Next Article in Journal
Optimization of a Dual-Channel Water-Cooling Heat Dissipation System for PMSM in Underwater Unmanned Vehicles Using a Multi-Objective Genetic Algorithm
Previous Article in Journal
Comparative Study on Hydrodynamic Characteristics of Under-Water Vehicles Near Free Surface and Near Ice Surface
 
 
Font Type:
Arial Georgia Verdana
Font Size:
Aa Aa Aa
Line Spacing:
Column Width:
Background:
Article

Hydrodynamic Performance of Toroidal Propeller Based on Detached Eddy Simulation Method

1
School of Ocean Engineering, Jiangsu Ocean University, Lianyungang 222005, China
2
College of Shipbuilding Engineering, Harbin Engineering University, Harbin 150001, China
3
School of Ship and Ocean Engineering, Jiangsu Shipping College, Nantong 226000, China
*
Author to whom correspondence should be addressed.
J. Mar. Sci. Eng. 2024, 12(12), 2132; https://doi.org/10.3390/jmse12122132
Submission received: 17 October 2024 / Revised: 19 November 2024 / Accepted: 20 November 2024 / Published: 22 November 2024
(This article belongs to the Section Ocean Engineering)

Abstract

Toroidal propellers hold significant potential as underwater propulsion systems compared to traditional propellers, primarily due to their unique shape, which effectively reduces and minimizes hydrodynamic noise and enhances structural stability and overall strength. To investigate hydrodynamic loads, flow fields, and vortex characteristics of toroidal propellers, numerical simulations were conducted on both toroidal and conventional propellers using the detached eddy simulation (DES) method in Star CCM+ computational fluid dynamics software. Results show that at low advance coefficients, the primary thrust generated by toroidal blades comes from pressure difference in the front section, whereas at high advance coefficients, it originates in the back section. A high-velocity region exists between the front and back sections of the toroidal propeller, with the range and intensity of this region gradually increasing from front to back. The wake vortex of the toroidal propeller comprises two parts: the tip vortex, where the front section tip vortex, back section tip vortex, and transition section leakage vortex merge, and the trailing edge vortex, which forms from the fusion of the front and back section leakage vortices. The fusion of these vortices is influenced by the advance coefficient. Compared to conventional propellers, the toroidal propellers exhibit a more extensive and intense trailing edge vortex in the wake flow field. These findings provide guidance for the optimization design research of toroidal propellers.

1. Introduction

Against the backdrop of the country’s “dual carbon” strategy and the International Maritime Organization’s (IMO) new energy-saving and emission reduction regulations, the development of energy-efficient, low-emission ships and the promotion of green shipping have become more urgent than ever. Meanwhile, the Navy’s strategic transformation has imposed higher performance requirements on ships, underwater weapons, and equipment to support the modernization and upgrading of naval assets. Advancements in underwater propulsion technology now play a critical role in determining the speed, endurance, and stealth capabilities of ships and underwater vehicles. However, conventional propeller systems, with their limited propulsion efficiency and inadequate noise control measures, are increasingly unable to meet the current work requirements of vessels in complex and dynamic marine environments. In recent years, the emergence of high-efficiency, low-noise toroidal propellers has attracted significant attention. The unique shape of toroidal propellers reduces blade tip vortex leakage, blade tip cavitation, and hydrodynamic noise. However, research on the hydrodynamic loads, flow fields, and wake vortex characteristics of the toroidal propellers remains limited, hindering their rapid development. Therefore, further investigation of the hydrodynamic performance of toroidal propellers is crucial for advancing their design.
Currently, research on toroidal propeller hydrodynamics is still in its early stages, with limited reference materials available. In 2013, Sharrow Marine Company filed a patent for toroidal propellers and developed a marine propulsion system [1], claiming improvements in propulsion efficiency and noise reduction [2]. In 2017, the Massachusetts Institute of Technology (MIT) updated and reapplied for the toroidal propeller patent, which was approved in 2020 [3]. Ye et al. [4] derived the three-dimensional coordinate mathematical formula for toroidal propellers and established a mathematical expression method. Hannah et al. [5] used computational fluid dynamics (CFD) methods to evaluate the effects of short axis length and the number of blades on the thrust performance of toroidal propellers in unmanned aerial vehicles (UAVs). Their study concluded that toroidal propellers are a viable alternative to traditional designs, as they can reduce noise levels while generating equal or greater thrust.
The toroidal propeller consists of closed blades that are connected in a ring-like formation, with the root of one end of the blade bent back to the other, combining the advantages of both tandem propellers and contracted loaded tip (CLT) propellers. The front and back sections of the toroidal propeller blades resemble the front and rear propellers of a tandem propeller. A tandem propeller is a type of thruster that features two conventional propellers mounted on the same tail shaft, rotating in the same direction simultaneously. These propellers are spaced apart by a certain distance, causing the rear propeller to operate in the wake of the front one, which results in a higher advancement for the rear propeller [6]. To improve propulsion efficiency, the rear propeller usually has a larger pitch and diameter than the front propeller [7]. Tandem propellers are particularly advantageous for ships with limited propeller diameters or under overload conditions, as they increase the blade area and reduce the load per unit area on the blade surface. This helps improve efficiency while mitigating noise, cavitation, and vibration [8]. The comprehensive performance of tandem propellers is affected not only by the same geometric parameters as conventional propellers but also by the axial distance between the front and rear propellers and the phase delay of the rear propeller blade relative to the corresponding blade of the front propeller [9,10,11,12].
For an airfoil with a limited span, the pressure difference between the upper and lower surfaces of the wing generates an inward rolling flow vortex at the tip, known as the tip vortex. This vortex reduces propulsion efficiency and increases noise, limiting the designer’s ability to optimize geometric propeller parameters. Consequently, suppressing the tip vortex is a central challenge for propeller designers. CLT propeller, known as a tip-loaded propeller, is a type of propeller with endplates on the blade tips. The endplate, usually bent forward or backward, eliminates or reduces tip vortex leakage, thereby improving propulsion efficiency while reducing ship noise and excitation forces. The shape of the endplate has a direct effect on propulsion performance and tip vortex control [13,14]. The transition section of the toroidal propeller blade shares similarities with the forward and backward endplates of the CLT propeller. However, smooth transitions between these sections must be considered, as the shape of the transition section also affects propulsion performance and tip vortex control. Extensive research has been conducted on the hydrodynamic loads, flow fields, and tip vortex characteristics of CLT propellers. Notable studies by Brown et al. [15], Gaggero et al. [16], Moran-Guerrero et al. [17], Chang et al. [18], and Wang et al. [19,20,21] have examined hydrodynamic performance, scale effects, flow fields, and tip vortices under varying parameters such as endplate length, curvature, and angle.
In summary, while significant research has been carried out on the hydrodynamic performance of tandem and CLT propellers through numerical simulations, there has been little focus on the hydrodynamic loads, flow fields, and wake vortex characteristics of toroidal propellers. To address this gap, this paper employs the detached eddy simulation (DES) method to systematically calculate and analyze the hydrodynamic performance of both toroidal and conventional propeller models, exploring the variations in the hydrodynamic performance of toroidal propellers.

2. Numerical Model

2.1. Governing Equation

The continuity equation for the motion of an incompressible Newtonian fluid is
ρ t + ( ρ u i ) x i = 0
The momentum conservation equation is
( ρ u i ) t + x j ( ρ u i u j ) = p x j + x j μ u i x j ρ u i u j ¯ + S j
where ui and uj are the time-averaged values of the velocity components (I, j = 1, 2, 3); p is the time-averaged value of pressure; ρ is the fluid density; μ is the coefficient of dynamic viscosity; ρ u i u j ¯ is the Reynolds stress term; and Sj is the momentum source term.

2.2. Turbulence Model

The selected turbulence model is the shear stress transport (SST) k-ω turbulence model, a two-equation turbulence model that effectively considers the flow in the reverse pressure gradient boundary layer while retaining the stability advantages of the original k-ω turbulence model [22]. The transport equations for turbulent kinetic energy k and specific dissipation rate ω are:
t ( ρ k ) + x i ( ρ k u i ) = x j Γ k k x j + G k Y k + S k
t ( ρ ω ) + x i ρ ω u i = x j Γ ω ω x j + G ω Y ω + S ω
where Γ k and Γ ω represent the effective diffusion rates of k and ω; Gk represents the turbulent kinetic energy generated by the average velocity gradient; Yk and Yω represent the dissipation due to turbulence for k and ω; Sk and Sω are user-defined source terms.
Considering the balance between computational cost and numerical simulation accuracy, the DES is adopted for the unsteady solution of the propeller flow field [23]. DES is a high-precision hybrid large eddy simulation (LES)/Reynolds-averaged Navier–Stokes (RANS) method that applies the RANS method to handle turbulence in the near-wall region, while the LES method solves large eddy structures away from the wall, combining the advantages of both RANS and LES algorithms. In this study, all DES models used the SST k-ω model and the two-equation turbulence model to resolve turbulent structures in the flow field. The RANS equation in the DES model uses the SST k-ω model. Compared to the standalone SST k-ω model, the turbulent kinetic energy diffusion term is rewritten and can be expressed as follows:
Y k = ρ β * k ω F D E S
where the FDES correction formula is
F D E S = max ( L t C d e s × Δ max ( 1 F S S T ) , 1 )
In this formula, the calibration constant Cdes takes a value of 0.61, △max represents the maximum grid gap, FSST = 0, F1, F2.

2.3. Propeller Calculation Model

A toroidal propeller consists of toroidal blades and a hub. Unlike conventional propeller blades, each blade of a toroidal propeller extends from the front root and bends back toward the rear root, forming a closed-loop structure. Each blade has a closed toroidal structure, which includes a front section, transition section, and back section, as shown in Figure 1a. Based on the two prototype propellers (Figure 1b,c), this study introduces several geometric concepts—axis span, camber angle, roll angle, and vertical right angle—to define the shape of the toroidal propeller. The geometric meaning of the axis span refers to the axial distance from any point on the reference line of the toroidal propeller to the starting point at the root blade profile of the front section. The camber angle is the angle between the radial line of the axis span in the projected contour and the blade reference line, representing the blade section’s rotation along the circumferential direction. The roll angle is the rotation angle of the blade section from the horizontal to the vertical position of the blade surface reference line, defined by the angle between the tangent line of the blade surface reference line at the blade section and the radial line. The vertical right angle represents the angle between the chord of the blade section and the rotation tangent line, which helps adjust the angle of attack of the inflow on the toroidal propeller blade section. Geometric representations of the axis span, camber angle, and vertical right angle for the toroidal propeller are shown in Figure 1a. The specific mathematical expression for the geometric shape of the toroidal propeller is available in reference [4]. For the numerical simulation, the geometric parameters of the toroidal propeller are a propeller diameter of D = 0.25 m, four blades, a hub diameter ratio of 0.2, a total axis span diameter ratio of 0.345, a maximum camber angle of 15.5°, and a maximum vertical right angle of 3.45°.

2.4. Computational Domain and Mesh Division

In the calculation of the hydrodynamic performance of the toroidal propeller, the calculation domain consists of an outward flow domain and a rotation domain. The outward flow domain has a length of 9D and a radius of 3D. For a more detailed analysis of the wake structure of the toroidal propeller, the length of the rotation domain has been extended to 3D, with a radius of 0.8D. The velocity inlet is positioned at one end of the outward flow domain, while the pressure outlet is located at the other end. The distances from the velocity inlet and pressure outlet to the propeller disk are 3D and 6D, respectively. The rotational motion of the propeller is simulated using sliding mesh technology, with an interface created between the two domains to transfer numerical information. The division of the entire computational domain is shown in Figure 2.
The quality of the grid is crucial for accurately predicting the hydrodynamic performance of toroidal propellers, as a high-quality grid can significantly improve convergence, efficiency, and the precision of the results. The grid generation for the toroidal propeller model and the computational domain was conducted using the grid generator provided by the Star CCM+ 2020.1 (Build 15.02.007-R8) software. A prism layer mesh was applied to the boundary layer of the toroidal propeller, while the rotation and outward flow domains were meshed using a hexahedral grid generated by a trimmed mesh generator. Ten layers of prismatic grids were generated on the surface of the propeller unit, where y+ is the dimensionless distance from the centroid of the first-layer grid to the wall, with y+ set to 1, which meets the requirements of the DES algorithm. To accurately obtain flow field information on and around the toroidal propeller, the tips, leading edges, and trailing edges of the front, back, and transition sections were refined. Additionally, the tail of the toroidal propeller was further refined to better capture the wake field. The grid division of the entire computational domain is shown in Figure 3. The computational domain and grid settings for predicting the hydrodynamic performance of the prototype propeller were kept identical to those of the toroidal propeller.
In the numerical calculations, the rotational speed of the toroidal propeller was set at n = 10 r/s. The advance coefficient J = Va/nD was varied by altering the inflow velocity within the range of J = 0.2–1.9. The time iteration step was set to 1 °/step, with 10 internal iterations per step. For ease of analysis and comparison during data processing, the thrust and torque of the toroidal propeller were made dimensionless. The dimensionless coefficients are defined as follows:
J = V a n D
K T = T ρ n 2 D 4
K Q = Q ρ n 2 D 5
η = K T K Q J 2 π
where Va is the inflow velocity (m/s); D is the propeller diameter (m); n is the propeller rotational speed (rps); J is the advance coefficient; T, Q, KT, KQ, and η are the propeller thrust, torque, thrust coefficient, torque coefficient, and efficiency, respectively.

3. Grid Independence Verification

3.1. Verification of Numerical Calculation Methods

The PC456 standard model propeller, which is similar to the geometric model of the front section of the toroidal propeller, was selected as the verification object with a propeller diameter of D = 0.25 m. This propeller designed by the China Ship Scientific Research Center [24]. The calculation domain, grid, physical model, and motion parameters for its hydrodynamic performance prediction were set to be the same as those of the toroidal propeller. Steady state calculation verification was carried out within the range of advance coefficient J = 0.1–0.6, and the geometric model and calculation results are shown in Figure 4. Comparing the numerical calculation results with the experimental values, both KT and 10KQ values are consistent with the experimental values, with a maximum error of 4.8%, proving the reliability of the numerical simulation method verification.

3.2. Comparative Analysis of Hydrodynamic Loads

To estimate grid convergence, three different grid sizes were used for verification, with advance coefficients J = 0.4 and J = 0.8 as examples. By adjusting the basic grid size, the grid density was varied without changing the relative grid size. Coarse, medium, and fine grid analyses were conducted separately. The specific parameters for each grid are shown in Table 1, and the corresponding hydrodynamic loads of the toroidal propeller for the three grids are shown in Table 2.
In Table 2, based on a grid size of 8.08 million cells, the dispersion for grids of 5.85 million and 11.95 million cells was calculated. For the thrust coefficient KT, when J = 0.4, the fluctuation ranges were 1.01% and 0.39%, respectively. For J = 0.8, the fluctuation ranges were 1.45% and 0.929%. For the torque coefficient KQ, when J = 0.4, the fluctuation ranges were 0.96% and −0.02%. For J = 0.8, the fluctuation ranges were 1.49% and 0.65%. In terms of efficiency η, when J = 0.4, the fluctuation ranges were 0.04% and 0.41%, and for J = 0.8, the fluctuation ranges were −0.04% and 0.23%. All errors were less than 1.5%, indicating that the fluctuations in KT, KQ, and η caused by the grid size are very small.
To verify the grid convergence of the toroidal propeller, a relevant process discussed by Wang et al. [25] was adopted. The values calculated by coarse grids, medium grids, and fine grids are noted SGC, SGM, and SGF, respectively. The grid converges ratio RG, the estimated order of accuracy (RG)RE, the distance metric to the asymptotic range PG, and the mesh uncertainty UG are calculated by
R G = ( S G M S G C ) 2 / ( S G F S G M ) 2
( P G ) R E = ln ( 1 / R G ) / ln ( r G )
P G = ( P G ) R E / ( P G ) t h
U G = ( 2.45 0.85 P G ) S G F S G M r ( P G ) R E 1 , 0 < P G < 1 ( 16.4 P G 14.8 ) S G F S G M r ( P G ) R E 1 , 1 < P G
where rG is the refinement ratio, rG = (NFine /NMedium)1/d, N is the total grid number, and d indicates the dimension. The calculation of the hydrodynamic performance of the toroidal propeller performed in this study was a three-dimensional problem; thus, d = 3. Furthermore, for the three different grids, rG = 1.139. According to empirical values, (PG)th = 2, and the analysis results are shown in Table 3. According to Table 3, the value of UG is very small, indicating good convergence of the solved grid.

3.3. Comparative Analysis of Vortex Structures

To investigate the influence of grid number on the wake vortex structure of the toroidal propeller, the wake vortex structures at advance coefficients J = 0.4 and J = 0.8 were analyzed for different grid sizes, as shown in Figure 5. Various methods can be used to visualize the wake vortex structure, and in this study, the Q-criterion was selected to visualize the vortex structure, where Q is
Q = ( Ω ¯ 2 + S ¯ 2 ) / 2
From Figure 5, it can be observed that the spatial structures of the tip vortex and trailing edge vortex in the near-field and midfield regions are essentially the same across different grid numbers. This consistency is mainly due to the grid refinement at the tail of the toroidal propeller during grid division. In the far field, an increase in the number of grids allows for a more complete representation of the fusion and subsequent dissipation of the tip vortex or trailing edge vortex. However, this increase has no significant effect on the analysis of the toroidal propeller’s wake vortex characteristics. Therefore, for the numerical simulation, a grid size of 8.05 million cells was selected as optimal.

4. Analysis of Calculation Results

4.1. Hydrodynamic Load Analysis

Figure 6 shows the open water performance curve of the toroidal propeller, with the advance coefficient ranging from J = 0.2 to 1.9 at intervals of 0.1, corresponding to a velocity range of Va = 0.5 to 4.75 m/s. As shown in Figure 6, as the advance coefficient increases, the thrust and torque coefficients of the propeller show a gradually decreasing trend, while the efficiency first increases and then decreases. The maximum efficiency of 58.31% is achieved when J = 1.3. Throughout the range of advance coefficients, the thrust coefficient decreases more rapidly as the advance coefficient increases. Additionally, Figure 6 shows that the torque and thrust coefficients of the toroidal propeller are of the same order of magnitude, indicating that blade design significantly improves thrust while increasing torque. This design is particularly advantageous in situations where the diameter of the thruster is limited, as it can achieve higher self-propulsion efficiency within a limited space. In addition, as the diameter coefficient or load coefficient increases, the efficiency improvement is more significant. For example, for heavily loaded ships, the use of conventional propellers often requires a higher rotational speed, making the self-propulsion operating point far lower than its highest efficiency point under open water conditions. Due to its excellent propulsion capability, the toroidal propeller can operate at a lower rotational speed, making the self-propulsion operating point closer to the highest efficiency point under open water conditions, thereby improving the overall propulsion efficiency.
In addition, to compare the hydrodynamic performance between the toroidal and conventional propellers, the hydrodynamic performance curves for the front and rear propellers are shown in Figure 7. In Figure 7, KTF, KQF, and ηF represent the thrust coefficient, torque coefficient, and efficiency of the front propeller, respectively, while KTR, KQR, and ηR represent the thrust coefficient, torque coefficient, and efficiency of the rear propeller, respectively.
As shown in Figure 7, the variation trends in the thrust coefficient, torque coefficient, and efficiency of the front and rear propellers with respect to the advance coefficient are similar to those of the toroidal propeller. From Figure 6 and Figure 7, it is evident that, at the same advance coefficient, the thrust coefficient of the toroidal propeller is greater than that of both the front and rear propellers and even greater than the combined thrust coefficients of the front and rear propellers. This increase is primarily due to the toroidal propeller’s blade design, which includes front, transition, and back sections, along with the optimization of the blade shape during its design. The torque coefficient of the toroidal propeller follows a similar trend. However, the efficiency of the toroidal propeller is lower than that of the front propeller. In the range of J = 0.2–1.0, the efficiency of the toroidal propeller surpasses that of the rear propeller. Taking J = 0.3 as an example, compared to the front propeller, the thrust coefficient of the toroidal propeller increased by 83.8%, the torque coefficient increased by 150.1%, and the efficiency decreased by 36.1%. The increase in torque was significantly greater than the thrust, resulting in a decrease in efficiency. Compared to the rear propeller, the thrust coefficient of the toroidal propeller increased by 165.9%, the torque coefficient increased by 55.3%, and the efficiency increased by 15.8%. The increase in torque was significantly smaller than the thrust, resulting in an increase in efficiency. Therefore, when considering low-speed thrust operating conditions, such as barges and tugboats, greater thrust is required at low speeds, and the use of toroidal propellers has better results. If higher propulsion efficiency is required under low-speed conditions, it can be achieved by reducing the pitch and the camber of the blade profile. The specific details should be determined according to the design conditions. In addition, Figure 6 and Figure 7 show that, compared to conventional front and rear propellers, the toroidal propeller achieves maximum efficiency at a higher advance coefficient, making toroidal propellers more suitable for high-speed ships.

4.2. Pressure Field Characteristics Analysis

Taking advance coefficients J = 0.4, 0.8, 1.2, and 1.6, the pressure distributions on both the back and face of the toroidal propeller blade were obtained. Considering that the toroidal propeller consists of front, transition, and back sections, a vertical view of the pressure distribution across these sections is provided, as shown in Figure 8, Figure 9 and Figure 10.
As shown in Figure 8, the pressure distribution on the toroidal blade surface is clearly visible. In the front section of the blade’s back surface, a low-pressure area is concentrated near the blade tip along the leading edge, with the low-pressure distribution gradually decreasing as it approaches the leading edge. In contrast, the low-pressure area in the back section of the blade is located near the transition section along the trailing edge. Notably, the low-pressure area in the front section is significantly larger in both range and magnitude than that in the back section. In Figure 9, for advance coefficients J = 0.4 and J = 0.8, the high-pressure areas on both the front and back sections of the blade surfaces are distributed near the leading edge, close to the blade tip. As the advance coefficient increases, these high-pressure areas gradually shift toward the trailing edge and diminish in size. A comparison of the high-pressure areas in the front and back sections reveals that the back section exhibits larger and more extensive high-pressure regions than the front section.
From Figure 8, Figure 9 and Figure 10, it can be observed that, as the advance coefficient increases, the low-pressure and high-pressure areas on the blade back of both front and back sections decrease in range. However, the high-pressure areas near the leading edge of the front section’s blade back and the leading edge of the blade face expand. The low-pressure area in the middle of the transition section decreases, while the low-pressure area near the leading edge of the back section increases. This indicates that the transition section near the leading edge of the toroidal blade is more susceptible to erosion at high speeds.
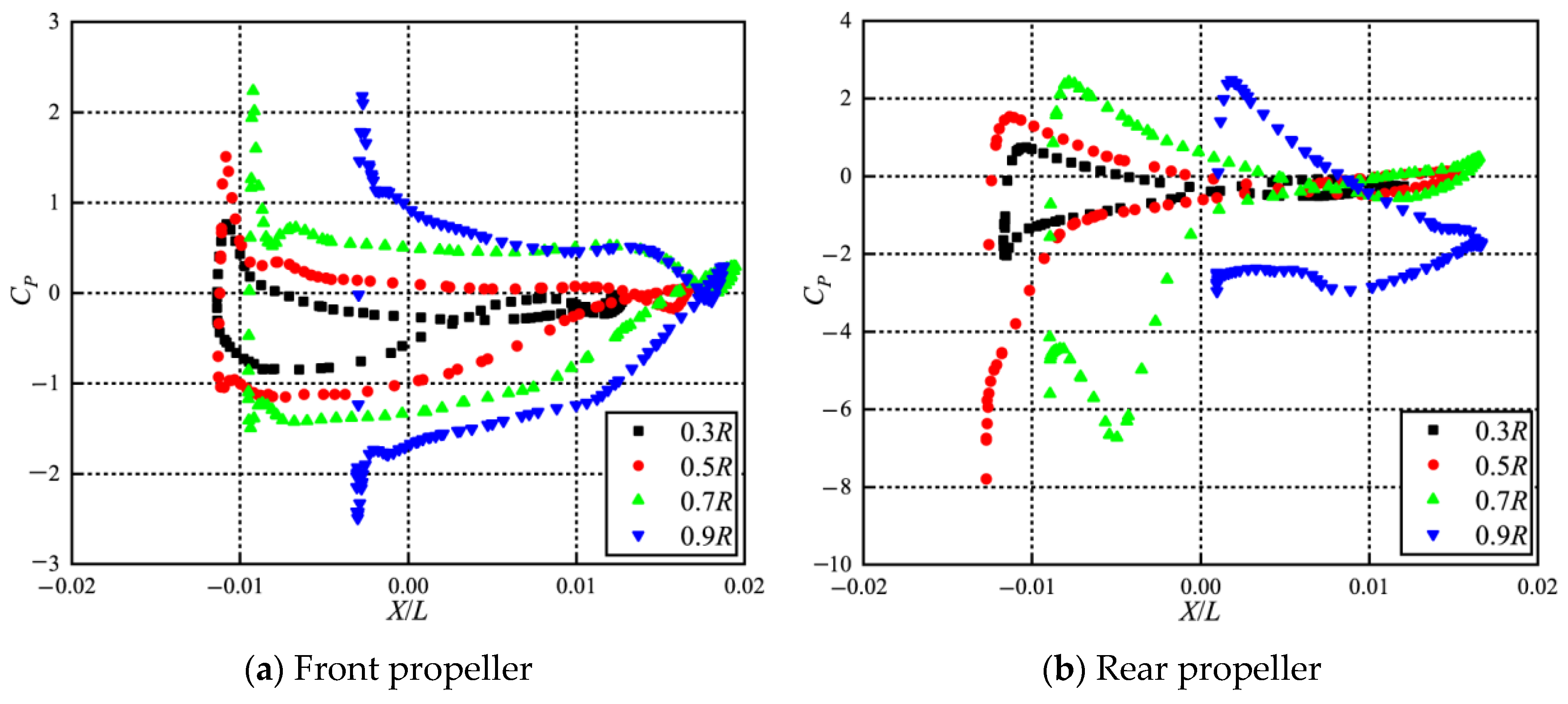
To further analyze the pressure distribution across different cross-sections of the toroidal blade, the pressure coefficients at four radial positions (Z = 0.3R, 0.5R, 0.7R, and 0.9R, where R is the propeller radius) were extracted after the flow field stabilized. These results are shown in Figure 11.
Figure 11 shows the distribution of the pressure coefficient for the front section on the left side and for the back section on the right side. As shown in Figure 11, when J = 0.4, the pressure difference between the blade face and blade back in the front section is greater than that in the back section, indicating that the front section is the main contributor to the thrust generated by the toroidal propeller at low advance coefficients. When J = 0.8, the pressure difference between the blade face and blade back of the front section becomes nearly equal to that of the back section. As the advance coefficient increases, the pressure difference between the blade face and back in the back section surpasses that of the front section, and this difference becomes more pronounced with increasing advance coefficient. This indicates that at high advance coefficients, the pressure difference generated in the back section becomes the primary source of thrust for the toroidal propeller. In addition, as the advance coefficient increases, the area of significant pressure difference between the blade surface and back shifts from 0.9R to 0.5R, which is particularly noticeable in the front section. At a radius of 0.5R, the low-pressure coefficient at the leading edge of the blade surface changes significantly, consistent with the patterns seen in Figure 8 and Figure 9. From the overall changes in the pressure coefficient distribution, it is evident that the front section of the toroidal propeller—where blade erosion is most likely to occur—experiences relatively large pressure fluctuations. Therefore, when optimizing the design of toroidal propellers, particular attention should be given to the front sections of the blades.
To compare the pressure distribution differences between the toroidal propeller and the front and rear propellers, the pressure distribution and pressure coefficient distribution of the front and rear propellers for J = 0.8 are provided separately, as shown in Figure 12 and Figure 13.
Comparing Figure 12 with Figure 8b and Figure 9b, it can be observed that the pressure distributions on the back and face of the front propeller’s blade are similar to those of the front section of the toroidal propeller. In both cases, the low-pressure area on the blade back and the high-pressure area on the blade face are concentrated along the leading edge near the blade tip. However, the pressure values in the front section of the toroidal propeller are higher than those of the front propeller. In contrast, the pressure distributions on the back and face of the rear propeller’s blade differ significantly from those of the back section of the toroidal propeller. The low-pressure area on the blade back of the back section of the toroidal propeller is located near the transition section along the trailing edge, while the high-pressure area on the blade face is distributed near the blade tip along the leading edge and decreases gradually toward the blade root. On the rear propeller, the low-pressure area on the blade back is mainly concentrated near the leading edge, spanning the range of 0.4R–0.9R, and extends toward the trailing edge near 0.9R. The high-pressure area on the blade face of the rear propeller is also concentrated along the leading edge within the range of 0.4R–0.9R, with a certain range of low-pressure area in the middle of the blade face. Therefore, it can be concluded that the back section of the toroidal propeller significantly alters the pressure distribution compared to the original rear propeller.
Figure 13 shows the distribution of pressure coefficients on different cross-sections of the front and rear propeller blade surfaces. In Figure 13a, it can be seen that the pressure difference between the blade face and blade back increases progressively from 0.3R to 0.9R and shifts toward the trailing edge. This trend and distribution are similar to the surface pressure coefficient patterns observed in the front section of the toroidal propeller, but the pressure values are smaller than those in the front section of the toroidal propeller. In Figure 13b, the pressure coefficient dispersion on the rear propeller surface is more pronounced, with significant low-pressure variations occurring between 0.5R and 0.7R along the leading edge, which aligns with the trends seen in Figure 12. Compared to the back section of the toroidal propeller, the rear propeller exhibits smaller pressure differences between the blade surface and back, as well as a smaller pressure distribution range.

4.3. Flow Field Characteristic Analysis

To study the flow field characteristics of the toroidal propeller, the flow fields of both toroidal and conventional propellers were analyzed under different advance coefficients. Figure 14 and Figure 15 show the axial velocity contours in the Y = 0 plane, while Figure 16, Figure 17, Figure 18, Figure 19 and Figure 20 show the axial velocity contours in the X = 0 plane. To facilitate comparison, dimensionless criteria were applied to transform the relevant physical quantities in the flow field. The X-axis is defined as X/R, the Z-axis as Z/R, and the dimensionless axial velocity as Va/V, where Va is the axial inflow velocity and V is the initial velocity of the flow field.
Figure 14 shows the axial velocity contours of the longitudinal profile for different advance coefficients. From this figure, the velocity distribution within and outside the toroidal propeller’s flow field can be clearly observed. The low-velocity region is concentrated at the forefront of the hub, while the flow field between the front and back sections remains predominantly in the medium-low velocity range. Notably, high-velocity regions are present at the front end of the front section and behind the propeller for positions greater than X/R = 0.5. As the advance coefficient increases, the intensity of both the low- and high-velocity regions diminishes significantly. In particular, Figure 14 reveals a distinct high-velocity region in the wake field, especially at J = 0.4 and J = 0.8. This high-velocity region is concentrated between the propeller shaft and 0.85R, extending across the entire propeller disk. A low-velocity region forms in the wake between Z/R = 0.95 and 1.05, primarily due to the influence of the leading edge in the front section. Unlike the high-velocity region, the low-velocity region decreases more slowly as the advance coefficient increases. A clear contrast between the yellow high-velocity region and the blue low-velocity region can be seen in the figure. When the advance coefficient is small (J = 0.4, representing a heavy load condition), the acceleration flow area of the wake field exhibits a pronounced outward expansion. As the advance coefficient increases, this outward expansion trend in the wake field’s acceleration flow area gradually disappears.
To compare the differences between the toroidal and conventional propellers, axial velocity contours at Y = 0 for the front and rear propellers, at an advance coefficient of J = 0.8, are shown in Figure 15. When comparing Figure 14b and Figure 15, it is evident that the high-velocity region in the front section of the toroidal propeller, as well as in positions greater than X/R = 0.5 behind the toroidal propeller, is more prominent. Additionally, in the wake field along the Z-direction, there is a significant high-velocity region within the range of Z/R = 0.2–0.85 for the toroidal propeller, and this high-velocity region is quite extensive. In contrast, the high-velocity region in the wake flow field of the front and rear propellers is mainly concentrated between Z/R = 0.5 and 0.9. This comparison suggests that more fluid leaks from the toroidal blades in the toroidal propeller, and simultaneously, the toroidal propeller exerts a stronger acceleration effect on the water flow.
To investigate the flow field variations at different positions of the toroidal propeller, cross-sections were taken at positions S1–S12 at intervals of −0.04 m, −0.02 m, 0 m, 0.005 m, 0.01 m, 0.015 m, 0.02 m, 0.04 m, 0.06 m, 0.08 m, 0.16 m, and 0.48 m for comparative analysis. The cross-sectional positions and dimensionless axial velocity distributions are shown in Figure 16, Figure 17 and Figure 18.
Figure 17 shows the dimensionless axial velocity distribution at various cross-sections of the toroidal propeller, with J = 0.8 taken as an example. From cross-sections S1 to S9, it is evident that the range and intensity of the high-velocity region on the blade back of the front section of the toroidal propeller gradually increase toward the transition section. Similarly, from the transition section to the back section blade back, the high-velocity region continues to expand in both range and intensity. Overall, the high-velocity region increases steadily from the front to the back section of the toroidal propeller. Notably, between the front and back sections (S3 and S7), there is a distinct low-velocity region near the trailing edge of the front section and a pronounced high-velocity region near the transition section. From the axial velocity distribution at cross-sections S10–S12, it is clear that the vortices released by the toroidal blades and the wake’s high-velocity region gradually merge. As the distance from the propeller disk increases, the high-velocity region expands outward without a reduction in intensity. Comparing the velocity distributions around the front section (S2) and back section (S8), it is apparent that the high-velocity region near the back section is larger in both range and intensity.
To further compare the variation patterns of the flow field around the toroidal propeller at different advance coefficients, the dimensionless axial velocity distributions at sections S2, S4, S6, S8, S10, and S12 are presented for advance coefficients of J = 0.4, 0.8, 1.2, and 1.6, as shown in Figure 18. From Figure 18, it can be observed that at the same cross-sectional, the smaller the advance coefficient, the larger the range and intensity of the high-velocity regions near the front, transition, and rear sections, and the overall velocity of the wake field is also higher. At the same cross-sectional, the smaller the advance coefficient, the stronger the range and intensity of the low-velocity regions near the front edge and outside the tip vortices.
To further compare the flow field characteristics around the toroidal and conventional propellers at J = 0.8, the axial velocity distributions around the front and rear propellers are also analyzed. The cross-sectional division positions are shown in Figure 19, with F1–F6 positioned at −0.02 m, 0.0 m, 0.02 m, 0.04 m, 0.16 m, and 0.32 m, respectively. The positions of R1–R6 correspond to the same locations as F1–F6, and the axial dimensionless velocity distributions are shown in Figure 20.
As shown in Figure 20, during the numerical simulation of the open water state for the front and rear propellers, a high-velocity region appeared near the back of the blade. The axial velocity decreased outward from this high-velocity region, forming a low-velocity region. As the propeller rotated, the high-velocity region at the tail extended circumferentially. When comparing the axial dimensionless velocities at equivalent cross-sectional positions for the front and rear propellers, it becomes evident that the range and intensity of both the high- and low-velocity regions around the rear propeller are significantly greater than those around the front propeller. From Figure 18 and Figure 20, it can be observed that there is no significant difference in velocity distribution between S1 and F1 or between S2 and F2. However, when comparing S7 and F3, the high-velocity region near the toroidal blade exhibits a larger range and greater intensity, indicating that the toroidal blade exerts a more pronounced accelerating effect on the water flow. Similarly, when comparing S8 and R2, the toroidal blade’s high-velocity region is larger in both range and intensity, indicating that more fluid leaks from the rear end of the toroidal blade, while the range and intensity of the low-velocity region decrease. In the wake field behind the propeller, the toroidal propeller demonstrates a higher wake field velocity and a stronger acceleration effect on the inflow.

4.4. Wake Characteristic Analysis

To study the influence of the advance coefficient on the wake vortex of the toroidal propeller, Q-criteria iso-surface wake structure diagrams with axial velocity are presented for J = 0.4, 0.8, 1.2, and 1.6, as shown in Figure 21. For these diagrams, an iso-surface value of Q = 1000 s−2 was selected to visualize the vortex structures. To facilitate a comparison between the wake vortices of the toroidal and conventional propellers, the wake vortex structures for the front and rear propellers are also shown in Figure 22 and Figure 23.
Figure 21 clearly illustrates that the vortices released from the toroidal blade are distributed in a spiral pattern. In addition to the tip vortex behind the toroidal propeller, there is also a trailing edge vortex that detaches from the trailing edge of the blade, caused by the boundary layer on the blade. In Figure 21a, at a low advance coefficient of J = 0.4, a stable vortex segment can be observed in the near-wake region. As the wake vortex evolves, the trailing edge vortex extends inward toward the tip vortex and eventually connects with it, although the boundary between the two remains indistinct. For other advance coefficients, the tip vortex and trailing edge vortex remain spirally distributed without merging, and as the advance coefficient increases, the length of the trailing edge vortex shortens. The unique structure of the toroidal blade, composed of front, back, and transition sections, results in the tip vortices of the front and back sections merging with the release vortices from the transition section near the blade tip and being discharged backward. The trailing edge vortex from the front section and most of the trailing edge vortex from the back section also merge and are released backward, while a small part of the trailing edge vortex in the back section merges with the vortex from another toroidal blade. At J = 1.6, the tip vortices of the front and back sections, along with the leakage vortex from the transition section, begin to separate near the blade tip. The tip vortex from the front section spirals backward, while the tip vortex from the back section shifts toward the propeller shaft in the wake vortex area and gradually dissipates. The leakage vortex from the transition section follows the tip vortex from the front section, gradually dissipating, making the front section’s tip vortex the main component of the wake vortex of the toroidal propeller. In addition, the velocity characteristics of the vortex tubes at different advance coefficients reveal that at low advance coefficients, the velocity of the inner wall of the tip vortex is much higher than that of the outer wall. As the advance coefficient increases, the velocity of the outer wall of the tip vortex also increases, reducing the velocity difference between the inner and outer walls. This occurs because the tip vortex is driven by the velocity gradient, and at lower advance coefficients, the tangential velocity of the outer wall fluid is significantly lower than that of the inner wall, which is influenced by the propeller’s feed water.
In tandem propellers [8,10,11], the tip vortices from the front and rear propellers do not ultimately merge; instead, they maintain their distinct rotational directions as they extend backward, ultimately forming a mesh-like structure. This behavior contrasts significantly with the development of the tip and trailing edge vortices in the toroidal propeller. In CLT propellers [18,19,20], the wake vortex mainly consists of a tip vortex and an endplate vortex. The presence of the endplate vortex is somewhat similar to the transition section vortex of the toroidal propeller, with the merging of the endplate vortex and leakage vortex with the tip vortex influenced by the advance coefficient. Compared to CLT propellers, the toroidal propeller exhibits an additional tip vortex and trailing edge vortex originating from the back section. The range and intensity of the trailing edge vortex in the toroidal propeller are significantly greater than those in the CLT propeller. As shown in Figure 21, the initial positions of the front section tip vortex, back section tip vortex, and transition section leakage vortex differ. The tip vortices of the front and back sections begin at the transition region between the blade tip and the transition section, while the transition section leakage vortex originates from the leading and trailing edges of the transition section. The leading-edge leakage vortex passes through the transition section and merges with the tip vortex, while the trailing edge leakage vortex and the back section tip vortex are discharged simultaneously, with the four vortices converging near the blade tip. As the advance coefficient increases, the time required for these four vortices to merge decreases, leading to a faster fusion process.
Figure 22 shows the iso-surface wake vortex structure for different advance coefficients of the front propeller. As shown in Figure 22, when J = 0.4, the tip vortex undergoes a fusion phenomenon as it develops downstream. Specifically, the tip vortex formed by one blade merges with the tip vortex from an adjacent blade, forming a larger vortex. At this stage, the cross-sectional shape of the vortex tube changes from an approximate circle to an ellipse. As these elliptical vortex tubes continue to rotate downstream, they become discontinuous. This phenomenon was first observed by Felli et al. [26], and the likely cause is that the tip vortices are positioned too close to each other. As the advance coefficient increases, the occurrence of tip vortex fusion becomes less pronounced, aligning with previous conclusions on the behavior of conventional propeller tip vortices [27]. At J = 0.4, the trailing edge vortex extends backward along the propeller shaft and gradually transitions from a sheet-like form to a strip-like shape. As the advance coefficient increases, the trailing edge vortex’s length decreases, and by J = 1.2, the trailing edge vortex disappears near the rear of the propeller. In addition, a blade root vortex is present in the wake vortex of the front propeller. However, this root vortex gradually dissipates as the advance coefficient increases.
Figure 23 shows the iso-surface wake vortex structure for different advance coefficients of the rear propeller. At J = 0.4, the tip vortex is relatively chaotic, and no continuous vortex tube forms. However, as the advance coefficient increases, the vortex tubes from the tip vortices gradually become more continuous, although multiple tip vortices appear near the blade tip. The main cause of this is the uneven surface of the rear propeller blade tip. By J = 1.2, the multiple tip vortices near the blade tip begin to merge, forming a dominant tip vortex. The behavior of the trailing edge vortex for different advance coefficients follows a similar pattern to that of the front propeller.
In comparing the wake vortex structures of the toroidal and conventional propellers, as seen in Figure 21, Figure 22 and Figure 23, it is evident that the toroidal propeller has a unique interaction between the blade tip vortices from the front and back sections, along with the leakage vortex from the transition section. These vortices merge near the blade tip and are released backward. As the advance coefficient increases, the front section tip vortex, back section tip vortex, and transition section leakage vortex begin to separate near the blade tip, with the front section tip vortex becoming the main component of the toroidal propeller’s wake vortex. For the front propeller, the blade tip vortex is the primary component of the wake vortex and remains largely independent of the advance coefficient. In contrast, in the rear propeller, multiple tip vortices appear near the blade tip, with the number of vortices strongly influenced by the advance coefficient. When comparing the trailing edge vortices across the three propellers, it is observed that in the toroidal propeller, the trailing edge vortices from the front and back sections merge, extend backward along the propeller shaft, and eventually merge with the tip vortex. The speed of the trailing edge vortex is significantly higher than that of the tip vortex. Within the range of J = 0.4–1.2, the size of the vortex tube does not significantly change as the trailing edge vortex extends backward along the propeller axis. In contrast, in the front and rear propellers, as the advance coefficient increases, the length of the trailing edge vortices decreases, concentrating primarily in the near-field and midfield regions. In terms of velocity, the difference between the trailing edge vortex and tip vortex is relatively small. This indicates that the propeller blades, particularly in the conventional propellers, release more fluid into the surrounding flow, contributing to the generation of multiple vortices.
Figure 24 displays the vorticity contours in the Y = 0 plane for various advance coefficients. The figure reveals that the high-vorticity areas correspond to the locations of the tip vortex and trailing vortex tube, with the tip vortex intensity being strongest near the toroidal blade. As the axial distance from the propeller increases, the intensity of the tip vortex gradually diminishes. The figure also shows that with larger advance coefficients, the change in tip vortex intensity becomes less pronounced. However, as the first vortex moves farther from the propeller disk, the tip vortex expands outward and transitions from a circular shape to an elliptical one. In addition, as the advance coefficient increases, both the intensity and range of the trailing edge vortex decrease and the trailing edge vortex does not connect with the tip vortex. Figure 24 also highlights that the high-vorticity region near the front section of the toroidal blade remains largely unaffected by increases in the advance coefficient.
Figure 25 shows the vorticity distributions at Y = 0 for the front and rear propellers at various advance coefficients. The distribution of high-vorticity areas and the variation in vortex intensity with axial distance are similar to those observed in the toroidal propeller [28]. However, as the advance coefficient increases, the intensity of the tip vortex and trailing edge vortex diminishes, especially at J = 1.2. This significant weakening occurs because, under lighter loads, the pressure difference across the blade surface is reduced, resulting in a weaker tip vortex. At J = 0.4, both the front and rear propellers exhibit unstable tip vortices. Additionally, in these propellers, the tip vortex and trailing edge vortex appear to be connected, displaying a distribution pattern that differs from that of the toroidal propeller.

5. Conclusions

Based on the DES method, a CFD study was conducted on toroidal and conventional propellers. By comparing and analyzing the hydrodynamic loads, flow fields, and wake vortex characteristics of the two types of propellers, the following conclusions were drawn:
(1)
In the analysis of the hydrodynamic loads on the toroidal propeller, the pressure difference formed in the front section at low advance coefficients was found to be the main contributor of thrust; however, at high advance coefficients, the back section became the primary contributor. As the advance coefficient changed, variations in high and low pressure became more pronounced in the front section, making it a key area for optimizing toroidal propeller design. Compared to conventional propellers, toroidal propellers exhibited greater thrust and torque at the same advance coefficient and achieved maximum efficiency at higher advance coefficients, making them more suitable for high-speed ships.
(2)
A high-velocity region was identified between the front and back sections of the toroidal propeller, with both the range and intensity of the region gradually increasing from front to back. The axial velocity distribution in the wake flow field formed a distinct high-velocity region, concentrated mainly between the propeller shaft and blade tip. At lower advance coefficients, the distribution of this high-velocity region and its outward diffusion were more prominent. Compared to conventional propellers, the wake flow field of the toroidal propeller displayed a larger range and intensity in the high-velocity region, indicating greater fluid leakage from the toroidal blades.
(3)
The wake vortex of the toroidal propeller consisted of two parts: the tip vortex, where the front and back section tip vortices and the transition section leakage vortex fused, and the trailing edge vortex formed by the fusion of the vortices shed from the front and back sections. At low advance coefficients, these two parts merged in the far-wake region, while at high advance coefficients, they dissipated separately. The tip vortex of the toroidal propeller included the front and back section tip vortices, along with leading-edge and trailing edge leakage vortices in the transition section. As the advance coefficient increased, these four vortices merged. Compared to conventional propellers, the tip vortex structure of the toroidal propeller is more complex, and the intensity and range of the vortices released with the trailing edge vortex are greater.
(4)
In the toroidal propeller, the reduction in tip vorticity was not significant as the advance coefficient increased, though the intensity and range of the trailing edge vortex decreased. A high-vorticity region existed in the front section of the toroidal blade that remained unchanged with variations in the advance coefficient. In contrast, in conventional propellers, as the advance coefficient increased, the tip vortex weakened, and a connection between the tip vortex and trailing edge vortex occurred, differing from the behavior in the toroidal propeller.
This study focused on the hydrodynamic performance analysis of toroidal and conventional propellers. However, the maximum efficiency of toroidal propellers was found to be lower than that of conventional propellers. Therefore, based on the findings of this study, future research will explore variable parameter designs to obtain more efficient toroidal propellers. Meanwhile, numerical simulation studies on the cavitation performance of the toroidal propellers will be conducted.

Author Contributions

Conceptualization, P.X. and L.Y.; software, Y.G.; methodology, L.Y.; validation, K.S., writing—original draft preparation, P.X.; writing—revision and review, Y.G. All authors have read and agreed to the published version of the manuscript.

Funding

This research was funded by the Natural Science Foundation of the Jiangsu Higher Education Institutions of China, grant number 23KJB580003 and 23KJB580004; Postgraduate Research & Practice Innovation Program of Jiangsu Province, grant number SJCX24_2091; The Natural Science Foundation of Jiangsu Province, grant number BK20230285; The National Natural Science Foundation of China, grant numbers 52171300 and 52271314.

Institutional Review Board Statement

Not applicable.

Informed Consent Statement

Not applicable.

Data Availability Statement

The data presented in this study are available on request from the corresponding author.

Conflicts of Interest

The authors declare no conflicts of interest.

References

  1. Sharrow, G.C. Propeller: China. U.S. Patent CN108367801B, 3 August 2018. [Google Scholar]
  2. Boat Information. How Toroidal Propellers Affect the Aviation and Navigation Industry. Available online: https://www.163.com/dy/article/HSG1BDNB0534JPKU.html (accessed on 1 October 2024).
  3. Sebastian, T.; Strem, C. Toroidal Propeller. U.S. Patent CN10836466B2, 17 November 2020. [Google Scholar]
  4. Ye, L.Y.; Wang, C.; Sun, C.; Guo, C.Y. Mathematical expression method for geometric shape of toroidal propeller. Chin. J. Ship Res. 2024, 19, 224–233. (In Chinese) [Google Scholar]
  5. Hannah, J. Impact of toroidal propeller design on unmanned aerial vehicle acoustic signature and aerodynamic performance. Int. J. Aerosp. Eng. 2024, 2, 1–11. [Google Scholar]
  6. Yao, H.L.; Liu, Y.; Zhang, H.X.; Zhang, Q. Numerical investigation on hydrodynamic performance of new canard-configuration tandem propellers. Appl. Ocean Res. 2020, 104, 102374. [Google Scholar] [CrossRef]
  7. Yan, R.X.; Zhang, H.X.; Yao, H.L. Effects of diameter ratios on hydrodynamic performance of tandem propellers. J. Propul. Technol. 2023, 44, 2207023. (In Chinese) [Google Scholar]
  8. Yao, H.L.; Liu, Y.; Zhang, H.X.; Zhang, Q. Comparative study on hydrodynamic performance and induced pressure of new ca-nard tandem propellers and conventional propellers. Ocean Eng. 2021, 221, 108566. [Google Scholar] [CrossRef]
  9. Sun, Q.; Gu, Y.D.; Zhang, S.Z. On the Open Water Series Test of Model Tandem-Propeller and its Design Method with Charts. Shipbuild. China 1979, 20, 3–20. (In Chinese) [Google Scholar]
  10. Geng, C. Numerical Prediction on Hydrodynamic Performance of Contra Propeller. Master’s Thesis, Harbin Engineering University, Harbin, China, 2017. [Google Scholar]
  11. Liu, Y.; Gong, Q.W. Numerical Investigation on the Flow Characteristics and Hydrodynamics Performance of Tandem Propeller. Appl. Ocean Res. 2020, 101, 102292. [Google Scholar] [CrossRef]
  12. Chavan, S.A.; Bhattacharyya, A.; Sha, O.P. Open water performance of B-Series marine propellers in tandem configurations. Ocean Eng. 2021, 242, 110158. [Google Scholar] [CrossRef]
  13. Gaggero, S.; Gonzalez-Adalid, J.; Sobrino, M.P. Design and analysis of a new generation of CLT propellers. Appl. Ocean Res. 2016, 59, 424–450. [Google Scholar] [CrossRef]
  14. Piskur, P. Side Fins Performance in Biomimetic Unmanned Underwater Vehicle. Energies 2022, 15, 5783. [Google Scholar] [CrossRef]
  15. Brown, M.; Sánchez-Caja, A.; Adalid, J.G.; Black, S.; Sobrino, M.P.; Duerr, P.; Schroeder, S.; Saisto, I. Improving Propeller Efficiency Through Tip Loading. In Proceedings of the 30th Symposium on Naval Hydrodynamics, Hobart, Tasmania, Australia, 2–7 November 2014; pp. 1–17. [Google Scholar]
  16. Gaggero, S.; Tani, G.; Viviani, M. A study on the numerical prediction of propellers cavitation tip vortex. Ocean Eng. 2014, 92, 137–161. [Google Scholar] [CrossRef]
  17. Moran-Guerrero, A.; Miguel Gonzalez-Gutierrez, L.; Oliva-Remola, A.; Diaz-Ojeda, H.R. On the influence of transition modeling and crossflow effects on open water propeller simulations. Ocean Eng. 2019, 156, 101–119. [Google Scholar] [CrossRef]
  18. Chang, X.; Ma, K.F.; Wang, C.; Wang, W.Q. Numerical analysis of wake field and tip vortex characteristics of CLT propeller. J. Huazhong Univ. Sci. Tech. (Nat. Sci. Ed.) 2020, 48, 79–84. [Google Scholar]
  19. Wang, C.; Li, P.; Guo, C.Y.; Wang, L.Z.; Sun, S. Numerical research on the instabilities of CLT propeller wake. Ocean Eng. 2022, 243, 110205. [Google Scholar] [CrossRef]
  20. Wang, C.; Li, P.; Han, Y.; Hao, L. The study on the wake of a CLT propeller under different advance coefficients. Appl. Ocean Res. 2022, 118, 102996. [Google Scholar] [CrossRef]
  21. Wang, Z.F. Research on Cavitation and Noise Characteristics of CLT Propeller Bases on Viscous Flow CFD. Master’s Thesis, Dalian Maritime University, Dalian, China, 2023. [Google Scholar]
  22. Marciniuk, M.; Piskur, P.; Kiszkowiak, Ł.; Malicki, Ł.; Sibilski, K.; Strzelecka, K.; Kachel, S.; Kitowski, Z. Aerodynamic Analysis of Variable Camber-Morphing Airfoils with Substantial Camber Deflections. Energies 2024, 17, 1801. [Google Scholar] [CrossRef]
  23. Felli, M.; Camussi, R.; Di, F.F. Mechanisms of evolution of the propeller wake in the transition and far fields. J. Fluid Mech. 2011, 682, 1–49. [Google Scholar] [CrossRef]
  24. Zhou, J.W.; Mei, L.; Tang, Y.Q.; Yu, D. Numerical simulation of hydrodynamic performance of PC456 propeller based on Fine/Marine. Chin. J. Ship Res. 2024, 19, 1–10. (In Chinese) [Google Scholar]
  25. Wang, Z.Z.; Xiong, Y.; Wang, R.; Shen, X.R.; Zhong, C.H. Numerical study on scale effect of nominal wake of single screw ship. Ocean Eng. 2015, 104, 437–451. [Google Scholar] [CrossRef]
  26. Felli, M. Underlying mechanisms of propeller wake interaction with a wing. J. Fluid Mech. 2021, 908, 1–35. [Google Scholar] [CrossRef]
  27. Shur, M.L.; Spalar, R.; Strelets, M.K.; Travin, A.K. A hybrid RANS-LES approach with delayed-DES and wall-modelled LES capabilities. Int. J. Heat Fluid Flow 2008, 29, 1638–1649. [Google Scholar] [CrossRef]
  28. Felice, F.D.; Capone, A.; Romano, G.P.; Pereira, F.A. Experimental study of the turbulent flow in the wake of a horizontal axis tidal current turbine. Renew. Energy 2023, 212, 17–34. [Google Scholar] [CrossRef]
Figure 1. Geometric model of propeller.
Figure 1. Geometric model of propeller.
Jmse 12 02132 g001
Figure 2. Computational domain and boundary condition settings.
Figure 2. Computational domain and boundary condition settings.
Jmse 12 02132 g002
Figure 3. Calculation domain grid of toroidal propeller.
Figure 3. Calculation domain grid of toroidal propeller.
Jmse 12 02132 g003
Figure 4. PC456 propeller.
Figure 4. PC456 propeller.
Jmse 12 02132 g004
Figure 5. Wake vortex structure of toroidal propeller with different numbers of grids.
Figure 5. Wake vortex structure of toroidal propeller with different numbers of grids.
Jmse 12 02132 g005aJmse 12 02132 g005b
Figure 6. Hydrodynamic performance curve of toroidal propeller.
Figure 6. Hydrodynamic performance curve of toroidal propeller.
Jmse 12 02132 g006
Figure 7. Hydrodynamic performance curves of front and rear propellers.
Figure 7. Hydrodynamic performance curves of front and rear propellers.
Jmse 12 02132 g007
Figure 8. Pressure distribution on toroidal propeller blade back at different advance coefficients.
Figure 8. Pressure distribution on toroidal propeller blade back at different advance coefficients.
Jmse 12 02132 g008aJmse 12 02132 g008b
Figure 9. Pressure distribution on toroidal propeller blade face at different advance coefficients.
Figure 9. Pressure distribution on toroidal propeller blade face at different advance coefficients.
Jmse 12 02132 g009
Figure 10. Vertical view of pressure distribution of toroidal propeller at different advance coefficients.
Figure 10. Vertical view of pressure distribution of toroidal propeller at different advance coefficients.
Jmse 12 02132 g010
Figure 11. Distribution of pressure coefficients at different cross-sections on the toroidal propeller blades.
Figure 11. Distribution of pressure coefficients at different cross-sections on the toroidal propeller blades.
Jmse 12 02132 g011aJmse 12 02132 g011b
Figure 12. Pressure distribution of front and rear propellers.
Figure 12. Pressure distribution of front and rear propellers.
Jmse 12 02132 g012
Figure 13. Distribution of pressure coefficients at different cross-sections on front and rear propeller blade (J = 0.8).
Figure 13. Distribution of pressure coefficients at different cross-sections on front and rear propeller blade (J = 0.8).
Jmse 12 02132 g013
Figure 14. Axial velocity contours at Y = 0 with different advance coefficients—toroidal propeller.
Figure 14. Axial velocity contours at Y = 0 with different advance coefficients—toroidal propeller.
Jmse 12 02132 g014
Figure 15. Axial velocity contours at Y = 0 for front and rear propellers (J = 0.8).
Figure 15. Axial velocity contours at Y = 0 for front and rear propellers (J = 0.8).
Jmse 12 02132 g015
Figure 16. Different cross-sectional positions in toroidal propeller.
Figure 16. Different cross-sectional positions in toroidal propeller.
Jmse 12 02132 g016
Figure 17. Axial velocity distribution at different cross-sections of toroidal propeller.
Figure 17. Axial velocity distribution at different cross-sections of toroidal propeller.
Jmse 12 02132 g017
Figure 18. Axial velocity distribution at different advance coefficients—toroidal propeller.
Figure 18. Axial velocity distribution at different advance coefficients—toroidal propeller.
Jmse 12 02132 g018
Figure 19. Different cross-sectional positions in front and rear propellers.
Figure 19. Different cross-sectional positions in front and rear propellers.
Jmse 12 02132 g019
Figure 20. Axial velocity distribution at different cross-sections of the front and rear propellers (J = 0.8).
Figure 20. Axial velocity distribution at different cross-sections of the front and rear propellers (J = 0.8).
Jmse 12 02132 g020
Figure 21. Iso-surface wake vortex structure at different advance coefficients—toroidal propeller.
Figure 21. Iso-surface wake vortex structure at different advance coefficients—toroidal propeller.
Jmse 12 02132 g021
Figure 22. Iso-surface wake vortex structure at different advance coefficients—front propeller.
Figure 22. Iso-surface wake vortex structure at different advance coefficients—front propeller.
Jmse 12 02132 g022
Figure 23. Iso-surface wake vortex structure at different advance coefficients—rear propeller.
Figure 23. Iso-surface wake vortex structure at different advance coefficients—rear propeller.
Jmse 12 02132 g023
Figure 24. Vorticity distribution at Y = 0 with different advance coefficients—toroidal propeller.
Figure 24. Vorticity distribution at Y = 0 with different advance coefficients—toroidal propeller.
Jmse 12 02132 g024
Figure 25. Vorticity distribution at Y = 0 with different advance coefficients—front and rear propellers.
Figure 25. Vorticity distribution at Y = 0 with different advance coefficients—front and rear propellers.
Jmse 12 02132 g025
Table 1. Different parameters of three sets of grids.
Table 1. Different parameters of three sets of grids.
CoarseMediumFine
Number of grids (M)5.858.0811.95
Number of faces (M)17.6024.3235.97
Number of points (M)6.188.3912.55
Total thickness of boundary layer (mm)1.51.51.5
Number of boundary layers101010
Table 2. Numerical simulation results of three sets of grids.
Table 2. Numerical simulation results of three sets of grids.
JGrid TypeNumber of Grids (M)KTKQη
0.4Coarse5.850.84960.20980.2579
Medium8.080.84110.20780.2578
Fine11.950.84440.20780.2589
0.8Coarse5.850.66530.18580.4560
Medium8.080.65580.18310.4563
Fine11.950.66190.18430.4575
Table 3. The grid convergence verification of toroidal propeller.
Table 3. The grid convergence verification of toroidal propeller.
JParameterRGPGUG
0.4KT0.38823.6270.0936
KQ0.04765.8350.0009
0.8KT0.64211.6980.1428
KQ0.44443.1080.0347
Disclaimer/Publisher’s Note: The statements, opinions and data contained in all publications are solely those of the individual author(s) and contributor(s) and not of MDPI and/or the editor(s). MDPI and/or the editor(s) disclaim responsibility for any injury to people or property resulting from any ideas, methods, instructions or products referred to in the content.

Share and Cite

MDPI and ACS Style

Xu, P.; Guo, Y.; Ye, L.; Song, K. Hydrodynamic Performance of Toroidal Propeller Based on Detached Eddy Simulation Method. J. Mar. Sci. Eng. 2024, 12, 2132. https://doi.org/10.3390/jmse12122132

AMA Style

Xu P, Guo Y, Ye L, Song K. Hydrodynamic Performance of Toroidal Propeller Based on Detached Eddy Simulation Method. Journal of Marine Science and Engineering. 2024; 12(12):2132. https://doi.org/10.3390/jmse12122132

Chicago/Turabian Style

Xu, Pei, Yingchun Guo, Liyu Ye, and Kewei Song. 2024. "Hydrodynamic Performance of Toroidal Propeller Based on Detached Eddy Simulation Method" Journal of Marine Science and Engineering 12, no. 12: 2132. https://doi.org/10.3390/jmse12122132

APA Style

Xu, P., Guo, Y., Ye, L., & Song, K. (2024). Hydrodynamic Performance of Toroidal Propeller Based on Detached Eddy Simulation Method. Journal of Marine Science and Engineering, 12(12), 2132. https://doi.org/10.3390/jmse12122132

Note that from the first issue of 2016, this journal uses article numbers instead of page numbers. See further details here.

Article Metrics

Back to TopTop