Novel High-Precision and High-Robustness Localization Algorithm for Underwater-Environment-Monitoring Wireless Sensor Networks
Abstract
:1. Introduction
2. Problem Formulation
3. Novel High-Precision and High-Robustness Localization (NHHL) Algorithm
3.1. ANCLS Framework with the Unknown PLF and Absorption Loss
3.2. STEP1: Primitive Dual Interior Point Method
3.3. Intermediate Process: Generalized Trust-Region Subproblem (GTRS) Framework
3.4. STEP2: Block Co-Ordinate Update (BCU)
| Algorithm 1. Novel High-Precision and High-Robustness Localization (NHHL) Algorithm |
| 1. Input: Inner Point , , , , , , , emission frequency 2. For () do 3. If or 4. Break 5. End If 6. Update using Equation (26), 7. 8. End For 9. Initial solution 10. , , 11. For () do 12. If or 13. Break 14. End if 15. 16. 17. 18. Update using Equation (38) 19. Update using Equation (31) 20. Update using Equation (37) 21. Optimal solution 22. End For 23. Output: |
3.5. Cramér–Rao Lower Bound (CRLB)
3.6. Complexity Analysis
4. Simulation and Analysis
4.1. Determination for the Optimal Value Range of Parameter
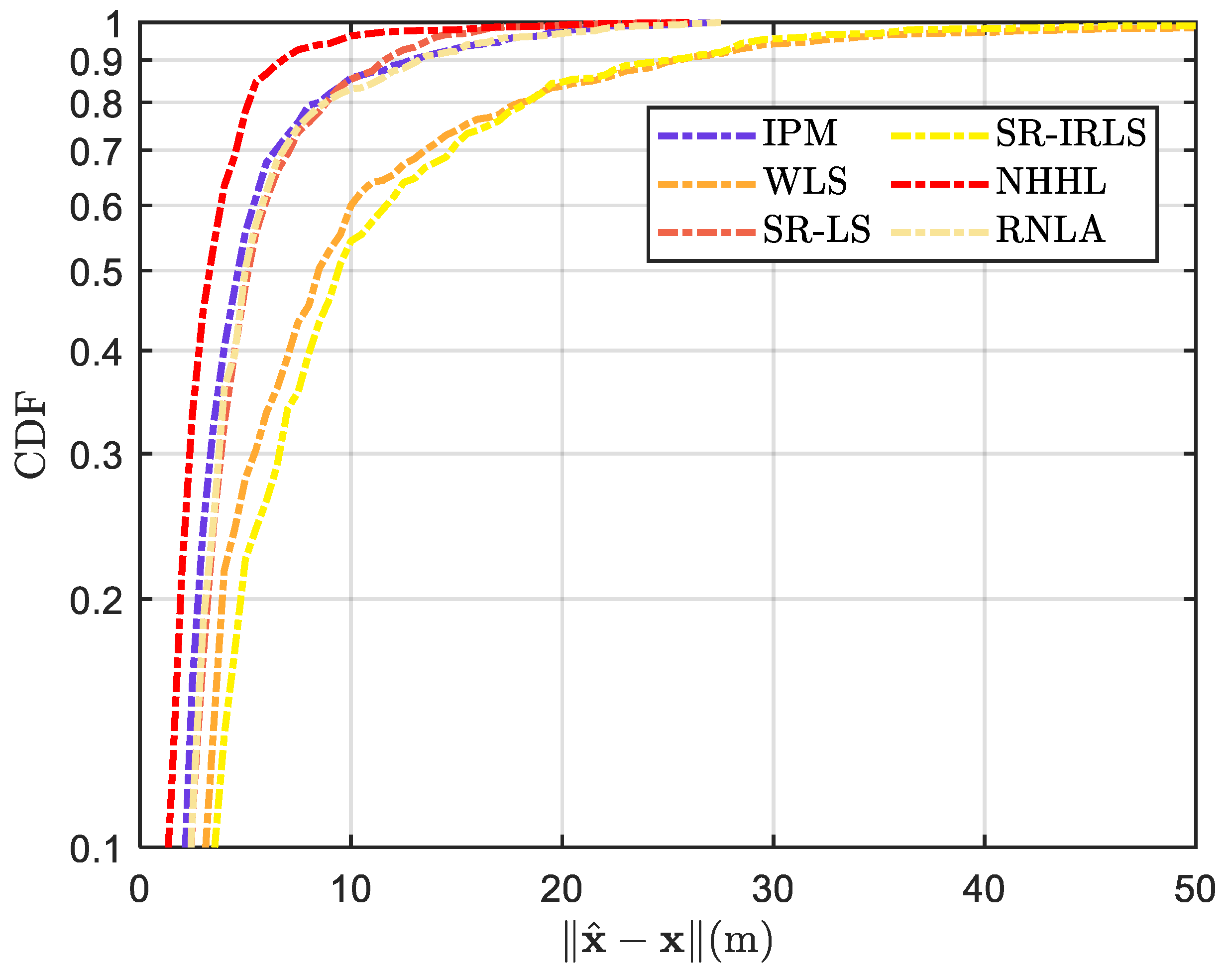
4.2. Performance Analysis with Variable Number of Anchor Nodes
4.3. Performance Analysis with Variable Transmitting Power
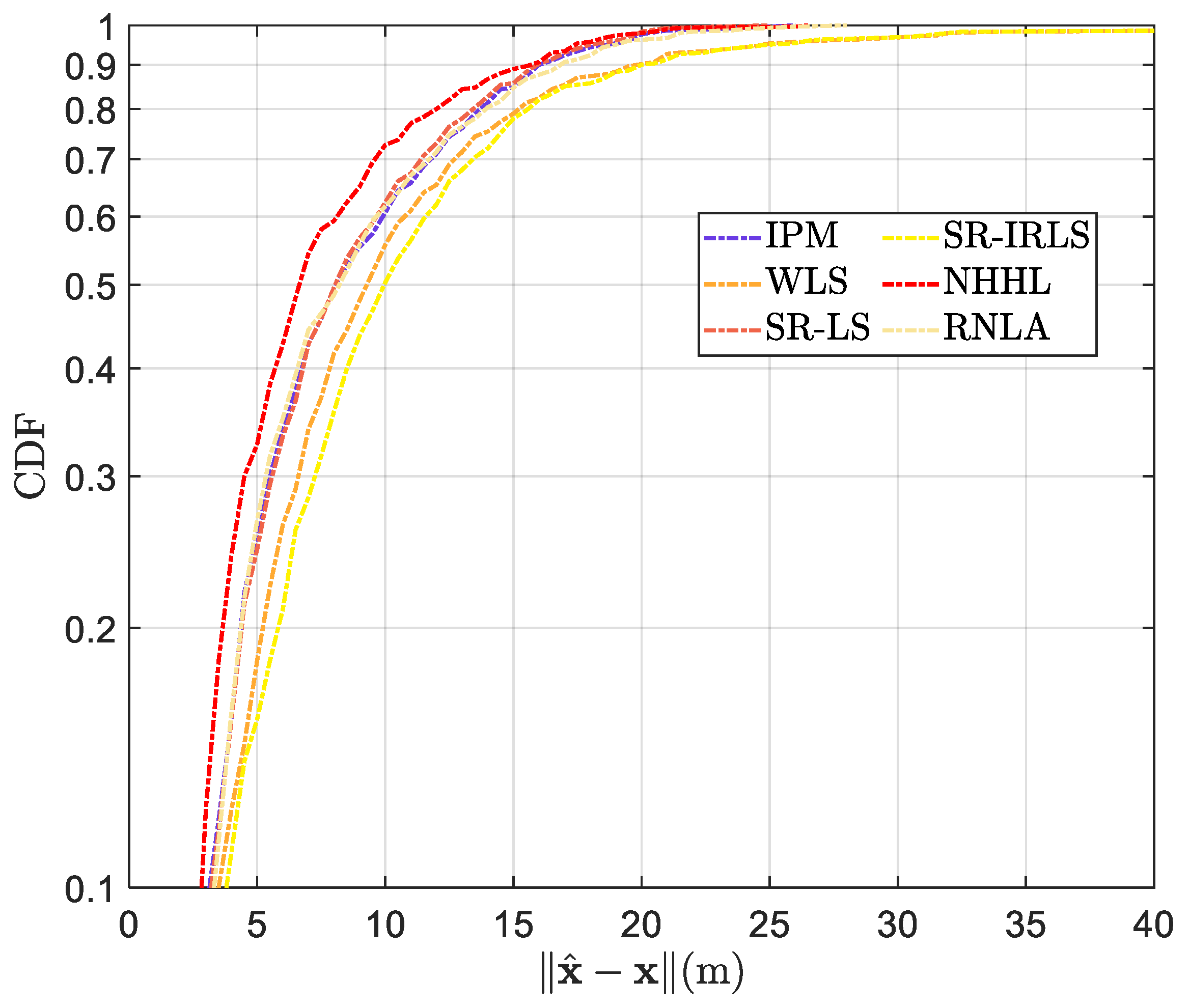
4.4. Performance Analysis with Variable Deployment Scales
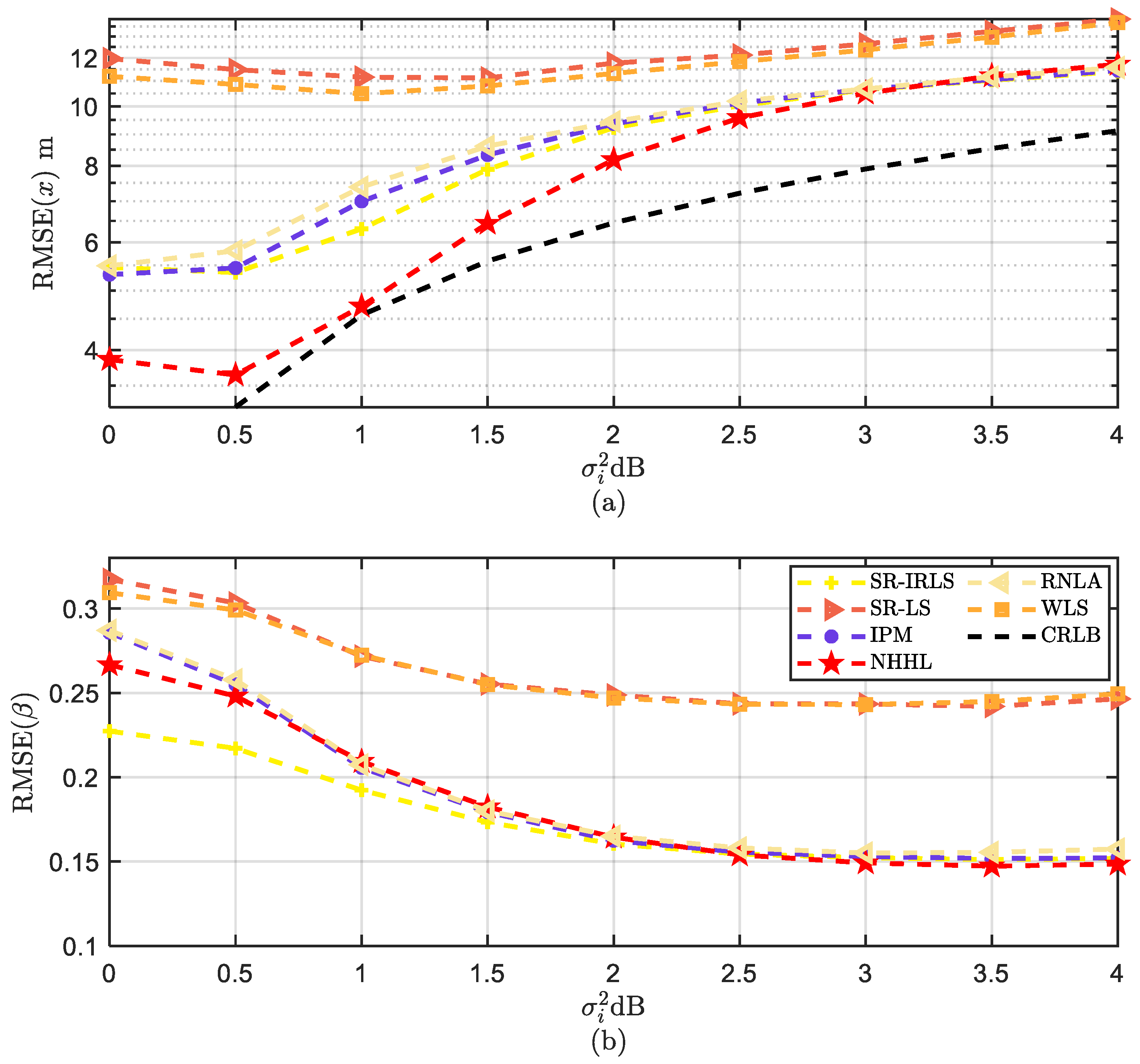
4.5. Performance Analysis with Variable Marine Noise
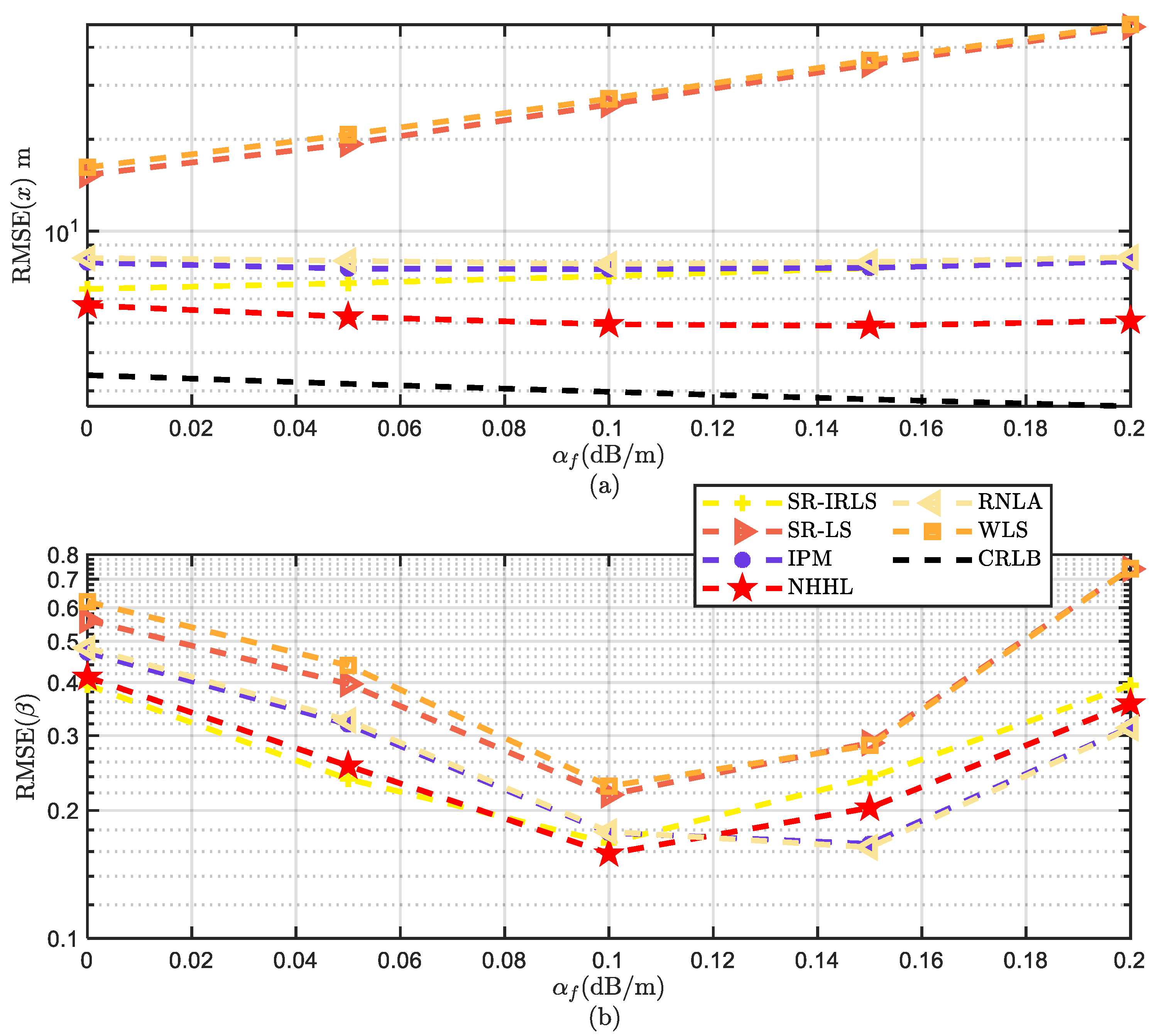
4.6. Performance Analysis with Variable Absorption Coefficient
4.7. Computation Time in Various Marine Scenarios
5. Conclusions
Author Contributions
Funding
Institutional Review Board Statement
Informed Consent Statement
Data Availability Statement
Acknowledgments
Conflicts of Interest
References
- Chen, X.; Liu, S.; Liu, R.W.; Wu, H.; Han, B.; Zhao, J. Quantifying Arctic Oil Spilling Event Risk by Integrating an Analytic Network Process and a Fuzzy Comprehensive Evaluation Model. Ocean Coast. Manag. 2022, 228, 106326. [Google Scholar] [CrossRef]
- Xian, J.; Wu, H.; Mei, X.; Chen, X.; Yang, Y. Low-Delay and Energy-Efficient Opportunistic Routing for Maritime Search and Rescue Wireless Sensor Networks. Remote Sens. 2022, 14, 5178. [Google Scholar] [CrossRef]
- Wang, S.; Lin, Y.; Tao, H.; Sharma, P.K.; Wang, J. Underwater Acoustic Sensor Networks Node Localization Based on Compressive Sensing in Water Hydrology. Sensors 2019, 19, 4552. [Google Scholar] [CrossRef] [PubMed]
- Fascista, A.; Coluccia, A.; Ravazzi, C. A Unified Bayesian Framework for Joint Estimation and Anomaly Detection in Environmental Sensor Networks. IEEE Access 2023, 11, 227–248. [Google Scholar] [CrossRef]
- Abdalzaher, M.S.; Muta, O. A Game-Theoretic Approach for Enhancing Security and Data Trustworthiness in IoT Applications. IEEE Internet Things J. 2020, 7, 11250–11261. [Google Scholar] [CrossRef]
- Abdalzaher, M.S.; Seddik, K.; Muta, O.; Abdelrahman, A. Using Stackelberg Game to Enhance Node Protection in WSNs. In Proceedings of the 2016 13th IEEE Annual Consumer Communications & Networking Conference (CCNC), Las Vegas, NV, USA, 9–12 January 2016; IEEE: New York, NY, USA, 2016; pp. 853–856. [Google Scholar]
- Liu, J.; Yan, X.; Liu, C.; Fan, A.; Ma, F. Developments and Applications of Green and Intelligent Inland Vessels in China. J. Mar. Sci. Eng. 2023, 11, 318. [Google Scholar] [CrossRef]
- Chen, X.; Wu, S.; Shi, C.; Huang, Y.; Yang, Y.; Ke, R.; Zhao, J. Sensing Data Supported Traffic Flow Prediction via Denoising Schemes and ANN: A Comparison. IEEE Sens. J. 2020, 20, 14317–14328. [Google Scholar] [CrossRef]
- Xian, J.; Wu, H.; Mei, X.; Zhang, Y.; Chen, X.; Zhang, Q.; Liang, L. Novel Energy-Efficient Opportunistic Routing Protocol for Marine Wireless Sensor Networks Based on Compressed Sensing and Power Control. J. Ocean Univ. China 2022, 21, 1504–1516. [Google Scholar] [CrossRef]
- Mei, X.; Han, D.; Saeed, N.; Wu, H.; Chang, C.-C.; Han, B.; Ma, T.; Xian, J. Trajectory Optimization of Autonomous Surface Vehicles with Outliers for Underwater Target Localization. Remote Sens. 2022, 14, 4343. [Google Scholar] [CrossRef]
- Toky, A.; Singh, R.P.; Das, S. Localization Schemes for Underwater Acoustic Sensor Networks—A Review. Comput. Sci. Rev. 2020, 37, 100241. [Google Scholar] [CrossRef]
- Wang, T.; Xiong, H.; Ding, H.; Zheng, L. TDOA-Based Joint Synchronization and Localization Algorithm for Asynchronous Wireless Sensor Networks. IEEE Trans. Commun. 2020, 68, 3107–3124. [Google Scholar] [CrossRef]
- Jia, T.; Wang, H.; Shen, X.; Jiang, Z.; He, K. Target Localization Based on Structured Total Least Squares with Hybrid TDOA-AOA Measurements. Signal Process. 2018, 143, 211–221. [Google Scholar] [CrossRef]
- Mukhopadhyay, B.; Srirangarajan, S.; Kar, S. Signal Strength-Based Cooperative Sensor Network Localization Using Convex Relaxation. IEEE Wirel. Commun. Lett. 2020, 9, 2207–2211. [Google Scholar] [CrossRef]
- Ma, X.; Ballal, T.; Chen, H.; Aldayel, O.; Al-Naffouri, T.Y. A Maximum-Likelihood TDOA Localization Algorithm Using Difference-of-Convex Programming. IEEE Signal Process. Lett. 2021, 28, 309–313. [Google Scholar] [CrossRef]
- LN Nguyen, T.; Shin, Y. An Efficient RSS Localization for Underwater Wireless Sensor Networks. Sensors 2019, 19, 3105. [Google Scholar] [CrossRef] [PubMed]
- Saeed, N.; Celik, A.; Alouini, M.-S.; Al-Naffouri, T.Y. Analysis of 3D Localization in Underwater Optical Wireless Networks with Uncertain Anchor Positions. Sci. China Inf. Sci. 2020, 63, 202305. [Google Scholar] [CrossRef]
- Mridula, K.M.; Ameer, P.M. Localization under Anchor Node Uncertainty for Underwater Acoustic Sensor Networks. Int. J. Commun. Syst. 2018, 31, e3445. [Google Scholar] [CrossRef]
- Huang, H.; Zheng, Y.R. Node Localization with AoA Assistance in Multi-Hop Underwater Sensor Networks. Ad Hoc Netw. 2018, 78, 32–41. [Google Scholar] [CrossRef]
- Kaur, A.; Gupta, G.P.; Mittal, S. Comparative Study of the Different Variants of the DV-Hop Based Node Localization Algorithms for Wireless Sensor Networks. Wirel. Pers. Commun. 2022, 123, 1625–1667. [Google Scholar] [CrossRef]
- Gupta, V.; Singh, B. Study of Range Free Centroid Based Localization Algorithm and Its Improvement Using Particle Swarm Optimization for Wireless Sensor Networks under Log Normal Shadowing. Int. J. Inf. Technol. 2020, 12, 975–981. [Google Scholar] [CrossRef]
- Zazali, A.A.; Subramaniam, S.K.; Zukarnain, Z.A. Flood Control Distance Vector-Hop (FCDV-Hop) Localization in Wireless Sensor Networks. IEEE Access 2020, 8, 206592–206613. [Google Scholar] [CrossRef]
- Zhang, Y.; Zhang, Q. Research on APIT Localization Algorithm in Wireless Sensor Networks. In Proceedings of the 2018 Chinese Control And Decision Conference (CCDC), Shenyang, China, 9–11 June 2018; IEEE: New York, NY, USA, 2018; pp. 5487–5491. [Google Scholar]
- Xiong, H.; Chen, Z.; Yang, B.; Ni, R. TDOA Localization Algorithm with Compensation of Clock Offset for Wireless Sensor Networks. China Commun. 2015, 12, 193–201. [Google Scholar] [CrossRef]
- Mei, X.; Wu, H.; Xian, J. Matrix Factorization-Based Target Localization via Range Measurements With Uncertainty in Transmit Power. IEEE Wirel. Commun. Lett. 2020, 9, 1611–1615. [Google Scholar] [CrossRef]
- Zhang, Y.; Wu, H.; Mei, X.; Liang, L.; Gulliver, T.A. Unknown Transmit Power RSSD-Based Localization in a Gaussian Mixture Channel. IEEE Sens. J. 2022, 22, 9114–9123. [Google Scholar] [CrossRef]
- Wu, H.; Mei, X.; Chen, X.; Li, J.; Wang, J.; Mohapatra, P. A Novel Cooperative Localization Algorithm Using Enhanced Particle Filter Technique in Maritime Search and Rescue Wireless Sensor Network. ISA Trans. 2018, 78, 39–46. [Google Scholar] [CrossRef] [PubMed]
- Ding, W.; Chang, S.; Li, J. A Novel Weighted Localization Method in Wireless Sensor Networks Based on Hybrid RSS/AoA Measurements. IEEE Access 2021, 9, 150677–150685. [Google Scholar] [CrossRef]
- Tomic, S.; Beko, M. Target Localization via Integrated and Segregated Ranging Based on RSS and TOA Measurements. Sensors 2019, 19, 230. [Google Scholar] [CrossRef] [PubMed]
- Xu, T.; Hu, Y.; Zhang, B.; Leus, G. RSS-Based Sensor Localization in Underwater Acoustic Sensor Networks. In Proceedings of the 2016 IEEE International Conference on Acoustics, Speech and Signal Processing (ICASSP), Shanghai, China, 20–25 March 2016; IEEE: New York, NY, USA, 2016; pp. 3906–3910. [Google Scholar]
- Chang, S.; Li, Y.; He, Y.; Wu, Y. RSS-Based Target Localization in Underwater Acoustic Sensor Networks via Convex Relaxation. Sensors 2019, 19, 2323. [Google Scholar] [CrossRef]
- Sah, D.K.; Nguyen, T.N.; Kandulna, M.; Cengiz, K.; Amgoth, T. 3D Localization and Error Minimization in Underwater Sensor Networks. ACM Trans. Sen. Netw. 2022, 18, 1–25. [Google Scholar] [CrossRef]
- Zhang, Y.; Wu, H.; Mei, X.; Xian, J.; Wang, W.; Zhang, Q.; Liang, L. Two-Phase Robust Target Localization in Ocean Sensor Networks Using Received Signal Strength Measurements. Sensors 2021, 21, 1724. [Google Scholar] [CrossRef]
- Luo, J.; Fan, L. A Two-Phase Time Synchronization-Free Localization Algorithm for Underwater Sensor Networks. Sensors 2017, 17, 726. [Google Scholar] [CrossRef] [PubMed]
- Zheng, C.; Sun, D.; Cai, L.; Li, X. Mobile Node Localization in Underwater Wireless Networks. IEEE Access 2018, 6, 17232–17244. [Google Scholar] [CrossRef]
- Zhang, Y.; Liang, J.; Jiang, S.; Chen, W. A Localization Method for Underwater Wireless Sensor Networks Based on Mobility Prediction and Particle Swarm Optimization Algorithms. Sensors 2016, 16, 212. [Google Scholar] [CrossRef] [PubMed]
- Luo, J.; Yang, Y.; Wang, Z.; Chen, Y.; Wu, M. A Mobility-Assisted Localization Algorithm for Three-Dimensional Large-Scale UWSNs. Sensors 2020, 20, 4293. [Google Scholar] [CrossRef]
- Prasad, K.N.R.S.V.; Bhargava, V.K. RSS Localization Under Gaussian Distributed Path Loss Exponent Model. IEEE Wirel. Commun. Lett. 2021, 10, 111–115. [Google Scholar] [CrossRef]
- Sari, R.; Zayyani, H. RSS Localization Using Unknown Statistical Path Loss Exponent Model. IEEE Commun. Lett. 2018, 22, 1830–1833. [Google Scholar] [CrossRef]
- Zou, Y.; Liu, H. RSS-Based Target Localization With Unknown Model Parameters and Sensor Position Errors. IEEE Trans. Veh. Technol. 2021, 70, 6969–6982. [Google Scholar] [CrossRef]
- Gholami, M.R.; Vaghefi, R.M.; Strom, E.G. RSS-Based Sensor Localization in the Presence of Unknown Channel Parameters. IEEE Trans. Signal Process. 2013, 61, 3752–3759. [Google Scholar] [CrossRef]
- Caceres Najarro, L.A.; Song, I.; Tomic, S.; Kim, K. Fast Localization With Unknown Transmit Power and Path-Loss Exponent in WSNs Based on RSS Measurements. IEEE Commun. Lett. 2020, 24, 2756–2760. [Google Scholar] [CrossRef]
- Sun, Y.; Yang, S.; Wang, G.; Chen, H. Robust RSS-Based Source Localization With Unknown Model Parameters in Mixed LOS/NLOS Environments. IEEE Trans. Veh. Technol. 2021, 70, 3926–3931. [Google Scholar] [CrossRef]
- Coluccia, A.; Fascista, A. Hybrid TOA/RSS Range-Based Localization with Self-Calibration in Asynchronous Wireless Networks. J. Sens. Actuator Netw. 2019, 8, 31. [Google Scholar] [CrossRef]
- Faheem, M.; Butt, R.A.; Raza, B.; Alquhayz, H.; Ashraf, M.W.; Shah, S.B.; Ngadi, M.A.; Gungor, V.C. QoSRP: A Cross-Layer QoS Channel-Aware Routing Protocol for the Internet of Underwater Acoustic Sensor Networks. Sensors 2019, 19, 4762. [Google Scholar] [CrossRef]
- Faheem, M.; Ngadi, M.A.; Gungor, V.C. Energy Efficient Multi-Objective Evolutionary Routing Scheme for Reliable Data Gathering in Internet of Underwater Acoustic Sensor Networks. Ad Hoc Netw. 2019, 93, 101912. [Google Scholar] [CrossRef]
- Stojanovic, M.; Preisig, J. Underwater Acoustic Communication Channels: Propagation Models and Statistical Characterization. IEEE Commun. Mag. 2009, 47, 84–89. [Google Scholar] [CrossRef]
- Stojanovic, M. On the Relationship Between Capacity and Distance in an Underwater Acoustic Communication Channel. ACM SIGMOB. Mob. Comput. Commun. Rev. 2007, 11, 34–43. [Google Scholar] [CrossRef]
- Potra, F.A.; Wright, S.J. Interior-Point Methods. J. Comput. Appl. Math. 2000, 124, 281–302. [Google Scholar] [CrossRef]
- He, J. Newton-like Iteration Method for Solving Algebraic Equations. Commun. Nonlinear Sci. Numer. Simul. 1998, 3, 106–109. [Google Scholar] [CrossRef]
- Capitanescu, F.; Glavic, M.; Wehenkel, L. An Interior-Point Method Based Optimal Power FLow. In Proceedings of the ACOMEN Conference, Gand, Belgium, 30 May–2 June 2005; p. 18. [Google Scholar]
- Daubechies, I.; DeVore, R.; Fornasier, M.; Güntürk, C.S. Iteratively Reweighted Least Squares Minimization for Sparse Recovery. Commun. Pure Appl. Math. 2010, 63, 1–38. [Google Scholar] [CrossRef]
- Zaeemzadeh, A.; Joneidi, M.; Shahrasbi, B.; Rahnavard, N. Robust Target Localization Based on Squared Range Iterative Reweighted Least Squares. In Proceedings of the 2017 IEEE 14th International Conference on Mobile Ad Hoc and Sensor Systems (MASS), Orlando, FL, USA, 22–25 October 2017; IEEE: New York, NY, USA, 2017; pp. 380–388. [Google Scholar]
- Xu, Y.; Yin, W. A Globally Convergent Algorithm for Nonconvex Optimization Based on Block Coordinate Update. J. Sci. Comput. 2017, 72, 700–734. [Google Scholar] [CrossRef]
- Chang, S.; Li, Y.; He, Y.; Wang, H. Target Localization in Underwater Acoustic Sensor Networks Using RSS Measurements. Appl. Sci. 2018, 8, 225. [Google Scholar] [CrossRef]
- Beck, A.; Stoica, P.; Li, J. Exact and Approximate Solutions of Source Localization Problems. IEEE Trans. Signal Process. 2008, 56, 1770–1778. [Google Scholar] [CrossRef]
- Mei, X.; Wu, H.; Xian, J.; Chen, B.; Zhang, H.; Liu, X. A Robust, Non-Cooperative Localization Algorithm in the Presence of Outlier Measurements in Ocean Sensor Networks. Sensors 2019, 19, 2708. [Google Scholar] [CrossRef]
- Abdalzaher, M.S.; Seddik, K.; Muta, O. Using Repeated Game for Maximizing High Priority Data Trustworthiness in Wireless Sensor Networks. In Proceedings of the 2017 IEEE Symposium on Computers and Communications (ISCC), Heraklion, Greece, 3–6 July 2017; IEEE: New York, NY, USA, 2017; pp. 552–557. [Google Scholar]
- Abdalzaher, M.S.; Samy, L.; Muta, O. Non-zero-sum Game-based Trust Model to Enhance Wireless Sensor Networks Security for IoT Applications. IET Wirel. Sens. Syst. 2019, 9, 218–226. [Google Scholar] [CrossRef]
















| Algorithms | Advantages | Disadvantages |
|---|---|---|
| MFMM [24] | Low complexity; joint estimation of transmit power and location | Did not consider the sensor mobility |
| RFLT [25] | High localization accuracy; low computational complexity | Did not consider the sensor mobility; only 2D localization |
| NCLA [26] | Reduces the impact of wave shadow effect | High computational complexity |
| FDRSS [29] | Low complexity; high localization accuracy | Did not consider the sensor mobility |
| SD/SOCP [30] | Low complexity; simultaneous estimation of transmit power and location | Assuming underwater signal propagation as a straight line |
| RSS/TOA [31] | Low complexity; large coverage and improved localization accuracy under non-line-of-sight (NLOS) environment | Underwater environmental characteristics such as absorption loss are not considered |
| IPM-MM [32] | Joint estimation of location and transmission power | High computational complexity |
| TP-TSFLA [33] | No time synchronization required; using mobile beacons to assist in localization | Absorption loss and the curvilinear propagation of hydroacoustic sound are not taken into account |
| PCCP [34] | Reduces the impact of hydroacoustic curve propagation | Did not consider the underwater absorption loss |
| MAP-TLLS [36] | Joint estimation of location and PLF | High computational complexity |
| Abridge | Description | Abridge | Description |
|---|---|---|---|
| GPS | Global positioning system | TDOA | Time difference of arrival |
| RSS | Received signal strength | DV-HOP | Distance vector hop |
| PLF | Path loss factor | APIT | Approximate point-in-triangulation test |
| ANCLS | Alternating nonnegative constrained least squares | SDP | Semi-definite programming |
| GTRS | Generalized trust region sub-problem | UWSNs | Underwater wireless sensor networks |
| CRLB | Cramér–Rao lower bound | WLS | Weighted least squares |
| WSNs | Wireless sensor networks | IPM | Interior point method |
| UAVs | Unmanned aerial vehicles | MMSE | Bayesian minimum mean square error |
| LS | Least squares | BCU | Block co-ordinate update |
| ML | Maximum likelihood | KKT | Karush–Kuhn–Tucker |
| TOA | Time of arrival | FIM | Fisher information matrix |
| AOA | Angle of arrival | RMSE | Root mean square error |
| CDF | Cumulative distributed function | MC | Monte Carlo trials |
| Symbol | Description | Symbol | Description |
|---|---|---|---|
| position of the anchor node at time | Newton iteration directions | ||
| position of the target node at time | Newton iteration directions | ||
| times | weights | ||
| signal strength received by the anchor node from the target node at time | dependent factor | ||
| transmit power of the target node at time | robust factor | ||
| power from the reference distance | Lipschitz constant | ||
| reference distance | extrapolation factor | ||
| path loss factor | multiplier | ||
| absorption coefficient | estimated distance between the unknown node and the anchor node | ||
| noise variance | one of the variables to be solved, used to estimate the path loss factor | ||
| number of anchors | number of iterations | ||
| transmission frequency | unit vector | ||
| measurement noise | matrix consisting of the parameters to be solved | ||
| path loss factor estimation parameters | the reciprocal of | ||
| parameter to be solved | the diagonal matrix consisting of | ||
| penalty factor | absorption bias for anchor node |
| Algorithm | Complexity |
|---|---|
| WLS | |
| SR-LS | |
| SR-IRLS | |
| RNLA | |
| IPM | |
| NHHL |
| Parameters | Value |
|---|---|
| −55 dBm | |
| 2 dB | |
| 9 | |
| 0.06 dB/m | |
| Region | 50 m 50 m 50 m |
| Parameters | Value |
|---|---|
| −55 dBm | |
| 2 dB | |
| 4.2 | |
| 0.06 dB/m | |
| Region | 50 m 50 m 50 m |
| Parameters | Value |
|---|---|
| 4.2 | |
| 2 dB | |
| 9 | |
| 0.06 dB/m | |
| Region | 50 m 50 m 50 m |
| Parameters | Value |
|---|---|
| −55 dBm | |
| 2 dB | |
| 9 | |
| 0.06 dB/m | |
| 4.2 |
| Parameters | Value |
|---|---|
| −55 dBm | |
| 4.2 | |
| 9 | |
| 0.06 dB/m | |
| Region | 50 m 50 m 50 m |
| Parameters | Value |
|---|---|
| −55 dBm | |
| 2 dB | |
| 9 | |
| 4.2 | |
| Region | 50 m 50 m 50 m |
Disclaimer/Publisher’s Note: The statements, opinions and data contained in all publications are solely those of the individual author(s) and contributor(s) and not of MDPI and/or the editor(s). MDPI and/or the editor(s) disclaim responsibility for any injury to people or property resulting from any ideas, methods, instructions or products referred to in the content. |
© 2023 by the authors. Licensee MDPI, Basel, Switzerland. This article is an open access article distributed under the terms and conditions of the Creative Commons Attribution (CC BY) license (https://creativecommons.org/licenses/by/4.0/).
Share and Cite
Ma, J.; Xian, J.; Wu, H.; Yang, Y.; Mei, X.; Zhang, Y.; Chen, X.; Zhou, C. Novel High-Precision and High-Robustness Localization Algorithm for Underwater-Environment-Monitoring Wireless Sensor Networks. J. Mar. Sci. Eng. 2023, 11, 1713. https://doi.org/10.3390/jmse11091713
Ma J, Xian J, Wu H, Yang Y, Mei X, Zhang Y, Chen X, Zhou C. Novel High-Precision and High-Robustness Localization Algorithm for Underwater-Environment-Monitoring Wireless Sensor Networks. Journal of Marine Science and Engineering. 2023; 11(9):1713. https://doi.org/10.3390/jmse11091713
Chicago/Turabian StyleMa, Junling, Jiangfeng Xian, Huafeng Wu, Yongsheng Yang, Xiaojun Mei, Yuanyuan Zhang, Xinqiang Chen, and Chao Zhou. 2023. "Novel High-Precision and High-Robustness Localization Algorithm for Underwater-Environment-Monitoring Wireless Sensor Networks" Journal of Marine Science and Engineering 11, no. 9: 1713. https://doi.org/10.3390/jmse11091713
APA StyleMa, J., Xian, J., Wu, H., Yang, Y., Mei, X., Zhang, Y., Chen, X., & Zhou, C. (2023). Novel High-Precision and High-Robustness Localization Algorithm for Underwater-Environment-Monitoring Wireless Sensor Networks. Journal of Marine Science and Engineering, 11(9), 1713. https://doi.org/10.3390/jmse11091713

