Analysis of the Vertical Dynamic Response of SDCM Piles in Coastal Areas
Abstract
1. Introduction
2. Research Process
3. Computational Models and Fundamental Equations
3.1. Computational Models and Assumptions
- (1)
- The soil adjacent to the pile is homogeneous, isotropic, viscoelastic, and unsaturated;
- (2)
- The cement–soil exterior pile and concrete core pile are linear elastic mediums, neglecting their viscosity;
- (3)
- Deformations induced by vibration in the pile–soil interaction system are small deformations. During vibration, displacements and stresses at the pile–soil interface remain continuous and coordinated;
- (4)
- There is sufficient adhesive strength between the cement–soil exterior pile and concrete core pile, and the interface between them does not detach or experience mutual misalignment during vibration;
- (5)
- At the initial moment, the pile–soil interaction system is in a static state;
- (6)
- The compaction effects due to pile driving are neglected.
3.2. Longitudinal Vibration Equation of SDCM Pile
3.3. The Governing Equation for Soil at the Pile Side
4. Equation Solution
4.1. Pile–Soil System Boundary Conditions
4.2. Analysis of Soil Behavior Adjacent to Piles
4.3. Solution of SDCM Pile
5. Case Study Analysis
5.1. Comparative Verification of Solutions
5.2. Parameter Analysis
5.2.1. Effects of Pile Physical Parameters
5.2.2. Effects of FSLS Model Parameters
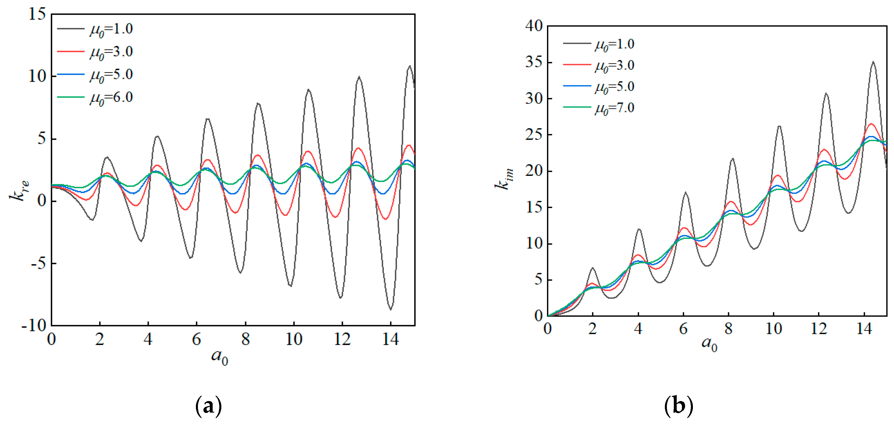
5.2.3. Impact of Other Soil Parameters
6. Discussion
7. Conclusions
- (1)
- Reducing the radius of the concrete core pile while maintaining a constant total cross-sectional area of the SDCM pile positively contributes to enhancing its vibration resistance and helps to reduce construction costs and difficulties. However, expanding the radius of the exterior pile without changing the cross-section of the concrete core pile does not effectively improve its vibration resistance.
- (2)
- Increasing the length of the SDCM pile aids in enhancing its vibration resistance. Conversely, an rise in the elastic modulus of the exterior pile is detrimental to the ability to resist vertical vibrations of the SDCM pile. The enlargement in the elastic modulus of the core pile only enhance its vibration resistance under low-frequency load excitation.
- (3)
- In the FSLS model, an increase in the fractional order and strain relaxation time, along with a decrease in stress relaxation time, both contribute to improving the ability to resist vertical vibrations of the SDCM pile.
- (4)
- An increase in soil saturation and a decrease in the intrinsic permeability coefficient have a significantly positive effect on enhancing the ability to resist axial dynamic loads of the SDCM pile. Additionally, an surge in the relaxed shear modulus of the surrounding soil has a markedly positive impact on the ability to resist vertical vibrations of the SDCM pile. However, the impact of porosity changes on the ability to resist vertical vibrations of the SDCM pile can be considered negligible.
Author Contributions
Funding
Institutional Review Board Statement
Informed Consent Statement
Data Availability Statement
Conflicts of Interest
Symbols and Abbreviations
| Symbols and Abbreviations | Description |
| SDCM | Stiffened deep cement mixing |
| DCM | Deep cement mixing |
| ρc | The density of concrete core pile |
| Ac | Cross-sectional area of core pile |
| Am | Cross-sectional area of exterior pile |
| r1 | Inner radii of concrete core pile |
| r2 | External radii of concrete core pile |
| r3 | External radii of exterior pile |
| L | The length of the stiffened composite pile |
| P(t) | Uniformly distributed harmonic dynamic load |
| τm | The frictional resistance acting on the inner wall of the micro unit of the exterior pile |
| τs | The frictional resistance acting on the exterior wall of the micro unit of the exterior pile |
| um | The axial displacement of the cement–soil exterior pile |
| uc | The axial displacement of the concrete core pile |
| σm | The axial stress acting on the top of the micro unit of the cement–soil exterior pile |
| σc | The axial stress acting on the top of the micro unit of the concrete core pile |
| Em | The elastic moduli of the concrete core pile |
| Ec | The elastic moduli of the cement–soil exterior pile |
| ω | Angular frequency |
| f | Frequency |
| ui | Displacement components of the solid phase |
| wi | Relative displacement components of the liquid phase |
| vi | Relative displacement components of the gas phase |
| ρs | Absolute mass densities of the solid phase |
| ρw | Absolute mass densities of the liquid phase |
| ρg | Absolute mass densities of the gas phase |
| ϕ | The porosity of the unsaturated soil |
| Sw | Saturation degrees of the liquid phase |
| Sg | Saturation degrees of the gas phase |
| k | The intrinsic permeability coefficient of the unsaturated soil |
| μw | Dynamic viscosities of the liquid phase |
| μg | Dynamic viscosities of the gas phase |
| krw | Relative permeability coefficients of the liquid phase |
| krg | Relative permeability coefficients of the gas phase |
| m | The parameter of the V-G model |
| Se | The effective saturation of the liquid phase |
| Sres | The residual saturation of the liquid phase |
| pw | Pore water pressure |
| pg | Pore gas pressure |
| Fourier transforms of stress | |
| Strain in the medium | |
| r | The fractional order |
| τσ | Stress relaxation time |
| τε | Strain relaxation time |
| μ0 | The relaxed shear modulus |
| Kb0 | Relaxed bulk modulus of the soil skeleton |
| Ks | The compressive modulus of the soil particles |
| εs | The volumetric strain of the soil skeleton |
| εxx | The relative volumetric strain of the liquid phase |
| ε9 | The relative volumetric strain of the gas phase |
| Axial stress | |
| Radial stress | |
| Shear stress | |
| ∇2 | The Laplace operator |
| The Fourier transform form of |
Appendix A
Appendix B
Appendix C
Appendix D
References
- Zhu, R.; Zhou, F.; Wang, X.D.; Wei, X.; Deng, Y.G. Pore Water Pressure and Stress Changes During the Construction of Stiffened Deep Cement Mixing Piles. Int. J. Civ. Eng. 2024, 22, 1481–1492. [Google Scholar] [CrossRef]
- Zhu, S.M.; Chen, C.F.; Cai, H.; Mao, F.S. Analytical modeling for the load-transfer behavior of stiffened deep cement mixing (SDCM) pile with rigid cap in layer soils. Comput. Geotech. 2022, 144, 104618. [Google Scholar] [CrossRef]
- Voottipruex, P.; Suksawat, T.; Bergado, D.T.; Jamsawang, P. Numerical simulations and parametric study of SDCM and DCM piles under full scale axial and lateral loads. Comput. Geotech. 2011, 38, 318–329. [Google Scholar] [CrossRef]
- Dai, Z.H.; Liu, Z.E.; Zhang, H.; Qin, Z.Z. Numerical analysis of load-transfer mechanism of stiffened deep cement mixing pile foundation. Int. J. Geotech. Eng. 2023, 17, 583–593. [Google Scholar] [CrossRef]
- Tao, F.; Zhu, H.Q.; Dong, F.B.; Chai, S.Q.; Liu, F.; Zhang, M. Experimental study on the bearing property of the composite foundation with stiffened deep cement mixing pile based on the PHC pile. Front. Mater. 2023, 10, 1237190. [Google Scholar] [CrossRef]
- Han, Y.S.; Cheng, J.Y.; Zhou, M.; Ni, P.P.; Wang, Y.L. Experimental Study of Compaction and Expansion Effects Caused by Penetration of Core Pile During Construction of SDCM Pile. Int. J. Geomech. 2022, 22, 04022041. [Google Scholar] [CrossRef]
- Zhuang, X.X.; Zong, Z.L.; Huang, Y.H.; Wang, C.S.; Lin, X.J. Parametric Study on Analyzing the Effect of Soil-Cement Strength on the Uplifting Behavior of HSCM Piles Installed in Marine Soft Clay. Appl Sci. 2023, 13, 330. [Google Scholar] [CrossRef]
- Sukkarak, R.; Jongpradist, P.; Kongkitkul, W.; Jamsawang, P.; Likitlersuang, S. Investigation on load-carrying capacity of geogrid-encased deep cement mixing piles. Geosynth. Int. 2021, 28, 450–463. [Google Scholar] [CrossRef]
- Wonglert, A.; Jongpradist, P. Impact of reinforced core on performance and failure behavior of stiffened deep cement mixing piles. Comput. Geotech. 2015, 69, 93–104. [Google Scholar] [CrossRef]
- Jiu, Y.Z.; Gao, Y.F.; Lei, F.G.; Zhu, Y.Z.; Zhang, Z.Z. Nonlinear Analysis of Bearing Characteristics of Stiffened Deep Cement Mixing Piles under Vertical Loading. Buildings 2024, 14, 816. [Google Scholar] [CrossRef]
- Zhou, M.; Li, Z.T.; Han, Y.S.; Ni, P.P.; Wang, Y.L. Experimental Study on the Vertical Bearing Capacity of Stiffened Deep Cement Mixing Piles. Int. J. Geomech. 2022, 22, 04022043. [Google Scholar] [CrossRef]
- Wang, C.; Wu, Q.; Zhang, H.; Liang, F. Effect of scour remediation by solidified soil on lateral response of monopile supporting offshore wind turbines using numerical model. Appl. Ocean. Res. 2024, 150, 104143. [Google Scholar] [CrossRef]
- Dai, G.L.; OuYang, H.R.; Gao, L.C.; Liu, H.B.; Guo, Q.; Gong, W.M. Monotonic and cyclic lateral behavior of semi-rigid pile in cement-improved clay: Centrifuge tests and numerical investigation. Acta. Geotech. 2023, 18, 4157–4181. [Google Scholar] [CrossRef]
- Zhang, C.R.; Zhang, X.; Huang, M.S.; Tang, H.W. Responses of caisson-piles foundations to long-term cyclic lateral load and scouring. Soil Dyn. Earthq. Eng. 2019, 119, 62–74. [Google Scholar] [CrossRef]
- Liu, H.B.; Dai, G.L.; Zhou, F.X.; Ouyang, H.R.; Liu, J. Analytical approach for lateral dynamic behaviours of pipe piles enhanced by cement-improved soil in unsaturated ground. Acta. Geotech. 2024, 19, 6747–6772. [Google Scholar] [CrossRef]
- Wang, C.; Xu, Y.F.; Dong, P. Working characteristics of concrete-cored deep cement mixing piles under embankments. J. Zhejiang Univ. Sci. A 2014, 15, 419–431. [Google Scholar] [CrossRef]
- Phutthananon, C.; Jongpradist, P.; Dias, D.; Guo, X.F.; Jamsawang, P.; Baroth, J. Reliability-based settlement analysis of embankments over soft soils reinforced with T-shaped deep cement mixing piles. Front. Struct. Civ. Eng. 2022, 16, 638–656. [Google Scholar] [CrossRef]
- Phutthananon, C.; Jongpradist, P.; Yensri, P.; Jamsawang, P. Dependence of ultimate bearing capacity and failure behavior of T-shaped deep cement mixing piles on enlarged cap shape and pile strength. Comput. Geotech. 2018, 97, 27–41. [Google Scholar] [CrossRef]
- Papadimitriou, A.G.; Valsamis, A.I.; Limnaiou, T.G. Liquefaction mitigation methods for existing shallow-founded elongated structures on horizontal or mildly-inclined ground. Soil Dyn. Earthq. Eng. 2022, 162, 107453. [Google Scholar] [CrossRef]
- Liu, S.Y.; Du, Y.J.; Yi, Y.L.; Puppala, A.J. Field Investigations on Performance of T-Shaped Deep Mixed Soil Cement Column-Supported Embankments over Soft Ground. J. Geotech. Geoenviron. 2012, 138, 718–727. [Google Scholar] [CrossRef]
- Jamsawang, P.; Bergado, D.T.; Voottipruex, P. Field behaviour of stiffened deep cement mixing piles. Proc. Inst. Civ. Eng. Ground Improv. 2011, 164, 33–49. [Google Scholar] [CrossRef]
- Zhou, J.J.; Gong, X.N.; Wang, K.H.; Zhang, R.H. A field study on the behavior of static drill rooted nodular piles with caps under compression. J. Zhejiang Univ. Sci. A 2015, 16, 951–963. [Google Scholar] [CrossRef]
- Zhou, J.J.; Wang, K.H.; Gong, X.N.; Zhang, R.H. Bearing capacity and load transfer mechanism of a static drill rooted nodular pile in soft soil areas. J. Zhejiang Univ. Sci. A 2013, 14, 705–719. [Google Scholar] [CrossRef]
- Jamsawang, P.; Bergado, D.T.; Voottipruex, P. Chapter 2—Full-Scale Tests on Stiffened Deep Cement Mixing Piles Including Three-Dimensional Finite Element Simulation. In Ground Improvement Case Histories; Indraratna, B., Chu, J., Rujikiatkamjorn, C., Eds.; Butterworth-Heinemann: Oxford, UK, 2015; pp. 31–77. [Google Scholar]
- Tang, X.J.; Zhao, W.; Dong, M.M.; Su, H.; Cai, X.L.; Chen, Y.; Li, W.W. Experimental and Numerical Study of the Mechanical Behavior of Cemented Soil Stiffened with Large-Size Prestressed High-Strength Concrete Pile Under Compression. Arab. J. Sci. Eng. 2024. [Google Scholar] [CrossRef]
- Bao, H.; Peng, J.; Cheng, Z.J.N.; Hong, J.Q.; Gao, Y. Experimental Study on Inner Interface Mechanical Properties of the ESDCM Pile with Steel Core. Buildings 2023, 13, 486. [Google Scholar] [CrossRef]
- Peng, J.; Gao, Y.; Bao, H.; Liu, Y.M.; Shao, Q.H. Influence of the ribbed steel core on the inner Interface mechanical behavior of the ESDCM pile. Case Stud. Constr. Mater. 2024, 21, e03554. [Google Scholar] [CrossRef]
- Gong, Z.Y.; Dai, G.L.; Liu, H.B.; Chen, X.S.; Ouyang, H.R.; Jiang, J.X. Theoretical Analysis and Field Investigation on Bearing Characteristics of the Long-Core SDCM Pile Under Vertical Load in Multilayered Soil. Int. J. Numer. Anal. Methods Geomech. 2024. [Google Scholar] [CrossRef]
- Savvides, A.A.; Papadopoulos, L. A neural network approach for the reliability analysis on failure of shallow foundations on cohesive soils. Int. J. Geotech. Eng. 2024, 15, 15. [Google Scholar] [CrossRef]
- Zhang, P.; Yin, Z.Y.; Sheil, B. Interpretable data-driven constitutive modelling of soils with sparse data. Comput. Geotech. 2023, 160, 105511. [Google Scholar] [CrossRef]
- Zheng, C.J.; Kouretzis, G.; Ding, X.M.; Luan, L.B. Vertical vibration of end-bearing single piles in poroelastic soil considering three-dimensional soil and pile wave effects. Comput. Geotech. 2022, 146, 104740. [Google Scholar] [CrossRef]
- Liu, H.B.; Dai, G.L.; Zhou, F.X.; Li, Z.W.; Liang, Y.W. Vertical dynamic response of pipe pile embedded in unsaturated soil based on fractional-order standard linear solid model and Rayleigh-Love rod model. Int. J. Numer. Anal. Methods Geomech. 2023, 47, 325–348. [Google Scholar] [CrossRef]
- Meng, K.; Cui, C.Y.; Liang, Z.M.; Li, H.J.; Pei, H.F. A new approach for longitudinal vibration of a large-diameter floating pipe pile in visco-elastic soil considering the three-dimensional wave effects. Comput. Geotech. 2020, 128, 103840. [Google Scholar] [CrossRef]
- Shan, Y.; Ma, W.J.; Xiang, K.; Wang, B.L.; Zhou, S.H.; Guo, H.J. Vertical dynamic response of a floating pile in unsaturated poroelastic media based on the fictitious unsaturated soil pile model. Appl. Math. Model. 2022, 109, 209–228. [Google Scholar] [CrossRef]
- Lü, S.H.; Wang, K.H.; Wu, W.B.; Leo, C.J. Longitudinal vibration of a pile embedded in layered soil considering the transverse inertia effect of pile. Comput. Geotech. 2014, 62, 90–99. [Google Scholar] [CrossRef]
- Raongjant, W.; Jing, M. Field testing of stiffened deep cement mixing piles under lateral cyclic loading. Earthq. Eng. Eng. Vib. 2013, 12, 261–265. [Google Scholar] [CrossRef]
- Zhang, D.W.; Wang, A.H.; Ding, X.M. Seismic response of pile groups improved with deep cement mixing columns in liquefiable sand: Shaking table tests. Can. Geotech. J. 2022, 59, 994–1006. [Google Scholar] [CrossRef]
- Ding, X.M.; Zheng, J.H.; Luan, L.B. Principles of Pile Dynamics; Science Press: Beijing, China, 2021; pp. 118–142. [Google Scholar]
- Liu, H.; Dai, G.; Zhou, F.; Cao, X.; Wang, L. Effect of flow-independent viscosity on the propagation behavior of Rayleigh wave in partially saturated soil based on the fractional standard linear solid model. Comput. Geotech. 2022, 147, 104763. [Google Scholar] [CrossRef]














| Medium | Parameter Name/Symbol | Value |
|---|---|---|
| Soil particles | Bulk modulus/Ks | 35 GPa |
| Density/ρs | 2650 kg/m3 | |
| Water | Bulk modulus/Kw | 2.25 GPa |
| Density/ρw | 997 kg/m3 | |
| Dynamic viscosity/μw | 0.001 Pa·s | |
| Air | Porosity/Kg | 0.145 MPa |
| Density/ρg | 1.1 kg/m3 | |
| Dynamic viscosity/μg | 1.8 × 10−5 Pa·s | |
| Soil skeleton | Porosity/ϕ | 0.45 |
| Saturation/Sw | 0.6 | |
| Residual saturation/Sres | 0.0913 | |
| V-G model parameters/αv | 0.0001 | |
| V-G model parameters/m | 0.5338 | |
| V-G model parameters/d | 2.145 | |
| Intrinsic permeability/k | 5.3 × 10−13 m2 | |
| Fractional order/r | 0.6 | |
| Stress relaxation time/τσ | 4.24 × 10−5 s | |
| Strain relaxation time/τε | 5.39 × 10−5 s | |
| Relaxation shear modulus/μ0 | 3.85 MPa | |
| Bulk relaxation modulus/Kb0 | 8.33 MPa | |
| Concrete core pile | Elastic modulus | 20,000 MPa |
| Density | 2350 kg/m3 | |
| Inner radius | 0.1 m | |
| Outer radius | 0.2 m | |
| Pile length | 10 m | |
| Concrete–soil exterior pile | Elastic modulus | 300 MPa |
| Density | 2010 kg/m3 | |
| Inner radius | 0.2 m | |
| Outer radius | 0.4 m | |
| Pile length | 10 m |
Disclaimer/Publisher’s Note: The statements, opinions and data contained in all publications are solely those of the individual author(s) and contributor(s) and not of MDPI and/or the editor(s). MDPI and/or the editor(s) disclaim responsibility for any injury to people or property resulting from any ideas, methods, instructions or products referred to in the content. |
© 2024 by the authors. Licensee MDPI, Basel, Switzerland. This article is an open access article distributed under the terms and conditions of the Creative Commons Attribution (CC BY) license (https://creativecommons.org/licenses/by/4.0/).
Share and Cite
Yan, Y.; Liu, H.; Dai, G.; Xiang, Y.; Xu, C. Analysis of the Vertical Dynamic Response of SDCM Piles in Coastal Areas. J. Mar. Sci. Eng. 2024, 12, 1950. https://doi.org/10.3390/jmse12111950
Yan Y, Liu H, Dai G, Xiang Y, Xu C. Analysis of the Vertical Dynamic Response of SDCM Piles in Coastal Areas. Journal of Marine Science and Engineering. 2024; 12(11):1950. https://doi.org/10.3390/jmse12111950
Chicago/Turabian StyleYan, Yeyu, Hongbo Liu, Guoliang Dai, Yufan Xiang, and Chenhu Xu. 2024. "Analysis of the Vertical Dynamic Response of SDCM Piles in Coastal Areas" Journal of Marine Science and Engineering 12, no. 11: 1950. https://doi.org/10.3390/jmse12111950
APA StyleYan, Y., Liu, H., Dai, G., Xiang, Y., & Xu, C. (2024). Analysis of the Vertical Dynamic Response of SDCM Piles in Coastal Areas. Journal of Marine Science and Engineering, 12(11), 1950. https://doi.org/10.3390/jmse12111950
