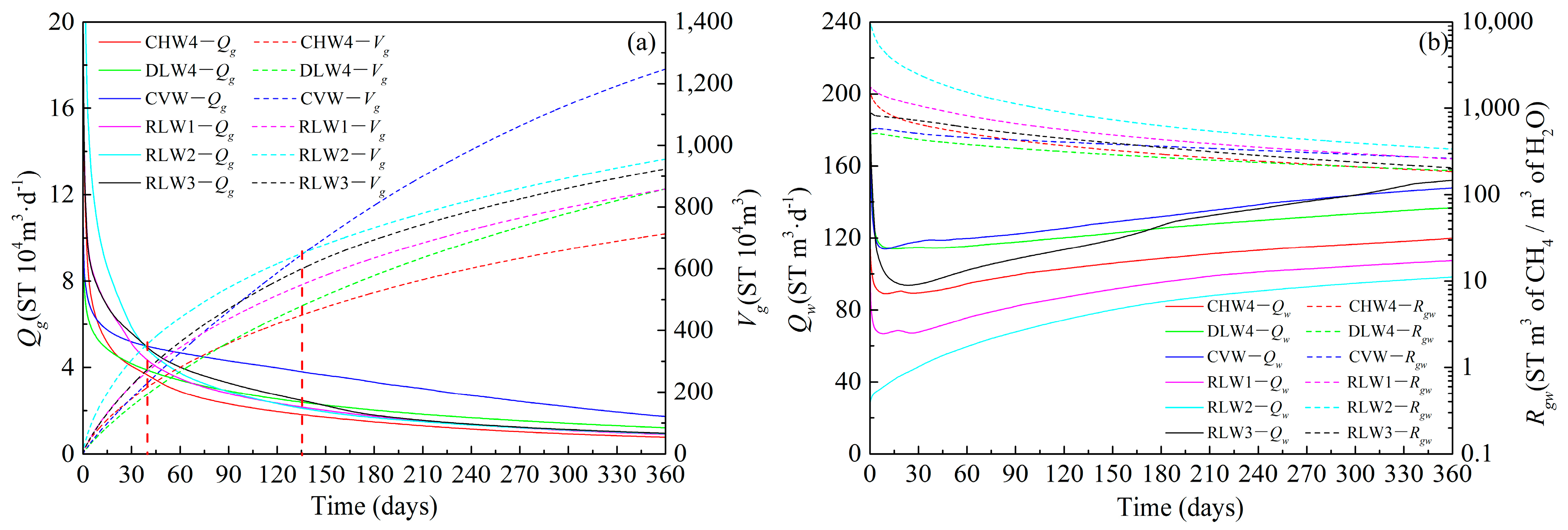
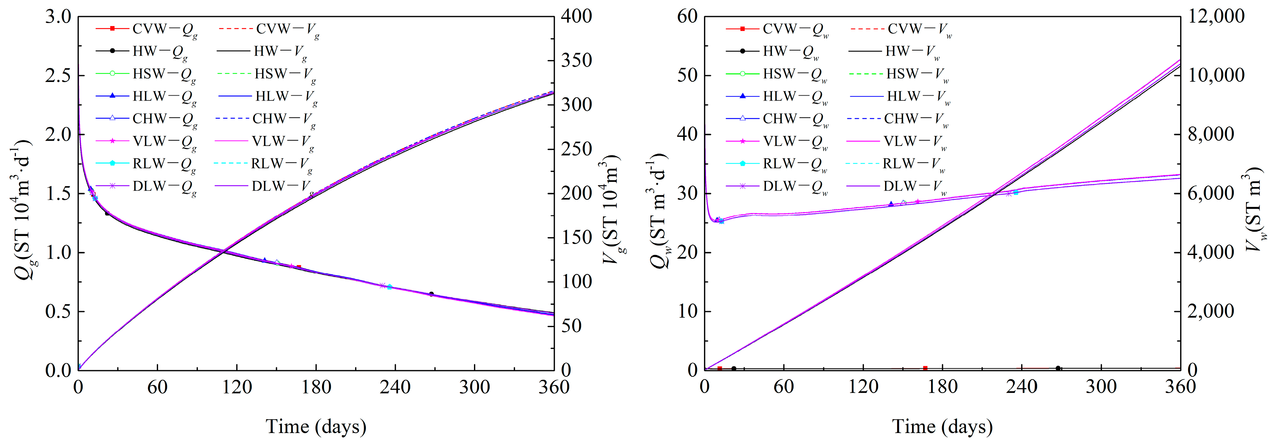
3.4. Well Types Deployed at ML
3.4.1. Gas and Water Characteristics
3.4.2. Characteristics of Reservoir Parameters
3.5. Comparisons of Production Performances
4. Conclusions
Author Contributions
Funding
Data Availability Statement
Conflicts of Interest
Nomenclature
| Symbols | |
| L | open hole section length of wellbore (m) |
| l | length of each lateral wellbore or single wellbore (m) |
| n | quantity of lateral wellbore or single wellbore |
| t | times (s) |
| x, y, z | cartesian coordinates (m) |
| Qg | gas production rates at well (m3/d) |
| Qw | water production rates at well (m3/d) |
| Vg | cumulative gas production at well (m3/d) |
| Rgw | ratio of cumulative gas to cumulative gas(ST m3 of CH4/m3 of H2O) |
| J | specific production index |
| T | temperature (℃) |
| Pcap | capillary pressure (Pa) |
| P0 | entry pressure of capillary pressure model (Pa) |
| S* | saturation for capillary pressure |
| SmxA | maximum reference aqueous saturation of capillary |
| SirA | irreducible saturation of aqueous phase |
| SirG | irreducible saturation of gas phase |
| nA | permeability reduction exponent for aqueous phase |
| nG | permeability reduction exponent for gas phase |
| λ | porosity distribution index |
| k | permeability (m2) |
| krβ | relative permeability of phase β |
| φ | porosity |
| ρβ | density of phase β |
| ρR | density of rock grain (kg/m3) |
| mass accumulation of component κ, (kg/m3) | |
| mass flux of component κ, kg/(m2·s) | |
| sink/source of component κ, kg/(m3·s) | |
| energy accumulation (J/m3) | |
| energy flux, J/(m2·s) | |
| sink/source of heat, J/(m3·s) | |
| volume (m3) | |
| surface area (m2) | |
| β | phase, β = A, G, H, I is aqueous, gas, hydrate, and ice, respectively |
| κ | component, κ = w, m, i, h is water, methane, salt, and hydrate, respectively |
| Abbreviations | |
| OB | overburden layer |
| UB | underburden layer |
| GHBL | gas hydrate bearing layer |
| TPL | three phase layer |
| FGL | free gas layer |
| ML | multi-layer |
| NGH | natural gas hydrate |
| HW | horizontal well |
| CVW | cluster vertical well |
| CHW | cluster horizontal well |
| HLW | herringbone lateral well |
| HSW | horizontal snake well |
| VLW | vertical lateral well |
| RLW | radial lateral well |
| DLW | direction lateral well |
References
- Sloan, E. Fundamental principles and applications of natural gas hydrates. Nature 2003, 426, 353–359. [Google Scholar] [CrossRef] [PubMed]
- Boswell, R. Is gas hydrate energy within reach? Science 2009, 325, 957–958. [Google Scholar] [CrossRef] [PubMed]
- Chong, Z.; Yang, S.; Babu, P.; Linga, P.; Li, X. Review of natural gas hydrates as an energy resource: Prospects and challenges. Appl. Energy 2016, 162, 1633–1652. [Google Scholar] [CrossRef]
- Boswell, R.; Collett, T.S. Current perspectives on gas hydrate resources. Energy Environ. Sci. 2011, 4, 1206–1215. [Google Scholar] [CrossRef]
- Hassanpouryouzband, A.; Joonaki, E.; Farahani, M.; Takeya, S.; Ruppel, C.; Yang, J.; English, N.; Schicks, J.; Edlmann, K.; Mehrabian, H.; et al. Gas hydrates in sustainable chemistry. Chem. Soc. Rev. 2020, 49, 5225–5309. [Google Scholar] [CrossRef]
- Moridis, G.J.; Collett, T.S.; Dallimore, S.R.; Satoh, T.; Hancock, S.; Weatherill, B. Numerical studies of gas production from several CH4 hydrate zones at the Mallik site, Mackenzie Delta, Canada. J. Pet. Sci. Eng. 2004, 43, 219–238. [Google Scholar] [CrossRef]
- Yamamoto, K.; Terao, Y.; Fujii, T.; Ikawa, T.; Seki, M.; Matsuzawa, M.; Kanno, T. Operational Overview of the First Offshore Production Test of Methane Hydrates in the Eastern Nankai Trough, Offshore Technology Conference; OnePetro: Richardson, TX, USA, 2014. [Google Scholar]
- Yamamoto, K.; Wang, X.X.; Tamaki, M.; Suzuki, K. The second offshore production of methane hydrate in the Nankai Trough and gas production behavior from a heterogeneous methane hydrate reservoir. RSC Adv. 2019, 9, 25987–26013. [Google Scholar] [CrossRef] [PubMed]
- Li, J.; Ye, J.; Qin, X.; Qiu, H.; Wu, N.; Lu, H.; Xie, W.; Lu, J.; Peng, F.; Xu, Z.; et al. The first offshore natural gas hydrate production test in South China Sea. China Geol. 2018, 1, 5–16. [Google Scholar] [CrossRef]
- Ye, J.; Qin, X.; Xie, W.; Lu, H.; Ma, B.; Qiu, H.; Liang, J.; Lu, J.; Kuang, Z.; Lu, C.; et al. The second natural gas hydrate production test in the South China Sea. China Geol. 2020, 3, 197–209. [Google Scholar] [CrossRef]
- Wu, N.; Li, Y.; Wan, Y.; Sun, J.; Huang, L.; Mao, P. Prospect of marine natural gas hydrate stimulation theory and technology system. Nat. Gas Ind. B 2021, 40, 173–187. [Google Scholar] [CrossRef]
- Gao, D. Discussin on development modes and engineering techniques for deepwater natural gas and its hydrates. Nat. Gas Ind. 2020, 40, 136–143. [Google Scholar]
- Xin, X.; Li, S.; Xu, T.; Yuan, Y. Numerical investigation on gas production performance in methane hydrate of multilateral well under depressurization in Krishna-Godavari basin. Geofluids 2021, 2021, 9936872. [Google Scholar] [CrossRef]
- Mao, P.; Wan, Y.; Sun, J.; Li, Y.; Hu, G.; Ning, F.; Wu, N. Numerical study of gas production from fine-grained hydrate reservoirs using a multilateral horizontal well system. Appl. Energy 2021, 301, 117450. [Google Scholar] [CrossRef]
- Ye, H.; Wu, X.; Li, D. Numerical Simulation of Natural Gas Hydrate Exploitation in Complex Structure Wells: Productivity Improvement Analysis. Mathematics 2021, 9, 2184. [Google Scholar] [CrossRef]
- Mahmood, M.; Guo, B. Productivity comparison of radial lateral wells and horizontal snake wells applied to marine gas hydrate reservoir development. Petroleum 2021, 7, 407–413. [Google Scholar] [CrossRef]
- Jin, G.; Peng, Y.; Liu, L.; Su, Z.; Liu, J.; Li, T.; Wu, D. Enhancement of gas production from low-permeability hydrate by radially branched horizontal well: Shenhu Area, South China Sea. Energy 2022, 253, 124129. [Google Scholar] [CrossRef]
- Ye, H.; Wu, X.; Li, D.; Jiang, Y. Numerical simulation of productivity improvement of natural gas hydrate with various well types: Influence of branch parameters. J. Nat. Gas Sci. Eng. 2022, 103, 104630. [Google Scholar] [CrossRef]
- Hao, Y.; Yang, F.; Wang, J.; Fan, M.; Li, S.; Yang, S.; Wang, C.; Xiao, X. Dynamic analysis of exploitation of different types of multilateral wells of a hydrate reservoir in the South China sea. Energy Fuels 2022, 36, 6083–6095. [Google Scholar] [CrossRef]
- Ye, H.; Wu, X.; Guo, G.; Huang, Q.; Chen, J.; Li, D. Application of the enlarged wellbore diameter to gas production enhancement from natural gas hydrates by complex structure well in the Shenhu sea area. Energy 2022, 264, 126025. [Google Scholar] [CrossRef]
- Cao, X.; Sun, J.; Qin, F.; Ning, F.; Mao, P.; Gu, Y.; Li, Y.; Zhang, H.; Yu, Y.; Wu, N. Numerical analysis on gas production performance by using a multilateral well system at the first offshore hydrate production test site in the Shenhu area. Energy 2023, 270, 126690. [Google Scholar] [CrossRef]
- Jin, G.; Su, Z.; Zhai, H.; Feng, C.; Liu, J.; Peng, Y.; Liu, L. Enhancement of gas production from hydrate reservoir using a novel deployment of multilateral horizontal well. Energy 2023, 270, 126867. [Google Scholar] [CrossRef]
- He, J. Numerical simulation of a Class I gas hydrate reservoir depressurized by a fishbone well. Processes 2023, 11, 771. [Google Scholar] [CrossRef]
- Qin, X.; Lu, J.; Lu, H.; Qiu, H.; Liang, J.; Kang, D.; Zhan, L.; Lu, H.; Kuang, Z. Coexistence of natural gas hydrate, free gas and water in the gas hydrate system in the Shenhu Area, South China Sea. China Geol. 2020, 3, 210–220. [Google Scholar] [CrossRef]
- Zhang, W.; Liang, J.; Lu, J.; Wei, J.; Su, P.; Fang, Y.; Guo, Y.; Yang, S.; Zang, G. Accumulation features and mechanisms of high saturation natural gas hydrate in Shenhu area, northern south China sea. Pet. Explor. Dev. 2017, 44, 708–719. [Google Scholar] [CrossRef]
- Sun, Y.; Ma, X.; Guo, W.; Jia, R.; Li, B. Numerical simulation of the short- and long-term production behavior of the first offshore gas hydrate production test in the South China Sea. J. Pet. Sci. Eng. 2019, 181, 106196. [Google Scholar] [CrossRef]
- Qin, X.; Liang, Q.; Yang, L.; Qiu, H.; Xie, W.; Liang, J.; Lu, J.; Lu, C.; Lu, H.; Ma, B.; et al. The response of temperature and pressure of hydrate reservoirs in the first gas hydrate production test in South China Sea. Appl. Energy 2020, 278, 115649. [Google Scholar] [CrossRef]
- Moridis, G.; Kowalsky, M.; Pruess, K. TOUGH+ Hydrate V1.0 User’s Manual; Report LBNL-0149E; Lawrence Berkeley National Laboratory: Berkeley, CA, USA, 2008. [Google Scholar]
- Sun, J.; Ning, F.; Lei, H.; Gai, X.; Sánchez, M.; Lu, J.; Li, Y.; Liu, L.; Liu, C.; Wu, N.; et al. Wellbore stability analysis during drilling through marine gas hydrate-bearing sediments in Shenhu area: A case study. J. Pet. Sci. Eng. 2018, 170, 345–367. [Google Scholar] [CrossRef]
- Zhu, H.; Xu, T.; Yuan, Y.; Xia, Y.; Xin, X. Numerical investigation of the natural gas hydrate production tests in the Nankai Trough by incorporating sand migration. Appl. Energy 2020, 275, 115384. [Google Scholar] [CrossRef]
- Reagan, M.; Moridis, G.; Johnson, J.; Pan, L.; Freeman, C.; Boyle, K.; Keen, N.; Husebo, J. Field-scale simulation of production from oceanic gas hydrate deposits. Transp. Porous Media 2015, 108, 151–169. [Google Scholar] [CrossRef]
- Zhang, K.; Moridis, G.; Wu, Y.; Pruess, K. A domain decompositionapproach for large-scale simulations of flow processes in hydrate-bearing geologic media. In Proceedings of the 6th International Conference on Gas Hydrates, ICGH 2008, Vancouver, BC, Canada, 6–10 July 2008. [Google Scholar]
- Yin, Z.; Chong, Z.R.; Tan, H.K.; Linga, P. Review of gas hydrate dissociation kinetic models for energy recovery. J. Nat. Gas Sci. Eng. 2016, 35, 1362–1387. [Google Scholar] [CrossRef]
- Okwananke, A.; Hassanpouryouzband, A.; Farahani, M.; Yang, J.; Tohidi, B.; Chuvilin, E.; Istomin, V.; Bukhanov, B. Methane recovery from gas hydrate-bearing sediments: An experimental study on the gas permeation characteristics under varying pressure. J. Pet. Sci. Eng. 2019, 180, 435–444. [Google Scholar] [CrossRef]
- Yuan, Y.; Xu, T.; Jin, C.; Zhu, H.; Gong, Y.; Wang, F. Multiphase flow and mechanical behaviors induced by gas production from clayey-silt hydrate reservoirs using horizontal well. J. Clean. Prod. 2021, 328, 129578. [Google Scholar] [CrossRef]
- Yu, T.; Guan, G.; Wang, D.; Song, Y.; Abudula, A. Numerical investigation on the long-term gas production behavior at the 2017 Shenhu methane hydrate production-site. Appl. Energy 2021, 285, 116466. [Google Scholar] [CrossRef]
- Sun, J.; Zhang, L.; Ning, F.; Lei, H.; Liu, T.; Hu, G.; Lu, H.; Lu, J.; Liu, C.; Jiang, G.; et al. Production potential and stability of hydrate-bearing sediments at the site GMGS3-W19 in the South China Sea: A preliminary feasibility study. Mar. Pet. Geol. 2017, 86, 447–473. [Google Scholar] [CrossRef]
- Yuan, Y.; Xu, T.; Xin, X.; Xia, Y. Multiphase Flow Behavior of Layered Methane Hydrate Reservoir Induced by Gas Production. Geofluids 2017, 2017, 7851031. [Google Scholar] [CrossRef]
- Sun, J.; Ning, F.; Li, S.; Zhang, K.; Liu, T.; Zhang, L.; Jiang, G.; Wu, N. Numerical simulation of gas production from hydrate-bearing sediments in the Shenhu area by depressurising: The effect of burden permeability. J. Unconv. Oil Gas Resour. 2015, 12, 23–33. [Google Scholar] [CrossRef]
- Feng, Y.; Chen, L.; Suzuki, A.; Kogawa, T.; Okajima, J.; Komiya, A.; Maruyama, S. Enhancement of gas production from methane hydrate reservoirs by the combination of hydraulic fracturing and depressurization method. Energy Convers. Manag. 2019, 184, 194–204. [Google Scholar] [CrossRef]
- Ma, X.; Sun, Y.; Liu, B.; Guo, W.; Jia, R.; Li, B.; Li, S. Numerical study of depressurization and hot water injection for gas hydrate production in China’s first offshore test site. J. Nat. Gas Sci. Eng. 2020, 83, 103530. [Google Scholar] [CrossRef]

















| Groups | Case | Main Parameters | |||
|---|---|---|---|---|---|
| L/(m) | l/(m) | n | Location of Open Hole Section | ||
| A | CHW1 | 300 | 100 | 3 | GHBL |
| DLW1 | 300 | 150 | 2 | ||
| HLW1 | 300 | 50 | 2 | ||
| HW1 | 300 | / | / | ||
| HSW1 | 300 | / | / | ||
| VLW1 | 300 | 75 | 4 | ||
| B | CHW2 | 300 | 100 | 3 | TPL |
| DLW2 | 300 | 150 | 2 | ||
| HLW2 | 300 | 50 | 2 | ||
| HW2 | 300 | / | / | ||
| HSW2 | 300 | / | / | ||
| VLW2 | 300 | 75 | 4 | ||
| C | CHW3 | 300 | 100 | 3 | FGL |
| DLW3 | 300 | 150 | 2 | ||
| HLW3 | 300 | 50 | 2 | ||
| HW3 | 300 | / | / | ||
| HSW3 | 300 | / | / | ||
| VLW3 | 300 | 75 | 4 | ||
| D | CHW4 | 300 | 100 | 3 | ML |
| DLW4 | 300 | 150 | 2 | ||
| CVW | 300 | 75 | 4 | ||
| RLW1 | 300 | 100 | 3 | ||
| RLW2 | 300 | 100 | 3 | ||
| RLW3 | 300 | 100 | 3 | ||
| Parameter | Value and Unit |
|---|---|
| OB and UB’s thickness [9,21,26,41] | 20 m |
| GHBL’s thickness [9,21,26,41] | 35 m |
| TPL’s thickness [9,21,26,41] | 15 m |
| FGL’s thickness [9,21,26,41] | 27 m |
| OB and UB’s permeability | 2.0 mD |
| GHBL’s permeability [9,21,26,41] | 2.9 mD |
| TPL’s permeability [9,21,26,41] | 1.5 mD |
| FGL’s permeability [9,21,26,41] | 7.4 mD |
| Wellbore radius [9,21,26,41] | 0.1 m |
| Salinity [9,21,26,41] | 3.5% |
| GHBL and TPL’s hydrate saturation [9,21,26,41] | Reference from logging curve (Figure 2a) |
| FGL’s gas saturation [9,21,26,41] | Reference from logging curve (Figure 2a) |
| OB and UB’s porosity | 0.30 |
| GHBL’s porosity [9,21,26,41] | 0.35 |
| TPL’s porosity [9,21,26,41] | 0.33 |
| FGL’s porosity [9,21,26,41] | 0.32 |
| Grain density [21,26,41] | 2600 kg/m3 |
| Geothermal gradient [21,26,41] | 43.653 °C/km |
| Grain specific heat [21,26,41] | 1000 J·kg−1·K−1 |
| Gas composition [21,26,41] | 100% CH4 |
| Dry thermal conductivity [21,26,41] | 1.0 W·m−1·K−1 |
| Wet thermal conductivity [21,26,41] | 3.1 W·m−1·K−1 |
| Capillary pressure model [21,26,41] | , |
| Maximum reference aqueous saturation of capillary SmxA [21,26,41] | 1 |
| Porosity distribution index λ [21,26,41] | 0.45 |
| Entry pressure P0 [21,26,41] | 104 Pa |
| Relative permeability model [21,26,41] | KrA = [(SA − SirA)/(1 − SirA)]nA, KrG = [(SG − SirG)/(1 − SirA)]nG |
| Permeability reduction exponent for aqueous phase nA [21,26,41] | 3.5 |
| Permeability reduction exponent for gas phase nG [21,26,41] | 2.5 |
| Irreducible saturation of gas phase SirG [21,26,41] | 0.03 |
| Irreducible saturation of aqueous phase SirA [21,26,41] | 0.30 |
| Case | Average Qg (104 m3/d) | Vg (104 m3) | Compared to the Reference Case |
|---|---|---|---|
| DLW1 | 1.64 | 589 | 224.81% |
| HSW1 | 0.91 | 327 | 124.81% |
| HLW1 | 0.88 | 317 | 120.99% |
| VLW1 | 0.83 | 298 | 113.74% |
| CHW1 | 0.77 | 276 | 105.34% |
| HW1 (ref) | 0.73 | 262 | 100.00% |
| Case | Average Qg (104 m3/d) | Vg (104 m3) | Compared to the Reference Case |
|---|---|---|---|
| DLW2 | 3.31 | 1190 | 123.96% |
| HW2 | 3.31 | 1190 | 123.96% |
| HSW2 | 3.08 | 1110 | 115.63% |
| CHW2 | 3.06 | 1100 | 114.58% |
| HLW2 | 2.67 | 960 | 100.00% |
| VLW2 (ref) | 2.67 | 960 | 100.00% |
| Case | Average Qg (104 m3/d) | Vg (104 m3) | Compared to the Reference Case |
|---|---|---|---|
| HSW3 | 2.42 | 872 | 118.16% |
| HW3 | 2.34 | 842 | 114.09% |
| CHW3 | 2.25 | 810 | 109.76% |
| DLW3 | 2.19 | 789 | 106.91% |
| HLW3 | 2.12 | 763 | 103.39% |
| VLW3 (ref) | 2.05 | 738 | 100.00% |
| Case | Average Qg (104 m3/d) | Vg (104 m3) | Compared to the Reference Case |
|---|---|---|---|
| CVW | 3.44 | 1240 | 173.91% |
| RLW2 | 2.65 | 955 | 133.94% |
| RLW3 | 2.56 | 923 | 129.45% |
| RLW1 | 2.38 | 857 | 120.20% |
| DLW4 | 2.38 | 858 | 120.34% |
| CHW4 (ref) | 1.98 | 713 | 100.00% |
Disclaimer/Publisher’s Note: The statements, opinions and data contained in all publications are solely those of the individual author(s) and contributor(s) and not of MDPI and/or the editor(s). MDPI and/or the editor(s) disclaim responsibility for any injury to people or property resulting from any ideas, methods, instructions or products referred to in the content. |
© 2024 by the authors. Licensee MDPI, Basel, Switzerland. This article is an open access article distributed under the terms and conditions of the Creative Commons Attribution (CC BY) license (https://creativecommons.org/licenses/by/4.0/).
Share and Cite
Wan, T.; Li, Z.; Wen, M.; Chen, Z.; Tian, L.; Li, Q.; Qu, J.; Wang, J. Numerical Simulation of Production Behavior with Different Complex Structure Well Types in Class 1-Type Hydrate Reservoir. J. Mar. Sci. Eng. 2024, 12, 508. https://doi.org/10.3390/jmse12030508
Wan T, Li Z, Wen M, Chen Z, Tian L, Li Q, Qu J, Wang J. Numerical Simulation of Production Behavior with Different Complex Structure Well Types in Class 1-Type Hydrate Reservoir. Journal of Marine Science and Engineering. 2024; 12(3):508. https://doi.org/10.3390/jmse12030508
Chicago/Turabian StyleWan, Tinghui, Zhanzhao Li, Mingming Wen, Zongheng Chen, Lieyu Tian, Qi Li, Jia Qu, and Jingli Wang. 2024. "Numerical Simulation of Production Behavior with Different Complex Structure Well Types in Class 1-Type Hydrate Reservoir" Journal of Marine Science and Engineering 12, no. 3: 508. https://doi.org/10.3390/jmse12030508
APA StyleWan, T., Li, Z., Wen, M., Chen, Z., Tian, L., Li, Q., Qu, J., & Wang, J. (2024). Numerical Simulation of Production Behavior with Different Complex Structure Well Types in Class 1-Type Hydrate Reservoir. Journal of Marine Science and Engineering, 12(3), 508. https://doi.org/10.3390/jmse12030508

