Numerical Investigation of Burial Depth Effects on Tension of Submarine Power Cables
Abstract
1. Introduction
2. Numerical Model for Laying Submarine Power Cables
2.1. Vessel Model
2.2. Cable Model
2.3. Seabed Model
2.4. Environment Loading Model
3. Cable Laying Considering Burial Depth Effects
3.1. Numerical Model
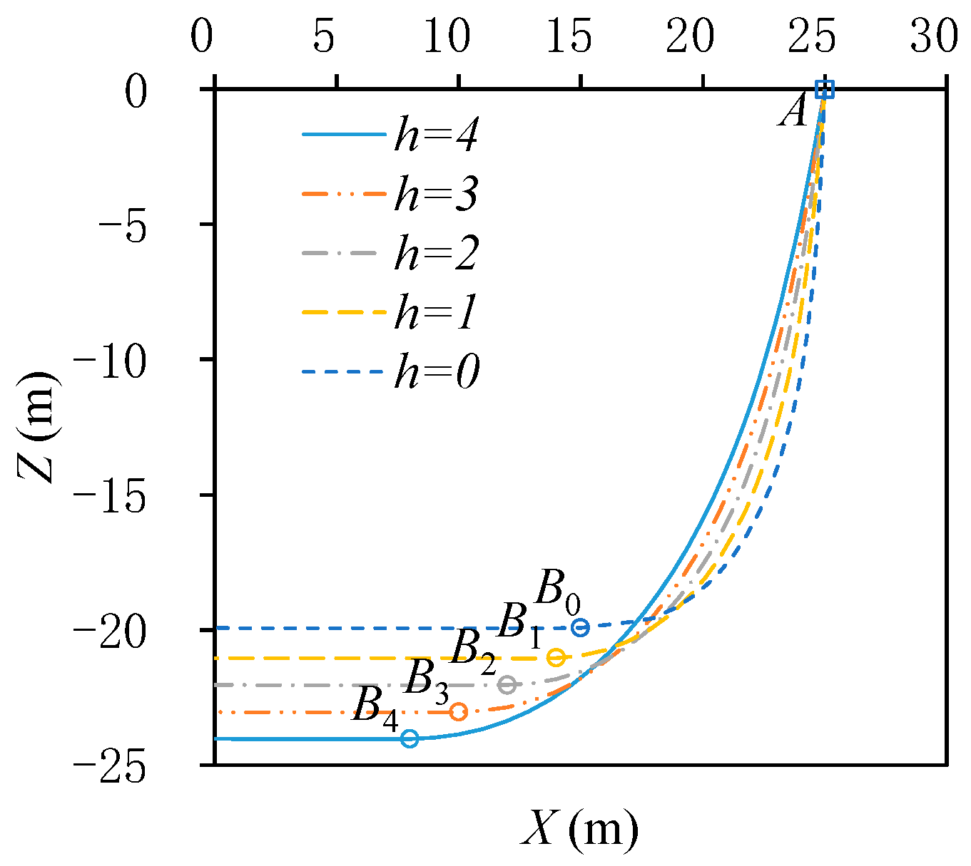
3.2. Effects of Burial Depth on Cable Configuration
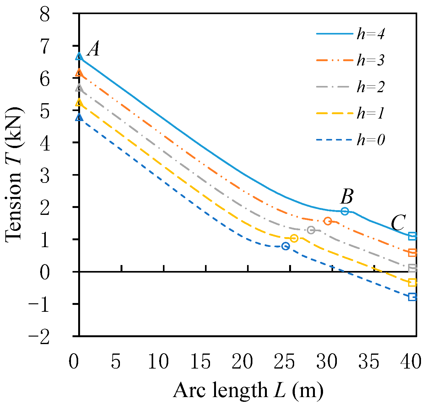
3.3. Effects of Burial Depth on Cable Tension
4. Peak Tension Prediction Model Based on GP Analyses
4.1. Overview of GP
4.2. Sensitivity Analyses
4.3. GP Model of Cable Peak Tension
4.4. Validation of the GP Model
5. Conclusions
- The burial depths h significantly affect parameters of the cable configuration (the layback l, the cable slackness δ, and the minimum bending radius, MBR). The values of layback l and minimum bend radius (MBR) increase from 10 to 17 m and from 6.7 to 11.2 m, respectively, with the increase in h from 0 to 4 m; however, the values of δ decrease with the increase in burial depths when h < 1.0 m and then tend to be stable with the further increase in burial depths.
- The peak tension of the submarine power cable, which appears at the laying wheel point of the cable-laying vessel, increases linearly with the increase in burial depth. In addition, the burial depth can change the tension stress state at the endpoint of the submarine power cable. The endpoint of the cable is in a compressed state when h < 2 m, and the cable turns into a tensile state when h ≥ 2 m.
- Genetic programming (GP) was used to analyze the numerical simulation results to propose a prediction model that can be used to estimate peak tension Tpeak from the environmental load direction β, the unit weight of submarine power cable w, the burial depth h and water depth H. Comparison results show that the average and maximum discrepancy of the GP model is 4.51 and 36.67%, respectively, indicating the proposed GP model can give high accuracy in the peak tension of submarine power cables.
Author Contributions
Funding
Institutional Review Board Statement
Informed Consent Statement
Data Availability Statement
Conflicts of Interest
References
- Rodrigues, S.; Restrepo, C.; Kontos, E.; Pinto, R.T.; Bauer, P. Trends of offshore wind projects. Renew. Sustain. Energy Rev. 2015, 49, 1114–1135. [Google Scholar] [CrossRef]
- Díaz, H.; Soares, C.G. Review of the current status, technology and future trends of offshore wind farms. Ocean Eng. 2020, 209, 107381. [Google Scholar] [CrossRef]
- Li, Y.; Jiang, L.; Xie, M.; Yu, J.; Qian, L.; Xu, K.; Chen, M.; Wang, Y. Advancements and challenges in power cable laying. Energies 2024, 17, 2905. [Google Scholar] [CrossRef]
- Dong, T.; Brakelmann, H.; Anders, G.J. Analysis method for the design of long submarine cables. Renew. Sustain. Energy Rev. 2023, 171, 113029. [Google Scholar] [CrossRef]
- Zhang, Z.; Kuang, J.; Chen, G.; Zeng, H.; Huang, B.; Liu, Z. Numerical study on trenching performances of the underwater jet flow for submarine cable laying. Appl. Ocean Res. 2024, 150, 104140. [Google Scholar] [CrossRef]
- Drissi-Habti, M.; Abhijit, N.; Sriharsha, M.; Carvelli, V. Concept of placement of fiber-optic sensor in smart energy transport cable under tensile loading. Sensors 2022, 22, 2444. [Google Scholar] [CrossRef]
- Drissi-Habti, M.; Neginhal, A.; Manepalli, S.; Carvelli, V. Fiber-Optic Sensors (FOS) for Smart High Voltage Composite Cables—Numerical Simulation of Multi-Parameter Bending Effects Generated by Irregular Seabed Topography. Sensors 2022, 22, 7899. [Google Scholar] [CrossRef] [PubMed]
- Zhang, D.; Zhao, B.; Sun, J.; Zhang, Y.; Zhu, K.; Jiang, H. Influence of different static equilibrium calculation methods on the dynamic response of marine cables during the releasing process: Review and a case study. J. Mar. Sci. Eng. 2023, 11, 764. [Google Scholar] [CrossRef]
- Zajac, E.E. Dynamics and kinematics of the laying and recovery of submarine cable. Bell Syst. Tech. J. 1957, 36, 1129–1207. [Google Scholar] [CrossRef]
- Yoshizawa, N.; Yabuta, T. Study on submarine cable tension during laying. IEEE J. Ocean. Eng. 1983, 8, 293–299. [Google Scholar] [CrossRef]
- Yang, N.; Jeng, D.S.; Zhou, X.L. Tension analysis of submarine cables during laying operations. Open Civ. Eng. J. 2013, 7, 282–291. [Google Scholar] [CrossRef][Green Version]
- Mamatsopoulos, V.A.; Michailides, C.; Theotokoglou, E.E. An analysis tool for the installation of submarine cables in an s-lay configuration including “in and out of water” cable segments. J. Mar. Sci. Eng. 2020, 8, 48. [Google Scholar] [CrossRef]
- Mamatsopoulos, V.A.; Michailides, C.; Theotokoglou, E.E.; Onoufriou, T. Critical water depth and installation curves for submarine cable deployment process. J. Mar. Sci. Eng. 2020, 8, 838. [Google Scholar] [CrossRef]
- Polachek, H.; Walton, T.S.; Mejia, R.; Dawson, C. Transient motion of an elastic cable immersed in a fluid. Math. Comput. 1963, 17, 60–63. [Google Scholar] [CrossRef]
- Walton, T.S.; Polachek, H. Calculation of transient motion of submerged cables. Math. Comput. 1960, 14, 27–46. [Google Scholar] [CrossRef]
- Chen, X.; Hong, B.; Lin, Z.; Hou, J.; Gao, Z.; Lv, S. Lumped mass model for flexible cable: A review. J. Phys. Conf. Series. IOP Publ. 2021, 1995, 012029. [Google Scholar] [CrossRef]
- Chai, Y.T.; Varyani, K.S.; Barltrop, N.D.P. Three-dimensional lump-mass formulation of a catenary riser with bending, torsion and irregular seabed interaction effect. Ocean Eng. 2002, 29, 1503–1525. [Google Scholar] [CrossRef]
- Hu, J.; Li, Z.; Zhang, Y. Numerical study on initial laying process of submarine cables for wave energy booster station in real sea states. J. Coast. Res. 2020, 99, 60–66. [Google Scholar] [CrossRef]
- Zhang, D.; Bai, Y.; Zhao, W.; Zhu, K. Dynamic analysis of submarine cable during the process of laying back to the seabed. Ships Offshore Struct. 2020, 15, 153–161. [Google Scholar] [CrossRef]
- Wang, Y.; Bian, X.; Zhang, X.; Xie, W. A study on the influence of cable tension on the movement of cable laying ship. In Proceedings of the OCEANS 2010 MTS/IEEE SEATTLE, Seattle, WA, USA, 20–23 September 2010; pp. 1–8. [Google Scholar]
- Okkerstrøm, L.; Gudmestad, O.T.; Pedersen, E. Simulation of peak tension loads in subsea power cables during installation. IOP Conf. Ser. Mater. Sci. Eng. IOP Publ. 2021, 1201, 012010. [Google Scholar] [CrossRef]
- Wang, Y. Analysis of Deep Sea Cable Laying Conditions and Dynamic Response Analysis of Calm System; Tianjin University: Tianjin, China, 2019. [Google Scholar]
- Han, C.; Chen, X.; Liu, J. Physical and numerical modeling of dynamic penetration of ship anchor in clay. J. Waterw. Port Coast. Ocean. Eng. 2019, 145, 04018030. [Google Scholar] [CrossRef]
- Zheng, X.; Ge, Y.; Lu, Z.; Cao, C.; Zhou, P.; Li, S.; Chen, J. Study on Buried Depth Protection Index of Submarine Cable Based on Physical and Numerical Modeling. J. Mar. Sci. Eng. 2022, 10, 137. [Google Scholar] [CrossRef]
- Hu, Y.; Randolph, M.F. H-adaptive FE analysis of elasto-plastic non-homogeneous soil with large deformation. Comput. Geotech. 1998, 23, 61–83. [Google Scholar] [CrossRef]
- Wang, W.; Yan, X.; Li, S.; Zhang, L.; Ouyang, J.; Ni, X. Failure of submarine cables used in high-voltage power transmission: Characteristics, mechanisms, key issues and prospects. IET Gener. Transm. Distrib. 2021, 15, 1387–1402. [Google Scholar] [CrossRef]
- Koza, J.R. Genetic programming as a means for programming computers by natural selection. Stat. Comput. 1994, 4, 87–112. [Google Scholar] [CrossRef]
- Shen, J.; Jimenez, R. Predicting the shear strength parameters of sandstone using genetic programming. Bull. Eng. Geol. Environ. 2018, 77, 1647–1662. [Google Scholar] [CrossRef]
- Shen, J.; Karakus, M. Simplified method for estimating the Hoek-Brown constant for intact rocks. J. Geotech. Geoenviron. Eng. 2014, 140, 04014025. [Google Scholar] [CrossRef]
- Shen, J.; Wan, L.; Zuo, J. Non-linear shear strength model for coal rocks. Rock Mech. Rock Eng. 2019, 52, 4123–4132. [Google Scholar] [CrossRef]
- Silva, S.; Almeida, J. Gplab-a genetic programming toolbox for matlab. In Proceedings of the Nordic MATLAB Conference, Copenhagen, Denmark, 21–22 October 2003; pp. 273–278. [Google Scholar]
- Cabalar, A.F.; Cevik, A. Genetic programming-based attenuation relationship: An application of recent earthquakes in turkey. Comput. Geosci. 2009, 35, 1884–1896. [Google Scholar] [CrossRef]















| Parameters | Value |
|---|---|
| Length, m | 140.75 |
| Mass, t | 24,441.8 |
| Center of gravity (X), m | −1.32 |
| Center of gravity (Y), m | 0 |
| Center of gravity (Z), m | 3.76 |
| Moment of inertia tensor (Ixx), t·m2 | 2,105,000 |
| Moment of inertia tensor (Iyy), t·m2 | 33,599,000 |
| Moment of inertia tensor (Izz), t·m2 | 33,599,000 |
| Parameters | Value |
|---|---|
| Diameter, mm | 122.7 |
| Unit weight, kg/m | 32.5 |
| Bending stiffness, kN·m2 | 4.835 |
| Axial stiffness, kN | 316,024 |
| Torsional stiffness, kN·m2 | 3.838 |
| Allowable bending radius, m | 1.841 |
| Allowable tension, kN | 94.2 |
| Parameters | Values |
|---|---|
| Water depth, m | 20 |
| Burial depth, m | 0, 1, 2, 3, 4 |
| Burial width (top), m | 1 |
| Burial width (bottom), m | 0.3 |
| Wave height, m | 0.92 |
| Wave period, s | 3.9 |
| Current velocity (surface), m/s | 0.81 |
| Current velocity (middle), m/s | 0.71 |
| Current velocity (bottom), m/s | 0.61 |
| Environmental load direction, ° | 0 |
| Parameters | Ranges | |
|---|---|---|
| Minimum | Maximum | |
| Burial depth (h), m | 0 | 4 |
| Unit weight (w), kg/m | 26 | 39 |
| Water depth (H), m | 8 | 20 |
| Environmental load direction (β), ° | 0 | 180 |
| No. | Tpeak, kN | β, ° | w, kg/m | H, m | h, m |
|---|---|---|---|---|---|
| 1 | 2.19 | 0 | 26 | 8 | 1 |
| 2 | 2.27 | 0 | 26 | 8 | 2 |
| 3 | 2.43 | 0 | 26 | 8 | 3 |
| - | - | - | - | - | - |
| - | - | - | - | - | - |
| 143 | 6.23 | 180 | 39 | 20 | 3 |
| 144 | 6.46 | 180 | 39 | 20 | 4 |
Disclaimer/Publisher’s Note: The statements, opinions and data contained in all publications are solely those of the individual author(s) and contributor(s) and not of MDPI and/or the editor(s). MDPI and/or the editor(s) disclaim responsibility for any injury to people or property resulting from any ideas, methods, instructions or products referred to in the content. |
© 2024 by the authors. Licensee MDPI, Basel, Switzerland. This article is an open access article distributed under the terms and conditions of the Creative Commons Attribution (CC BY) license (https://creativecommons.org/licenses/by/4.0/).
Share and Cite
Shen, J.; Liang, Y.; Hong, H.; Chen, J. Numerical Investigation of Burial Depth Effects on Tension of Submarine Power Cables. J. Mar. Sci. Eng. 2024, 12, 1972. https://doi.org/10.3390/jmse12111972
Shen J, Liang Y, Hong H, Chen J. Numerical Investigation of Burial Depth Effects on Tension of Submarine Power Cables. Journal of Marine Science and Engineering. 2024; 12(11):1972. https://doi.org/10.3390/jmse12111972
Chicago/Turabian StyleShen, Jiayi, Yingjie Liang, Huabin Hong, and Jiawang Chen. 2024. "Numerical Investigation of Burial Depth Effects on Tension of Submarine Power Cables" Journal of Marine Science and Engineering 12, no. 11: 1972. https://doi.org/10.3390/jmse12111972
APA StyleShen, J., Liang, Y., Hong, H., & Chen, J. (2024). Numerical Investigation of Burial Depth Effects on Tension of Submarine Power Cables. Journal of Marine Science and Engineering, 12(11), 1972. https://doi.org/10.3390/jmse12111972

