Numerical Simulations of Seaplane Ditching on Calm Water and Uniform Water Current Coupled with Wind
Abstract
1. Introduction
2. Numerical Methods
2.1. Governing Equations
2.2. Turbulence Modeling
2.3. Finite-Volume Discretization
2.4. Overset Grid Technique
2.5. Six-Degree-of-Freedom Body Motions
3. Model and Grid Generation
3.1. Geometry of the Model
3.2. Computational Domain
3.3. Grid Generation
4. Numerical Results and Discussions
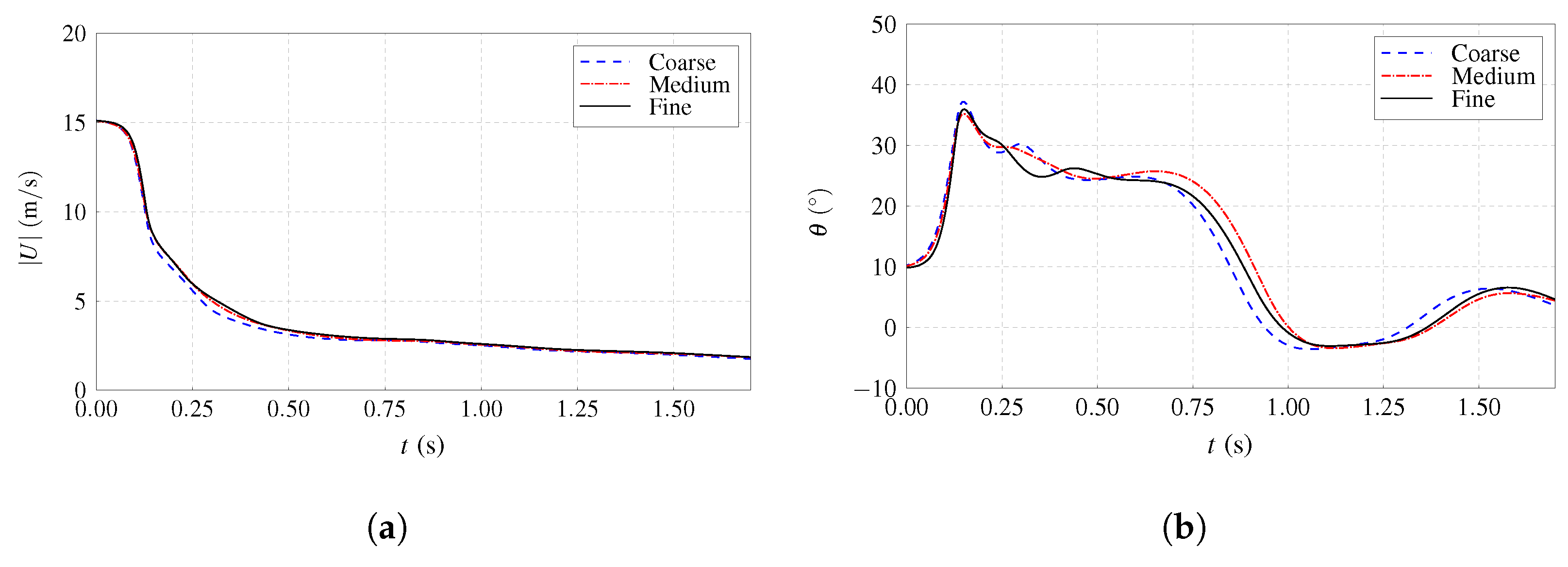
4.1. Verification and Validation
4.2. Ditching on Calm Water
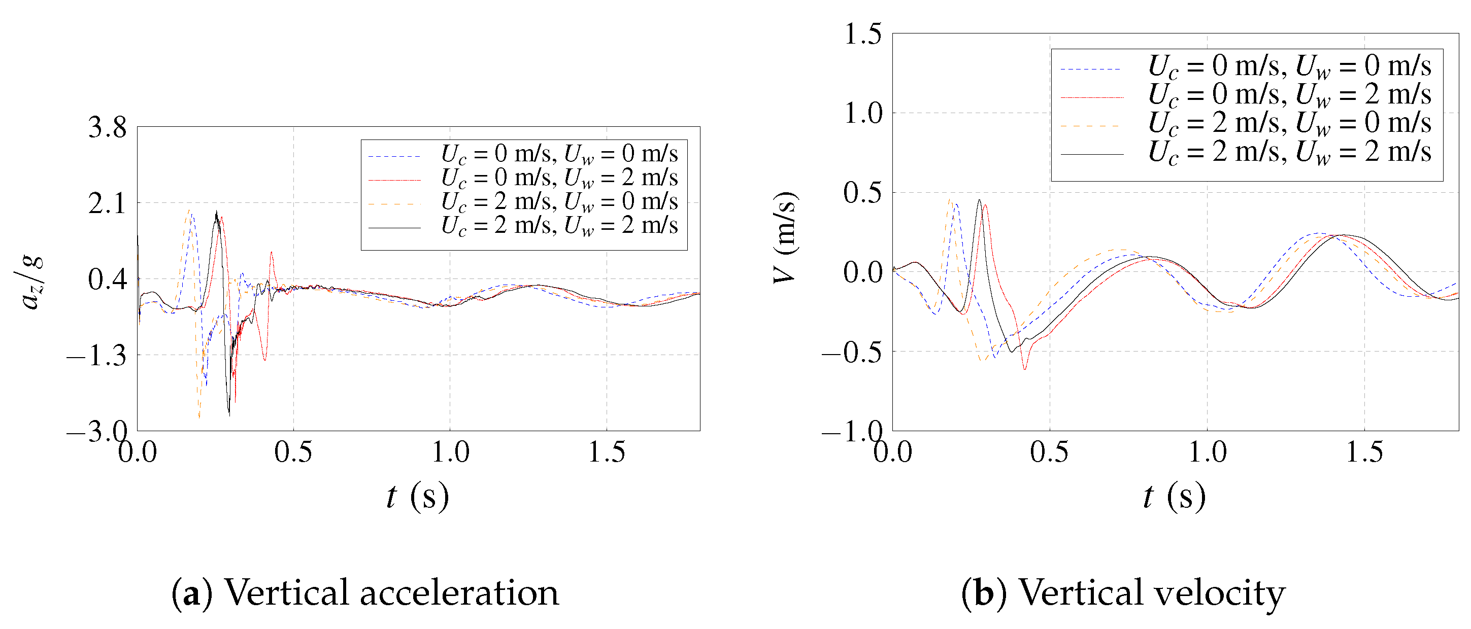
4.3. Ditching on Water with Current/Wind
5. Conclusions
- The motion amplitude and accelerations can be increased by increasing the initial horizontal velocity of the plane, . A higher means more kinetic energy can be transferred to the fluid energies, and therefore, the plane velocity must be controlled before the plane ditches on calm water. The peak of the local pressure at the probe P1 was little affected by changing . However, the impact time at P1 was delayed for a higher . For the local pressure at P2 and P3, the impact time was almost the same for the cases with various .
- The motion responses of the case with the initial pitch angle were the largest in comparison with the results of the cases with and . The first impact time of the local pressures at probes P1, P2, and P3 was also longer for the case with . Therefore, the initial pitch angle should not be close to .
- The effects of wind and current on the ditching performance of the TN2929 model were explained. The water current in the opposite direction of the advancing plane led to an increase in the horizontal loads, while the vertical loads were less affected by the current. The wind in the opposite direction of the advancing plane had little influence on the amplitude of slamming loads and motions. However, the wind was able to delay the impact time for the total loads and local pressures.
Author Contributions
Funding
Institutional Review Board Statement
Informed Consent Statement
Data Availability Statement
Conflicts of Interest
References
- Kanyoo, P. Mathematical Model of High Speed Planing Dynamics and Application to Aircraft Ditching. Ph.D. Thesis, University of Southampton, Southampton, UK, 2016. [Google Scholar]
- Lou, B.; Wang, G.; Huang, Z.; Ye, S. Preliminary design and performance analysis of a solar-powered unmanned seaplane. Proc. Inst. Mech. Eng. Part G J. Aerosp. Eng. 2019, 233, 5606–5617. [Google Scholar] [CrossRef]
- Karman, T.V. The impact of seaplane floats during landing. In National Advisory Committee for Aeronautics Technical Report Archive & Image Library; NASA: Washington, DC, USA, 1929. [Google Scholar]
- Wagner, H. Über stoß-und gleitvorgänge an der oberfläche von flüssigkeiten. ZAMM-J. Appl. Math. Mech. Angew. Math. Mech. 1932, 12, 193–215. [Google Scholar] [CrossRef]
- Oliver, J. Second-order Wagner theory for two-dimensional water-entry problems at small deadrise angles. J. Fluid Mech. 2007, 572, 59–85. [Google Scholar] [CrossRef]
- Chatjigeorgiou, I.K. An analytical approach for the three-dimensional water entry problem of solids creating elliptical contact regions. J. Fluids Struct. 2019, 91, 102703. [Google Scholar] [CrossRef]
- Zhao, R.; Faltinsen, O.; Aarsnes, J. Water entry of arbitrary two-dimensional sections with and without flow separation. In Proceedings of the 21st Symposium on Naval Hydrodynamics, Trondheim, Norway, 24–28 June 1996; pp. 408–423. [Google Scholar]
- Barjasteh, M.; Zeraatgar, H.; Javaherian, M.J. An experimental study on water entry of asymmetric wedges. Appl. Ocean Res. 2016, 58, 292–304. [Google Scholar] [CrossRef]
- Zhang, Y.; Xu, F.; Cai, W.; Li, J. Experimental study on the impact response of different structures water entry. In Proceedings of the 2017 8th International Conference on Mechanical and Aerospace Engineering (ICMAE), Prague, Czech Republic, 22–25 July 2017; pp. 644–647. [Google Scholar]
- Iafrati, A.; Grizzi, S. Cavitation and ventilation modalities during ditching. Phys. Fluids 2019, 31, 052101. [Google Scholar] [CrossRef]
- Nicolosi, G.; Valpiani, F.; Grilli, G.; Saponaro Piacente, A.; Di Ianni, L.; Cestino, E.; Sapienza, V.; Polla, A.; Piana, P. Design of A Vertical Ditching Test. In Proceedings of the 32nd ICAS Congress, Shanghai, China, 6–10 September 2021; pp. 6–10. [Google Scholar]
- Schellin, T.E.; Moctar, O.E. Numerical prediction of impact-related wave loads on ships. J. Offshore Mech. Arct. Eng. 2007, 129, 39–47. [Google Scholar] [CrossRef]
- Qu, Q.; Hu, M.; Guo, H.; Liu, P.; Agarwal, R.K. Study of ditching characteristics of transport aircraft by global moving mesh method. J. Aircr. 2015, 52, 1550–1558. [Google Scholar] [CrossRef]
- Qu, Q.; Liu, C.; Liu, P.; Guo, B.; Agarwal, R.K. Numerical simulation of water-landing performance of a regional aircraft. J. Aircr. 2016, 53, 1680–1689. [Google Scholar] [CrossRef]
- Qi, H.; Bin, W.; Ming-Zhen, W.; Miao, H.; Rong, J. Numerical simulation of wave landing loads characteristics of twin-float seaplane. In Proceedings of the IOP Conference Series: Materials Science and Engineering, Kazimierz Dolny, Poland, 21–23 November 2019; Volume 692, p. 012024. [Google Scholar]
- Zheng, Y.; Liu, P.; Qu, Q.; Wen, X.; Dai, J. Numerical Analysis of Porpoising Stability Limit of a Blended-Wing—Body Aircraft During Ditching. J. Aircr. 2023, 60, 348–354. [Google Scholar] [CrossRef]
- Benmoussa, A.; Gamboa, P.V. Effect of Control Parameters on Hybrid Electric Propulsion UAV Performance for Various Flight Conditions: Parametric Study. Appl. Mech. 2023, 4, 493–513. [Google Scholar] [CrossRef]
- Song, Z.; Deng, R.; Wu, T.; Duan, X.; Ren, H. Numerical simulation of planing motion and hydrodynamic performance of a seaplane in calm water and waves. Eng. Appl. Comput. Fluid Mech. 2023, 17, 2244028. [Google Scholar] [CrossRef]
- Xiao, T.; Qin, N.; Lu, Z.; Sun, X.; Tong, M.; Wang, Z. Development of a smoothed particle hydrodynamics method and its application to aircraft ditching simulations. Aerosp. Sci. Technol. 2017, 66, 28–43. [Google Scholar] [CrossRef]
- Woodgate, M.A.; Barakos, G.N.; Scrase, N.; Neville, T. Simulation of helicopter ditching using smoothed particle hydrodynamics. Aerosp. Sci. Technol. 2019, 85, 277–292. [Google Scholar] [CrossRef]
- Xu, Y.; Sun, P.N.; Huang, X.T.; Marrone, S.; Geng, L.M. Numerical study of the splashing wave induced by a seaplane using mesh-based and particle-based methods. Theor. Appl. Mech. Lett. 2023, 13, 100463. [Google Scholar] [CrossRef]
- Mcbride, E.E.; Fisher, L.J. Experimental investigation of the effect of rear-fuselage shape on ditching behavior. In National Advisory Committee for Aeronautics Technical Report Archive & Image Library; NASA: Washington, DC, USA, 1953. [Google Scholar]
- Lai, Y.; So, R.; Anwer, M.; Hwang, B. Calculations of a curved-pipe flow using Reynolds stress closure. Proc. Inst. Mech. Eng. Part C Mech. Eng. Sci. 1991, 205, 231–244. [Google Scholar] [CrossRef]
- Spalart, P.; Allmaras, S. A one-equation turbulence model for aerodynamic flows. In Proceedings of the 30th Aerospace Sciences Meeting and Exhibit, Reno, NV, USA, 6–9 January 1992; p. 439. [Google Scholar]
- Wilcox, D.C. Formulation of the kw turbulence model revisited. AIAA J. 2008, 46, 2823–2838. [Google Scholar] [CrossRef]
- Menter, F.R. Two-equation eddy-viscosity turbulence models for engineering applications. AIAA J. 1994, 32, 1598–1605. [Google Scholar] [CrossRef]
- Shih, T.H.; Liou, W.W.; Shabbir, A.; Yang, Z.; Zhu, J. A new k-ϵ eddy viscosity model for high Reynolds number turbulent flows. Comput. Fluids 1995, 24, 227–238. [Google Scholar] [CrossRef]
- Mockett, C.; Fuchs, M.; Thiele, F. Progress in DES for wall-modelled LES of complex internal flows. Comput. Fluids 2012, 65, 44–55. [Google Scholar] [CrossRef]
- Moukalled, F.; Mangani, L.; Darwish, M. The finite volume method. In The Finite Volume Method in Computational Fluid Dynamics; Springer: Berlin/Heidelberg, Germany, 2016; pp. 103–135. [Google Scholar]
- Hu, Q.; Wang, M.Z.; Wu, B.; Zhang, J.X.; Xiao, Z. The Application of Overset Grid in the Analysis of Impact Loads of Amphibious Aircraft during Landing on the Water. In Proceedings of the IOP Conference Series: Materials Science and Engineering, Chennai, India, 16–17 September 2020; Volume 751, p. 012032. [Google Scholar]
- Chen, J.; Xiao, T.; Wang, M.; Lu, Y.; Tong, M. Numerical study of wave effect on aircraft water-landing performance. Appl. Sci. 2022, 12, 2561. [Google Scholar] [CrossRef]























| Items | Symbol | Value |
|---|---|---|
| Length | L (m) | 1.2192 |
| Width | B (m) | 1.6764 |
| Height | h (m) | 0.2985 |
| Mass | m (kg) | 5.6750 |
| Area of wings | S () | 0.4045 |
| Center of gravity | (m) | 0.5705 |
| Center of gravity | (m) | 0.1015 |
| Moment of inertia | 0.29245 | |
| Moment of inertia | 0.29245 |
| Grid Sets | (m) | |||
|---|---|---|---|---|
| Coarse | 0.010 | 1,567,057 | 124,738 | 1,691,795 |
| Medium | 0.007 | 4,331,304 | 298,393 | 4,629,697 |
| Fine | 0.004 | 6,417,224 | 1107,193 | 7,524,417 |
| Time Steps | (s) | CFL |
|---|---|---|
| TS1 | 0.0025 | 1.3 |
| TS2 | 0.0020 | 1.0 |
| TS3 | 0.0015 | 0.7 |
| Probes | X (m) | Y (m) | Z (m) |
|---|---|---|---|
| P1 | 0.0361 | 0.0010 | 0.2033 |
| P2 | 0.6345 | 0.0010 | 0.0239 |
| P3 | 1.1128 | 0.0010 | 0.0147 |
Disclaimer/Publisher’s Note: The statements, opinions and data contained in all publications are solely those of the individual author(s) and contributor(s) and not of MDPI and/or the editor(s). MDPI and/or the editor(s) disclaim responsibility for any injury to people or property resulting from any ideas, methods, instructions or products referred to in the content. |
© 2024 by the authors. Licensee MDPI, Basel, Switzerland. This article is an open access article distributed under the terms and conditions of the Creative Commons Attribution (CC BY) license (https://creativecommons.org/licenses/by/4.0/).
Share and Cite
Zha, R.; Wang, K.; Sun, J.; Tu, H.; Hu, Q. Numerical Simulations of Seaplane Ditching on Calm Water and Uniform Water Current Coupled with Wind. J. Mar. Sci. Eng. 2024, 12, 296. https://doi.org/10.3390/jmse12020296
Zha R, Wang K, Sun J, Tu H, Hu Q. Numerical Simulations of Seaplane Ditching on Calm Water and Uniform Water Current Coupled with Wind. Journal of Marine Science and Engineering. 2024; 12(2):296. https://doi.org/10.3390/jmse12020296
Chicago/Turabian StyleZha, Ruosi, Kai Wang, Jianglong Sun, Haiwen Tu, and Qi Hu. 2024. "Numerical Simulations of Seaplane Ditching on Calm Water and Uniform Water Current Coupled with Wind" Journal of Marine Science and Engineering 12, no. 2: 296. https://doi.org/10.3390/jmse12020296
APA StyleZha, R., Wang, K., Sun, J., Tu, H., & Hu, Q. (2024). Numerical Simulations of Seaplane Ditching on Calm Water and Uniform Water Current Coupled with Wind. Journal of Marine Science and Engineering, 12(2), 296. https://doi.org/10.3390/jmse12020296

