Abstract
The interaction problem of waves with a body floating near the marginal ice zone is studied, where the marginal ice zone is modeled as an array of multiple uniformly sized floating ice sheets. The linear velocity potential theory is applied for fluid flow, and the thin elastic plate mode is utilized to describe the ice sheet deflection. A hybrid method is used to solve the disturbed velocity potential; i.e., around the floating body, a boundary integral equation is established, while in the domain covered by ice sheets, the velocity potential is expanded into an eigenfunction series, and in the far-field with a free surface, a similar eigenfunction expansion is used to satisfy the radiation condition. The boundary integral equation and the coefficients of the eigenfunction expansions are solved together based on the continuous conditions of pressure and velocity on the interface between the sub-domains. Extensive results for the equivalent Young’s modulus of the ice sheet array and hydrodynamic force on the body are provided, and the effect of individual ice sheet length as well as wave parameters are investigated in detail.
1. Introduction
When the free surface wave propagates into the ice-covered region, the large ice sheet would bend to let the energy pass through. As the wave amplitude is larger than a specific one, the large ice sheet would break into small ones, forming the marginal ice zone (MIZ). To avoid additional ice resistance, a ship may navigate along the edge of the MIZ. In such a situation, the disturbed waves by the ship may be reflected by the MIZ, and exerting on the ship again, which will lead to different features of the hydrodynamic force compared to that in open water.
Sea ice has been an area of research interest, with studies mainly focusing on wave–ice interaction. The research has focused on the propagation of waves through ice sheets. The authors of [1] explored wave dispersion relationships and the viscous attenuation of sea ice cover in wave diffusion to a marginal ice zone. They discussed the dispersion relationship of waves under bending and compression, as well as the viscosity attenuation of ice sheets. The authors of [2] calculated the equivalent modulus of elasticity using empirical equations for the elastic modulus and dispersion relationship of ice. Using this modulus and the dispersion relationship equation based on the linear theory of wave motion under infinite elastic floating plates, the wave propagation velocity in the sea ice region was estimated. Some researchers have shown that the properties of ice sheets have an important influence on wave scattering. Ref. [3] considered the effect of a draft on wave scattering between two floating flexible plates. Ref. [4] studied the scattering of ice-coupled waves by cracks in ice sheets, analyzed the effects of cracks and pressure ridges on scattering, and determined the reason for the minimum reflection coefficient. Ref. [5] studied the propagation of curved gravity waves in sea ice of different thicknesses and analyzed the effects of ice size and draft on wave energy distribution. Ref. [6] studied the effect of plate thickness on wavenumber and critical angle. Ref. [7] studied the interaction of waves with a fixed horizontal plate on a fluid surface, providing solutions for the scattering of incident waves from an infinite plate with a constant finite width and a finite parallelogram plate. Ref. [8] deduced the transport equation for flexural-gravity wave propagating under ice sheets of variable thickness in space.
The problems of wave attenuation and scattering has been addressed by various studies. For example, residual calculus techniques were used by [9] to solve the scattering problem of water waves by the edge of a semi-infinite ice sheet in a finite depth of water. The case where the obliquely incident plane wave is from the open sea region and the complementary problem where the wave is incident from the ice-covered region are both considered and exact solutions are obtained. Ref. [10] proposed a linear Boltzmann equation to simulate wave scattering in marginal ice regions. Ref. [11] proposed a method to address the wave scattering problem of an ice sheet of variable thickness. Ref. [12] presented an asymptotic solution for a single crack in an ice sheet, which shed light on the existing wide spacing approximation. As for wave scattering caused by randomly distributed pack ice, the authors of [13] proposed a diffusion approximation method to decompose the wave action density function into a transmission part and a scattering part, and investigate the effects of various factors on wave scattering. Furthermore, ref. [14] presented a three-dimensional model for wave attenuation caused by ice pack scattering, which takes into account the horizontal dimensions of individual pack ices. Ref. [15] proposed a wave dissipation model to study the relationship between ice thickness and wave frequency. Ref. [16] used a direct phase resolution simulation to study the propagation and scattering of nonlinear ocean waves in broken sea ice. They calculated the local wave spectra of the entire ice field for various wave states and floating ice configurations, and performed least square fitting to extract the spatial attenuation rate as a function of wave frequency. Through these studies, the problem of wave attenuation and scattering has been addressed from various aspects, which facilitated our understanding of wave–ice interactions in marginal ice regions.
Experimental studies on the interaction between waves and ice have been conducted. The authors of [17] experimentally studied the dispersion relationship and the attenuation of waves propagating through ice sheets composed of a mixture of oil and thin ice. Ref. [18] performed an experimental study of the kinematic response between isolated ice floes and waves. The results showed that the scale effect, ice pack size, ice pack azimuth, and surface roughness had no effect on the heave motion. Ref. [19] experimentally studied wave propagation in ice/pancake ice, pancake ice, and crushed ice floes, obtained the wave number and attenuation of several monochromatic waves, and determined the equivalent viscoelasticity required for different ice sheets. Ref. [20] proposed an experimental model for ice floes, which used thin plastic sheets with different material properties and thicknesses to study the effects of period and wave steepness on incident and transmitted waves. Ref. [21] studied the effects of incident wave period and steepness on reflection and transmission, and measured the wave field reflected and transmitted by thin floating elastic plates. Ref. [22] conducted experiments on the attenuation and scattering of surface waves in various ice sheets to study the effects of ice thickness, wave frequency, and flexural stiffness on the attenuation rate. The authors of [23] determined the equivalent modulus of elasticity through the wavenumber and dispersion relationship experimentally. They proposed the empirical relationship between equivalent elasticity in wavelength, floating ice size, and length scale. The authors of [24] conducted experiments to study monochromatic waves of different amplitudes and frequencies propagating through three types of ice sheets: thin ice, crushed ice floes, and grease ice. They analyzed the spatial evolution of wave attenuation and phase velocity variation. The wave dispersion and attenuation under different ice properties and wave characteristics were studied.
In recent years, the study of wave, body, and ice interactions in the Arctic region has attracted significant research interest. The authors of [25] studied the wave-induced motion of a floating body on the water surface between two semi-infinite ice sheets. They divided the fluid domain into sub-regions and solved the unknown coefficients by matching the eigenfunction expansions of each sub-region. They discovered that the added mass, damping coefficient, and excitation force of the body oscillate with the wave number. Ref. [26] investigated the hydrodynamics of a cylinder undergoing large amplitude oscillation in ice-covered water using the multipole expansion method. The study examined the effects of properties of the ice sheet as well as the frequency of oscillation. The authors of [27] studied wave diffraction and radiation of a body in a polynya enclosed by an ice sheet extending to infinity. They utilized the eigenfunction expansion method to solve the problem. Recently, ref. [28] presented a hybrid method to solve the interaction of waves with a three-dimensional floating structure in a polynya. These studies contribute to a better understanding of wave–ice–body interactions, which can be helpful for improving our ability to navigate and operate in ice-covered regions.
There are many large and small pieces of ice in the MIZ, which may alternate the way of wave propagations. This work aims to study the wave interactions with a body floating in the vicinity of the MIZ. The disturbed velocity potential was solved using the hybrid method, which involved the establishment of a boundary integral equation around the floating body. The velocity potential within the domain covered by ice sheets was expanded into an eigenfunction series, while the similar eigenfunction expansion was used to satisfy the radiation condition in the far-field free surface part. The continuous conditions of pressure and velocity on the interface between the sub-domains were used to solve the boundary integral equation and the coefficients of the eigenfunction expansions. The study focuses on the influence of the length of an individual floating ice sheet as well as the wavelength. The effects of floating ice array on the hydrodynamics of the body are studied in detail.
2. Numerical Method
In Figure 1, the interaction of waves with a body floating near the semi-infinite floating ice array is depicted. The width and draft of the body are and respectively. The origin O of the cartesian coordinate system is defined at the center of gravity of the body. The x-axis is horizontally to the right along the mean free surface, the z-axis is vertically upward, and y-axis pointing into the paper. The motion of the body is excited by an incident wave which propagates along the x-axis.
Figure 1.
Schematic diagram of floating ice array and floating body.
When the body was floating on the water surface and in the stationary state, the center of buoyancy of the body was passed through by the z-axis. The density of an inviscid, incompressible, and homogeneous fluid is assumed to be , the depth is , and its motion is irrotational. The flow of fluid can be described through the velocity potential . There are several individual ice sheets floating on the right extend from to infinity, as shown in Figure 1, forming a floating ice array. The floating ice array can be considered as a semi-infinite continuous ice sheet with the equivalent elastic modulus , the average thickness , draught , density , Young’s modulus , Poisson’s ratio . The equivalent process of such a model for the floating ice array has been discussed by ref. [23] based on both physical measurements and theoretical approach.
We assume that the amplitude of incident wave is small relative to the wavelength and width of body, so the linearized velocity potential theory can be used. The wave motion is sinusoid in time with the frequency ; the total velocity potential can be obtained as [29].
In Equation (1), is the amplitude of the incident wave potential. The incident potential and diffracted potential are included in the . The radiation potential is generated by oscillation of the floating body. Degrees of freedom include translations in the and directions, respectively, and rotation about the y-axis. The potential in the flow field should satisfy Laplace’s equation:
The combination of the linearized dynamic and kinematic free surface boundary conditions provides
where is the gravitational acceleration. On the vertical plane of the draft of the floating ice array, the impermeable condition is
In addition, the impermeable conditions of the floating body are
where , are the x-axis and z-axis components of the unit normal vector pointing into body, and with as the centre of rotation.
The seabed boundary condition can be written as
The radiation conditions in the far-field are
where is the Kronecker delta function, and if i = 0; otherwise, . In the dispersion equations of regions and , the purely positive imaginary roots and will be discussed in Section 3.1 below.
The floating ice array is considered as a continuous ice sheet with an equivalent elastic modulus. Boundary conditions at the surfaces under the ice sheet can be written as [30]
where is the effective flexural rigidity of the elastic thin plate, and is the mass per unit area. is the equivalent modulus of ice, and it can be obtained by an empirical formula [2],
where can be obtained by ref. [23]
Here, consists of two dimensionless length scales
with
Here, and are the thickness and length of an individual plate, respectively. is a characteristic length relating to ; is the wavelength of the incident wave in open water. and are the intrinsic Young’s modulus and Poisson’s ratio of the plate, respectively. is the density of water, and is the gravitational acceleration.
3. Solution Procedures
3.1. Solution of Velocity Potential of Each Sub-Domain
Based on Green’s identity, the boundary integral equation in each sub-domain , , and can be written as
and
It should be noted that the boundary of region includes the body surface , the free surface , the vertical interface and , and the seabed . Thus, .
In Equations (14)–(16), the velocity potential is expressed by the eigenfunctions as
and
where
The unknown coefficient needs to be determined. and satisfy the dispersion equation for free surface
where and are purely positive imaginary roots and are the purely positive real roots. It should be noted that is the roots of the dispersion equation for the ice sheet [2]
Similar to the method of [25], Equations (14) and (15) can be rewritten as
Similar to that in [31], Equation (16) can be rewritten as
where is the field point in the field; is the source point. Then, the simple source function is defined as
where
In order to solve the velocity potential of each fluid sub-domain, we use the matching method in [31]. According to the continuous condition on the interface
Equations (14) and (15) can be rewritten as
and
When is located on the vertical interface , Equation (28) can be converted to
where
3.2. Solution of Hydrodynamic Force Acting on the Body
Once the velocity potentials have been solved, the pressure on the body can be obtained through the linear Bernoulli equation. Integrating the dynamic pressure over the mean wetted body surface, the hydrodynamic force acting on the floating body can be calculated out. The hydrodynamic force can be divided into three parts; i.e., the wave exciting force from the scattering potential, and the added mass and damping coefficient from the radiation potential. Additionally, due to changes in buoyancy during body oscillation, there may also be a hydrostatic force. Complex motion amplitudes can be determined using linear equations [32]
where is the sway mode of the body, is the heave mode of the body, and is the roll mode of the body. The body mass is , and the hydrostatic restoring coefficient is . is the added mass coefficient, and is the damping coefficient. They can be computed through the following equation
In Equation (38), is the exciting force of the wave with unit amplitude. It can be obtained by
4. Numerical Results
In the following sections, we use the density of water , the acceleration due to gravity , and the width of the body as the basic parameters, and the results will be expressed in the dimensionless form.
4.1. The Wave Dispersion Relation Beneath the Floating Ice Array
In this section, the effects of wavenumber under the floating ice arrays which consisted of individual ice sheets of different sizes are discussed. The ice thickness is , the draft of ice is , and the quality of the ice is . Six individual ice sheet lengths are considered; i.e., .
Figure 2 shows the wavenumber in the water covered by individual ice sheets with different lengths, against . It can be found that the wavenumber increases with . For a given , the wavenumber decreases with the increase of individual ice sheet length . Depending on the individual ice sheet length, the wavenumber may become larger or smaller than that for open water. In fact, when the wavelength of the incident wave is shorter than the size of the individual ice sheet, complementary waves emerge beneath it. This leads to an increase in the wavenumber for smaller-sized individual ice sheets as the wavelength decreases. This phenomenon is observed in ref. [11].
Figure 2.
Wavenumber for individual ice sheets with different lengths.
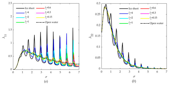
4.2. Equivalent Flexural Stiffness of the Floating Ice Array
The flexural stiffness of floating ice arrays is given as
where is the equivalent modulus of elasticity. can be obtained by Equation (10) [2]. is the average thickness of the floating ice array and is the Poisson’s ration. It may be noticed that when the floating ice array becomes the continuous ice sheet.
The effect of individual ice sheet length on the flexural stiffness is investigated according to Equation (41). The average thickness of the floating ice array is , Poisson’s ratio is , and the sizes of individual ice sheets are . The flexural stiffnesses of floating ice arrays with different is shown in Figure 3. It can be found that has a significant effect on the flexural stiffness. Because the values have different orders of magnitude, they are shown in different sub-figures. From the figure, it is observed that the flexural stiffness for decreases with the increase of wavelength. However, for small-sized ice sheets, the flexural stiffness of the floating ice array increases with the wavelength, namely for .

Figure 3.
The effect of individual ice sheet length on flexural stiffness. ; ; ; ; ; .
The variation of flexural stiffness with wavelength is mainly due to the change in the equivalent elastic modulus , which is defined as
as given in Equation . The experience value is determined by empirical coefficient in Equation , in which the terms of and are mainly included. Here, the average thickness of the floating ice array is taken to be , the characteristic length is the fixed value which is solved by Equation , then is also a fixed one. Thus, the main variable is the size of individual ice sheet . When the length of individual ice sheet is more than the characteristic length , the ratio . At this moment, the correction factor directly influences the trend of variation in flexural stiffness. Thus, the flexural stiffness decreases with the increase of the wavelength, as shown in Figure 3a,b. While for a small , the flexural stiffness increases with the wavelength.
Then, the effect of wavelength on flexural stiffness is considered. As shown in Figure 4, the flexural stiffness increases with the length of individual ice sheet in all cases, as it can be expected.
Figure 4.
The effect of wavelength on flexural stiffness. ; ; ; .
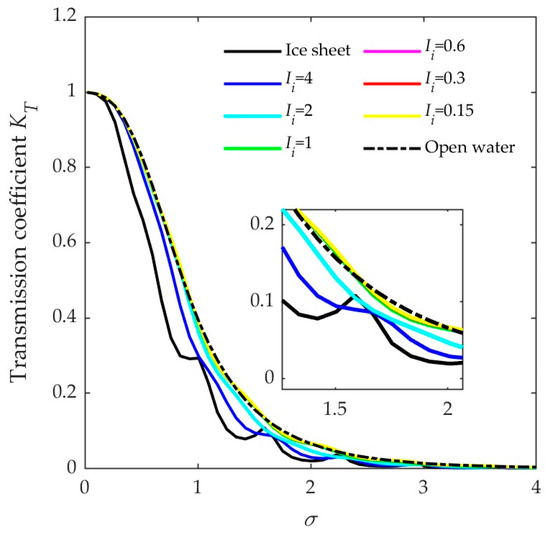
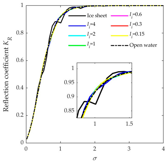
4.3. Wave Transmission and Reflection by the Floating Ice Arrays
Wave transmission and reflection by the floating ice array are considered in this section. The average thickness of a floating ice array is , the draft of ice is , and the mass per unit area is . The reflection coefficients and transmission coefficients in case of different sizes of ice sheets are shown in Figure 5 and Figure 6. When , rises quickly, and decreases correspondingly. When , shows a fluctuation, and for , is nearly indistinguishable. Within the same frequency range, we can observe the similar fluctuation of . It is found that the transmission coefficient in the case of small-sized individual ice sheets is greater than that of large-sized individual ice sheets from Figure 6. This is because for a small-sized individual ice sheet, the flexural stiffness of the floating ice array is small.
Figure 5.
Reflection coefficient against .
Figure 6.
Transmission coefficient against .
4.4. The Features of Hydrodynamic Forces on the Body near the Floating Ice Array
We investigate the effect of changes in the size of an individual ice sheet on the hydrodynamic forces of a square box floating near the MIZ, and analyze the degree of influence on the hydrodynamic force of the square box by changing the mean thickness and draft of the floating ice array.
4.4.1. Verification of Hydrodynamic of a Body Floating near the MIZ
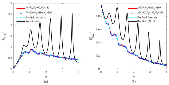
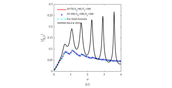
Based on the numerical calculation method of a floating body in two-dimensional MIZ, the square box is used for numerical calculations in the study. Ref. [25] solved the hydrodynamic problem of the interglacial channel between two semi-infinite floating ice sheets, and the analytical solution of the floating square box with width and draft was obtained. Thus, we used the same parameters, the width of the square box , draft , rotation center , the depth of water , the distance between the square box and floating ice array , the mean ice thickness , the draft of ice , the quality of the ice , and the flexural stiffness of the continuous ice sheet , to conduct a comparative verification.
The following Figure 7, Figure 8 and Figure 9 show the added mass, damping coefficients, and wave exciting force of the square box, respectively, which is floating near the MIZ. Additionally, the far-field damping coefficient and far-field wave exciting force are shown in Figure 8 and Figure 9, respectively, which are calculated by the far-field formula [25]
and
where
and is the group velocity of the propagating wave in the open water which can be given as
is the group velocity of a propagating wave under the ice sheet in subregion which can be given as
Figure 7.
The verification of added mass [25]. sway; heave; roll; sway–roll.
Figure 8.
The verification of damping coefficient [25]. (a) sway; (b) heave; (c) roll; (d) sway–roll.

Figure 9.
The verification of wave exciting force [25]. sway; heave; roll.
It should be noticed that the coupling items and are both zero, because of the symmetry of the floating body with respect to the x-axis; thus, zero terms are not given in the following figures. As shown in Figure 7, Figure 8 and Figure 9, we have discovered that the results of mesh size 1 mesh size 2 , and the case of [25] basically coincide when the frequency is lower than , where is the number of truncation terms in the vertical interfaces, is the number of body surface meshes, and is the number of free surfaces meshes. For the small wavenumber, the thickness of the ice sheet is relatively small compared to the wavelength, which can result in the negligible effect of ice thickness on hydrodynamics. Then, whether it is two ice sheets or a single ice sheet, the result is the same. However, when the frequency is greater than , the oscillation trends of the curves are basically the same, but the amplitudes of mesh size 1 and mesh size 2 are only about half of the result of [25]. This is because the square box is only floating near the floating ice array in this study as shown in Figure 1, so a portion of the incident wave is reflected by the left side of the square box to an infinite distance on the left, and the other part of the incident wave passes through the square box and is reflected by the floating ice array to the right of the square box, generating hydrodynamic effects. While in the study of [25], where the square box is floating between two semi-infinite ice sheets, the incident wave is reflected by the left side of square box to the semi-infinite ice sheet on the left. Similarly, the waves passing through the square box are reflected by the right ice sheet to the right side of the square box; the ice sheets on both sides have hydrodynamic effects on the square box. However, only one side of the ice sheet has a hydrodynamic impact on the square box in our study. For the far-field calculation results, they are basically consistent with the results of the two types of meshes. So, the amplitude of our numerical results are roughly half of that. This difference can be observed in Figure 8 and Figure 9. Due to the fact that the positions of the rigid body in the studies are the same, the propagation distances of waves between the floating body and the ice sheet are also the same, resulting in corresponding to the maximum and minimum values at equal frequencies. In addition, due to the interaction of wave–ice sheet–body, the rigid body is subjected to wave forces opposite to the acceleration in the sway direction, resulting in positive and negative values of the added mass in sway and sway–roll modes, which is similar to [33]. This can be seen in Figure 7a,d.
Based on the above analysis of Ren’s and our results, the similarities of oscillation trends and amplitude of the curve are obtained, and the rationality of the numerical method in our study is proved. In following sections, mesh size 1 is adopted for the calculations to improve computational efficiency.
4.4.2. The Influence of the Sizes of Individual Ice Sheets
The hydrodynamic forces of a square box near floating ice arrays in the case of the sizes of individual ice sheets under the action of incident waves are calculated. The width and draft of the square box are and , respectively, and the parameters of the individual floating ice sheets are: average thickness , the draft , the mass . It is noted that the distances between vertical interfaces and origin point . The results for the continuous ice sheet and open water are also provided for comparison.
Figure 10, Figure 11 and Figure 12 show the added mass, damping coefficient, and wave exciting force of the square box floating near the floating ice arrays, respectively. The incident wave passes through the square box, with some being reflected by the floating ice array or the continuous ice sheet to the right wall of the square box, and the other passing through the ice cover, resulting in oscillation of the added mass and damping coefficient as the wave frequency increases, and the extreme values of the oscillation curve is affected by the individual size of the floating ice array.
Figure 10.
The added mass against . sway; heave; roll; sway–roll.

Figure 11.
The damping coefficient against . sway; heave; roll; sway–roll.
Figure 12.
The wave exciting force against . sway; heave; roll.
As shown in Figure 10 and Figure 11, when , the results for all cases are very similar. In fact, when the wavelength of the incident wave is relatively longer to the average ice thickness, the hydrodynamic forces on the square box are very small. When , the hydrodynamic forces of a continuous ice sheet are significantly larger than that in the case of another floating ice sheet. This means that the interaction between the square box and waves which are reflected by the floating ice array begins to strengthen. Due to the equivalent elastic modulus of being close to that of the continuous ice sheet, the results for floating ice arrays consisting of individual ice sheet are also close to that in the case of the continuous ice sheet, while the hydrodynamic forces caused by floating ice arrays of individual ice sheet are closer to that in the case of open water. As wave frequency increases, the wavelength is much smaller than the length of the individual ice sheet; this leads to extreme values in the case of floating ice arrays which consisted of individual ice sheet , exhibiting a gradual increase when . Moreover, at a high frequency, the shorter the length of an individual ice sheet, the greater variation in extreme values. This phenomenon can be observed in Figure 10 and Figure 11.
4.4.3. The Influence of the Individual Ice Thickness
The results for the floating ice arrays for two groups with (1) the size of individual ice sheet and average thickness of ice and (2) , are presented, respectively. The main parameters such as the width of the square box , the draft of square box and the depth of water are adopted in the following calculation. Meanwhile, the results of that in open water are also provided.
As shown in Figure 13, Figure 14 and Figure 15, the added mass, damping coefficient, and wave exciting force on the square box can be categorized as two sets of comparative results, respectively. When , it is difficult to distinguish the differences between the curves. It indicates that the impact on hydrodynamic forces is minimal at long wavelengths. When , the hydrodynamic force caused by floating ice arrays with the average ice thickness is more significant than that caused by that with . This is because the wavelength decreases and the influence of the ice thickness begins to become stronger. When , for the group (1), the extreme values of hydrodynamic forces with both begin to decrease. On the other hand, as the frequency increases, the extreme values with begin to rise. This is because when the wavelength is small enough, the effect of the length of an individual ice sheet becomes vital. It is not surprising that the large-sized individual ice sheet will be seldom affected relative to the small-sized one. In addition, as shown in Figure 13 and Figure 14, the trend of rapid change of the added mass and damping coefficient for is so remarkable, compared with that of .
Figure 13.
The added mass against in case of ice thickness . sway; heave; roll; sway–roll.
Figure 14.
The damping coefficient against in case of ice thickness . sway; heave; roll; sway–roll.

Figure 15.
The wave exciting force against in case of ice thickness . sway; heave; roll.
In fact, the thickness of the floating ice sheet shall be related to its stiffness. When increases, it will impede short waves to penetrate the floating ice arrays. Then, it results in greater reflection and scattering waves. Moreover, as the thickness of ice increases, so does its mass, which will directly enhance its wave exciting force, and greater resistances are excited for body motion. Thus, it enforces more complex interactions between the ice array and floating bodies.
4.4.4. The Influence of the Ice Array Draft
The hydrodynamic forces of the square box with a draft considered or not for floating ice arrays are computed and discussed in this section. The calculation parameters are set up as that the width of square box , the draft of square box , rotation center , the depth of water , the distance between the original point and vertical interfaces , the average thickness of ice , the mass of floating ice array , and the length of individual ice . When the ice sheet draft is included, it should be . Otherwise, .
As shown in Figure 16, Figure 17 and Figure 18, the added mass, damping coefficient, and wave exciting force of a square box with under different drafts are presented. When , it is undistinguished for the results of floating ice arrays of lengths of individual ice with and . When , the peaks of floating ice arrays of with begin to increase. In the case of , the variation of peak values of added mass and the damping coefficient is seemingly small. For , the difference in the results of and is not obvious. When the results of with begin to decrease. On the contrary, for , the results begin to increase.
Figure 16.
The added mass against in case of draft . sway; heave; roll; sway–roll.

Figure 17.
The damping coefficient against in case of draft . sway; heave; roll; sway–roll.
Figure 18.
The exciting force against in case of draft . sway; heave; roll.
It indicates that, for the floating square box near the floating ice arrays, the draft influence on the hydrodynamic forces will be different under different length scales of individual ice sheets. When near that consisting of a large-sized individual one, it has a greater impact on forces with the ice draft than that with non-draft. However, for floating ice arrays consisting of small-sized ones, the ice draft’s influence is relatively small.
4.4.5. The Impact of an Individual Ice Sheet on Wave Elevation
We further investigate the total wave elevation during the entire field. The computational parameters are adopted as the same as those in Section 4.4.2 but only for , continuous ice sheet, and open water. Figure 19 shows the wave elevations at four different frequencies . presents the free surface on the left side of rigid body; the free surface between the rigid body and floating ice sheet lies . Surely, the represents the position of the rigid body.

Figure 19.
The wave elevation distribution to the entire fluid field at different . ; ; ; .
In Figure 19a, the wave elevations on the left show the same values and decline, gradually approaching . This is because the wavelength is much longer than the width , completely penetrating through the rigid body which does not reflect the incident wave. For the right wave elevations, the results are less than the left ones. The wave elevations initially decrease, then slowly rise near the right side of the rigid body, and reach a maximum value at . In addition, due to the reflection of waves by the ice sheet, the results in the case of an ice sheet and open water can be distinguished. For a greater , the wavelength becomes short, the waveform of the incident wave can be fully displayed, and some incident waves can be reflected by rigid body. As shown in Figure 19b, the waveform of the incident wave can be fully displayed. Due to the obstruction of the rigid body, the wave elevation near the left side of the rigid body is higher and the right elevation significantly decreases. As the frequency increases, the obstruction effect of the rigid body becomes stronger. It can be observed that the wave elevation in case of on the left side of the rigid body increases with frequency in Figure 19c,d, while the situation on the right side is the opposite. However, for the cases of an ice sheet and , the results seem to have no significant change. This is because a small-sized floating ice array has smaller flexural stiffness, resulting in fewer reflected waves than a large-sized one. This can be well observed from Figure 6.
5. Conclusions
A hybrid method was used to solve the problem of a floating body near the MIZ. The fluid domain is divided into three sub-domains. Around the floating body, a boundary integral equation is established, while in the sub-domain covered by ice sheets the velocity potential is expanded into an eigenfunction series, and in the far-field sub-domain with a free surface, a similar eigenfunction expansion is used to satisfy the radiation condition. The boundary integral equation and the coefficients of the eigenfunction expansions are solved together based on the continuous conditions of pressure and velocity on the interface between the sub-domains. The wave dispersion relation beneath the ice array and flexural stiffness and equivalent elastic modulus of the floating ice arrays are studied. In addition, the hydrodynamic impacts of floating ice arrays comprising different individual ice lengths on a floating square box are investigated. Furthermore, hydrodynamic forces resulting from variations in average ice thickness and the draft of floating ice arrays of different sizes are discussed. This study yields the following conclusions:
- (1)
- The flexural stiffness of floating ice arrays consisting of large-sized individual ice sheets decrease with the increase of wavelength, while for that of small-sized individual ice sheets, they gradually increase.
- (2)
- The equivalent elastic modulus of the floating array is minimally impacted by the wavelength of the incident wave. However, the change in the equivalent elastic modulus of the floating ice array mainly depends on the length of the individual ice sheet in the arrays.
- (3)
- Due to the reflection of waves by the floating ice arrays, the hydrodynamic forces of the floating body will oscillate, and the amplitude of the oscillation is affected by the length of the individual ice sheet, approaching the result of a continuous ice sheet as the wave frequency increases.
- (4)
- As the average thickness of ice increases, its stiffness also increases. It can weaken the ability of smaller waves to penetrate the ice surface. Then, it can induce that the hydrodynamic effect in the case of a thicker individual ice sheet for a large-sized or small-sized floating ice array is significant. Plus, at a high frequency, the changes in thickness are more sensitive to hydrodynamic effects.
- (5)
- Considering the different drafts of the floating ice arrays, the hydrodynamic forces of a square box in the case of a large-sized floating ice array with a draft are larger than that in the case of without a draft. However, for the small-sized floating ice array, the results in the case of a draft or no draft have no differences.
- (6)
- In the high-frequency stage, compared to large-sized floating ice arrays, small-sized floating ice arrays have a weaker ability to reflect waves, which further leads to an increase in the hydrodynamic coefficient of the rigid body.
Author Contributions
Conceptualization, Z.L. and Y.S.; methodology, B.W.; software, B.W.; validation, Z.L., Y.S. and B.W.; formal analysis, B.W.; investigation, B.W.; resources, B.W.; data curation, Y.S; writing—original draft preparation, B.W.; writing—review and editing, Z.L.; visualization, Y.S.; supervision, Z.L.; project administration, Y.S.; funding acquisition, Z.L. All authors have read and agreed to the published version of the manuscript.
Funding
This research was funded by the National Natural Science Foundation of China (52071162, 52101315, 12372242).
Institutional Review Board Statement
Not applicable.
Informed Consent Statement
Not applicable.
Data Availability Statement
Data are contained within the article.
Conflicts of Interest
The authors declare no conflict of interest.
References
- Liu, A.K.; Holt, B.; Vachon, P.W. Wave propagation in the marginal ice zone: Model predictions and comparisons with buoy and synthetic aperture radar data. J. Geophys. Res. Oceans 1991, 96, 4605–4621. [Google Scholar] [CrossRef]
- Sakai, S.; Hanai, K. Empirical formula of dispersion relation of waves in sea ice. In Ice in the Environment: Proceedings of the 16th IAHR International Symposium on Ice, Dunedin, New Zealand, 2–6 December 2002; International Association of Hydraulic Engineering and Research: Singapore, 2002; Volume 2. [Google Scholar]
- Williams, T.D.; Squire, V.A. The effect of submergence on wave scattering across a transition between two floating flexible plates. Wave Motion 2008, 45, 361–379. [Google Scholar] [CrossRef]
- Vaughan, G.L.; Williams, T.D.; Squire, V.A. Perfect transmission and asymptotic solutions for reflection of ice-coupled waves by inhomogeneities. Wave Motion 2007, 44, 371–384. [Google Scholar] [CrossRef]
- Squire, V.A.; Williams, T.D. Wave propagation across sea-ice thickness changes. Ocean Model. 2008, 21, 1–11. [Google Scholar] [CrossRef]
- Lin, Q.; Lu, D.Q. Hydroelastic interaction between obliquely incident waves and a semi-infinite elastic plate on a two-layer fluid. Appl. Ocean Res. 2013, 43, 71–79. [Google Scholar] [CrossRef]
- Porter, R. Surface wave interaction with rigid plates lying on water. Wave Motion 2016, 66, 118–131. [Google Scholar] [CrossRef]
- Mosig, J.E.M.; Montiel, F.; Squire, V.A. A transport equation for flexural-gravity wave propagation under a sea ice cover of variable thickness. Wave Motion 2019, 88, 153–166. [Google Scholar] [CrossRef]
- Linton, C.M.; Chung, H. Reflection and transmission at the ocean/sea-ice boundary. Wave Motion 2003, 38, 43–52. [Google Scholar] [CrossRef]
- Meylan, M.H.; Masson, D. A linear Boltzmann equation to model wave scattering in the marginal ice zone. Ocean Model. 2006, 11, 417–427. [Google Scholar] [CrossRef]
- Smith, M.J.A.; Meylan, M.H. Wave scattering by an ice floe of variable thickness. Cold Reg. Sci. Technol. 2011, 67, 24–30. [Google Scholar] [CrossRef]
- Bennetts, L.G.; Squire, V.A. Model sensitivity analysis of scattering-induced attenuation of ice-coupled waves. Ocean Model. 2012, 45–46, 1–13. [Google Scholar] [CrossRef]
- Zhao, X.; Shen, H. A diffusion approximation for ocean wave scatterings by randomly distributed ice floes. Ocean Model. 2016, 107, 21–27. [Google Scholar] [CrossRef]
- Meylan, M.H.; Horvat, C.; Bitz, C.M.; Bennetts, L.G. A floe size dependent scattering model in two- and three-dimensions for wave attenuation by ice floes. Ocean Model. 2021, 161, 101779. [Google Scholar] [CrossRef]
- Yu, J.; Rogers, W.E.; Wang, D.W. A new method for parameterization of wave dissipation by sea ice. Cold Reg. Sci. Technol. 2022, 199, 103582. [Google Scholar] [CrossRef]
- Xu, B.; Guyenne, P. Nonlinear simulation of wave group attenuation due to scattering in broken floe fields. Ocean Model. 2023, 181, 102139. [Google Scholar] [CrossRef]
- Wang, R.; Shen, H.H. Experimental study on surface wave propagating through a grease–pancake ice mixture. Cold Reg. Sci. Technol. 2010, 61, 90–96. [Google Scholar] [CrossRef]
- McGovern, D.J.; Bai, W. Experimental study of wave-driven impact of sea ice floes on a circular cylinder. Cold Reg. Sci. Technol. 2014, 108, 36–48. [Google Scholar] [CrossRef]
- Zhao, X.; Shen, H.H. Wave propagation in frazil/pancake, pancake, and fragmented ice covers. Cold Reg. Sci. Technol. 2015, 113, 71–80. [Google Scholar] [CrossRef]
- Bennetts, L.G.; Alberello, A.; Meylan, M.H.; Cavaliere, C.; Babanin, A.V.; Toffoli, A. An idealised experimental model of ocean surface wave transmission by an ice floe. Ocean Model. 2015, 96, 85–92. [Google Scholar] [CrossRef]
- Nelli, F.; Bennetts, L.G.; Skene, D.M.; Monty, J.P.; Lee, J.H.; Meylan, M.H.; Toffoli, A. Reflection and transmission of regular water waves by a thin, floating plate. Wave Motion 2017, 70, 209–221. [Google Scholar] [CrossRef]
- Yiew, L.J.; Parra, S.M.; Wang, D.; Sree, D.K.K.; Babanin, A.V.; Law, A.W.K. Wave attenuation and dispersion due to floating ice covers. Appl. Ocean Res. 2019, 87, 256–263. [Google Scholar] [CrossRef]
- Cheng, S.; Tsarau, A.; Evers, K.U.; Shen, H. Floe Size Effect on Gravity Wave Propagation Through Ice Covers. J. Geophys. Res. Oceans 2019, 124, 320–334. [Google Scholar] [CrossRef]
- Parra, S.M.; Sree, D.K.K.; Wang, D.; Rogers, E.; Lee, J.H.; Collins, C.O.; Law, A.W.-K.; Babanin, A.V. Experimental study on surface wave modifications by different ice covers. Cold Reg. Sci. Technol. 2020, 174, 103042. [Google Scholar] [CrossRef]
- Ren, K.; Wu, G.X.; Thomas, G.A. Wave excited motion of a body floating on water confined between two semi-infinite ice sheets. Phys. Fluids 2016, 28, 127101. [Google Scholar] [CrossRef]
- Li, Z.F.; Shi, Y.Y.; Wu, G.X. Large amplitude motions of a submerged circular cylinder in water with an ice cover. Eur. J. Mech. B/Fluids 2017, 65, 141–159. [Google Scholar] [CrossRef]
- Ren, K.; Wu, G.X.; Ji, C.Y. Wave diffraction and radiation by a vertical circular cylinder standing in a three-dimensional polynya. J. Fluids Struct. 2018, 82, 287–307. [Google Scholar] [CrossRef]
- Li, Z.F.; Shi, Y.Y.; Wu, G.X. A hybrid method for linearized wave radiation and diffraction problem by a three dimensional floating structure in a polynya. J. Comput. Phys. 2020, 412, 109445. [Google Scholar] [CrossRef]
- Wehausen, J.V.; Laitone, E.V. Surface Waves. In Fluid Dynamics/Strömungsmechanik; Truesdell, C., Ed.; Springer: Berlin/Heidelberg, Germany, 1960; pp. 446–778. [Google Scholar] [CrossRef]
- Squire, V.A.; Dugan, J.P.; Wadhams, P.; Rottier, P.J.; Liu, A.K. Of Ocean Waves and Sea Ice. Annu. Rev. Fluid Mech. 1995, 27, 115–168. [Google Scholar] [CrossRef]
- Li, Z.F.; Shi, Y.Y.; Wu, G.X. Interaction of waves with a body floating on polynya between two semi-infinite ice sheets. J. Fluids Struct. 2018, 78, 86–108. [Google Scholar] [CrossRef]
- Newman, J.N. Marine Hydrodynamics; The MIT Press: Cambridge, MA, USA, 1977. [Google Scholar] [CrossRef]
- Li, Z.F.; Shi, Y.Y.; Wu, G.X. Interaction of wave with a body floating on a wide polynya. Phys. Fluids 2017, 29, 097104. [Google Scholar] [CrossRef]
Disclaimer/Publisher’s Note: The statements, opinions and data contained in all publications are solely those of the individual author(s) and contributor(s) and not of MDPI and/or the editor(s). MDPI and/or the editor(s) disclaim responsibility for any injury to people or property resulting from any ideas, methods, instructions or products referred to in the content. |
© 2024 by the authors. Licensee MDPI, Basel, Switzerland. This article is an open access article distributed under the terms and conditions of the Creative Commons Attribution (CC BY) license (https://creativecommons.org/licenses/by/4.0/).