Improving O&M Simulations by Integrating Vessel Motions for Floating Wind Farms
Abstract
1. Introduction
2. Methodology
3. Case Study
3.1. Wind Farm Sites
3.2. Reference FOWT
3.3. Weather Data
3.4. Failures Rates
3.5. Vessels and Technicians
3.6. MCR Strategies
- Tow-to-Port (T2P) strategy: The T2P strategy is where major turbine components are replaced at an onshore O&M port facility. This strategy involves several key steps: disconnecting the FOWT from its mooring lines (MLs) and inter-array cables (IACs), towing it to port using a lead tug and an assisting tug vessel, performing necessary replacements at the port with an onshore crane, and finally towing the FOWT back to the offshore site for reconnection. During disconnection, the MLs and IACs are safely stored at a designated buoy near the offshore site. This ensures that they remain secure and accessible for reconnection upon the FOWT’s return. It is crucial that the IACs are properly sealed to prevent water ingress, which could otherwise lead to damage or failure of the electrical connections. Table 4 provides a detailed breakdown of the T2P strategy steps.The execution of the T2P strategy requires adherence to specific operational limits, which are defined by both weather and motion constraints. The weather limits primarily involve significant wave height () and wind speed (). Motion limits are categorized into two criteria: general criteria at the vessel’s center of gravity (CoG) [C1] during vessel transit, and towing criteria at the wind turbine’s nacelle [C2] when the FOWT is being towed.The general criteria at the vessel’s CoG involve surge acceleration (), sway acceleration (), and heave acceleration () motions, which correspond to linear accelerations along the longitudinal, lateral, and vertical axes, respectively (see Figure 1). Additionally, roll motion (), which refers to the rotational movement around the longitudinal axis, is also considered under these criteria. These parameters are critical during a typical transit operation for a vessel because they directly affect the comfort and safety onboard. Excessive acceleration values and roll motion can lead to a loss of postural stability and seasickness, posing significant risks to the technicians onboard and reducing their ability to work. These criteria correspond to the operational criteria for tug operations defined within the SafeTug JIP [19]. The operational criteria from the SafeTug JIP are in line with the criteria for “Light Manual work” from Nordfosk [20] and for CTV operations given by the Carbon Trust [21].The towing criteria are applied to the nacelle of the wind turbine to monitor accelerations during towing operations. Located at the top of the wind turbine tower, the nacelle represents a significant source of mass and inertia, making it a critical point for evaluating motion-induced stresses. The criteria specifically monitor surge acceleration , sway acceleration , roll motion , and pitch motion . By focusing on the nacelle, these criteria help identify excessive movements that could result in structural damage.In Safetrans simulations, the motion criteria are applied to the assist tug during the transit phases, as it is the slowest vessel and will have the largest motions. During towing and offshore operations, the criteria are instead applied to the lead tug.
- Floating-to-Floating (FTF) strategy: An alternative for performing MCR directly on site for FOWTs involves the use of a Semi-Submersible Crane Vessel (SSCV) equipped with a relative motion compensation system. Currently, such dedicated SSCVs for MCR are not available, but designs for these vessels and their motion compensation equipment are being proposed as cost-efficient solutions; see [21].In the present case study, a 120-m, six-column SSCV is assumed (see Table 3). The SSCV maintains its position next to the FOWT using its Dynamic Positioning (DP) system, which compensates for the mean and low-frequency relative motions between the FOWT and the SSCV. Both the semi-submersible FOWT and the SSCV have favorable seakeeping characteristics that limit wave–frequency motions. It is assumed that any remaining wave–frequency motions will be compensated for by an innovative, yet-to-be-developed motion compensation system in the crane. Such motion compensation systems have been proposed by [22,23]. Based on these designs, it is assumed that the motion compensation systems will be capable of compensating for the relative motions between the FOWT and the crane as per the criteria [C3] in Table 5.Table 5 outlines the FTF strategy using SSCVs for MCR. This strategy includes key actions such as transiting the SSCV to the site with the new component and technicians, performing the MCR operation on site using the onboard crane and then transiting back to port with the removed component and technicians. The same motion criteria are applied to the SSCV as those for the tug vessels [C1]. Due to its favorable semi-submersible seakeeping characteristics, large size, and significant mass, these limits are reached in higher sea states. A higher weather limit is also applied to the SSCV compared to the tug vessels used in the T2P strategy.For the MCR by FTF, the relative motions between the RNA and the SSCV crane are critical. Surge (X), sway (Y), heave (Z), and roll () motions of both floaters cause relative movements of the lifted component, making it challenging to align and position the component accurately during replacement. To address these motions, the SSCV is expected to be equipped with a novel motion compensation system, which is currently non-existent. In this case study, it is assumed that the system will be capable of compensating for the relative motions between the RNA and the crane tip as listed in [C3] in Table 5.
- Self-Hoisting Crane (SHC) strategy: Another alternative for performing MCR on site involves using a Self-Hoisting Crane (SHC) system to carry out component replacements directly on the FOWT. This strategy utilizes a transportation platform and a crane that is integrated with the FOWT itself, as opposed to the FTF approach, where the crane operates from a separate vessel. By becoming part of the FOWT structure, the SHC system mitigates the relative motions between the FOWT and the components being lifted. Examples of SHC systems can be found in [24,25], although specific operational details and limits are still under development and not fully established.Table 6 outlines the SHC strategy. In this approach, the SHC crane and replacement component are transported to the wind farm location. The platform, at its transit draft, is towed to the site by a small tug vessel. Upon arrival, the platform is ballasted to its operational draft and coupled to the FOWT foundation. A CTV assists in transferring personnel between the tug, FOWT, and the SHC platform. Once the platform is secured to the FOWT, the SHC is hoisted onto the wind turbine tower, providing stability during MCR operations. The SHC crane is secured to the platform using winches to ensure stability during the maintenance tasks.Motion limits are calculated at the SHC platform, where the maintenance components are stored. Due to the ongoing development of the SHC approach and the lack of specific operational limits, only a heave (Z) limit of 0.4 m RMS is applied [C4]. This criterion assumes the use of an Active Heave Compensation (AHC) system to lift components from the platform deck. Additionally, it is assumed that the SHC approach will include a horizontal guidance system during lifting to prevent swinging motions and interference with the FOWT structure. The calculation of the vertical motion at the SHC platform is based on the RAOs of the FOWT, as it was assumed that the platform would be coupled to the FOWT. Since few details are known about the platform and coupling characteristics, it is assumed that the platform did not have an impact on the FOWT motions.
4. Results and Discussion
- KPI I: Maintenance and Downtime Cost (MDC) [kEUR/MW/year]MDC quantifies the O&M costs and revenue losses due to downtime, normalized to the turbine’s capacity and expressed on a per-year basis. By integrating these factors, MDC provides a comprehensive view of the financial impact of maintenance activities on wind farm operations. It is calculated aswhere is the cost of the vessels, is the cost of the technicians, is the cost of spare parts, and represents revenue loss due to downtime, with i indicating each O&M action. n is the total number of O&M actions, MW represents the wind farm’s total capacity in megawatts, and year denotes the operational period of the wind farm in years.
- KPI II: Time-based Availability () [%]Time-based availability measures the percentage of time a wind farm is operational compared to the total time, calculated in hours. This KPI is essential for assessing the efficiency of the wind farm. It is calculated aswhere is the actual operational time, and is the total possible operational time. A higher value indicates that the O&M strategy effectively minimizes downtime and maximizes energy production.
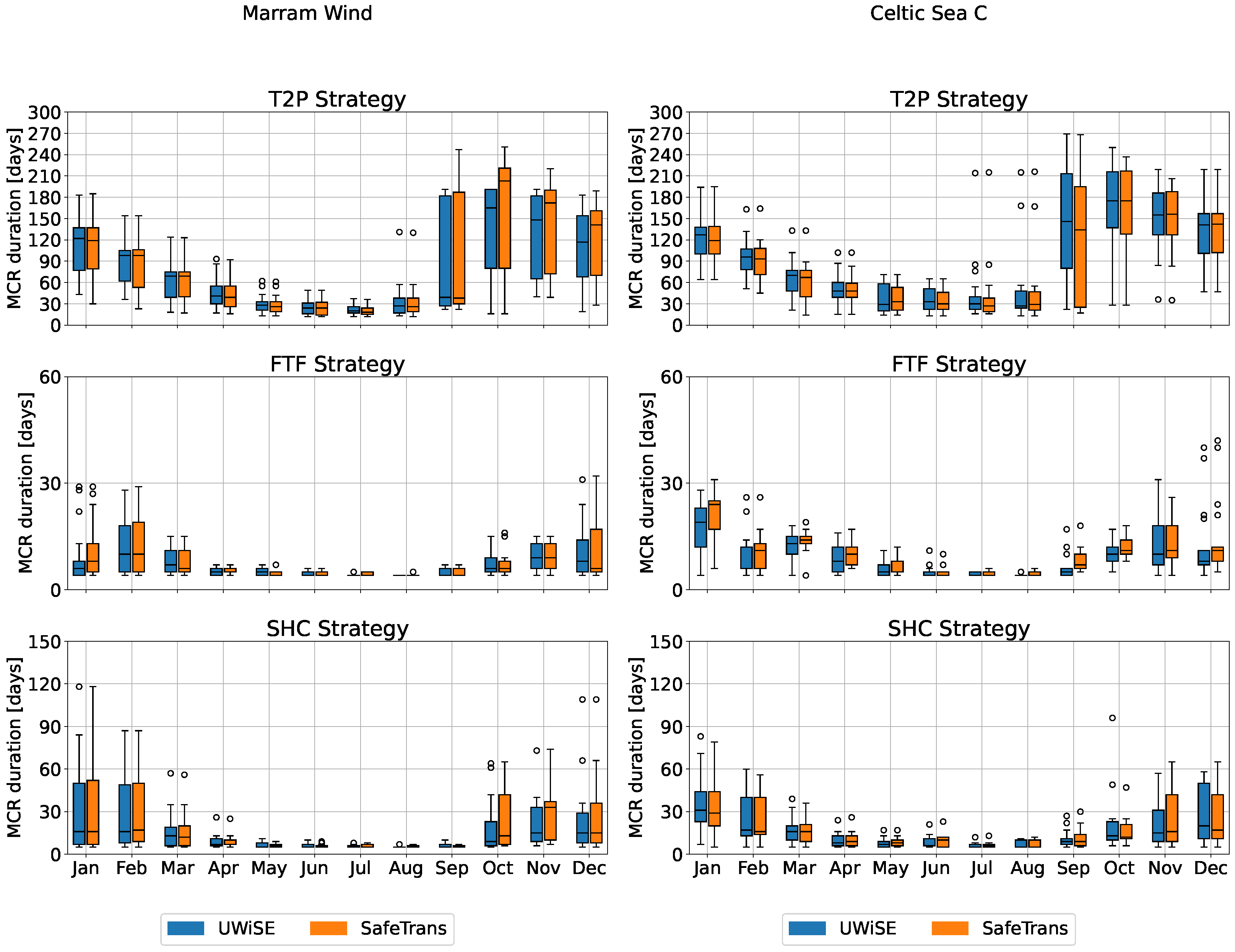
4.1. Benchmarking Using the T2P Strategy
4.2. Comparison of MCR Strategies
5. Conclusions
6. Future Works
- Incorporating Availability and Market Constraints: The current analysis assumes full vessel availability for all maintenance strategies, which simplifies the modeling process. However, in practice, the availability of specialized vessels (like SSCVs), is likely to be limited due to high demand in the offshore market. In contrast, Self-Hoisting Cranes, along with their purpose-built platforms designed for specific FOWT types, are anticipated to have higher availability, as they only require small supporting vessels for transportation. Similarly, the availability of critical spare parts may be constrained, leading to extended repair times. The scarcity of both vessels and spare parts can result in increased downtime and revenue losses, particularly as the floating offshore wind turbine (FOWT) market continues to grow.To provide a more accurate representation of real-world conditions, future research should incorporate constraints related to vessel and spare parts availability into O&M simulations. This could include modeling different scenarios, such as shortages and scheduling conflicts, to assess the economic and operational impacts more realistically. Such simulations would be particularly valuable in a competitive market, where resource availability is a critical factor in the success of offshore projects.Additionally, port logistics and quayside operations have been excluded from the current analysis. These logistical processes can significantly affect the overall maintenance timeline and costs, especially in congested or underdeveloped ports. By incorporating port logistics and quayside operations into future simulations, the full scope of potential bottlenecks in the O&M process can be captured, leading to a more comprehensive evaluation of the operational challenges in offshore wind farm maintenance.
- Quantifying Greenhouse Gas (GHG) Emissions: While this study focused on cost efficiency, the environmental impact, particularly in terms of fuel consumption and GHG emissions, is also crucial. Deep-water operations like T2P require more fuel, resulting in higher emissions. Future research should quantify GHG emissions for different O&M activities using comprehensive GHG assessment methods. This would provide a more holistic view of the sustainability of various maintenance actions.
- Enhanced Risk Assessment Models: The FOWT industry faces numerous risks, ranging from operational challenges to extreme weather events. Developing comprehensive risk assessment models that account for these variables will be critical for the long-term viability and safety of O&M operations. Future research could focus on creating robust risk models that integrate both financial and operational risks, including the potential impacts of severe weather conditions, which are expected to increase in frequency and intensity due to climate change. These enhanced models would enable operators to better prepare for and mitigate risks associated with extreme conditions, contributing to more resilient and reliable offshore wind operations.
Author Contributions
Funding
Institutional Review Board Statement
Informed Consent Statement
Data Availability Statement
Acknowledgments
Conflicts of Interest
Abbreviations
| AC | Annual campaign |
| AHT | Anchor-handling tug |
| AHTS | Anchor-handling tug supply vessel |
| BFWT | Bottom-fixed wind turbines |
| C1 | General criteria at the vessel’s center of gravity |
| C2 | Towing criteria at the wind turbine’s nacelle |
| C3 | Floating-to-floating limits at nacelle |
| C4 | Self-Hoisting Crane criteria at SHC platform deck |
| CoG | Center of gravity |
| CTV | Crew transfer vessels |
| D/W | Day/wait rate |
| FTF | Floating-to-Floating |
| FOWT | Floating offshore wind turbine |
| HLV | Heavy-lift vessel |
| IAC | Inter-array cable |
| KPI | Key performance indicator |
| MCR | Major component replacement |
| MDC | Maintenance and downtime cost |
| ML | Mooring lines |
| MR | Major repair |
| mR | Minor repair |
| M/D | Mobilization/demobilization rate |
| MW | Megawatt |
| O&M | Operations and maintenance |
| OPEX | Operating expenses |
| RAO | Response amplitude operator |
| SOV | Service operation vessel |
| SSCV | Semi-submersible crane vessel |
| SHC | Self-Hoisting Crane |
| T2P | Tow-to-Port |
| UWiSE | Unified windfarm simulation environment |
| Time-based availability | |
| Cost of vessels | |
| Cost of technicians | |
| Cost of spare parts | |
| Significant wave height | |
| Revenue loss due to downtime | |
| Length between perpendiculars | |
| Root Mean Square | |
| T | Draft |
| Bollard pull | |
| Actual operational time | |
| Total possible operational time | |
| Wind speed at 10 m | |
| X | Surge |
| Y | Sway |
| Z | Heave |
| Displacement | |
| Roll | |
| Pitch |
Appendix A. Wind Farm Sites

Appendix B. Transit Draft of the FOWT
| FOWT Parameters at Transit Draft of 12 m. | |
|---|---|
| Designation | Value |
| Draft | 12 m |
| Displacement | 16,703 tonnes |
| Waterplane Area | 442.9 m2 |
| Vertical Center of Gravity | 20.08 m |
| Transverse Metacentric Height | 14.10 m |
| Roll Radius of Gyration | 49.59 m |
| Pitch Radius of Gyration | 49.59 m |
| Yaw Radius of Gyration | 34.19 m |
References
- Rodrigues, A.A. “Fit for 55”: The EU Plan for a Green Transition. In Sustainable Finances and the Law: Between Public and Private Solutions; Springer Nature: Cham, Switzerland, 2024; pp. 333–344. [Google Scholar]
- Fernández-Guillamón, A.; Das, K.; Cutululis, N.A.; Molina-García, Á. Offshore wind power integration into future power systems: Overview and trends. J. Mar. Sci. 2019, 7, 399. [Google Scholar] [CrossRef]
- Bento, N.; Fontes, M. Emergence of floating offshore wind energy: Technology and industry. Renew. Sustain. Energy Rev. 2019, 99, 66–82. [Google Scholar] [CrossRef]
- Zappa, W.; Junginger, M.; Van Den Broek, M. Is a 100% renewable European power system feasible by 2050? Appl. Energy 2019, 233, 1027–1050. [Google Scholar] [CrossRef]
- McMorland, J.; Collu, M.; McMillan, D.; Carroll, J. Operation and maintenance for floating wind turbines: A review. Renew. Sustain. Energy Rev. 2022, 163, 112499. [Google Scholar] [CrossRef]
- Turc Castellà, F.X. Operations and Maintenance Costs for Offshore Wind Farm. Analysis and Strategies to Reduce O&M Costs. Master’s Thesis, Universitat Politècnica de Catalunya, Barcelona, Spain, 2020. [Google Scholar]
- Dewan, A.; Asgarpour, M. Reference O&M Concepts for Near and Far Offshore Wind Farms; ECN: Petten, The Netherlands, 2016. [Google Scholar]
- Rinaldi, G.; Thies, P.R.; Johanning, L. Improvements in the O&M modelling of floating offshore wind farms. In Developments in Renewable Energies Offshore; CRC Press: Boca Raton, FL, USA, 2020; pp. 481–487. [Google Scholar]
- Amorim, L. On Optimization of Operation and Maintenance for a Floating Offshore Wind Farm. Master’s Thesis, KTH, School of Electrical Engineering and Computer Science, Stockholm, Sweden, 2019. [Google Scholar]
- Gray, A. Operations and Maintenance Modelling of Floating Hybrid Systems; Wind Europe: Copenhagen, Denmark, 2019. [Google Scholar]
- Moreno, C.P.; Lange, J.; Snedker, T.; Bayati, I. A dynamic-simulation based workability and accessibility combined method for systematic analysis of floating wind operations. J. Phys. Conf. Ser. 2024, 2767, 062008. [Google Scholar] [CrossRef]
- Jenkins, B.; Prothero, A.; Collu, M.; Carroll, J.; McMillan, D.; McDonald, A. Limiting wave conditions for the safe maintenance of floating wind turbines. J. Phys. Conf. Ser. 2021, 2018, 012023. [Google Scholar] [CrossRef]
- TNO UWiSE. Available online: https://uwise.tno.nl/ (accessed on 13 June 2024).
- MARIN SafeTrans. Available online: https://www.marin.nl/en/publications/safetrans-as-a-service (accessed on 13 June 2024).
- Gaertner, E.; Rinker, J.; Sethuraman, L.; Zahle, F.; Anderson, B.; Barter, G.E.; Abbas, N.J.; Meng, F.; Bortolotti, P.; Skrzypinski, W.; et al. IEA Wind TCP Task 37: Definition of the IEA 15-Megawatt Offshore Reference Wind Turbine; National Renewable Energy Lab (NREL): Golden, CO, USA, 2020.
- Allen, C.; Viscelli, A.; Dagher, H.; Goupee, A.; Gaertner, E.; Abbas, N.; Hall, M.; Barter, G. Definition of the UMaine VolturnUS-S Reference Platform Developed for the IEA Wind 15-Megawatt Offshore Reference Wind Turbine: IEA Wind TCP Task 37; National Renewable Energy Lab (NREL): Golden, CO, USA, 2020.
- Floating Wind O&M Strategies Assessment (D4.2); Ramboll; Cobra; Equinor; Esteyco; FIHAC; Corewind: Delft, The Netherlands, 2021.
- MARIN; TNO. Floating Offshore Wind Turbine Transportation, Installation, Maintenance & Operations (FOWT IO&M)—Work Package 1: Literature and Market Review; MARIN and TNO: Wageningen, The Netherlands, 2024. [Google Scholar]
- Hove, D.T.; Roza, M. Research into the Effects of Motion Simulation on Tugboat Captain Training and Performance in Bridge Simulators. In Proceedings of the Human Performance at Sea, Glasgow, UK, 16–18 June 2010. [Google Scholar]
- Nordforsk. Assessment of Ship Performance in a Seaway: The NORDIC Co-Operative Project: “Seakeeping Performance of Ships”; Nordforsk: Copenhagen, Denmark, 1987. [Google Scholar]
- Carbon Trust. Available online: https://ctprodstorageaccountp.blob.core.windows.net/prod-drupal-files/documents/resource/public/FLWJIP-Phase3-Summary-Report.pdf (accessed on 13 June 2024).
- Buijs, J.R. 3D Motion Compensation for an Offshore Crane. Master’s Thesis, TU Delft, Delft, The Netherlands, 2017. [Google Scholar]
- X Laboratory. Available online: https://www.deltaxlab.com/offshore-wind/ (accessed on 13 June 2024).
- Atoms. Available online: https://www.solvewind.com/ (accessed on 29 August 2024).
- Windspider. Available online: https://windspider.com (accessed on 29 August 2024).
- Peak Wind. Update 2022: OPEX Benchmark—An Insight into the Operational Expenditures of European Offshore Wind Farms. Available online: https://peak-wind.com/update-2022-opex-benchmark-an-insight-into-the-operational-expenditures-of-european-offshore-wind-farms/ (accessed on 13 June 2024).







| Wind Farm Characteristics | ||
|---|---|---|
| Farm layout | 100 × 15 MW | |
| Turbine | 15 MW NREL reference turbine | |
| Floater | UMaine VolturnUS-S semi-submersible type | |
| Location | North Sea: MarramWind | Celtic Sea: Celtic Sea C |
| Water depth | 87–117.5 m | 90–100 m |
| Port | Fraserburgh | Loughbeg |
| Distance to port | 96.83 km | 129.66 km |
| O&M Characteristics | |||||
|---|---|---|---|---|---|
| Component | Maintenance | Failure rate | Cost (€) | Duration (h) | Resources |
| Corrective Maintenance | |||||
| Direct Drive Generator | MCR | 0.009 | 236,500 | 81 | 2 Tugs + AHT + 8T |
| MR | 0.03 | 14,340 | 25 | SOV + 3T | |
| mR | 0.546 | 1000 | 7 | SOV + 2T | |
| Power Converter | MCR | 0.077 | 55,000 | 57 | 2 Tugs + AHT + 4T |
| MR | 0.338 | 7000 | 14 | SOV + 3T | |
| mR | 0.538 | 1000 | 7 | SOV + 2T | |
| Main Shaft | MCR | 0.009 | 232,000 | 48 | 2 Tugs + AHT + 5T |
| MR | 0.026 | 14,000 | 18 | SOV + 3T | |
| mR | 0.231 | 1000 | 5 | SOV + 2T | |
| Power Electrical System | MCR | 0.002 | 50,000 | 18 | 2 Tugs + AHT + 4T |
| MR | 0.016 | 5000 | 14 | SOV + 3T | |
| mR | 0.358 | 1000 | 5 | SOV + 2T | |
| Yaw System | MCR | 0.001 | 12,500 | 49 | 2 Tugs + AHT + 5T |
| MR | 0.006 | 3000 | 20 | SOV + 3T | |
| mR | 0.162 | 500 | 5 | SOV + 2T | |
| Pitch System | MCR | 0.001 | 14,000 | 25 | 2 Tugs + AHT + 4T |
| MR | 0.179 | 1900 | 19 | SOV + 3T | |
| mR | 0.824 | 500 | 9 | SOV + 2T | |
| Blades | MCR | 0.001 | 445,000 | 288 | 2 Tugs + AHT + 21T |
| MR | 0.010 | 43,110 | 21 | SOV + 3T | |
| mR | 0.456 | 5000 | 9 | SOV + 2T | |
| Active Ballast System | mR | 0.010 | 1000 | 8 | SOV + 2T |
| Mooring Lines | MCR | 0.013 | 135,000 | 360 | AHT + CTV + 10T |
| MR | 0.015 | 20,000 | 240 | AHT + CTV + 10T | |
| mR | 0.120 | 1500 | 40 | SOV + 5T | |
| Anchors | MCR | 0.013 | 512,000 | 360 | AHT + CTV + 10T |
| MR | 0.015 | 75,000 | 240 | AHT + CTV + 10T | |
| Inter Array Cable | MCR | 0.016 | 220,000 | 360 | SOV + 10T |
| MR | 0.025 | 30,000 | 240 | SOV + 10T | |
| Buoyancy Modules | MCR | 0.033 | 100,000 | 40 | SOV + 5T |
| Export Cable | MR | 0.020 | 30,000 | 60 | SOV + 5T |
| Preventive Maintenance | |||||
| WTG | AC | 1 | 1500 | 24 | SOV + 3T |
| Platform | AC (topside) | 1 | 600 | 24 | SOV + 4T |
| AC (underwater) | 0.5 | 1000 | 12 | SOV + 10T | |
| Vessel Characteristics | |||||||
|---|---|---|---|---|---|---|---|
| Vessel | D/W Rate | M/D Rate | [m] | T [m] | [tons] | [tons] | [kts] |
| SOV (ROV Supported) | 75,000 | 225,000 | 84 | 5.0 | 6245 | 73 | 11.2 |
| AHT (CTV Assisted) | 66,000 | 530,000 | 88 | 7.3 | 7354 | 250 | 19.3 |
| AHT | 55,000 | 500,000 | 88 | 7.3 | 7354 | 250 | 19.3 |
| Lead Tug Vessel | 30,000 | 200,000 | 88 | 7.3 | 7354 | 250 | 19.3 * |
| Assist Tug Vessel | 30,000 | 200,000 | 49.5 | 5.1 | 2290 | 100 | 9.8 |
| SHC assist Tug Vessel | 20,000 | 150,000 | 49.5 | 5.1 | 2290 | 100 | 9.8 |
| SSCV, operational | 290,000 | 325,000 | 120 | 22.5 | 49,956 | 700 | 0.0 |
| SSCV, transit | 290,000 | 325,000 | 120 | 6.67 | 20,959 | 700 | 8.0 |
| SHC platform, transit | 80,000 | 160,000 | 60 | 3.33 | 3947 | - | 6.8 * |
| Onshore crane | 25,000 | 185,000 | - | - | - | - | - |
![]() | ||||
|---|---|---|---|---|
| Vessels | Action | Duration (h) | Weather Limits [, ] | Motion Limits |
| Lead tug + Assist tug + Onshore crane | Mobilize vessels | 24 | - | - |
| Transfer technicians | 1 | - | - | |
| Transit to site | distance/vessel speed | [3, 12] | C1 | |
| Turn off WT | - | - | - | |
| Couple with WT | 8 | [1.75, 15] | C1 | |
| Disconnect MLs & IACs + joint IACs | 60 | [1.75, 15] | C1 | |
| Tow WT to port | distance/towing speed | [3, 12] | C1 + C2 | |
| Quayside operation | 6 | - | - | |
| Replace component | MCR (h) component | - | - | |
| Test & check WT | 3 | - | - | |
| Couple with WT | 8 | [1.75, 15] | C1 | |
| Quayside operation | 6 | - | - | |
| Tow WT to site | distance/towing speed | [3, 12] | C1 + C2 | |
| Dejoint IACs | 12 | [1.75, 15] | C1 | |
| Reconnect MLs & IACs | 60 | [1.75, 15] | C1 | |
| WT pre run | 4 | - | - | |
| Turn on WT | - | - | - | |
| Transit to port | distance/vessel speed | [3, 12] | C1 | |
| Transfer technicians | 1 | - | - | |
| Demobilize vessels | 24 | - | - | |
| Criteria | Response | RMS Limit | Unit | |
| Vessel motion limits at CoG [C1] | Surge acc. () | 1.3 | m/s2 | |
| Sway acc. () | 1.3 | m/s2 | ||
| Heave acc. () | 1.9 | m/s2 | ||
| Roll () | 6 | deg | ||
| Towing limits at WT’s nacelle [C2] | Surge acc. () | 1.96 | m/s2 | |
| Sway acc. () | 1.96 | m/s2 | ||
| Roll () | 5 | deg | ||
| Pitch () | 5 | deg | ||
![]() | ||||
|---|---|---|---|---|
| Vessels | Action | Duration (h) | Weather Limits [, ] | Motion Limits |
| SSCV | Mobilize vessel | 24 | - | - |
| Transfer technicians component | 4 | - | - | |
| Transit to site | distance/speed | [4.5, 15] | C1 | |
| Turn off WT | - | - | - | |
| Ballast to draft & deploy crane | 4 | [3.5, 15] | C1 | |
| Replace component | MCR (h) × 1.2 | [3.5, 15] | C1 + C3 | |
| WT pre run | 4 | - | - | |
| Turn on WT | - | - | - | |
| Transit to port | distance/speed | [4.5, 15] | C1 | |
| Transfer technicians component | 4 | - | - | |
| Demobilize vessels | 24 | - | - | |
| Criteria | Response | RMS Limit | Unit | |
| Vessel motion limits at CoG [C1] | Surge acc. () | 1.3 | m/s2 | |
| Sway acc. () | 1.3 | m/s2 | ||
| Heave acc. () | 1.9 | m/s2 | ||
| Roll () | 6 | deg | ||
| Floating to floating limits at nacelle [C3] | Surge (X) | 1.5 | m | |
| Sway (Y) | 1.5 | m | ||
| Heave (Z) | 0.4 | m | ||
![]() | ||||
|---|---|---|---|---|
| Vessels | Action | Duration (h) | Weather Limits [,] | Motion Limits |
| CTV + Small tug + Self-Hoisting Crane | Mobilize vessel | 24 | - | - |
| Transfer technicians and component | 4 | - | - | |
| Tow SHC platform to site | distance/speed | [3, 15] | C1 | |
| Turn off WT | - | - | - | |
| Couple SHC platform to WT | 1 | [2, 15] | - | |
| Install crane from platform to tower | 3 | [3.5, 15] | - | |
| Replace component | MCR (h) × 1.2 | [3.5, 15] | C4 | |
| Lower crane and preparation | 3 | [3.5, 15] | - | |
| Decouple SHC platform from WT | 1 | [2, 15] | - | |
| Turn on WT | - | - | - | |
| Tow SHC platform to port | distance/speed | [3, 15] | C1 | |
| Transfer technicians and component | 4 | - | - | |
| Demobilize vessels | 24 | - | - | |
| Criteria | Response | RMS Limit | Unit | |
| Vessel motion limits at CoG [C1] | Surge acc. () | 1.3 | m/s2 | |
| Sway acc. () | 1.3 | m/s2 | ||
| Heave acc. () | 1.9 | m/s2 | ||
| Roll () | 6 | deg | ||
| Motion criteria at SHC platform deck [C4] | Heave (Z) | 0.4 | m | |
Disclaimer/Publisher’s Note: The statements, opinions and data contained in all publications are solely those of the individual author(s) and contributor(s) and not of MDPI and/or the editor(s). MDPI and/or the editor(s) disclaim responsibility for any injury to people or property resulting from any ideas, methods, instructions or products referred to in the content. |
© 2024 by the authors. Licensee MDPI, Basel, Switzerland. This article is an open access article distributed under the terms and conditions of the Creative Commons Attribution (CC BY) license (https://creativecommons.org/licenses/by/4.0/).
Share and Cite
Dighe, V.V.; Huang, L.-J.; Montfort, J.H.; Serraris, J.-J. Improving O&M Simulations by Integrating Vessel Motions for Floating Wind Farms. J. Mar. Sci. Eng. 2024, 12, 1948. https://doi.org/10.3390/jmse12111948
Dighe VV, Huang L-J, Montfort JH, Serraris J-J. Improving O&M Simulations by Integrating Vessel Motions for Floating Wind Farms. Journal of Marine Science and Engineering. 2024; 12(11):1948. https://doi.org/10.3390/jmse12111948
Chicago/Turabian StyleDighe, Vinit V., Lu-Jan Huang, Jaume Hernandez Montfort, and Jorrit-Jan Serraris. 2024. "Improving O&M Simulations by Integrating Vessel Motions for Floating Wind Farms" Journal of Marine Science and Engineering 12, no. 11: 1948. https://doi.org/10.3390/jmse12111948
APA StyleDighe, V. V., Huang, L.-J., Montfort, J. H., & Serraris, J.-J. (2024). Improving O&M Simulations by Integrating Vessel Motions for Floating Wind Farms. Journal of Marine Science and Engineering, 12(11), 1948. https://doi.org/10.3390/jmse12111948




