Next Article in Journal
Spatiotemporal Point–Trace Matching Based on Multi-Dimensional Feature Fuzzy Similarity Model
Previous Article in Journal
A Novel Method for the Estimation of Sea Surface Wind Speed from SAR Imagery
 
 
Font Type:
Arial Georgia Verdana
Font Size:
Aa Aa Aa
Line Spacing:
Column Width:
Background:
Article

Adaptive Event-Triggered Consensus Control of Nonlinear Multi-Agent Systems via Output Feedback Methodology: An Application to Energy Efficient Consensus of AUVs

1
School of Engineering, Computing and Mathematics, University of Plymouth, Plymouth PL4 8AA, UK
2
Department of Electrical Engineering, Pakistan Institute of Engineering and Applied Sciences (PIEAS), Islamabad 45650, Pakistan
3
Electrical Engineering Department, King Fahd University of Petroleum & Minerals (KFUPM), Dhahran 31261, Saudi Arabia
4
Interdisciplinary Research Center for Sustainable Energy Systems, King Fahd University of Petroleum & Minerals (KFUPM), Dhahran 31261, Saudi Arabia
5
Institute for Future, School of Automation, Qingdao University, Qingdao 266071, China
6
School of Mechanical Engineering, Pusan National University, Busan 46241, Republic of Korea
*
Authors to whom correspondence should be addressed.
J. Mar. Sci. Eng. 2024, 12(10), 1882; https://doi.org/10.3390/jmse12101882
Submission received: 30 August 2024 / Revised: 17 October 2024 / Accepted: 18 October 2024 / Published: 20 October 2024
(This article belongs to the Section Ocean Engineering)

Abstract

For dealing with the energy consumption in multi-agent systems (MASs), an event-triggered (ET) methodology is promising, which relies on the activation of communication devices only when communication of data is needed. This paper explores the leaderless consensus for nonlinear MASs using an adaptive ET approach via an output feedback methodology. This adaptive ET scheme is preferred as it can adapt to the environment through setting a communication threshold. The proposed approach renders the observed states of agents by use of nonlinear observers in an output feedback control dilemma, making it more practical. Simple Luenberger observers are developed to avoid the problem of always measuring agents’ states. The strategy of adaptive ET-based control is employed to minimize resource use and information transmission. Design conditions for the observer-based adaptive ET consensus control of nonlinear MASs have been derived via a Lyapunov function, containing state estimation error, consensus error, adaptation term, and nonlinearity bounds. In contrast to the existing methods, the present approach applies a more practical output feedback schema, uses adaptive ET proficiency, and deals with nonlinear agents. An example of a formation of autonomous underwater vehicles achieving the basic consensus realization between displacement and velocity is included to illustrate the viability of the resultant approach.

1. Introduction

The last decade has observed a growing interest in the cooperative control of multi-agent systems (MASs) due to its vast range of applications in commercial, military, and civil fields, with an emphasis on robotics, sensor fusion, aerial vehicles, resource management, energy optimization, and autonomous underwater vehicles (AUVs). The objective of cooperative control is to have multiple agents working together to achieve a common goal [1,2,3,4,5]. MASs offer both economic viability for industrial applications and robustness against cyber-attacks and system faults, which are their key benefits. Each agent in an MAS is equipped with smart devices and batteries through which it can efficiently perform complex tasks. Consensus control describes the process of achieving an agreement among distributed agents via certain control policies [6,7,8], which is a key issue in the cooperative control of MASs. The network plays a significant role in the coordination of agents. However, the observing and sharing of states between agents at all times can be impractical in terms of energy resources and bandwidth.
To reduce the communication load among agents and for efficient energy consumption by communication or actuation devices, the event-triggered (ET) control approach has been developed, which considers the transmission of signals only when a triggering condition is breached [9,10,11]. This approach has been applied to MASs for resource conservation over a network, as seen in [12,13]. The research on ET control schemes for achieving consensus in MASs has gained significant interest recently. Sufficient conditions to eliminate the Zeno behaviour for a closed-loop system are provided in [14]. The purpose of such a scheme is to avoid multiple sampling or triggering events in a small amount of time, which is a practical requirement. Dynamic ET is suggested in [15] for the control of linear systems. An adaptive ET control approach for consensus among linear MASs with directed communication topology has been presented in [16]. Recently, the work of [17] has discussed the reset observer-based approach with adaptive triggering for output feedback consensus. However, there are several issues to be addressed in regard to the ET consensus of multi-agents.
The problem of output-based adaptive ET consensus for nonlinear MASs with directed communication topology has rarely been explored. The approach in [18] has considered state nonlinearity in the leaderless consensus of MASs via an adaptive triggering mechanism. However, the work is based on the use of states for feedback, which has less applicability to practical systems. The work has been extended for nonlinear MASs with input saturation in [19]. In the recent investigation [20], the issue of a generic input nonlinearity for the ET consensus of MASs has been highlighted along with the exclusion of the Zeno behaviour. An adaptive consensus approach using dynamic triggering has been recently focused on in [21]. However, the study is limited to low-order systems and cannot be applied to a generic class of MASs. Nonlinear ET consensus methods for the linearizable MASs have been studied in [22,23]. However, the method requires inputs at all state equations, and such an amount of actuators is not viable practically owing to the requirement of extra hardware and software resources.
As per our observation, output feedback consensus of nonlinear MASs is rare up to an adequate level. The method of [24] has addressed the observer-based consensus approach for generic nonlinear systems. However, the approach is limited to the static triggering mechanism and is based on the leader-following configuration of consensus control. Similarly, the dynamic ET consensus approach for the output feedback control in the leader-following configuration has been addressed in [25]. Generally, the leaderless consensus configuration is more challenging to deal with for a cooperative control design. The structure of consensus error is perplexing due to the use of all states of agents rather than the difference between leader and follower states (in the leader-following case). A very recent method [26] for ET leaderless consensus of MASs for dealing with the cyber-attacks is limited to the static triggering, undirected communication topology, and linear MASs (see also [27] for nonlinear case), which forms the main motivation of our study.
This study addresses the leaderless consensus of MASs via an adaptive ET protocol over a directed graph by taking into account the nonlinearities in the agents. An output feedback control approach considering state estimation via observer and event-triggering of measurement variables for the estimated states has been established. An ET mechanism utilizing an adaptive threshold based on the triggering error has been provided. The proposed approach has been devised by accounting for the lower and upper bounds of the nonlinearity for nonlinear MASs. Stability analysis and design conditions for the exponential state estimation and exponential convergence of consensus error, along with the dynamic parameter, are provided. It is worth noting that the leaderless consensus control of a generic class of nonlinear MASs via an output feedback approach through an adaptive ET mechanism over a directed graph topology has rarely been addressed in the existing literature. Additionally, the application of such a control method to marine engineering problems is also lacking in the literature. The proposed approach has been demonstrated as promising, as it eliminates any possibility of Zeno behaviour. The main contributions of the present work are as follows:
(i)
A novel observer-based ET consensus control approach for the leaderless configuration of nonlinear MASs has been studied in this paper. In contrast to the ET methods in [19,20,21,22,23], the proposed approach employs output feedback protocol for a practical design. Compared to [24,25], the proposed approach deals with a different configuration of leaderless consensus.
(ii)
The proposed output feedback leaderless consensus methodology is based on advanced concepts of dynamic ET mechanisms and directed network topology in contrast to [26,27]. A dynamic triggering approach can adapt the triggering instants as per requirement. Directed topology does not restrict an agent to bidirectional communication between any two nodes; rather, it can work for unidirectional communication between any two nodes.
(iii)
To ensure the practicality of the proposed methodology, a simple design condition and elimination of the Zeno behaviour are considered. Note that the attainment of simple design and avoidance of the Zeno behaviour require nonlinear analysis for nonlinear MASs with nonlinear observers under the complexities of dynamic triggering and state coupling.
An example of consensus of AUVs, facing nonlinear drag force, has been provided at the end. The applicability of our ET approach in the agreement of six AUVs in terms of position and velocity has been demonstrated. The consensus approach can be applied to the formation of AUVs under energy and bandwidth constraints. The method requires only the position outputs of AUVs for the feedback purpose, without requiring the velocity sensors. The resultant method does not need communication at all times. Rather, it is based on the adaptation of communication instants (based on triggering errors). Such an application can be used in underwater search and rescue in the marine environment.

2. System Description

In communication networks, graph theory defines the interaction between agents and information flow. A graph is represented as G = ( V , E ) , with vertices V and edges E . The degree matrix D ( G ) represents vertex degrees. The adjacency matrix, A ( G ) , also called the connection matrix, shows whether vertices are adjacent or not. The Laplacian matrix L is given as D ( G ) A ( G ) . Strongly connected directed graphs allow tracing between any two vertices.
Consider a nonlinear MAS with N agents. The dynamics of agent i are described as follows:
x ˙ i ( t ) = A x i ( t ) + H φ ( x i ) + B u i ( t ) , y i ( t ) = C x i ( t ) , i = 1 , , N ,
where x i R p is the state, u i R q is the control input, and φ ( x i ) = [ φ 1 ( x i ) , , φ m ( x i ) ] T R m is the nonlinearity for agent i. Here, y i R r represents the output for an agent i. In the framework mentioned above, the so-called consensus among all agents is reached if
lim t x i ( t ) x j ( t ) = 0 .
For agents in (1), it is a very clear assumption (as seen in [28]) that we must have to measure all the states of the neighbouring agents at all times. It is a critical problem in practical cases, where these states are not available. Furthermore, it can be seen that in the static ET approach, inter-event time is very small. This causes a problem in the exclusion of Zeno behaviour, which is highly undesirable. The objective of this paper is to design observers and employ them to construct an aperiodic control strategy for the system (1). Here, we use the following assumptions under which the proposed method has been developed for ET consensus of MASs via output feedback.
Assumption 1. 
The system is observable for pair ( A , C ) .
Assumption 2. 
The directed topology G is strongly connected.
Assumption 3. 
For p q , and p , q R and scalars U l M and U l m , the function φ l ( · ) satisfies
U l m φ l ( p ) φ l ( q ) p q U l M ,
for all l = 1 , 2 , , m .
Under Assumption 1, a nonlinear observer is proposed for estimating the states of agent i as
x ^ ˙ i ( t ) = A x ^ i ( t ) + H φ ( x ^ i ) + B u i ( t ) + L o b y ˜ i ( t ) , y ^ i ( t ) = C x ^ i ( t ) ,
where y ˜ i ( t ) = y i ( t ) y ^ i ( t ) . Equation (3) simplifies state estimation without computational complexity. Using input-output signals u i ( t ) and y i ( t ) and by designing the observer gain L o b , an agent’s state can be estimated easily. The choice of output matrix ( C ) is crucial as it determines observability. A full-rank observability matrix is essential for effective observer design.
The following useful lemmas from the existing literature are followed for the derivation of the main results:
Lemma 1 
([16]). There always exists a vector ζ = [ ζ 1 , ζ 2 , , ζ N ] T under Assumption 2 such that ζ T L = 0 , and Y = diag ( ζ 1 , ζ 2 , , ζ N ) . Additionally, for a Laplacian matrix L , the subsequent identity holds:
a ( L ) = min x T L ^ x x T Y x ,
where a ( L ) is referred to the general algebraic connectivity.
Lemma 2 
([18]). For φ ( x ) under Assumption 3, the condition
j = 1 N c i j ( φ ( x j ) φ ( x i ) ) U j = 1 N c i j ( x j x i )
holds, where U = max l = 1 , , m ( max | U l M | , | U l m | ) , c i j 0 and i , j = 1 , 2 , , N .

3. ET Consensus Controller Design

Our goal is to develop an adaptive ET control scheme by using the observed states of the agents, that is, based on output feedback. In addition, the method should be capable of dealing with the Zeno behaviour, so that a large amount of triggering (sampling) of the measurement signal in a small interval of time can be avoided. For an agent i, a combined measurement variable is given as
s i ( t ) = j = 1 N a i j x ^ j ( t ) x ^ i ( t ) ,
where a i j is the entry of the adjacency matrix, showing information flow from node j to i. The combined state s i ( t ) refers to the sum of relative estimated states of an agent i with respect to its neighbours in the graph G . If node i receives information from j, a i j = 1 , otherwise a i j = 0 . The proposed consensus control protocol via estimated states is given as
u i ( t ) = K s i ( t k i ) , t t k i , t k + 1 i ,
where K is the controller gain matrix and will be determined later. Here, it can be noted that the agent i only needs the combined state s i ( t ) at some aperiodic time instants t 0 i , t 1 i , , which are known as triggering times. This means that at each triggering time t k i , the agent i evaluates s i ( t k i ) using the information provided by the observers. The relationship between the current triggering instant t k i and the next one t k + 1 i is governed by the following rule:
t k + 1 i = inf t > t k i | f i e i ( t ) , h i ( t ) 0 , h i ˙ ( t ) = d i ( e i ( t ) , h i ( t ) ) ,
where e i ( t ) is the measurement error and h i ( t ) is the internal dynamic variable. Taking into consideration (8), the triggering function f i ( · ) is also dependent on the internal dynamic state along with the combined state variable. The control law in (7) depends on the combined state s i ( t ) in (6) and the triggering instants t k i in (8). The triggering time is computed via the first equation in (8), and the threshold parameter h i ( t ) in the first equation evolves according to the second equation in (8) in an adaptive manner. Such a triggering mechanism is known as the adaptive (or dynamic) ET mechanism. Excluding h i ( t ) reduces this scheme to a static ET mechanism. However, for MASs, both of the mentioned triggering mechanisms must be distributed; that is, the information of only neighbours can be accessed by the triggering mechanism for an agent. The dynamic triggering scheme is a recent topic of interest as the interval of triggering instants adapts gradually according to the requirement of triggering, depending on the consensus error.
According to the definition of the combined measurement variable, the error is defined as
e i ( t ) = s i ( t k i ) s i ( t ) .
To achieve the consensus, the observer can steer the closed-loop system by using the controller (7). The observed closed-loop system, for all i = 1 , , N , is given as
x ^ ˙ i ( t ) = A x ^ i ( t ) + H φ ( x ^ i ) + B K s i ( t k i ) + L o b C x ˜ i ( t ) .
By considering the stack forms x ^ ( t ) = [ x ^ 1 T ( t ) , , x ^ N T ( t ) ] T , s ( t ) = [ s 1 T ( t ) , , s N T ( t ) ] T , e ( t ) = [ e 1 T ( t ) , , e N T ( t ) ] T , ψ ( t ) = [ φ T ( x 1 ) , , φ T ( x N ) ] T , and x ˜ ( t ) = [ x ˜ 1 T ( t ) , . . . , x ˜ N T ( t ) ] T and, further, applying the transformation s ( t ) = ( L I ) x ^ ( t ) for Equations (9) and (10), it follows that
s ˙ ( t ) = ( I A L B K ) s ( t ) ( L B K ) e ( t ) ( L L o b C ) x ˜ ( t ) ( L I ) ψ ( x ^ ( t ) ) .
Now, defining the state estimation error signal as x ˜ i = x i x ^ i and taking its derivative lead to x ˜ ˙ i = x ˙ i x ^ ˙ i . By considering (1) and (3), the error dynamics for the observer become
x ˜ ˙ i ( t ) = A c x ˜ i ( t ) + H ( φ ( x i ) φ ( x ^ i ) ) ,
where A c = A L o b C . Under x ˜ ( t ) = [ x ˜ 1 T ( t ) , , x ˜ N T ( t ) ] T , ψ ˜ i ( t ) = φ ( x i ) φ ( x ^ i ) , and ψ ˜ ( t ) = [ ψ ˜ T ( x 1 ) , , ψ ˜ T ( x N ) ] T , it is obtained that
x ˜ ˙ ( t ) = ( I A c ) x ˜ ( t ) + ( I H ) ψ ˜ ( t ) .
The contribution of this paper can be summed up by considering the following theorem.
Theorem 1. 
Under Assumptions 1–3, consider the MASs (1) with observer-based ET control protocol (3), (6), and (7). For positive-definite matrices P, Q , and Γ, and positive scalars θ and ϵ, suppose that the following nonlinear inequality and Riccati inequality are valid:
Γ A c + A c T Γ + ε U 2 I + Q Γ H ε I < 0 ,
A T P + P A κ P B B T P + ζ M P 2 Λ + ζ M P H H T P
+ U 2 ζ m 1 I θ I ,
where ζ M = max ( ζ 1 , , ζ N ) , ζ m = min ( ζ 1 , , ζ N ) , κ = 2 μ a ( L ) μ 2 ζ M L 2 , and Λ = | | L | | 2 | | L o b C | | 2 . Then, the proposed protocol with K = μ B T P and given L o p for 0 < μ < ( 2 a ( L ) / ζ M a L 2 ) ensures exponential consensus between agents under the following triggering condition:
t k + 1 i = inf t > t k i | | | B ^ | | e i 2 π i h i 0 , h i ˙ = β i h i ν | | B ^ | | e i 2 ) , h i ( 0 ) > 0 ,
where triggering parameters validate B ^ = P B B T P , π i > 0 and 0 < ν < 1 .
Proof. 
Consider the following Lyapunov function:
W ( t ) = V ( t ) + i = 1 N h i ( t ) ,
where
V ( t ) = V o ( t ) + V s ( t ) , V o ( t ) = x ˜ T ( I Γ ) x ˜ , Γ > 0 , V s ( t ) = s T ( t ) ( Y P ) s ( t ) , P > 0 .
Considering (16), one has | | B ^ | | e i 2 π i h i , which implies
h ˙ i β i h i ν π i h i .
Using the comparison lemma, we obtain
h i ( t ) h i ( 0 ) e ( β i + ν π i ) t > 0 ,
which makes W ( t ) > 0 . Solving nonlinear terms using Assumption 3, it leads to
( φ ( x i ) φ ( x ^ i ) ) U ( x i x ^ i ) .
Taking square on both sides and applying the summation, we have
i = 1 N ( φ ( x i ) φ ( x ^ i ) ) 2 U 2 i = 1 N ( x i x ^ i ) 2 .
By incorporating ψ ˜ i ( t ) = φ ( x i ) φ ( x ^ i ) and x ˜ = x i x ^ i , this leads to
i = 1 N ψ ˜ i ( t ) 2 U 2 i = 1 N x ˜ i 2 .
By application of ψ ˜ ( t ) = [ ψ ˜ T ( x 1 ) , , ψ ˜ T ( x N ) ] T , we attain that
ψ ˜ T ( t ) ψ ˜ ( t ) U 2 x ˜ T x ˜ .
For V o ( t ) = x ˜ T ( I Γ ) x ˜ , taking the time-derivative along (13), we attain that
V ˙ o ( t ) = 2 x ˜ T ( I Γ ) x ˜ ˙ = x ˜ T ( I ( Γ A c + A c T Γ ) ) x ˜ + 2 x ˜ T ( I Γ H ) ψ ˜ ( t ) .
Applying the constraint (24) leads to
V ˙ o ( t ) x ˜ T ( I ( Γ A c + A c T Γ ) ) x ˜ + 2 x ˜ T ( I Γ H ) ψ ˜ ( t ) ε ψ ˜ T ( t ) ψ ˜ ( t ) + ε U 2 x ˜ T x ˜ ,
which by adding and subtracting x ˜ T ( I Q ) x ˜ can be further simplified to
V ˙ o ( t ) + x ˜ T ( I Q ) x ˜ Ω T ( t ) Ξ Ω ( t ) ,
Ω ( t ) = x ˜ T ψ ˜ T ( t ) T , Ξ = I ( Γ A c + A c T Γ + ε U 2 I + Q ) I Γ H ε I .
Under (14), the derivative of V o can be estimated as
V ˙ o i = 1 N x ˜ i T Q x ˜ i .
Now, analyzing the time-derivative of V s , we determine that
V s ˙ = s T ( Y P ) s ˙ + s ˙ T ( Y P ) s = s T ( Y P A ) s s T ( Y L P B K ) s s T ( Y L P B K ) e s T ( Y L P L o b C ) x ˜ s T ( Y L P H ) ψ ( x ^ ) + s T ( Y A T P ) s s T ( L T Y K T B T P ) s e T ( L T Y K T B T P ) s x ˜ T ( L T Y C T L o b T P ) s ψ T ( x ^ ) ( L T Y H T P ) s .
Applying K = μ B T P , P A + A T P 2 = A ^ , P B B T P = B ^ , Y L + L T Y 2 = L ^ , we have
V s ˙ = s T ( Y 2 A ^ ) s s T ( 2 L ^ μ B ^ ) s 2 s T ( Y L μ B ^ ) e
2 s T ( Y L P L o b C ) x ˜ 2 s T ( Y L P H ) ψ ( x ^ ) .
Considering square inequalities, one can obtain that
s T ( Y L L T Y μ 2 B ^ ) s + e T ( I B ^ ) e 2 s T ( Y L μ B ^ ) e ,
s T ( Y L L T Y P L o b C C T L o b T P ) s + x ˜ T x ˜ 2 s T ( Y L P L o b C ) x ˜ ,
s T ( Y 2 P H H T P ) s + ψ T ( x ^ ) ( L T L I ) ψ ( x ^ ) 2 s T ( Y L P H ) ψ ( x ^ ) .
By use of the above inequalities, the Equation (30) leads to
V s ˙ s T ( Y 2 A ^ 2 L ^ μ B ^ ) s + s T ( Y L L T Y μ 2 B ^ ) s + e T ( I B ^ ) e + s T ( Y L L T Y P L o b C C T L o b T P ) s + x ˜ T x ˜ + s T ( Y 2 P H H T P ) s + ψ T ( x ^ ) ( L T L I ) ψ ( x ^ ) .
Under Lemma 2, the bound on ψ ( x ^ ) by selecting c i j = a i j can be evaluated as
ψ T ( x ^ ) ( L T L ) ψ ( x ^ ) = i = 1 N j = 1 N c i j ( φ ( x ^ j ) φ ( x ^ i ) ) 2 U 2 i = 1 N j = 1 N c i j ( x ^ j x ^ i ) 2 = U 2 i = 1 N s i T s i .
From (34) and (35) along with the algebraic connectivity relation, it is evident that
V s ˙ s T Y ( 2 A ^ 2 α ( L ) μ B ^ ) s + s T ( Y L L T Y μ 2 B ^ ) s + e T ( I B ^ ) e + s T ( Y L L T Y P L o b C C T L o b T P ) s + x ˜ T x ˜ + s T ( Y 2 P H H T P ) s + U 2 s T s .
Using the summation form and the norm operator, we attain that
V s ˙ i = 1 N [ s i T ( ζ i 2 A ^ ζ i 2 α ( L ) μ B ^ + ζ i 2 | | L | | 2 μ 2 B ^ + ζ i 2 | | L | | 2 P 2 | | L o b C | | 2 + ζ i 2 P H H T P + U 2 ) s i + x ˜ i T x ˜ + e i T B ^ e i ] .
Employing the knowledge of upper and lower bounds of ζ i , it can be expressed as
V s ˙ i = 1 N [ s i T ( ζ i 2 A ^ ζ i 2 α ( L ) μ B ^ + ζ i ζ M | | L | | 2 μ 2 B ^ + ζ i ζ M | | L | | 2 P 2 | | L o b C | | 2 + ζ i ζ M P H H T P + ζ i ζ m 1 U 2 ) s i + x ˜ i T x ˜ + e i T B ^ e i ] .
Using the Riccati inequality in (15) and applying the norm operator, the upper bound of the rate of V s is attained as follows:
V s ˙ i = 1 N θ s i 2 ζ i + i = 1 N B ^ e i 2 + i = 1 N x ˜ i 2 .
Utilizing (28) and (39), the time-derivative of V ( t ) is given as
V ˙ i = 1 N θ s i T ζ i s i i = 1 N x ˜ i T ( Q I ) x ˜ i + i = 1 N B ^ e i 2 .
From (17) and (40), along with the triggering condition (16), it can be easily verified that
W ˙ ( t ) i = 1 N θ s i T ζ i s i i = 1 N x ˜ i T ( Q I ) x ˜ i i = 1 N β i h i .
Thus, W ˙ is negative-definite, and we can conclude that consensus is reached for all agents. Taking
ϕ = min { Q I / λ m a x ( Γ ) , β m , ( 1 σ M ) / λ m a x ( P ) } 0
where β m = min ( β i ) and σ M = max ( σ i ) , it becomes
W ˙ ( t ) ϕ W ( t ) ,
which leads to the exponential convergence criterion of
W ( t ) e ϕ t W ( 0 ) .
Hence, this guarantees exponential stability of the consensus and estimation errors, and we can conclude that consensus is reached for all agents exponentially. □
Several relations in the proof (like (11), (13), and (26)) apply complicated Kronecker product and Laplacian matrix L terms, which have been omitted in the final conditions (14) and (15). It is worth mentioning that the complex terms are not needed for the design purpose, owing to the simplification of the terms. For implementation purposes, we only require the observer-based control law in (3) and (7), along with Equations (6) and (8), for which relations are simple to implement for an agent i. The conditions (14) and (15) in Theorem 1 are nonlinear in nature and are difficult for application in computation of the observer-based controller gains. More specifically, the condition (14) contains terms like Γ and A c = A L o b C , which involve the product of two unknown matrices Γ and L o b . Similarly, the Riccati inequality (15) contains several nonlinear terms, given by κ P B B T P , ζ M P 2 Λ , and ζ M P H H T P . The presence of the matrix P in these terms is nonlinear; therefore, the matrix P can be selected by a hit-and-trial approach for resolving (15), which causes computational difficulty. We require linear constraints for simple computation, which can be resolved via the conventional convex constraint-based optimization routines. Consequently, we provide the following theorem for the computation of control parameters through linear routines.
Theorem 2. 
Under Assumptions 1–3, consider the MASs (1) with observer-based ET control protocol (3), (6), and (7). For positive-definite matrices S, Q , and Γ, positive scalars θ ¯ and ϵ, and a matrix Y of appropriate dimensions, suppose that the following linear inequalities are valid:
Γ A + A T Γ Y C C T Y T + ε U 2 I + Q Γ H ε I < 0 ,
( S A T + A S κ B B T + ζ M Λ I ) ζ M H U I S I 0 0 ζ m I 0 θ ¯ I < 0 .
Then, the proposed protocol with K = μ B T S 1 and L o p = Γ 1 Y for 0 < μ < ( 2 a ( L ) / ζ M a L 2 ) ensures exponential consensus between agents under the triggering condition (16).
Proof. 
Using change of variable as Y = Γ L o b , the condition (14) leads to (44). The condition (45) is obtained by pre- and post-multiplying (15) with S = P 1 , using the Schur complement, and assigning θ ¯ = θ 1 . □
Remark 1. 
Compared to the control strategies in [19,20,21,22,23,28], this approach utilizes simple Luenberger-type Lipschitz observers to estimate the states. It solves the problem of measuring the states of all the neighbouring agents at all times, which are immeasurable sometimes. Hence, the proposed approach is based on output feedback, which does not require extra sensors for implementation compared to the state feedback methods.
Remark 2. 
The advocated approach is simple and clear as compared to [17]. The mentioned strategy is computationally complex due to the introduction of reset conditions. The existing approach has not discussed the decay rate of the Lyapunov function. In contrast with [24,25], the proposed methods in Theorems 1–2 apply to the leaderless consensus of MASs. The leaderless consensus of autonomous agents is more perplexing in terms of analytic investigation of error, as its consensus error analysis is quite challenging. Moreover, our work offers exponential stability, which is an edge over the conventional techniques.
Remark 3. 
There are few linear or nonlinear methods on the ET leaderless consensus of MASs via output feedback, as in [26,27]. In contrast to these methods, the present approach applies several advanced concepts. The proposed approach applies a directed graph topology, which does not require all network links to be bidirectional. In addition, we have considered a dynamic ET mechanism that can adapt the communication triggering as per requirement based on triggering error.
To ensure that the proposed approach is practical and feasible, we must ensure the exclusion of Zeno behaviour for any agent. The elimination of Zeno behaviour for the consensus of MASs has been addressed in the following theorem.
Theorem 3. 
Consider the MASs (1) under observer-based ET control protocol (3), (6), and (7). Suppose that the conditions in Theorem 1 or 2 are satisfied, then the proposed protocol with the triggering condition (16) ensures the elimination of the Zeno behaviour.
Proof. 
We prove this theorem by contradiction approach. Consider an agent i, for which we suppose that there appears Zeno behaviour at some time T 0 . Using the property of limit, it can be summed up that for any ε 0 > 0 , there exists M ( ε 0 ) such that t k i ( T 0 ε 0 , T 0 + ε 0 ) for all k M ( ε 0 ) , which implies that t M + 1 i t M i < 0 . It is obvious that
i = 1 N s i ( t ) 2 = s ( t ) 2 V s ( t ) / { ζ m λ m i n ( P ) } ,
V s ( t ) V ( t ) W ( t ) W ( 0 ) .
So, it can be written that
s ( t ) W ( 0 ) ζ m λ m i n ( P ) = W 0 .
As it is clear that in the interval t k i , t k + 1 i , e i ( t ) is piecewise continuously differentiable, one can calculate the Dini derivative of e i ( t ) as
D + e i ( t ) e i T e i e ˙ i e ˙ i .
Using the definition of e i ( t ) , it gives us
e ˙ i = s ˙ i .
Then, utilizing (6) and taking the norm, we obtain
e ˙ i = i = 1 N a i j ( x ^ ˙ j x ^ ˙ i ) = A s i ( t ) + B K i = 1 N a i j s j ( t k ) s i ( t k ) + L o b C i = 1 N a i j x ˜ j ( t ) x ˜ i ( t ) + i = 1 N a i j φ ( x ^ j ( t ) ) φ ( x ^ i ( t ) ) s i ( t ) A + μ B B T P j = 1 N a i j + L o b C ( L N ) V o λ m i n ( Γ ) + s i ( t ) U W 0 ( A + μ B B T P j = 1 N a i j + L o b C ( L N ) λ m i n ( Γ ) + U ) W ^ 0 .
Under (16), it implies that
e i ( t ) σ i ζ i γ i s i 2 + π i h i φ ( x i ) 2 B ^ π i h i , at t k , k = 1 , 2 ,
Let f ( t ) = lim s t f ( s ) , it infers that
e ( t k i ) π i h i ( t k i ) = π i h i ( 0 ) e ( β i + ν π i ) 2 t k i .
Following (47) and (48), we attain the following condition:
t M + 1 i t M i 1 W 0 ^ π i h i ( 0 ) e ( β i + ν π i ) 2 t M + 1 i > 0 ,
which is a contradiction to our supposition, and infers that agent i does not exhibit Zeno behaviour. □
Remark 4. 
Here, we have shown that our MASs remain free from Zeno behaviour using the proposed ET condition. In [17], an extra ramp-type variable was used to deal with this unwanted response, which can be unstable. The investigation of Zeno-free realization is complex in the present case due to nonlinear agents, estimated states, and dynamic ET mechanisms.

4. Application to Consensus of AUVs

For the verification of theoretical results, this section discusses an illustrative example of AUVs formation. AUVs have applications in rescue operations, fish form management, inspection of ship parts, search of underwater objects, surveillance, and underwater construction. The purpose of formation control is to form a pattern of AUVs, which can be attained by adding bias in the fundamental consensus control structure. Therefore, we address the basic consensus problem. The consideration of ET control can be useful in reducing communication between AUVs; hence, it can save energy and communication bandwidth [28]. The communication topology between AUVs is shown with the help of the graph given in Figure 1 (please refer to [16]). Based on the graph, we can compute
a ( L ) = 0.7939 , ζ = [ 0.5833 0.25 0.25 0.5 0.4167 0.3333 ] T , μ = 0.0869 .
We consider the AUV model as a point mass. Such a model can be represented via a three-dimensional double integrator. However, we have also considered the nonlinear effects of the drag force for AUVs, which limits the speed of AUVs. The linear part of dynamics [29] of each agent is given by
A = 0 0 0 1 0 0 0 0 0 0 1 0 0 0 0 0 0 1 0 0 0 0 0 0 0 0 0 0 0 0 0 0 0 0 0 0 , B = 0 0 0 0 0 0 0 0 0 1 0 0 0 1 0 0 0 1 ,
C = 1 0 0 0 0 0 0 1 0 0 0 0 0 0 1 0 0 0 .
Particularly, x i = { d i ¯ x , d i ¯ y , d i ¯ z , v i x , v y y , v z z } T , which means that the first three terms represent the displacement of the desired point, and the next three states show the velocities in their x , y , and z directions, respectively. We have considered the positions only for outputs, and velocity sensors are not needed in the present approach. The effect of drag force in water is quite strong and highly nonlinear. The effect of drag force can be modeled via cubic nonlinearity [30], which drastically reduces the speed of AUVs. The following model for nonlinear dynamics has been accounted for drag force.
H = 0 0 0 0 0 0 0 0 0 1 0 0 0 1 0 0 0 1 , φ ( x i ) = k x i 4 3 k x i 5 3 k x i 6 3 .

4.1. Consensus Under Normal Conditions

The proposed approach does not require high-precision sensors and actuators for the implementation of the control law. We have employed three position sensors only in the study (while omitting the velocity sensors). The states of the agents are estimated via observer (3), which is naturally robust against data loss and noise due to its dynamic nature, and acts as a filter. Owing to the inclusion of nonlinear dynamics in the model, our approach does not require high-precision actuators for dealing with the drag forces. This work also highlights the use of nonlinear parts in AUV dynamics, compared to the conventional methods such as [29]. The traditional methods apply a linear model for AUVs, which do not realize the drag force effect. The present work actually realizes the use of nonlinear drag force for marine science and engineering applications of AUVs, and it opens further future research avenues for nonlinear models for formation control of AUVs under nonlinear and uncertain marine environments. The matrix L o b is obtained by solving the linear inequality (44) as follows:
L o b = 0.9631 0.0003 0 0.0003 0.9631 0 0 0 0.9631 1.3280 0.0008 0 0.0008 1.3280 0 0 0 1.3280 .
We obtain P by solving (45) of Theorem 2 by taking k = 0.15 . The value of K is calculated using K = μ B T P as
K = 0.21 0.0004 0 0.491 0 0 0.0004 0.21 0 0 0.491 0 0 0 0.21 0 0 0.491 .
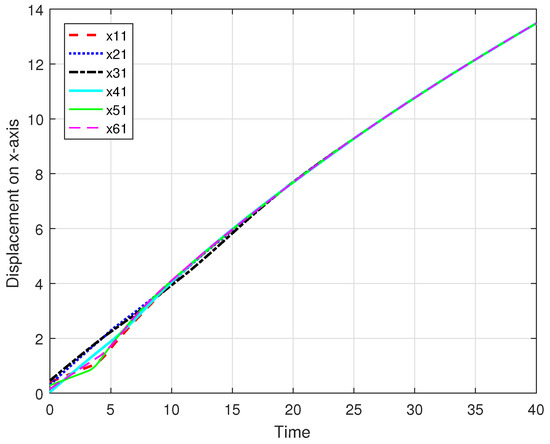
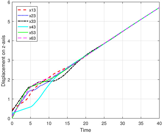
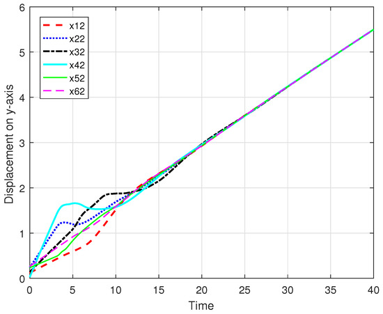
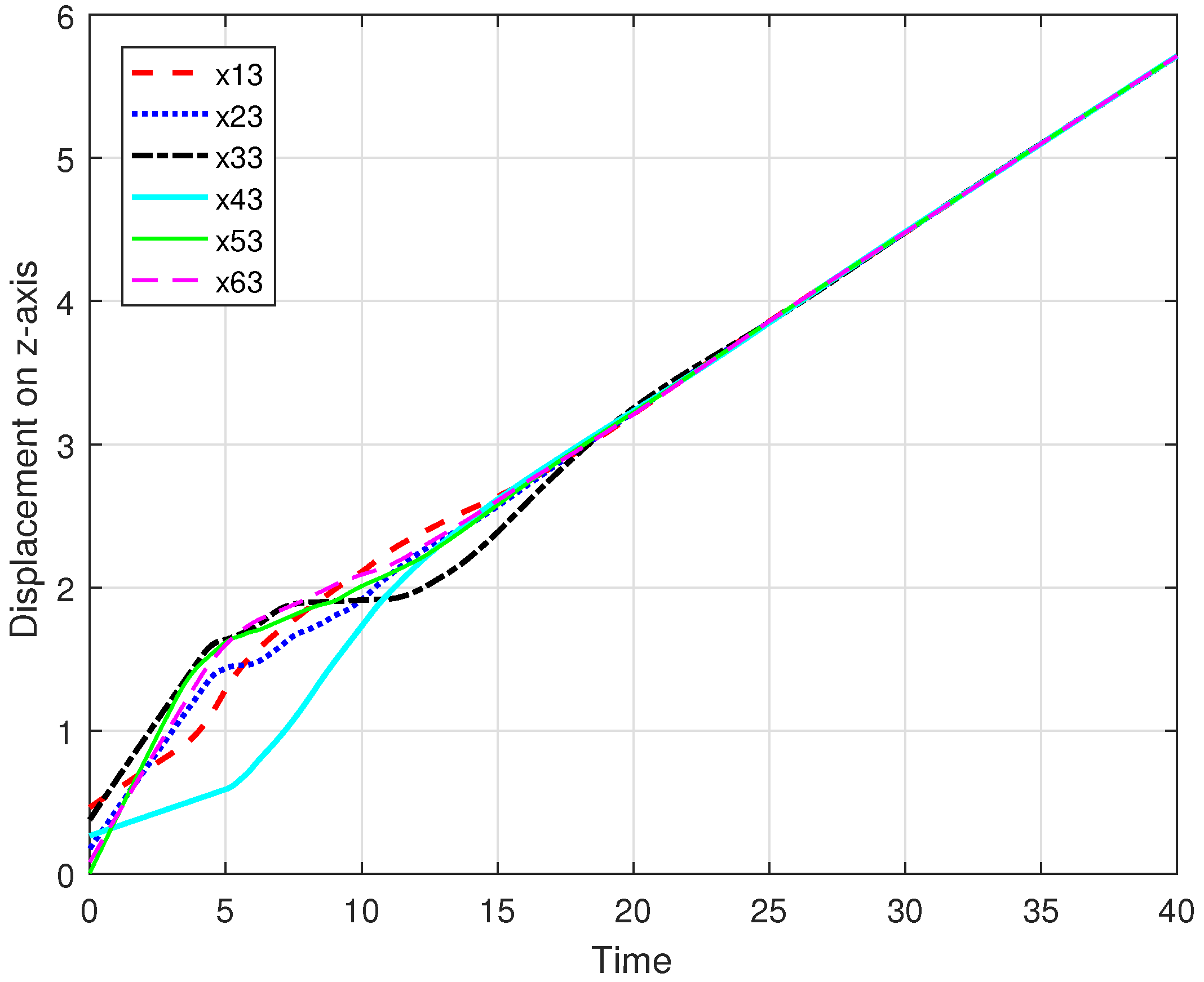
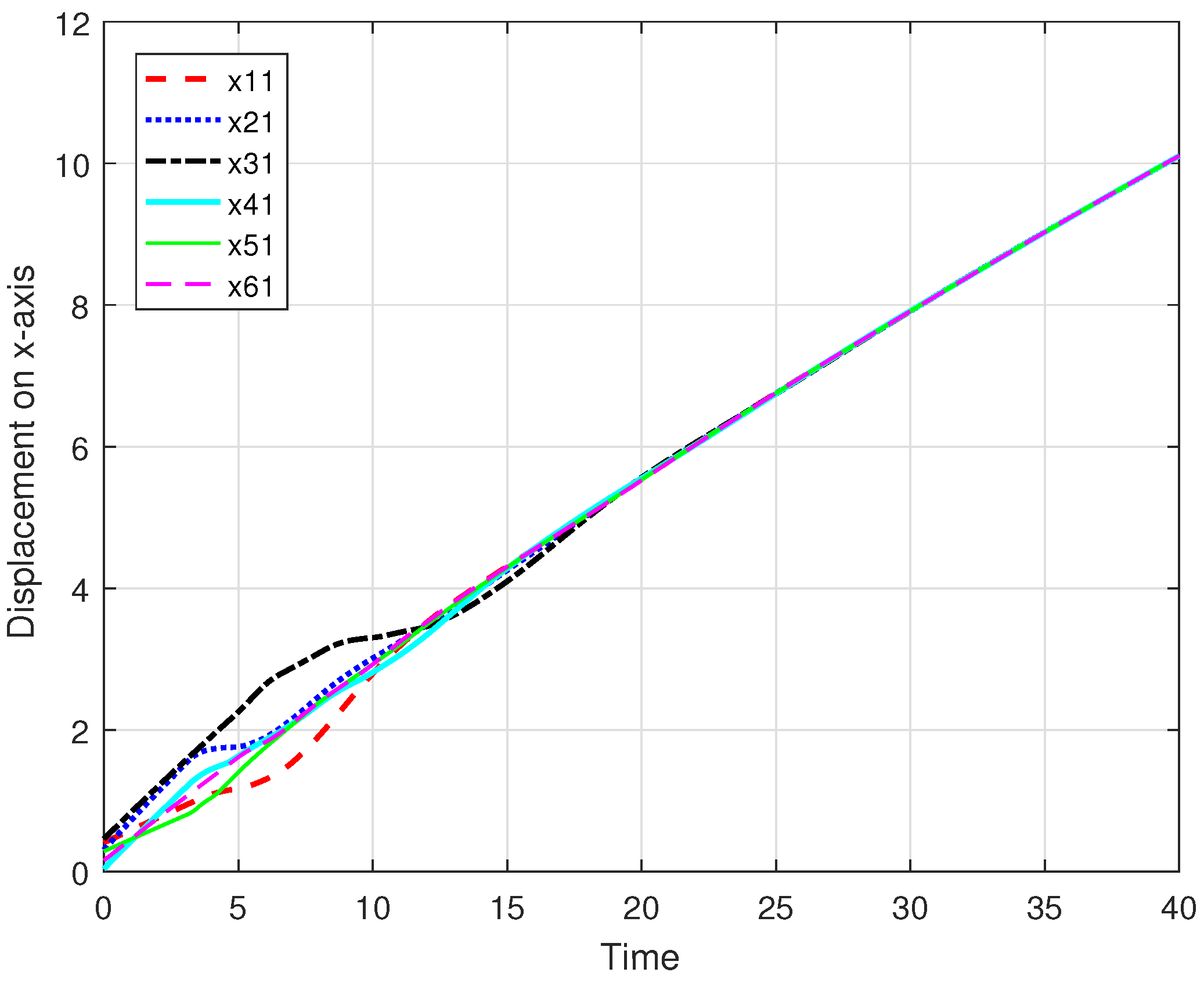
By choosing random initial conditions, we have performed simulations. Figure 2, Figure 3 and Figure 4 exhibit the plots of position states of all agents. It can be observed that the positions of agents attain consensus, which was the basic motive of the present study. The position states of AUVs become coherent at the steady-state. In practical cases, we do not require the same positions of agents; therefore, a bias in the control law for position terms can be added to attain a desired pattern. This is often referred to as the formation of agents. As our main objective is consensus control, therefore, the results of position profiles have been demonstrated for the consensus phenomenon as per the requirement.
The results on velocity profiles of agents have been demonstrated in Figure 5, Figure 6 and Figure 7. The initial conditions have been taken randomly. Initially, the velocities of all AUVs are different. Within a short passage of time, the AUVs attain consensus in velocity. Then, the agents have attained consensus in positions and are moving at a reasonable velocity in the presence of water drag force. Figure 8 displays the ET control inputs for the agents along the x-axis. The other inputs have not been plotted here for brevity, but have similar responses. The purpose of the study was to reduce the energy consumption caused by the transmission and receiving devices. It can be verified that the ET inputs graph is aperiodic, and it shows a variable step size. This certifies that the control action is taken at some specific times determined by the designed ET condition. This means that the control action is taken at a particular time, whenever the triggering condition is breached, i.e., as the error exceeds a certain threshold. This promises the use of much fewer resources than continuous communication schemes. From Figure 8, it can also be observed that the triggering time is initially large. However, it reduces with time owing to the adaptive triggering nature of the proposed method. With the passage of time, the proposed approach increases the triggering instants to provide sufficient efficiency in the control system. Therefore, the proposed adaptive triggering mechanism ensures the desired reactivity of the system, without imposing Zeno behaviour.
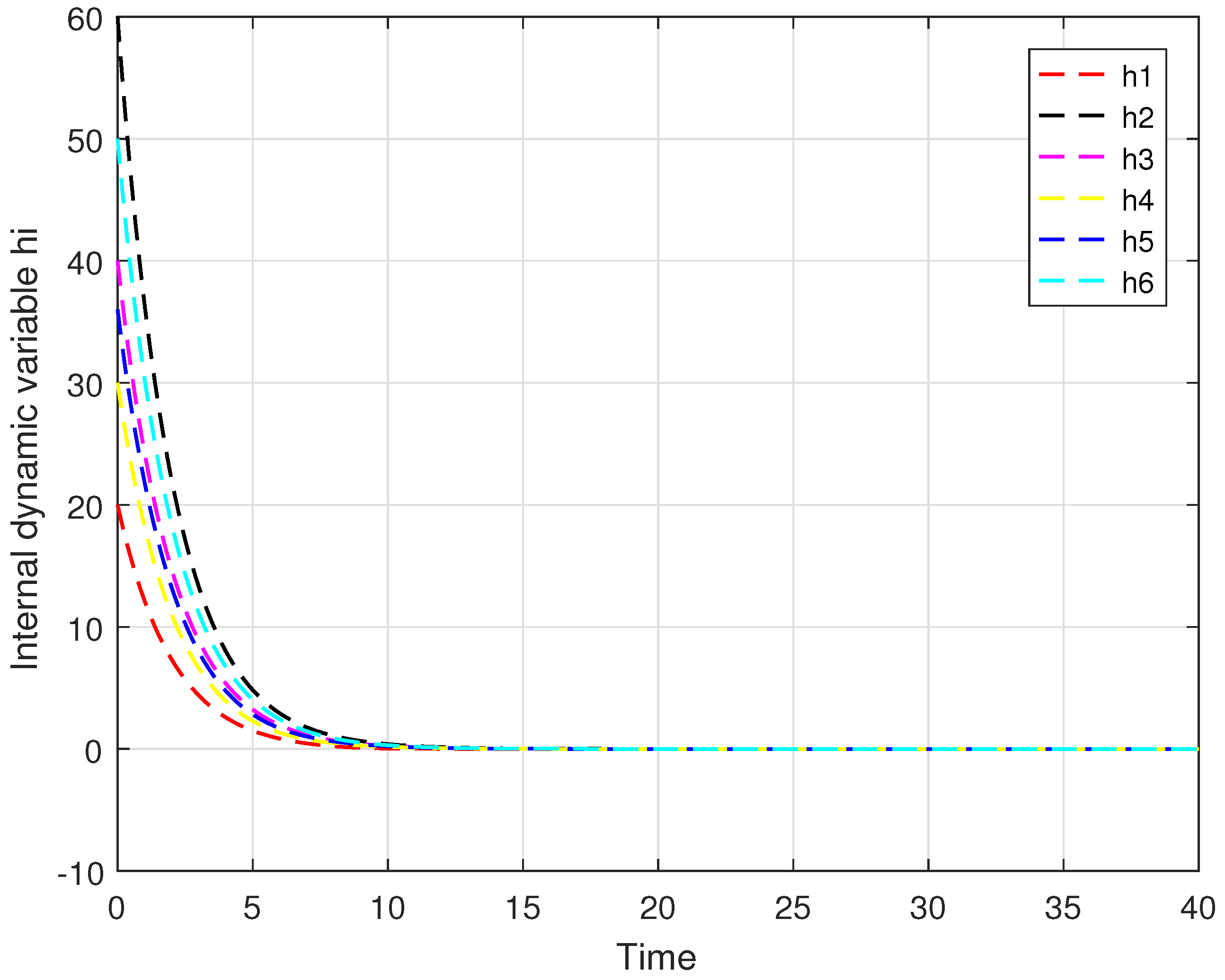
Figure 9 indicates that the introduced internal dynamic variable h i decays exponentially with time. Any error due to this introduced variable will also vanish with time, providing us with a Zeno-free response. Hence, the proposed consensus approach can be applied to AUVs with nonlinear behaviour as a medium for conserving resources via dynamic ET methodology. It ensures resource-efficient cooperative control of AUVs in terms of energy, communication bandwidth, and limited use of sensors.

4.2. Consensus Under Communication Link Failure

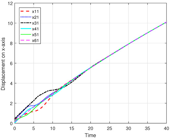
An uncertain marine environment often makes it difficult to establish proper communication links between AUVs. Communication link failures for a short period of time can also occur due to data loss. Here, we consider a practical scenario of failure in communication links or data loss between AUVs. For this purpose, the communication link failure scenario between two links, taking a 21 = 0 and a 45 = 0 for time t [ 2 5 ] , has been accounted for. In addition, we also take a 34 = 0 and a 56 = 0 for t [ 8 11 ] . The response of the proposed methodology for the communication link failure case has been demonstrated in Figure 10, Figure 11 and Figure 12. It can be observed that the AUVs still attain consensus in the position under an uncertain environment. However, the consensus is achieved in a little more time as per expectation due to the communication link failure. The proposed approach can be readily applied in an uncertain environment and can be used to achieve formation of AUVs.

4.3. Comparison with Existing Methods

Here, we provide a comparative study with respect to the conventional methods. As far as time-triggered methods are concerned, the present approach is better at saving communication bandwidth and energy. The time-triggered methods apply continuous communication between agents, which requires more energy for the operation of AUVs. Here, we compare our results with the traditional static triggering approach of [11,26,31]. Figure 13, Figure 14 and Figure 15 demonstrate the results of positions of AUVs via the existing triggering methodology. The static triggering approach cannot provide a complete consensus of agents, and an error is observed in the consensus of AUVs. In contrast, the plots of Figure 2, Figure 3 and Figure 4 using the proposed adaptive triggering mechanism show complete consensus of agents because the triggering instants in this case adapt according to the requirement. The control signal corresponding to Figure 8 has been plotted in Figure 16. The interval between triggering instants increases with time, leading to the inefficient behaviour of agents. Hence, the proposed adaptive triggering methodology is efficient in achieving reactive behaviour of agents and leads to reduced energy consumption over the network.

5. Conclusions

This paper has addressed the consensus control of MASs over a network of graph topology using an observer-based protocol via an adaptive ET mechanism. An observer has been applied to estimate the states of an agent, and these estimated states have been applied for the ET-based control approach. The triggering mechanism applies an adaptive parameter for adjusting the time between two successive triggering events. Such a triggering approach can be useful for resource conservation in terms of energy. The nonlinear dynamics have been incorporated, and the convergence analysis of observer and consensus dynamics has been considered by application of the method. The proposed approach ensures exponential convergence of consensus error, estimation error, and the adaptive parameter. Using the adaptive ET condition, it is also verified that the minimum inter-event time is larger than zero, so that the occurrence of Zeno behaviour is avoided for any agent. Furthermore, an illustrative example using AUVs, with an emphasis on low energy consumption, communication bandwidth reduction, and handling of opposite drag force control is provided, which certifies the practicality of this novel approach. To verify testing in a real-word scenario with reference to the marine environment, simulation results are provided for the case of communication link failure. It has been revealed that the proposed approach was able to achieve positional consensus of AUVs in an increased amount of time under various link failure conditions. Moreover, the presented approach has been compared with the existing static triggering mechanism in terms of efficiency. Due to the adaptive nature of the proposed triggering approach, better performance using the proposed method for AUVs has been observed. In the future, the proposed approach can be considered for computation reduction, considering its implementation aspects and the robustness of the approach, and can also be applied for dealing with cyber-attacks and more efficient handling of nonlinearities.

Author Contributions

Conceptualization, M.K. and K.-S.H.; Methodology, M.R.; Software, M.A.; Validation, M.R.; Formal analysis, M.K. and K.-S.H.; Investigation, M.A., M.R. and M.K.; Resources, K.-S.H.; Data curation, M.A.; Writing—original draft, M.A.; Writing—review & editing, M.R. All authors have read and agreed to the published version of the manuscript.

Funding

The authors would like to acknowledge the support of the Interdisciplinary Research Center for Sustainable Energy Systems at KFUPM, under Project Number INSE2415.

Institutional Review Board Statement

Not applicable.

Informed Consent Statement

Not applicable.

Data Availability Statement

Data are contained within the article. No additional data.

Acknowledgments

The authors would like to acknowledge the use of QuillBot in improving the grammar of this article.

Conflicts of Interest

The authors declare no conflicts of interest.

References

  1. Hausberger, T.; Kugi, A.; Eder, A.; Kemmetmüller, W. Cooperative model predictive control concepts for coupled AC/DC- and DC/DC-power converters. IEEE Trans. Control. Syst. Technol. 2023, 31, 359–369. [Google Scholar] [CrossRef]
  2. Chen, K.; Gu, Y.; Lin, H.; Zhang, Z.; Zhou, X.; Wang, X. Guaranteed performance event-triggered adaptive consensus control for multiagent systems under time-varying actuator faults. Mathematics 2024, 12, 1528. [Google Scholar] [CrossRef]
  3. Han, H.; Liu, H.; Li, J.; Qiao, J. Cooperative fuzzy-neural control for wastewater treatment process. IEEE Trans. Ind. Inform. 2021, 17, 5971–5981. [Google Scholar] [CrossRef]
  4. Zgorzelski, M.; Lunze, J. Cooperative control of networked discrete-event systems: Application to the handling system HANS. Eur. J. Control. 2023, 69, 100737. [Google Scholar] [CrossRef]
  5. Wu, Q.; Wang, X.; Qiu, X. Embedded technique-based formation control of multiple wheeled mobile robots with application to cooperative transportation. Control. Eng. Pract. 2024, 150, 106002. [Google Scholar] [CrossRef]
  6. Hassan, K.; Tahir, F.; Rehan, M.; Ahn, C.K.; Chadli, M. On relative-output feedback approach for group consensus of clusters of multiagent systems. IEEE Trans. Cybern. 2023, 53, 55–66. [Google Scholar] [CrossRef]
  7. Alkhorshid, D.R.; Tognetti, E.S.; Morărescu, I.C. Saturated control of consensus value under energy and state constraints in multi-agent systems. Automatica 2024, 169, 111822. [Google Scholar] [CrossRef]
  8. Raza, M.H.; Rehan, M.; Ali, P.R.; Hong, K.S. Bipartite consensus of heterogeneous multi-agents under input saturation over signed graphs. IEEE Trans. Circuits Syst. II Express Briefs 2023, 70, 3398–3402. [Google Scholar] [CrossRef]
  9. Heemels, W.P.M.H.; Johansson, K.H.; Tabuada, P. An introduction to event-triggered and self-triggered control. In Proceedings of the 2012 IEEE 51st IEEE Conference on Decision and Control (CDC), Maui, HI, USA, 10–13 December 2012; pp. 3270–3285. [Google Scholar]
  10. Shi, W.; Lv, X.; He, Y. Distributed event-triggered optimal algorithm designs for economic dispatching of DC microgrid with conventional and renewable generators: Actuator-based control and optimization. Actuators 2024, 13, 290. [Google Scholar] [CrossRef]
  11. Geng, S.; Tuo, Y.; Wang, Y.; Peng, Z.; Wang, S. Event-triggered neural adaptive distributed cooperative control for the multi-tug towing of unactuated offshore platform with uncertainties and unknown disturbances. J. Mar. Sci. Eng. 2024, 12, 1242. [Google Scholar] [CrossRef]
  12. Liu, J.; Wu, L.; Wu, C.; Luo, W.; Franquelo, L.G. Event-triggering dissipative control of switched stochastic systems via sliding mode. Automatica 2019, 103, 261–273. [Google Scholar] [CrossRef]
  13. Ding, D.; Wang, Z.; Ho, D.W.C.; Wei, G. Observer-based event-triggering consensus control for multiagent systems with lossy sensors and cyber-attacks. IEEE Trans. Cybern. 2017, 47, 1936–1947. [Google Scholar] [CrossRef] [PubMed]
  14. Liu, X.; Du, C.; Liu, H.; Lu, P. Distributed event-triggered consensus control with fully continuous communication free for general linear multi-agent systems under directed graph. Int. J. Robust Nonlinear Control. 2018, 28, 132–143. [Google Scholar] [CrossRef]
  15. Zhang, Z.; Hao, F.; Zhang, L.; Wang, L. Consensus of linear multi-agent systems via event-triggered control. Int. J. Control. 2014, 87, 1243–1251. [Google Scholar] [CrossRef]
  16. Hu, W.; Yang, C.; Huang, T.; Gui, W. A distributed dynamic event-triggered control approach to consensus of linear multiagent systems With directed networks. IEEE Trans. Cybern. 2020, 50, 869–874. [Google Scholar] [CrossRef]
  17. Zhao, G.; Hua, C.; Guan, X. Reset observer-based Zeno-free dynamic event-triggered control approach to consensus of multiagent systems with disturbances. IEEE Trans. Cybern. 2020, 52, 1–11. [Google Scholar] [CrossRef]
  18. Ahmed, I.; Rehan, M.; Iqbal, N. A novel exponential approach for dynamic event-triggered leaderless consensus of nonlinear multi-agent systems over directed graphs. IEEE Trans. Circuits Syst. II Express Briefs 2022, 69, 1782–1786. [Google Scholar] [CrossRef]
  19. Xu, J.; Huang, J.; Zhang, Y. Consensus for nonlinear multi-agent systems with actuator saturation by adaptive event-triggered scheme. ISA Trans. 2024, 149, 146–154. [Google Scholar] [CrossRef]
  20. Ahmed, I.; Rehan, M.; Iqbal, N.; Ahn, C.K. A novel event-triggered consensus approach for generic linear multi-agents under heterogeneous sector-restricted input nonlinearities. IEEE Trans. Netw. Sci. Eng. 2023, 10, 1648–1658. [Google Scholar] [CrossRef]
  21. Chen, J.; Jiang, P.; Chen, B.; Zeng, Z. Adaptive neural event-triggered consensus control for unknown nonlinear second-order delayed multi-agent systems. Neurocomputing 2024, 598, 128067. [Google Scholar] [CrossRef]
  22. Chen, X.; Dong, J.; Wang, Y.; Zhou, G. A new event-triggered distributed fixed-time consensus strategy for multi-agent systems with nonlinear dynamics and uncertain disturbances. IEEE Access 2024, 12, 30416–30426. [Google Scholar] [CrossRef]
  23. Ma, X.; Tan, Y.; Mei, H. Predefined-time consensus of nonlinear multi-agent input delay/dynamic event-triggered under switching topology. IEEE Access 2023, 11, 29883–29895. [Google Scholar] [CrossRef]
  24. Awan, I.Z.; Tahir, F.; Rehan, M.; Hong, K.S. Observer-based event-triggered leader-following consensus of multi-agents with generalized Lipschitz nonlinear dynamics. ISA Trans. 2023, 137, 98–110. [Google Scholar] [CrossRef] [PubMed]
  25. Bai, J.; Wu, H.; Cao, J.; Liu, D.Y. Output-feedback consensus control for fractional nonlinear multi-agent systems via a distributed dynamic event-triggered observer strategy. Inf. Sci. 2023, 646, 119380. [Google Scholar] [CrossRef]
  26. Wang, T.; Feng, J.; Wang, J.A.; Zhang, J.; Wen, X. Observer-based distributed event-triggered secure consensus of multi-agent system with DoS attack. IEEE Access 2023, 11, 34736–34745. [Google Scholar] [CrossRef]
  27. Yang, X.; Huang, M.; Wu, Y.; Tan, X. A proportional–integral observer-based dynamic event-triggered consensus protocol for nonlinear positive multi-agent systems. Axioms 2024, 13, 384. [Google Scholar] [CrossRef]
  28. Hu, W.; Liu, L.; Feng, G. Consensus of linear multi-agent systems by distributed event-triggered strategy. IEEE Trans. Cybern. 2016, 46, 148–157. [Google Scholar] [CrossRef]
  29. De Palma, D.; Arrichiello, F.; Parlangeli, G.; Indiveri, G. Underwater localization using single beacon measurements: Observability analysis for a double integrator system. Ocean Eng. 2017, 142, 650–665. [Google Scholar] [CrossRef]
  30. Ma, R. Theory and application of the cubic approximation of random drag forces. IEEE J. Ocean. Eng. 2012, 37, 607–612. [Google Scholar]
  31. Ahmed, I.; Rehan, M.; Iqbal, N.; Basit, A.; Khalid, M. Free-Weighting Matrix Approach for Event-Triggered Cooperative Control of Generic Linear Multi-agent Systems: An Application for UAVs. Arab. J. Sci. Eng. 2024, 49, 6761–6772. [Google Scholar] [CrossRef]
Figure 1. Communication graph G between AUVs.
Figure 1. Communication graph G between AUVs.
Jmse 12 01882 g001
Figure 2. Consensus in the position of agents along the x-axis.
Figure 2. Consensus in the position of agents along the x-axis.
Jmse 12 01882 g002
Figure 3. Consensus in the position of agents along the y-axis.
Figure 3. Consensus in the position of agents along the y-axis.
Jmse 12 01882 g003
Figure 4. Consensus in the position of agents along the z-axis.
Figure 4. Consensus in the position of agents along the z-axis.
Jmse 12 01882 g004
Figure 5. Consensus in velocity of agents along the x-axis.
Figure 5. Consensus in velocity of agents along the x-axis.
Jmse 12 01882 g005
Figure 6. Consensus in velocity of agents along the y-axis.
Figure 6. Consensus in velocity of agents along the y-axis.
Jmse 12 01882 g006
Figure 7. Consensus in velocity of agents along the z-axis.
Figure 7. Consensus in velocity of agents along the z-axis.
Jmse 12 01882 g007
Figure 8. Control input for agents along the x-axis.
Figure 8. Control input for agents along the x-axis.
Jmse 12 01882 g008
Figure 9. Dynamic variable h i for the proposed ET approach.
Figure 9. Dynamic variable h i for the proposed ET approach.
Jmse 12 01882 g009
Figure 10. Consensus in the position of agents along the x-axis under communication failure.
Figure 10. Consensus in the position of agents along the x-axis under communication failure.
Jmse 12 01882 g010
Figure 11. Consensus in the position of agents along the y-axis under communication failure.
Figure 11. Consensus in the position of agents along the y-axis under communication failure.
Jmse 12 01882 g011
Figure 12. Consensus in the position of agents along the z-axis under communication failure.
Figure 12. Consensus in the position of agents along the z-axis under communication failure.
Jmse 12 01882 g012
Figure 13. Consensus in the position of agents along the x-axis via static triggering.
Figure 13. Consensus in the position of agents along the x-axis via static triggering.
Jmse 12 01882 g013
Figure 14. Consensus in the position of agents along the y-axis via static triggering.
Figure 14. Consensus in the position of agents along the y-axis via static triggering.
Jmse 12 01882 g014
Figure 15. Consensus in the position of agents along the z-axis via static triggering.
Figure 15. Consensus in the position of agents along the z-axis via static triggering.
Jmse 12 01882 g015
Figure 16. Control input for agents along the x-axis via static triggering.
Figure 16. Control input for agents along the x-axis via static triggering.
Jmse 12 01882 g016
Disclaimer/Publisher’s Note: The statements, opinions and data contained in all publications are solely those of the individual author(s) and contributor(s) and not of MDPI and/or the editor(s). MDPI and/or the editor(s) disclaim responsibility for any injury to people or property resulting from any ideas, methods, instructions or products referred to in the content.

Share and Cite

MDPI and ACS Style

Arsal, M.; Rehan, M.; Khalid, M.; Hong, K.-S. Adaptive Event-Triggered Consensus Control of Nonlinear Multi-Agent Systems via Output Feedback Methodology: An Application to Energy Efficient Consensus of AUVs. J. Mar. Sci. Eng. 2024, 12, 1882. https://doi.org/10.3390/jmse12101882

AMA Style

Arsal M, Rehan M, Khalid M, Hong K-S. Adaptive Event-Triggered Consensus Control of Nonlinear Multi-Agent Systems via Output Feedback Methodology: An Application to Energy Efficient Consensus of AUVs. Journal of Marine Science and Engineering. 2024; 12(10):1882. https://doi.org/10.3390/jmse12101882

Chicago/Turabian Style

Arsal, Muhammad, Muhammad Rehan, Muhammad Khalid, and Keum-Shik Hong. 2024. "Adaptive Event-Triggered Consensus Control of Nonlinear Multi-Agent Systems via Output Feedback Methodology: An Application to Energy Efficient Consensus of AUVs" Journal of Marine Science and Engineering 12, no. 10: 1882. https://doi.org/10.3390/jmse12101882

APA Style

Arsal, M., Rehan, M., Khalid, M., & Hong, K.-S. (2024). Adaptive Event-Triggered Consensus Control of Nonlinear Multi-Agent Systems via Output Feedback Methodology: An Application to Energy Efficient Consensus of AUVs. Journal of Marine Science and Engineering, 12(10), 1882. https://doi.org/10.3390/jmse12101882

Note that from the first issue of 2016, this journal uses article numbers instead of page numbers. See further details here.

Article Metrics

Back to TopTop