Factors Influencing the Spatio-Temporal Distribution of Chlorophyll-a in Jinmeng Bay, China
Abstract
1. Introduction
2. Materials and Methods
2.1. Study Area
2.2. Model Description
2.3. Model Configuration
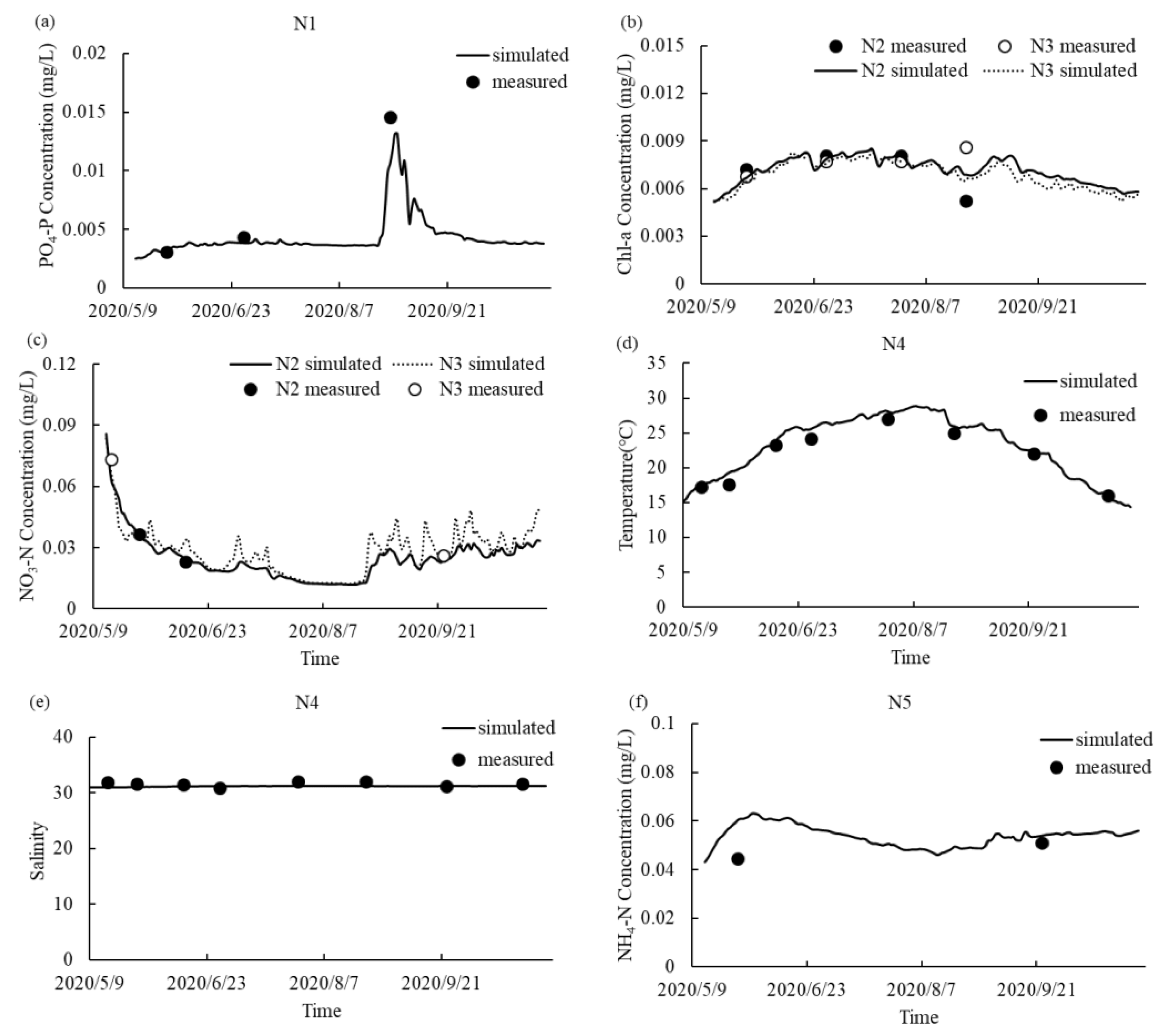
2.4. Model Validation
3. Results
3.1. Spatiotemporal Distribution of Nutrients in Jinmeng Bay
3.2. Spatiotemporal Distribution of Chlorophyll-a in Jinmeng Bay
4. Discussion
4.1. Key Nutrient Inputs from Tanghe River
4.2. Effect of Wind on Chlorophyll-a Variability in Jinmeng Bay
5. Conclusions
- (a)
- The model can reproduce the spatial and temporal distribution of nutrients and Chl-a in Jinmeng Bay well. A high Chl-a concentration along the coast in Jinmeng Bay indicates that the Tanghe River is the primary source of nutrients for Chl-a growth. The nutrients are more likely to accumulate in Jinmeng Bay mainly because the advection and diffusion of the pollutants are weakened by the presence of marine structures and seaweed beds.
- (b)
- Abundant total nitrogen inputs provide a sufficient nutritious environment for macroalgae blooms. The total nitrogen concentration decreased continuously from 2016 to 2020. A reduction in riverine nutrient loads, especially NO3-N, plays a dominant role in alleviating green tides. The declined nutrient inflow in Jinmeng Bay is the main driver of the Chl-a change in July 2020.
- (c)
- Wind forcing is the controlling factor for the spatial distribution of Chl-a in Jinmeng Bay. Southwesterly winds suppress the inflow of nutrition from the Tanghe River to the coastal areas, and therefore lower the Chl-a levels. The opposite is true for southeasterly winds. This finding provides useful information for the mitigation of green tides in Jinmeng Bay and other similar regions.
Author Contributions
Funding
Institutional Review Board Statement
Informed Consent Statement
Data Availability Statement
Acknowledgments
Conflicts of Interest
References
- Zhang, Y.; He, P.; Li, H.; Li, G.; Liu, J.; Jiao, F.; Zhang, J.; Huo, Y.; Shi, X.; Su, R.; et al. Ulva Prolifera Green-Tide Outbreaks and Their Environmental Impact in the Yellow Sea, China. Natl. Sci. Rev. 2019, 6, 825–838. [Google Scholar] [CrossRef]
- Shi, X.; Qi, M.; Tang, H.; Han, X. Spatial and Temporal Nutrient Variations in the Yellow Sea and Their Effects on Ulva Prolifera Blooms. Estuar. Coast. Shelf Sci. 2015, 163, 36–43. [Google Scholar] [CrossRef]
- Wang, S.; Zhao, L.; Wang, Y.; Zhang, H.; Li, F.; Zhang, Y. Distribution Characteristics of Green Tides and Its Impact on Environment in the Yellow Sea. Mar. Environ. Res. 2022, 181, 105756. [Google Scholar] [CrossRef]
- Song, W.; Wang, Z.; Li, Y.; Han, H.; Zhang, X. Tracking the Original Source of the Green Tides in the Bohai Sea, China. Estuar. Coast. Shelf Sci. 2019, 219, 354–362. [Google Scholar] [CrossRef]
- Han, H.; Li, Y.; Ma, X.; Song, W.; Wang, Z.; Zhang, X. Factors Influencing the Spatial and Temporal Distributions of Green Algae Micro-Propagules in the Coastal Waters of Jinmenghaiwan, Qinhuangdao, China. Mar. Pollut. Bull. 2022, 175, 113328. [Google Scholar] [CrossRef]
- Liu, Y.; Tang, D.; Tang, S.; Morozov, E.; Liang, W.; Sui, Y. A Case Study of Chlorophyll a Response to Tropical Cyclone Wind Pump Considering Kuroshio Invasion and Air-Sea Heat Exchange. Sci. Total Environ. 2020, 741, 140290. [Google Scholar] [CrossRef] [PubMed]
- Li, D.; Gao, Z.; Wang, Y. Research on the Long-Term Relationship between Green Tide and Chlorophyll-a Concentration in the Yellow Sea Based on Google Earth Engine. Mar. Pollut. Bull. 2022, 177, 113574. [Google Scholar] [CrossRef]
- Royer, T.V.; David, M.B.; Gentry, L.E.; Mitchell, C.A.; Starks, K.M.; Heatherly, T.; Whiles, M.R. Assessment of Chlorophyll-a as a Criterion for Establishing Nutrient Standards in the Streams and Rivers of Illinois. J. Environ. Qual. 2008, 37, 437–447. [Google Scholar] [CrossRef] [PubMed]
- Harvey, E.T.; Kratzer, S.; Philipson, P. Satellite-Based Water Quality Monitoring for Improved Spatial and Temporal Retrieval of Chlorophyll-a in Coastal Waters. Remote Sens. Environ. 2015, 158, 417–430. [Google Scholar] [CrossRef]
- Liu, K.-K.; Chao, S.-Y.; Shaw, P.-T.; Gong, G.-C.; Chen, C.-C.; Tang, T.Y. Monsoon-Forced Chlorophyll Distribution and Primary Production in the South China Sea: Observations and a Numerical Study. Deep Sea Res. Part I Oceanogr. Res. Pap. 2002, 49, 1387–1412. [Google Scholar] [CrossRef]
- Zhang, W.; Wang, H.; Chai, F.; Qiu, G. Physical Drivers of Chlorophyll Variability in the Open South China Sea. JGR Ocean. 2016, 121, 7123–7140. [Google Scholar] [CrossRef]
- Signorini, S.R.; Franz, B.A.; McClain, C.R. Chlorophyll Variability in the Oligotrophic Gyres: Mechanisms, Seasonality and Trends. Front. Mar. Sci. 2015, 2, 1. [Google Scholar] [CrossRef]
- Liang, W.; Tang, D.; Luo, X. Phytoplankton Size Structure in the Western South China Sea under the Influence of a ‘Jet-Eddy System’. J. Mar. Syst. 2018, 187, 82–95. [Google Scholar] [CrossRef]
- Tang, D.; Kawamura, H.; Lee, M.-A.; Van Dien, T. Seasonal and Spatial Distribution of Chlorophyll-a Concentrations and Water Conditions in the Gulf of Tonkin, South China Sea. Remote Sens. Environ. 2003, 85, 475–483. [Google Scholar] [CrossRef]
- Hong, L.; Wang, C.; Zhou, Y.; Chen, M.; Liu, H.; Lin, Z.; Song, X. The Distribution of Chlorophyll a in the Tropical Eastern Indian Ocean in Austral Summer. Acta Oceanol. Sin. 2012, 31, 146–159. [Google Scholar] [CrossRef]
- Wang, Y.; Tian, X.; Gao, Z. Evolution of Satellite Derived Chlorophyll-a Trends in the Bohai and Yellow Seas during 2002–2018: Comparison between Linear and Nonlinear Trends. Estuar. Coast. Shelf Sci. 2021, 259, 107449. [Google Scholar] [CrossRef]
- Kahru, M.; Gille, S.T.; Murtugudde, R.; Strutton, P.G.; Manzano-Sarabia, M.; Wang, H.; Mitchell, B.G. Global Correlations between Winds and Ocean Chlorophyll. J. Geophys. Res. 2010, 115, 2010JC006500. [Google Scholar] [CrossRef]
- Nababan, B.; Muller-Karger, F.E.; Hu, C.; Biggs, D.C. Chlorophyll Variability in the Northeastern Gulf of Mexico. Int. J. Remote Sens. 2011, 32, 8373–8391. [Google Scholar] [CrossRef]
- Chen, G.; Xiu, P.; Chai, F. Physical and Biological Controls on the Summer Chlorophyll Bloom to the East of Vietnam. J. Ocean. 2014, 70, 323–328. [Google Scholar] [CrossRef]
- Martins, I.; Marques, J.C. A Model for the Growth of Opportunistic Macroalgae (Enteromorpha sp.) in Tidal Estuaries. Estuar. Coast. Shelf Sci. 2002, 55, 247–257. [Google Scholar] [CrossRef]
- Sun, K.; Ren, J.S.; Bai, T.; Zhang, J.; Liu, Q.; Wu, W.; Zhao, Y.; Liu, Y. A Dynamic Growth Model of Ulva Prolifera: Application in Quantifying the Biomass of Green Tides in the Yellow Sea, China. Ecol. Model. 2020, 428, 109072. [Google Scholar] [CrossRef]
- Long, T.; Wu, L.; Meng, G.; Guo, W. Numerical Simulation for Impacts of Hydrodynamic Conditions on Algae Growth in Chongqing Section of Jialing River, China. Ecol. Model. 2011, 222, 112–119. [Google Scholar] [CrossRef]
- Li, K.; Zhang, L.; Li, Y.; Zhang, L.; Wang, X. A Three-Dimensional Water Quality Model to Evaluate the Environmental Capacity of Nitrogen and Phosphorus in Jiaozhou Bay, China. Mar. Pollut. Bull. 2015, 91, 306–316. [Google Scholar] [CrossRef] [PubMed]
- Chen, Y.; Song, D.; Li, K.; Gu, L.; Wei, A.; Wang, X. Hydro-Biogeochemical Modeling of the Early-Stage Outbreak of Green Tide (Ulva prolifera) Driven by Land-Based Nutrient Loads in the Jiangsu Coast. Mar. Pollut. Bull. 2020, 153, 111028. [Google Scholar] [CrossRef] [PubMed]
- Mendes, J.; Ruela, R.; Picado, A.; Pinheiro, J.P.; Ribeiro, A.S.; Pereira, H.; Dias, J.M. Modeling Dynamic Processes of Mondego Estuary and Óbidos Lagoon Using Delft3D. JMSE 2021, 9, 91. [Google Scholar] [CrossRef]
- Gao, Q.; He, G.; Fang, H.; Bai, S.; Huang, L. Numerical Simulation of Water Age and Its Potential Effects on the Water Quality in Xiangxi Bay of Three Gorges Reservoir. J. Hydrol. 2018, 566, 484–499. [Google Scholar] [CrossRef]
- Cruz-Rico, J.; Rivas, D. Physical and Biogeochemical Variability in Todos Santos Bay, Northwestern Baja California, Derived from a Numerical NPZD Model. J. Mar. Syst. 2018, 183, 63–75. [Google Scholar] [CrossRef]
- Yu, L.; Yang, B.; Jiang, W.; Li, K. A Model Study on Dynamical Processes of Phytoplankton in Laizhou Bay. J. Ocean Univ. China 2014, 13, 23–31. [Google Scholar] [CrossRef]
- Feng, L.; Chen, B.; Hayat, T.; Alsaedi, A.; Ahmad, B. Modelling the Influence of Thermal Discharge under Wind on Algae. Phys. Chem. Earth Parts A/B/C 2015, 79–82, 108–114. [Google Scholar] [CrossRef]
- Lopes, J.F.; Silva, C. Temporal and Spatial Distribution of Dissolved Oxygen in the Ria de Aveiro Lagoon. Ecol. Model. 2006, 197, 67–88. [Google Scholar] [CrossRef]
- MIKE 21. Hydrodynamic and Transport Module Scientific Documentation; MIKE 21 Flow Model FM; MIKE by DHI: Copenhagen, Denmark, 2014. [Google Scholar]
- Ranjbar, M.H.; Etemad-Shahidi, A.; Kamranzad, B. Modeling the Combined Impact of Climate Change and Sea-Level Rise on General Circulation and Residence Time in a Semi-Enclosed Sea. Sci. Total Environ. 2020, 740, 140073. [Google Scholar] [CrossRef]
- Kuang, C.; Chen, J.; Wang, J.; Qin, R.; Fan, J.; Zou, Q. Effect of Wind-Wave-Current Interaction on Oil Spill in the Yangtze River Estuary. J. Mar. Sci. Eng. 2023, 11, 494. [Google Scholar] [CrossRef]
- Jakacki, J.; Przyborska, A.; Kosecki, S.; Sundfjord, A.; Albretsen, J. Modelling of the Svalbard Fjord Hornsund. Oceanologia 2017, 59, 473–495. [Google Scholar] [CrossRef]
- Doan, Q.T.; Nguyen, T.M.L.; Quach, T.T.T.; Tran, A.P.; Nguyen, C.D. Assessment of Water Quality in Coastal Estuaries under the Impact of an Industrial Zone in Hai Phong, Vietnam. Phys. Chem. Earth Parts A/B/C 2019, 113, 100–114. [Google Scholar] [CrossRef]
- Jia, H.; Shen, Y.; Su, M.; Yu, C. Numerical Simulation of Hydrodynamic and Water Quality Effects of Shoreline Changes in Bohai Bay. Front. Earth Sci. 2018, 12, 625–639. [Google Scholar] [CrossRef]
- Han, X.; Kuang, C.; Li, Y.; Song, W.; Qin, R.; Wang, D. Numerical Modeling of a Green Tide Migration Process with Multiple Artificial Structures in the Western Bohai Sea, China. Appl. Sci. 2022, 12, 3017. [Google Scholar] [CrossRef]
- Shalby, A.; Elshemy, M.; Zeidan, B.A. Assessment of Climate Change Impacts on Water Quality Parameters of Lake Burullus, Egypt. Environ. Sci. Pollut. Res. 2020, 27, 32157–32178. [Google Scholar] [CrossRef] [PubMed]
- Islam, M.M.M.; Iqbal, M.S.; Leemans, R.; Hofstra, N. Modelling the Impact of Future Socio-Economic and Climate Change Scenarios on River Microbial Water Quality. Int. J. Hyg. Environ. Health 2018, 221, 283–292. [Google Scholar] [CrossRef]
- Zhu, Y.P.; Zhang, H.P.; Chen, L.; Zhao, J.F. Influence of the South–North Water Diversion Project and the Mitigation Projects on the Water Quality of Han River. Sci. Total Environ. 2008, 406, 57–68. [Google Scholar] [CrossRef]
- Yadav, A.; Pandey, J. The Pattern of N/P/Si Stoichiometry and Ecological Nutrient Limitation in Ganga River: Up- and Downstream Urban Influences. Appl. Water Sci. 2018, 8, 94. [Google Scholar] [CrossRef]
- Yu, Y.; Xing, X.; Liu, H.; Yuan, Y.; Wang, Y.; Chai, F. The Variability of Chlorophyll-a and Its Relationship with Dynamic Factors in the Basin of the South China Sea. J. Mar. Syst. 2019, 200, 103230. [Google Scholar] [CrossRef]
- Liu, X.; Wang, Z.; Zhang, X. A Review of the Green Tides in the Yellow Sea, China. Mar. Environ. Res. 2016, 119, 189–196. [Google Scholar] [CrossRef]
- Liu, D.; Keesing, J.K.; He, P.; Wang, Z.; Shi, Y.; Wang, Y. The World’s Largest Macroalgal Bloom in the Yellow Sea, China: Formation and Implications. Estuar. Coast. Shelf Sci. 2013, 129, 2–10. [Google Scholar] [CrossRef]
- Wang, Z.; Xiao, J.; Fan, S.; Li, Y.; Liu, X.; Liu, D. Who Made the World’s Largest Green Tide in China? An Integrated Study on the Initiation and Early Development of the Green Tide in Y Ellow S Ea. Limnol. Oceanogr. 2015, 60, 1105–1117. [Google Scholar] [CrossRef]
- Zhao, L.; Zhu, R.; Zhou, Q.; Jeppesen, E.; Yang, K. Trophic Status and Lake Depth Play Important Roles in Determining the Nutrient-Chlorophyll a Relationship: Evidence from Thousands of Lakes Globally. Water Res. 2023, 242, 120182. [Google Scholar] [CrossRef]
- Corredor-Acosta, A.; Cortés-Chong, N.; Acosta, A.; Pizarro-Koch, M.; Vargas, A.; Medellín-Mora, J.; Saldías, G.S.; Echeverry-Guerra, V.; Gutiérrez-Fuentes, J.; Betancur-Turizo, S. Spatio-Temporal Variability of Chlorophyll-A and Environmental Variables in the Panama Bight. Remote Sens. 2020, 12, 2150. [Google Scholar] [CrossRef]
- Wang, Y.; Gao, Z. Contrasting Chlorophyll-a Seasonal Patterns between Nearshore and Offshore Waters in the Bohai and Yellow Seas, China: A New Analysis Using Improved Satellite Data. Cont. Shelf Res. 2020, 203, 104173. [Google Scholar] [CrossRef]
- Li, H.; Zhang, Y.; Han, X.; Shi, X.; Rivkin, R.B.; Legendre, L. Growth Responses of Ulva Prolifera to Inorganic and Organic Nutrients: Implications for Macroalgal Blooms in the Southern Yellow Sea, China. Sci. Rep. 2016, 6, 26498. [Google Scholar] [CrossRef] [PubMed]
- GB3838-2002; Chinese Environmental Water Quality Standards for Surface Water. Environmental Protection Agency of China: Beijing, China, 2002.
- Setiawan, R.Y.; Habibi, A. Satellite Detection of Summer Chlorophyll-a Bloom in the Gulf of Tomini. IEEE J. Sel. Top. Appl. Earth Obs. Remote Sens. 2011, 4, 944–948. [Google Scholar] [CrossRef]
- Muskananfola, M.R.; Jumsar; Wirasatriya, A. Spatio-Temporal Distribution of Chlorophyll-a Concentration, Sea Surface Temperature and Wind Speed Using Aqua-Modis Satellite Imagery over the Savu Sea, Indonesia. Remote Sens. Appl. Soc. Environ. 2021, 22, 100483. [Google Scholar] [CrossRef]
- Shen, C.; Yan, Y.; Zhao, H.; Pan, J.; Devlin, A.T. Influence of Monsoonal Winds on Chlorophyll-α Distribution in the Beibu Gulf. PLoS ONE 2018, 13, e0191051. [Google Scholar] [CrossRef] [PubMed]
- Gong, W.; Shen, J.; Jia, J. The Impact of Human Activities on the Flushing Properties of a Semi-Enclosed Lagoon: Xiaohai, Hainan, China. Mar. Environ. Res. 2008, 65, 62–76. [Google Scholar] [CrossRef] [PubMed]
- Li, C.; O’Donnell, J. Tidally Driven Residual Circulation in Shallow Estuaries with Lateral Depth Variation. J. Geophys. Res. 1997, 102, 27915–27929. [Google Scholar] [CrossRef]
- Xu, P.; Mao, X.; Jiang, W. Mapping Tidal Residual Circulations in the Outer Xiangshan Bay Using a Numerical Model. J. Mar. Syst. 2016, 154, 181–191. [Google Scholar] [CrossRef]
- Liu, Z.; Wei, H.; Liu, G.; Zhang, J. Simulation of Water Exchange in Jiaozhou Bay by Average Residence Time Approach. Estuar. Coast. Shelf Sci. 2004, 61, 25–35. [Google Scholar] [CrossRef]
- Chen, H.; Zou, Q.-P. Eulerian–Lagrangian Flow-Vegetation Interaction Model Using Immersed Boundary Method and OpenFOAM. Adv. Water Resour. 2019, 126, 176–192. [Google Scholar] [CrossRef]
- Chen, H.; Liu, X.; Zou, Q.-P. Wave-Driven Flow Induced by Suspended and Submerged Canopies. Adv. Water Resour. 2019, 123, 160–172. [Google Scholar] [CrossRef]
- Zhu, L.; Zou, Q.; Huguenard, K.; Fredriksson, D.W. Mechanisms for the Asymmetric Motion of Submerged Aquatic Vegetation in Waves: A Consistent-Mass Cable Model. JGR Oceans 2020, 125, e2019JC015517. [Google Scholar] [CrossRef]
- Peng, Z.; Zou, Q.-P.; Lin, P. A Partial Cell Technique for Modeling the Morphological Change and Scour. Coast. Eng. 2018, 131, 88–105. [Google Scholar] [CrossRef]
















Disclaimer/Publisher’s Note: The statements, opinions and data contained in all publications are solely those of the individual author(s) and contributor(s) and not of MDPI and/or the editor(s). MDPI and/or the editor(s) disclaim responsibility for any injury to people or property resulting from any ideas, methods, instructions or products referred to in the content. |
© 2024 by the authors. Licensee MDPI, Basel, Switzerland. This article is an open access article distributed under the terms and conditions of the Creative Commons Attribution (CC BY) license (https://creativecommons.org/licenses/by/4.0/).
Share and Cite
Wang, D.; Kuang, C.; Wang, G.; Liu, J.; Song, W.; Xing, R.; Zou, Q. Factors Influencing the Spatio-Temporal Distribution of Chlorophyll-a in Jinmeng Bay, China. J. Mar. Sci. Eng. 2024, 12, 384. https://doi.org/10.3390/jmse12030384
Wang D, Kuang C, Wang G, Liu J, Song W, Xing R, Zou Q. Factors Influencing the Spatio-Temporal Distribution of Chlorophyll-a in Jinmeng Bay, China. Journal of Marine Science and Engineering. 2024; 12(3):384. https://doi.org/10.3390/jmse12030384
Chicago/Turabian StyleWang, Dan, Cuiping Kuang, Gang Wang, Jiantao Liu, Wei Song, Rongrong Xing, and Qingping Zou. 2024. "Factors Influencing the Spatio-Temporal Distribution of Chlorophyll-a in Jinmeng Bay, China" Journal of Marine Science and Engineering 12, no. 3: 384. https://doi.org/10.3390/jmse12030384
APA StyleWang, D., Kuang, C., Wang, G., Liu, J., Song, W., Xing, R., & Zou, Q. (2024). Factors Influencing the Spatio-Temporal Distribution of Chlorophyll-a in Jinmeng Bay, China. Journal of Marine Science and Engineering, 12(3), 384. https://doi.org/10.3390/jmse12030384

