Next Article in Journal
Research on Multi-Target Path Planning for UUV Based on Estimated Path Cost
Previous Article in Journal
Wind Wave Growth and Dissipation in a Narrow, Fetch-Limited Estuary: Long Island Sound
 
 
Font Type:
Arial Georgia Verdana
Font Size:
Aa Aa Aa
Line Spacing:
Column Width:
Background:
Article

Air–Sea Enthalpy and Momentum Exchange Coefficients from GPS Dropsonde Measurements in Hurricane Conditions

Federal Research Center A.V. Gaponov-Grekhov Institute of Applied Physics of the Russian Academy of Sciences (IAP RAS), Nizhny Novgorord 603950, Russia
*
Author to whom correspondence should be addressed.
J. Mar. Sci. Eng. 2023, 11(8), 1581; https://doi.org/10.3390/jmse11081581
Submission received: 17 July 2023 / Revised: 4 August 2023 / Accepted: 8 August 2023 / Published: 11 August 2023
(This article belongs to the Section Physical Oceanography)

Abstract

The intensity of tropical cyclones is highly dependent on air–sea enthalpy and momentum exchange. At extreme wind speeds, the values of the enthalpy, CK, and momentum, CD, exchange coefficients are characterized by high uncertainty. The present study aims to expand the previously used algorithm for CD retrieval to obtain the values of CK from wind speed measurements and the enthalpy profiles obtained from NOAA GPS dropsondes in hurricane conditions. This algorithm uses concepts from technical hydrodynamics, describing turbulent boundary layers on flat plates and pipes. According to this approach, the velocity (and enthalpy) defect profiles are self-similar in the entire boundary layer, including the layer of constant fluxes and the “wake” part, where the airflow adapts to the undisturbed flow region. By using the self-similarity property, the parameters of the constant flow layer (the roughness parameter, friction velocity, and the enthalpy and exchange coefficients CD and CK) could be obtained from measurements in the “wake” part for wind speeds from 20 m/s to 72 m/s. The estimates of the CK/CD ratio revealed values of 0.7 and 0.96 (depending on the self-similar approximation limits), and the results suggest that there are slight variations with the wind speed.

1. Introduction

Tropical cyclones (TCs) are low-pressure weather systems that develop due to the absorption of energy from the warm surface of the ocean, while the reverse process associated with energy losses on the ocean surface is determined by the surface drag and momentum exchange processes at the air–sea boundary. It was shown in previous studies that both the deficit of pressure in the center of the tropical cyclone and maximum azimuthal velocity strongly depend on the ratio of the surface enthalpy exchange coefficient, CK, to the momentum exchange coefficient (or aerodynamic surface drag coefficient), CD (see [1]). In recent decades, a number of research campaigns have been carried out to study the exchange processes occurring in air–sea boundary layers: adverse weather experiment (AWE) [2]; FETCH in the Mediterranean Sea [3]; GASEX [4]; HEXOS [5,6]; RASEX in the Baltic Sea [7]; SWADE in the coastal Atlantic [8], and WAVES in Lake Ontario [9]. As a result, the idea of the linear behavior of the drag coefficient, depending on the wind speed (in the region of moderate speeds from 4 m/s to 20 m/s), was generally accepted. Some studies reported nonlinear parameterizations for the momentum exchange coefficient (for example, see COARE [10,11,12] for low and moderate winds). The results from [10,11] suggest a decrease for winds lower than 1 m/s and an increase in CD with wind speeds close to linear for winds of up to 15 m/s and a slower growth for winds from 15 m/s. Nevertheless, there are still significant uncertainties concerned with the value of these coefficients for the extreme wind conditions observed within tropical cyclones (see, for example, [13,14]). In particular, some studies report a saturation of the drag coefficient [15,16] and even its non-monotonic behavior, correspondingly demonstrating a plateau or a peak with increasing 10 m wind speeds for wind speeds larger than 20–30 m/s, as observed in [17] and confirmed in later laboratory experiments [15,18] and field measurements [19,20,21,22]. At the same time, the question regarding the location of the peak value within these dependencies characterized by a large scatter [23] and the physical background that determines the phenomenon of CD saturation (or its reduction) remains unanswered.
At the same time, fewer pieces of work have been devoted to the measurements and estimates of the heat and moisture exchange coefficients because the response of hygrometers is not fast enough to register the marine environment. The exchange coefficients of heat and water vapor for wind speeds up to 18 m/s were measured using an eddy covariance method in the framework of the HEXOS program [6,24] for wind speeds up to 20 m/s in the Southern Ocean waves experiment SOWEX [25] and SWADE [26], demonstrating quite a significant scatter and no noticeable dependency of these coefficients on wind speed. The attempts to measure these exchange coefficients in the hurricane environment for wind speeds of up to 30 m/s were made in the framework of the CBLAST hurricane component campaign for tropical cyclones Isabel and Fabian [27]. The first direct field measurements of sensible heat and enthalpy flux from the CBLAST experiment were presented in [28,29]. The results demonstrate that the enthalpy exchange coefficient and the exchange coefficient of sensible heat showed no significant dependence on wind speed up to hurricane wind speeds, showing, however, a greater scatter than for HEXOS data. In addition to field studies, studies on the enthalpy exchange coefficient were also carried out under laboratory conditions (see [30,31]) in the wind speed range of 13–40 m/s. The results suggested, once again, that the value of the enthalpy exchange coefficient is relatively constant. At the same time, the question remains open regarding the correspondence between laboratory conditions and what is observed in natural conditions since such experiments are carried out in a limited volume, and the wave age may not correspond to what is observed in the open ocean, where intense breaking is formed, accompanied by the occurrence of foam and spray.
Obviously, in the area of hurricane wind speeds, the direct measurement of heat and moisture fluxes (in particular, based on the use of the eddy covariance method) becomes impossible, and therefore it is necessary to develop alternative methods to retrieve these coefficients based on the use of other measuring tools or calculations through the energy and angular momentum budgets. The last approach is described in [13], in which the calculations for the momentum and enthalpy exchange coefficients were made for the first time for extreme wind values (from 50 m/s up to 72 m/s) on the basis of complex CBLAST data, including measurements made using the eddy covariance method and radar and microwave radiometer data for hurricanes Fabian and Isabel. GPS dropsondes are often used as instruments for field observations in the region of tropical cyclones; they measure wind speed, humidity, and pressure during their fall. An approach based on the flow method applied to the profiles measured by NOAA GPS dropsondes has been proposed in order to obtain the magnitude of the drag coefficients and the enthalpy exchange coefficient for wind speeds of up to 60 m/s [14]. However, at high wind speeds, this method does not work well as the data close to the surface are characterized by a high level of errors. The authors report a large amount of variability for the enthalpy exchange coefficient, which gives a prediction accuracy of up to 200% due to the uncertainties in sea surface temperature (SST), which was obtained from the interpolation of the 0.25° re-analysis data.
One of the main results of the studies reported in [32] was the assertion that the development of intense hurricanes (Category 3 and above on the Saffir-Simpson scale) and the associated central pressure deficit and maximum azimuthal velocity are sensitive to the ratio of the enthalpy exchange coefficient to the aerodynamic drag coefficient, which has a value of 0.75–1.5, and this implies the presence threshold, below which tropical depressions will not develop into major hurricanes. At the same time, existing measurements (see [27,28]) suggest that the ratio of the exchange coefficients is lower than the predicted value and lies in the range between 0.6 and 0.7 or has an even lower value of 0.4, as reported in [13]. So, as can be seen, the obtained data are characterized by large measurement errors and do not provide accurate information about this ratio for high wind speeds. Thus, the quantitative value of this ratio at high wind speeds still needs to be refined.
The current paper presents the results of research based on processing the field measurements of wind speed and the enthalpy profiles obtained from falling NOAA GPS dropsondes in a wide range of weather conditions for wind speeds lying in the range of 20–72 m/s. The general problem with processing the profiles measured by falling GPS dropsondes is the large measurement errors near the surface that are associated with technical failures in the operation of the equipment and atmospheric boundary layer profile deformation due to wave flux. In addition, the profiles measured by GPS dropsondes are characterized by a high level of fluctuations and need ensemble averaging, as the boundary layer in mature tropical cyclones is turbulent. So, there is the problem of correctly compiling the statistical ensemble over which profile averaging is performed [14]. In order to reduce the large source of uncertainties mentioned above, the authors of the present study propose an approach based on concepts that are successfully used in technical hydrodynamics to describe turbulent boundary layers on flat plates and in pipes [33]. It is based on the use of the self-similarity property of the velocity defect in the entire boundary layer, including the layer of constant fluxes, demonstrating a logarithmic profile and the “wake” part, where the flow adapts to the undisturbed airflow region [33]. In this case, using the self-similarity property, it is possible to retrieve the parameters of the layer of constant fluxes (the roughness parameter and the dynamic velocity) from measurements in the “wake” part. This technique was already used previously by the authors of the current study in order to obtain the value of the aerodynamic drag coefficient [34]. In the present study, we made an attempt to use a similar approach when processing enthalpy profiles to obtain the value of the enthalpy flux coefficient and mean enthalpy profile slope.

2. Methodology, Instruments, and Datasets

In the present study, we used the datasets obtained from NOAA GPS dropsondes that were launched from NOAA aircraft and contain the vertical profiles of horizontal wind speed, temperature, humidity, and pressure from the NOAA hurricane research mission website: http://www.aoml.noaa.gov/hrd/data_sub/hurr.html (accessed on 12 February 2022). The GPS dropsondes fall at a mean velocity of 10 m/s, transmitting the signal with a frequency of 2 Hz. As a result, the average vertical resolution of the profiles is equal to 5 m.
A total of 26 Category 4 and 5 hurricanes that were registered in the Atlantic Basin within the period of 2002–2017 were selected for analysis, including the additional data from the CBLAST campaign for Hurricane Isabel (see Table 1). For each hurricane, the position of the selected GPS dropsonde was considered relative to the current position of the hurricane center, which was obtained from track data also obtained from the NOAA hurricane research mission website: http://www.aoml.noaa.gov/hrd/data_sub/hurr.html (accessed on 19 February 2022).
Because the data arrays received from NOAA GPS dropsondes carry information on wind speed, specific air humidity, temperature, and pressure, it becomes possible to calculate the vertical profiles of specific enthalpy using the following formula:
k = ( ( 1 q ) C p + q C l i q ) θ + q L v
where q is the specific air humidity, Cp and Cliq are the heat capacity of air and water, L v is the vaporization temperature, and θ is the potential air temperature calculated by the formula θ = T ( p 0 p ) R C p .
Since the data collected from the GPS dropsondes are characterized by a high level of fluctuations, for the individual profiles, a smoothening using height averaging with a bin of 10 m was made at the first step, and then the processed profiles were averaged over statistical ensembles for further analysis. To construct a statistical ensemble for averaging, we considered the profiles obtained during the day that were located at the same distance from the center of the hurricane, assuming that the hurricane is radially symmetrical and quasi-stationary during the observation time. At the same time, the profile shape similarity for profiles combined within a separate statistical ensemble was also taken into account (the procedure for the statistical ensemble construction is described in more detail in Section 3). This approach differs from the approach proposed in [14], where profiles with velocities lying in a given range of values were combined. According to this approach, profiles with the same velocities are not always located in the same part of the tropical cyclone and may have different behavior.
To form statistical ensembles, the velocity profiles obtained during each day of measurements were plotted in the form of three-dimensional curves, with the axes corresponding to the distance from the center of the hurricane (obtained by comparing the measurements of the GPS dropsonde co-ordinates at the moment when they reached the surface and the corresponding co-ordinates of hurricane track), the magnitude of the surface wind speed, and the height above sea level, as measured by the GPS dropsonde sensor. An example of such a set of curves is shown in Figure 1a. It is noticeable that the wind speed profiles are naturally combined into groups according to the distance from the center of the hurricane, which is clearly seen from such a 3D graphical representation. Obviously, the first group contains the GPS dropsondes that fell into the “eye” of the hurricane, and these were excluded from consideration (marked in violet, see Figure 1a). To construct the statistical ensembles, only the groups of profiles with a wind speed exceeding 20 m/s were selected (for example, profiles marked in purple correspond to the hurricane eyewall, see Figure 1a). In general, when constructing a statistical ensemble, a radial grouping of profiles was used—see examples of some of the selected groups in Figure 1b; here, the GPS dropsondes entered into different groups are marked with different colors, and the concentric circles of the corresponding colors indicate the boundaries of the areas within which the dropsondes were combined into the groups. The grouping was carried out not only by taking into account the distance from the center and the wind speed but also by taking into account the profile behavior. It can be seen that the profiles represented by the blue, aquamarine, and light-blue colors are approximately the same distance from the center of the hurricane, but they have different shapes, so they were combined into separate subgroups. The velocity profiles measured at a considerable distance from the center of the hurricane with velocities of less than 20 m/s were also not taken into consideration (this group of profiles is marked in green, see Figure 1a).
For the next step, we made an attempt to retrieve the momentum and enthalpy exchange coefficients from the velocity and enthalpy profiles averaged over the selected ensembles using the modified profiling method [18]. The main idea of this method lies in the fact that the wind speed and enthalpy profiles are assumed to be self-similar and can be described within the same laws that are applicable for flows on flat plates and in the aerodynamic channels used in technical hydrodynamics [33] (see Section 4).
It should be mentioned that the self-similar laws are applicable to the average profiles of the enthalpy difference relative to the enthalpy at the ocean surface. So, there is a need to obtain an enthalpy value on the ocean surface or the associated sea surface temperature (SST). GPS dropsondes only provide information about the atmospheric parameters. Thus, it is necessary to use additional tools to obtain information about the SST. In most cases, the surface temperature data are accumulated from the re-analysis [14], which causes large uncertainties in the sea surface temperature and enthalpy values retrieved. In the present study, we used the SST data from a NOAA/Hurricane Research Division stepped-frequency microwave radiometer (SFMR) on board NOAA aircraft performing synchronous measurements with the launch of GPS dropsondes. It provides the values of sea surface temperature within TCs in real time, with a spatial resolution of 1.5 km for a typical aircraft speed of 150 m/s (see Figure 2). The acquisition time of the data from the SFMR measurements is listed in Table 1.

3. Drag Coefficient and Dynamic Speed Retrieval

Presumably, the marine atmospheric boundary layer in a tropical cyclone considered in the present study is similar to a near-wall flow that has a well-studied structure, as observed in the laboratory modeling of the atmospheric boundary layer. It is characterized by three areas: a viscous sublayer, a layer of constant fluxes, and a wake part, where the transition to the geostrophic current region occurs. The overall thickness of a displacement layer is denoted further by δ. A viscous sublayer adjoins the water surface and has a thickness of about 20–30 ν / u (where ν is the kinematic viscosity, and u is the dynamic velocity); inside this layer, the effects associated with viscosity play the main role. Obviously, its thickness is several orders of magnitude smaller than the thickness of the other two layers, so we did not consider it further. The layer of constant fluxes, in which the total momentum flux is kept constant, is located above the upper boundary of the viscous sublayer and extends to a thickness of approximately 0.3δ [35]. Above the layer of constant fluxes is where the wake part is located, which is characterized by the presence of a maximum velocity. This structure is typical for a boundary layer on a flat plate and in a pipe [33]. The traditional profiling method is designed to determine the dynamic wind speed and the roughness parameter from the approximation of the velocity profile by a logarithmic function in the layer of constant fluxes, i.e., for a height interval of less than ~0.3δ. At the same time, the applicability of this approach to the airflow velocity profiles measured by GPS dropsondes has limitations. Indeed, the thickness of the displacement layer, as will be shown below, is usually less than 1000 m. This means that the layer of constant fluxes is located below 300 m. At the same time, despite the fact that the sum of turbulent and wave momentum fluxes remains constant [36], the turbulent momentum flux changes with altitude. It was shown in [37] that the wave momentum flux decreases with distance from the boundary on a scale of λ/10, where λ is the peak wavelength of surface waves. In Category 4 and 5 hurricanes, these wavelengths are hundreds of meters, which means that the scale of the decrease in the wave-induced momentum flux is tens of meters. Thus, the airflow velocity profile is logarithmic only within a narrow range of altitudes, and the use of a logarithmic function to approximate the wind speed profile over a wider range of altitudes leads to large errors in determining the parameters of the atmospheric boundary layer.
In this paper, we propose the application of a modified profiling method based on the use of data not from the region of constant fluxes but from the wake part. We applied this method (in earlier work) to the results of laboratory modeling [18,38], and the method was used further to retrieve dynamic parameters in tropical cyclones [34]. In the present study, we have expanded the dataset (including the consideration of the data from CBLAST), and, in addition, we modified the profiling method to retrieve the thermodynamic parameters (Section 4). Figure 3a shows the averaged profile obtained as a result of statistical data processing using GPS dropsondes (see Section 2). Figure 3b shows the laboratory experiment results in terms of the physical and self-similar variables [18]. It can be seen that the profiles obtained from field data have a form that is similar to the profiles obtained in the laboratory experiments [36]; namely, they all have a maximum at some height. This result allows us to make an assumption that the shape of the velocity profiles observed in tropical cyclones can be described by self-similar laws, similar to those proposed in [33] for a flow on a flat rigid plate: U max U ( z ) u = f ( z δ ) ; here, U max is the maximum velocity in the turbulent boundary layer, u is the dynamic velocity, and δ is the thickness of a displacement layer.
In order to describe the various parts of the boundary layer, the use of a piece-wise function was proposed in [33], which includes a logarithmic part to describe a layer of constant fluxes and a parabolic part to describe the wake part of the profile:
U max U ( z ) β u = { 1 β ( 1 κ ln z δ + γ ) ; z δ < 0.3 ( 1 z δ ) 2 ; z δ > 0.3
where κ is the von Karman constant, γ and β are constants, which are determined further by profile approximation. As a first step, we checked whether self-similarity was satisfied for the velocity profiles in the selected hurricanes. In order to do this, the airflow velocity profiles averaged over the selected ensembles in the boundary layer were approximated by using a parabolic function U ( z ) = a 3 + a 2 z + a 1 z 2 , where a1, a2, and a3 are constants that can be determined via a comparison with Formula (2):
δ = a 2 2 a 1 ; U max = a 3 + β u ; β u = a 2 2 4 a 1 ;
Figure 4, which illustrates the velocity profiles in the boundary layer, expressed in physical variables and in self-similar variables, shows that the velocity profiles, expressed in self-similar variables, have a much smaller scatter than in the physical ones and are grouped around one curve.
An approximation of the experimental data by using Formula (2) gives 1 / ( κ β ) = 0.3358 , with a 95% confidence interval from 0.3529 to 0.3186 and a coefficient γ / β = 0.0949 , with a 95% confidence interval from 0.0621 to 0.1278. By taking into account the self-similarity of the airflow velocity profile, it is possible to obtain the parameters of the logarithmic boundary layer from the measurements from the wake part of the turbulent boundary layer. At first, the parameters of the turbulent boundary layer ( U max , β u and δ ) are determined from the approximation of the experimental data by using Formula (2) at z / δ > 0.3 . Then, the parameters of the logarithmic boundary layer are calculated using Formula (3) for z / δ > 0.3 , as follows:
U ( z ) = u κ ln z z 0 , z 0 = δ exp ( κ U max / u + α κ )
C d = κ 2 ( κ U max / u γ κ + ln ( H 10 / δ ) ) 2
where z 0 is the roughness height, C d is the aerodynamic drag coefficient, and H 10 is the height above sea level equal to 10 m.
The dependence of the drag coefficient and dynamic wind speed on the 10 m wind speed are shown in Figure 5.
It can be seen that the binned values for the aerodynamic drag coefficient, which were obtained by using window averaging, including ten CD values, decrease with increasing wind speed at U 10 > 32 m/s, which is consistent with the known effect reported in [17,19,20]. In addition, the value of the wind speed corresponding to the drag coefficient peak value is in good agreement with the peak value reported in [20]. It should be noted that the values of CD are consistent (in the region of moderate and hurricane wind speeds) with the data from [14,17], which were obtained using the traditional profiling method. At the same time, the results from [13] provide significant overestimations in the region of extreme wind speeds when compared to our data and the data from [17,19]. The dependence of the dynamic speed on the wind speed at 10 m (height) also agrees well with the data from [14,17,19,20] and demonstrates an underestimation in comparison to the data reported in [13]. The dependence of u ( U 10 ) shows a slight variation in the values for wind speeds exceeding 40 m/s. However, a further increase in the amount of data is required to verify this dynamic speed saturation effect.

4. Enthalpy Parameters Retrieval

Further, we will make an assumption that the modified profiling method used above to retrieve the aerodynamic drag coefficient and dynamic velocity values is also suitable for calculating the enthalpy exchange coefficient. This assumption is partly based on the results obtained in laboratory conditions [39], related to the fact that the temperature profiles, as well as the velocity profiles, are self-similar and are described by the same law, whereas the self-similar coefficients are constants and do not depend on wind speed. By taking the self-similar behavior of the dynamic and thermodynamic parameters in the atmospheric boundary layer into account, it can be assumed that enthalpy dependence might also be self-similar, which, however, requires verification since enthalpy contains humidity in addition to temperature, for which self-similarity has not been established. The enthalpy profiles, as well as the velocity profiles, observed inside tropical cyclones, demonstrate the presence of a pronounced maximum at a height that is, on average, about 2000 m (see Figure 6), which, nevertheless, differs from the height corresponding to the wind speed peak (having a value below 1000 m).
Below, we will find out whether the dependences of a difference in enthalpy, k(z)k(0), relative to the ocean surface enthalpy, k(0), for height are self-similar. Thus, we used the data on the vertical dependence of enthalpy along with its value on the ocean surface, calculated by using Formula (1). The SST value for the k(0) estimations is obtained from a NOAA/Hurricane Research Division stepped-frequency microwave radiometer (SFMR) collocated in time and space with GPS dropsonde measurements (see Table 1).
In order to describe the self-similar dependence for the enthalpy defect profile, an expression similar to (2) was used:
k max k ( z ) = { k ( 1 κ Pr ln z δ k + α ) ; z δ k < 0.15 or 0.3 β k k ( 1 z δ k ) 2 ; z δ k > 0.15 or 0.3
where Pr is the Prandtl number. It should be noted that, in the case of the velocity profiles, we used a logarithmic approximation limit equal to z δ = 0.3 (according to the result obtained in [35]), but in the case of the enthalpy profiles, it is not entirely clear which value should be used, so we compared the results using two different values: the traditionally used 0.15 and 0.3 values proposed for the velocity profiles. An important role in the proposed profiling method is played by the correct choice of the Prandtl number, which is a criterion for the similarity of thermal processes in liquids and gases. This coefficient has a constant value only within the logarithmic part of the boundary layer, according to [40,41]. Below, we will assume that the value of the Prandtl number is 0.85 in the logarithmic part of the profiles. For the first step, the self-similarity property of the enthalpy profiles was checked. The profiles averaged over the selected ensembles in the boundary layer were approximated by a polynomial of the second degree, similar to the principle described in the previous Section:
k ( z ) = b 3 + b 2 z + b 1 z 2
The data obtained below 40 m from the sea surface were excluded from consideration in order to remove the influence of the wave momentum flux, which is significant near the water surface. It should also be noted that the thickness of the displacement layer, in this case, is about 2000 m or more (see Figure 6). From the parabolic approximation, the following enthalpy profile parameters are calculated:
β k k = b 2 2 4 b 1 ; δ k = b 2 2 b 1 ; k max = b 3 + β k k
By using estimated parameters, the profiles in physical variables were expressed in dimensionless co-ordinates and are displayed on one graph (see Figure 7). It can be seen that similar to the result obtained for the wind velocity profiles, the enthalpy profiles expressed in the dimensionless variables collapse to one curve (see Figure 7b,c) described by the following expression:
k max k ( z ) β k k = { 1 β k ( 1 κ Pr ln z δ k + α ) ; z δ k < 0.15 or 0.3 ( 1 z δ k ) 2 ; z δ k > 0.15 or 0.3
This result indicates that the assumption of the self-similarity of the enthalpy profiles is correct. The approximation of the logarithmic part of the profile gives the values for the slope coefficient of 1 / ( κ β k ) = 0 . 124 with a 95% confidence interval from 0.133 to 0.114 and a constant component value of α / β k = 0 . 467 with a 95% confidence interval from 0.442 to 0.492 for the case of the 0.15 approximation limit; a slope coefficient of 1 / ( κ β k ) = 0 . 177 with a 95% confidence interval from 0.182 to 0.172 and a constant component of α / β k = 0 . 309 with a 95% confidence interval from 0.297 to 0.320 was found for the case of the 0.3 approximation limit. These values allow for calculating the coefficient k for each ensemble. In the next step, we used the following formula for the enthalpy difference:
k ( z ) k ( 0 ) = k κ Pr ln z z 0
where z0 is the enthalpy roughness parameter, retrieved by using the formula
z 0 = δ k exp ( κ k max Pr k + α κ )
We calculated the enthalpy exchange coefficient, which is responsible for the increase in the intensity of the hurricane due to the heat and moisture supply from the ocean surface:
C k = k C d k ( 10 ) k ( 0 )
Figure 8 shows the dependence of C k and k on the wind speed at the meteorological height compared with the data of earlier studies [13,14,28,31].
The array of large red and black circles corresponds to the binned values obtained by window averaging, containing approximately 10 points (marked with small open red and black circles, respectively).
It can be seen that both of the obtained binned values lie inside the confidence intervals of the existing data from [13,14,28,31], even though various methods have been used to retrieve the values of CK (in the observations from [14,28], a flux profile method was used, and the authors from [13] used the absolute angular momentum and total energy budgets). It should be mentioned that, as reported in [14], CK estimates in the range of extreme winds demonstrate a large uncertainty, with an accuracy of up to 200% [14], which is due to the high sensitivity of the flux profile method to the parameters of the logarithmic layer and the uncertainties in SST. The use of a modified profile method together with instantaneous measurements of SST provide an opportunity to reduce these errors down to 30% in the case of using an approximation limit of z δ = 0.15 . The values of the enthalpy exchange coefficient obtained from the absolute angular momentum and total energy budgets reported in [13] demonstrate no significant variations in major hurricane conditions; at the same time, our results also show low variance, showing a possible slight increase in the region of wind speeds exceeding 60 m/s; the authors of [13] report a mean value of CK of equal to 1 × 10−3 with a 40% standard deviation, while the average value of CK for our data turned out to be 0.7 × 10−3 and is consistent with the data [13,14] within the confidence intervals. The slight variations in CK are ensured by the decrease in CD accompanied by the increasing dependence of enthalpy roughness k / ( k ( 10 ) - k ( 0 ) ) for the extreme wind speeds (see Figure 9a). Nevertheless, the observed effect requires further investigation. The fact that CK does not demonstrate significant changes in major hurricane conditions may be due to an increase in the number of wave-breaking events and the associated whitecapping; both of these phenomena lead to opposing effects—the effect of reducing aerodynamic drag due to the sea surface whitecap masking and the growth in temperature roughness due to sea-surface-area increase and the intensification of mixing, causing water surface renewal due to whitecapping (see [38]).
It should also be emphasized that the growth in the dependence of the enthalpy exchange coefficient on wind speed is significantly weaker than that observed in the laboratory experiments reported in [38,42]. This result needs further study and may be associated with the different features of laboratory and field conditions. In particular, it may be related to the decreasing dependence of the exchange coefficients on the wave fetch (or the wave age parameter), which differs dramatically in laboratory and field conditions [38].
As for the value of k , it falls within the range of the existing measurements from [13,14,28,31] and does not show significant variations, even in the region of high wind speeds (see Figure 8b).
The retrieved CK/CD ratios from the current study are shown in Figure 9 and suggest a slight increase in magnitude for extreme wind conditions. The results indicate that the mean value of CK/CD is equal to 0.7 for the approximation limit z δ = 0.15 and is 0.96 for the approximation limit z δ = 0.3 , which exceeds the value of 0.4 reported in [13]. At the same time, our data are consistent and are within the confidence intervals for the value of 0.85 proposed in [1], an SST equal to 30 °C, and the previous results reported in [13,14,28,31], which, in general, speaks in favor of the approach used.
As a result of comparing various approximation limits, it can be seen that in the case of z δ = 0.3 , the errors for almost all the values of the enthalpy exchange coefficient turn out to be larger, as the data is characterized by a larger scatter, which increases significantly in the region of moderate wind speeds. The data for z δ = 0.3 show overestimated values in the region of low and moderate wind speeds when compared to [14], and this is in contrast to the data obtained for the approximation limit equal to 0.15. This also leads to an increase in the errors and overestimated values for the C k / C D ratio in the region of moderate wind speeds. Based on the results obtained, it can be assumed that the use of an approximation threshold of 0.15 is preferable.

5. Conclusions

In the current study, the dynamic and thermodynamic parameters of the atmospheric boundary layer were estimated for 26 Category 4 and 5 tropical cyclones based on the application of a modified profiling method (proposed in [18]) that was applied to NOAA GPS dropsonde measurements. This method was developed by taking into account the self-similarity property of the wind speed and enthalpy profiles and is based on the retrieval of the exchange coefficients from the data in the wake part of the profiles. The method has a number of advantages over the standard flux profile method. By using data collected far from the surface, we obtained a significantly larger data set since the measurements in the logarithmic boundary layer region are often characterized by large errors or, in some cases, a partial lack of data due to technical failures in the operation of GPS dropsondes near the ocean surface. In addition, the application of this method makes it possible to exclude the influence of the wave momentum flux, which is noticeable in the region of the logarithmic layer but decreases with height and disappears in the wake part. As a result of the application of the modified profiling method to the wind speed and enthalpy profiles obtained from GPS dropsondes data, together with the sea surface temperature from the NOAA SFMR radiometer, we obtained values for the drag coefficient and enthalpy exchange coefficient and their dependencies on a 10 m wind speed. The use of the modified profiling method made it possible to reduce the standard deviation when compared to those reported previously in [13,14], especially in the range of extreme wind speeds. It was shown that the dependencies of the drag coefficient show peaking behavior with a decrease in the area of extreme wind speeds, which is in accordance with the results presented in [17,19,20], whereas the enthalpy exchange coefficient and the ratio of CK/CD show little variation at high wind speeds, which agrees with the previous results reported in [13,14]. We speculate that slight variations in the enthalpy exchange coefficient value for the extreme wind speed range (wind speeds of more than 50 m/s) may be due to the compensation in the growth of enthalpy roughness by a decrease in the aerodynamic drag coefficient. At the same time, the effect of the aerodynamic drag coefficient decreasing at a constant value of enthalpy roughness in the range of wind speeds from 30 to 50 m/s causes a decrease in the enthalpy coefficient with increasing wind speed in this wind speed range. Both of these effects are likely due to the increasing role of breaking and the associated whitecapping on the sea surface with growing wind speed. Due to an increase in the foam coverage area, a wind-dependent effect of masking the surface roughness occurs, leading to a decrease in aerodynamic drag. At the same time, wave breaking leads to the generation of a number of competing phenomena, which can lead to both an increase in enthalpy exchange (sea spray and the renewal of the water’s surface, leading to an intensification of mixing and, as a result, enthalpy transfer), and to a weakening of heat exchange (foam coverage). It is likely that the competition of these processes for different ranges of wind speeds can lead to differences in the behavior of the dependence of the enthalpy exchange coefficient on wind speed. In any case, the question of the effect of each phenomenon on the enthalpy exchange coefficient for open ocean conditions is the subject of further research.
It should also be mentioned that the dependencies of the enthalpy exchange coefficient on wind speed and its absolute value are very different in laboratory and field conditions; they demonstrate significantly stronger growth under laboratory experiments [38,42]. This discrepancy, apparently, can be attributed to the different behavior of the aerodynamic drag coefficient, which decreases with increasing wind speed in field conditions [14,17,20], while it saturates in laboratory experiments [38,42]. In addition, wave fetches (and wave age) differ dramatically under laboratory and natural conditions, while it was shown in [38] that the enthalpy exchange coefficient drops significantly with an increase in wave age. This fact indicates that, probably, the values of the enthalpy exchange coefficient should be less for the data obtained from field measurements than those observed in laboratory conditions.

Author Contributions

Conceptualization, O.E., N.R., E.P. and Y.T.; methodology, Y.T., O.E. and D.S.; software, N.R. and E.P.; validation, E.P. and N.R.; investigation O.E., N.R. and E.P.; data curation, O.E., N.R. and E.P.; writing—original draft preparation, O.E., N.R. and E.P.; writing—review and editing, O.E., N.R. and E.P.; visualization, O.E., N.R. and E.P.; supervision, Y.T., O.E. and D.S.; funding acquisition, Y.T., O.E., D.S., N.R. and E.P. All authors have read and agreed to the published version of the manuscript.

Funding

This work was carried out under the financial support of the Russian Science Foundation Project No. 21-17-00214.

Informed Consent Statement

Informed consent was obtained from all subjects involved in the study.

Data Availability Statement

The data presented in this study are available upon request from the corresponding author.

Conflicts of Interest

The authors declare that they have no conflict of interest.

References

  1. Emanuel, K.A. A similarity hypothesis for air–sea exchange at extreme wind speeds. J. Atmos. Sci. 2003, 60, 1420–1428. [Google Scholar] [CrossRef]
  2. Drennan, W.M.; Shay, L.K. On the Variability of the Fluxes of Momentum and Sensible Heat. Bound.-Layer Meteorol. 2006, 119, 81–107. [Google Scholar] [CrossRef]
  3. Drennan, W.M.; Graber, H.C.; Hauser, D.; Quentin, C. On the Wave Age Dependence of Wind Stress over Pure Wind Seas’. J. Geophys. Res. 2003, 108, 8062. [Google Scholar] [CrossRef]
  4. McGillis, W.R.; Edson, J.B.; Zappa, C.J.; Ware, J.D.; McKenna, S.P.; Terray, E.A.; Hare, J.E.; Fairall, C.W.; Drennan, W.; Donelan, M.; et al. Air-sea CO2 exchange in the equatorial Pacific. J. Geophys. Res. 2004, 109, C08S02. [Google Scholar] [CrossRef]
  5. Smith, S.D.; Anderson, R.J.; Oost, W.A.; Kraan, C.; Maat, N.; De Cosmo, J.; Katsaros, K.B.; Davidson, K.L.; Bumke, K.; Hasse, L.; et al. Sea surface wind stress and drag coefficients: The hexos results. Bound.-Layer Meteorol. 1992, 60, 109–142. [Google Scholar] [CrossRef]
  6. Katsaros, K.B.; Smith, S.D.; Oost, W.A. HEXOS—Humidity Exchange Over the Sea A Program for Research on Water-Vapor and Droplet Fluxes from Sea to Air at Moderate to High Wind Speeds. Bull. Am. Meteorol. Soc. 1987, 68, 466–476. [Google Scholar] [CrossRef]
  7. Johnson, H.K.; Højstrup, J.; Vested, H.J.; Larsen, S.E. On the Dependence of Sea Surface Roughness on Wind Waves. J. Phys. Oceanogr. 1998, 28, 1702–1716. [Google Scholar] [CrossRef]
  8. Donelan, M.A.; Drennan, W.M.; Katsaros, K.B. The Air–Sea Momentum Flux in Conditions of Wind Sea and Swell. J. Phys. Oceanogr. 1997, 27, 2087–2099. [Google Scholar] [CrossRef]
  9. Drennan, W.M.; Kahma, K.K.; Donelan, M.A. On momentum flux and velocity spectra over waves. Boundary Layer Meteorol. 1999, 92, 489–515. [Google Scholar] [CrossRef]
  10. Fairall, C.W.; Bradley, E.F.; Hare, J.E.; Grachev, A.A.; Edson, J.B. Bulk parameterization of air-seafluxes: Updates and ver-ification for the COARE algorithm. J. Clim. 2003, 16, 571–591. [Google Scholar] [CrossRef]
  11. Edson, J.B.; Jampana, V.; Weller, R.A.; Bigorre, S.P.; Plueddemann, A.J.; Fairall, C.W.; Miller, S.D.; Mahrt, L.; Vickers, D.; Hersbach, H. On the Exchange of Momentum over the open ocean. J. Phys. Oceanogr. 2013, 43, 1589–1610. [Google Scholar] [CrossRef]
  12. Large, W.G.; Pond, S. Open ocean momentum flux measurements in moderate to strong winds. J. Phys. Oceanogr. 1981, 11, 324–336. [Google Scholar] [CrossRef]
  13. Bell, M.M.; Montgomery, M.T.; Emanuel, K.A. Air–sea enthalpy and momentum exchange at major hurricane wind speeds observed during CBLAST. J. Atmos. Sci. 2012, 69, 3197–3222. [Google Scholar] [CrossRef]
  14. Richter, D.H.; Bohac, R.; Stern, D.P. An assessment of the flux profile method for determining air–sea momentum and enthalpy fluxes from dropsonde data in tropical cyclones. J. Atmos. Sci. 2016, 73, 2665–2682. [Google Scholar] [CrossRef]
  15. Donelan, M.A.; Haus, B.K.; Reul, N.; Plant, W.J.; Stiassnie, M.; Graber, H.C.; Brown, O.B.; Saltzman, E.S. On the limiting aerodynamic roughness of the ocean in very strong winds. Geophys. Res. Lett. 2004, 31, L18306. [Google Scholar] [CrossRef]
  16. Takagaki, N.; Komori, S.; Suzuki, N.; Iwano, K.; Kuramoto, T.; Shimada, S.; Kurose, R.; Takahashi, K. Strong correlation between the drag coefficient and the shape of the wind sea spectrum over a broad range of wind speeds. Geophys. Res. Lett. 2012, 39, L23604. [Google Scholar] [CrossRef]
  17. Powell, M.D.; Vickery, P.J.; Reinhold, T.A. Reduced drag coefficient for high wind speeds in tropical cyclones. Nature 2003, 422, 279–283. [Google Scholar] [CrossRef]
  18. Troitskaya, Y.I.; Sergeev, D.A.; Kandaurov, A.A.; Baidakov, G.A.; Vdovin, M.A.; Kazakov, V.I. Laboratory and theoretical modeling of air-sea momentum transfer under severe wind conditions. J. Geophys. Res. 2012, 117, C00J21. [Google Scholar] [CrossRef]
  19. Holthuijsen, L.H.; Powell, M.D.; Pietrzak, J.D. Wind and waves in extreme hurricanes. J. Geophys. Res. 2012, 117, C09003. [Google Scholar] [CrossRef]
  20. Jarosz, E.; Mitchell, D.A.; Wang, D.W.; Teague, W.J. Bottom-Up Determination of Air-Sea Momentum Exchange under a Major Tropical Cyclone. Science 2007, 315, 1707–1709. [Google Scholar] [CrossRef] [PubMed]
  21. Shay, L.K.; Jacob, S.D. Relationship between oceanic energy fluxes and surface winds during tropical cyclone passage. In Atmosphere-Ocean Interactions; Perrie, W., Ed.; WIT Press: Torquay, UK, 2006; Volume 2, pp. 115–137. [Google Scholar]
  22. French, J.R.; Drennan, W.M.; Zhang, J.A.; Black, P.G. Turbulent fluxes in the hurricane boundary layer. Part I: Momentum flux. J. Atmos. Sci. 2007, 64, 1089–1102. [Google Scholar] [CrossRef]
  23. Chen, S.; Qiao, F.; Zhang, J.A.; Xue, Y.; Ma, H.; Chen, S. Observed drag coefficient asymmetry in a tropical cyclone. J. Geophys. Res. 2022, 127, e2021JC018360. [Google Scholar] [CrossRef]
  24. DeCosmo, J.; Katsaros, K.B.; Smith, S.D.; Anderson, R.J.; Oost, W.A.; Bumke, K.; Chadwick, H. Air-sea exchange of water vapor and sensible heat: The Humidity Exchange over the Sea (HEXOS) results. J. Geophys. Res. 1996, 101, 12001–12016. [Google Scholar] [CrossRef]
  25. Banner, M.; Chen, W.; Walsh, E.; Jensen, J.; Lee, S.; Fandry, C. The Southern Ocean Waves Experiment. Part I: Overview and Mean Results. Journal of Physical Oceanography. J. Phys. Oceanogr. 1999, 29, 2130–2145. [Google Scholar] [CrossRef]
  26. Katsaros, K.B.; Donelan, M.A.; Drennan, W.M. Flux measurements from a SWATH ship in SWADE. J. Mar. Syst. 1993, 4, 117–132. [Google Scholar] [CrossRef]
  27. Black, P.G.; D’Asaro, E.A.; Drennan, W.M.; French, J.R.; Niiler, P.P.; Sanford, T.B.; Terrill, E.J.; Walsh, E.J.; Zhang, J.A. Air–sea exchange in hurricanes: Synthesis of observations from the coupled boundary layer air–sea transfer experiment. Bull. Am. Meteorol. Soc. 2007, 88, 357–374. [Google Scholar]
  28. Zhang, J.A.; Black, P.G.; French, J.R.; Drennan, W.M. First direct measurements of enthalpy flux in the hurricane boundary layer: The CBLAST results. Geophys. Res. Lett. 2008, 35, L14813. [Google Scholar] [CrossRef]
  29. Drennan, W.M.; Zhang, J.A.; French, J.R.; McCormick, C.; Black, P.G. Turbulent fluxes in the hurricane boundary layer. Part II: Latent heat flux. J. Atmos. Sci. 2007, 64, 1103–1115. [Google Scholar] [CrossRef]
  30. Haus, B.K.; Jeong, D.; Donelan, M.A.; Zhang, J.A.; Savelyev, I. Relative rates of sea–air heat transfer and frictional drag in very high winds. Geophys. Res. Lett. 2010, 37, L07802. [Google Scholar] [CrossRef]
  31. Jeong, D.; Haus, B.K.; Donelan, M.E. Enthalpy transfer across the air–water interface in high winds including spray. J. Atmos. Sci. 2012, 69, 2733–2748. [Google Scholar] [CrossRef]
  32. Emanuel, K.A. Sensitivity of tropical cyclones to surface exchange coefficients and a revised steady-state model incorporating eye dynamics. J. Atmos. Sci. 1995, 52, 3969–3976. [Google Scholar] [CrossRef]
  33. Hintze, J.O. Turbulence: An Introduction to Its Mechanism and Theory; McGraw-Hill: New York, NY, USA, 1959; p. 586. [Google Scholar]
  34. Poplavsky, E.; Rusakov, N.; Ermakova, O.; Sergeev, D.; Troitskaya, Y. Towards an Algorithm for Retrieval of the Parameters of the Marine Atmospheric Boundary Layer at High Wind Speeds Using Collocated Aircraft and Satellite Remote Sensing. J. Mar. Sci. Eng. 2022, 10, 1136. [Google Scholar] [CrossRef]
  35. Zavadsky, A.; Shemer, L. Characterization of turbulent air flow over evolving water-waves in a wind-wave tank. J. Geophys. Res. 2012, 117, C00J19. [Google Scholar] [CrossRef]
  36. Kandaurov, A.A.; Troitskaya, Y.I.; Sergeev, D.A.; Vdovin, M.I.; Baidakov, G.A. Average velocity field in the air flow over the water surface in laboratory study of the hurricane conditions. Izv. Atmos. Ocean. Phys. 2014, 50, 399–410. [Google Scholar] [CrossRef]
  37. Kudryavtsev, V.N.; Makin, V.K. Aerodynamic roughness of the sea surface at high winds. Bound.-Layer Meteorol. 2007, 125, 289–303. [Google Scholar] [CrossRef]
  38. Troitskaya, Y.; Sergeev, D.; Vdovin, M.; Kandaurov, A.; Ermakova, O.; Takagaki, N. A laboratory study of the effect of surface waves on heat and momentum transfer at high windspeeds. J. Geophys. Res. 2020, 125, e2020JC016276. [Google Scholar] [CrossRef]
  39. Sergeev, D.A.; Troitskaya, Y.I.; Kandaurov, A.A.; Vdovin, M.I. Investigation of Self-Similarity of the Temperature Stratified Turbulent Boundary Layer Over the Wavy Surface in Laboratory Conditions. In Progress in Turbulence IX. iTi Springer Proceedings in Physics; Örlü, R., Talamelli, A., Peinke, J., Oberlack, M., Eds.; Springer: Cham, Switzerland, 2021; Volume 267. [Google Scholar] [CrossRef]
  40. Zilitinkevich, S.S. Theoretical model of turbulent penetrative convection. Izvestija. AN SSSR FAO 1987, 23, 593–610. [Google Scholar]
  41. Kader, B.A.; Yaglom, A.M. Heat and mass transfer laws for fully turbulent wall flows. Int. J. Heat Mass Transf. 1972, 15, 2329–2351. [Google Scholar] [CrossRef]
  42. Komori, S.; Iwano, K.; Takagaki, N.; Onishi, R.; Kurose, R.; Takahashi, K.; Suzuki, N. Laboratory measurements of heat transferand drag coefficients at extremely high wind speeds. J. Phys. Oceanogr. 2018, 48, 959–974. [Google Scholar] [CrossRef]
Figure 1. (a) Three-dimensional illustrations representing the velocity profiles plotted vs. the distance from the center of the hurricane, the wind speed, and the height above sea level measured by the GPS dropsonde sensor. Violet profiles correspond to the hurricane eye, purple profiles correspond to the hurricane eyewall, green profiles were launched in the outer vortex far from the hurricane center and the group of blue profiles correspond to the hurricane part near the eyewall. (b) Location of the selected arrays of the GPS dropsondes (plotted in different colors) relative to the center of the hurricane (marked with a black cross). Dataset for Hurricane Irma, 7 September 2017.
Figure 1. (a) Three-dimensional illustrations representing the velocity profiles plotted vs. the distance from the center of the hurricane, the wind speed, and the height above sea level measured by the GPS dropsonde sensor. Violet profiles correspond to the hurricane eye, purple profiles correspond to the hurricane eyewall, green profiles were launched in the outer vortex far from the hurricane center and the group of blue profiles correspond to the hurricane part near the eyewall. (b) Location of the selected arrays of the GPS dropsondes (plotted in different colors) relative to the center of the hurricane (marked with a black cross). Dataset for Hurricane Irma, 7 September 2017.
Jmse 11 01581 g001
Figure 2. Sea surface temperature from SFMR measurements indicated by colors according to the aircraft’s tracked flight through Hurricane Irma 2017/09/07.
Figure 2. Sea surface temperature from SFMR measurements indicated by colors according to the aircraft’s tracked flight through Hurricane Irma 2017/09/07.
Jmse 11 01581 g002
Figure 3. Individual wind speed profiles for Hurricane Irma 2017/09/07 (see red, yellow, green, and orange colors) and ensemble-averaged wind speed profiles (black color) (a); wind velocity profiles in the aerodynamic flume at different wind speeds for physical variables, dashed curves are logarithmic approximations (b); self-similar variables (c) (reproduced from [18], with permission from John Wiley & Sons, 2012). The solid line represents a logarithmic approximation [18].
Figure 3. Individual wind speed profiles for Hurricane Irma 2017/09/07 (see red, yellow, green, and orange colors) and ensemble-averaged wind speed profiles (black color) (a); wind velocity profiles in the aerodynamic flume at different wind speeds for physical variables, dashed curves are logarithmic approximations (b); self-similar variables (c) (reproduced from [18], with permission from John Wiley & Sons, 2012). The solid line represents a logarithmic approximation [18].
Jmse 11 01581 g003
Figure 4. Ensemble of all considered wind velocity profiles for physical (a) and dimensionless variables (b). Pink curve corresponds to the logarithmic approximation and green curve corresponds to the parabolic approximation (wake part).
Figure 4. Ensemble of all considered wind velocity profiles for physical (a) and dimensionless variables (b). Pink curve corresponds to the logarithmic approximation and green curve corresponds to the parabolic approximation (wake part).
Jmse 11 01581 g004
Figure 5. Dependences of the aerodynamic drag coefficient (a) and dynamic wind speed (b) on 10 m wind speed. The small black open circles correspond to the obtained ensemble averaged values, the large black circles correspond to the binned values, and the bins contain approximately 10 points for averaging. The green squares correspond to the data from [19]; the orange circles: the data from [17], yellow diamonds [13], red triangles [14], and yellow crosses [20].
Figure 5. Dependences of the aerodynamic drag coefficient (a) and dynamic wind speed (b) on 10 m wind speed. The small black open circles correspond to the obtained ensemble averaged values, the large black circles correspond to the binned values, and the bins contain approximately 10 points for averaging. The green squares correspond to the data from [19]; the orange circles: the data from [17], yellow diamonds [13], red triangles [14], and yellow crosses [20].
Jmse 11 01581 g005
Figure 6. Individual enthalpy profiles for the Hurricane Irma 2017/09/08. Different colors correspond to GPS-dropsondes selected for the statistical ensemble.
Figure 6. Individual enthalpy profiles for the Hurricane Irma 2017/09/08. Different colors correspond to GPS-dropsondes selected for the statistical ensemble.
Jmse 11 01581 g006
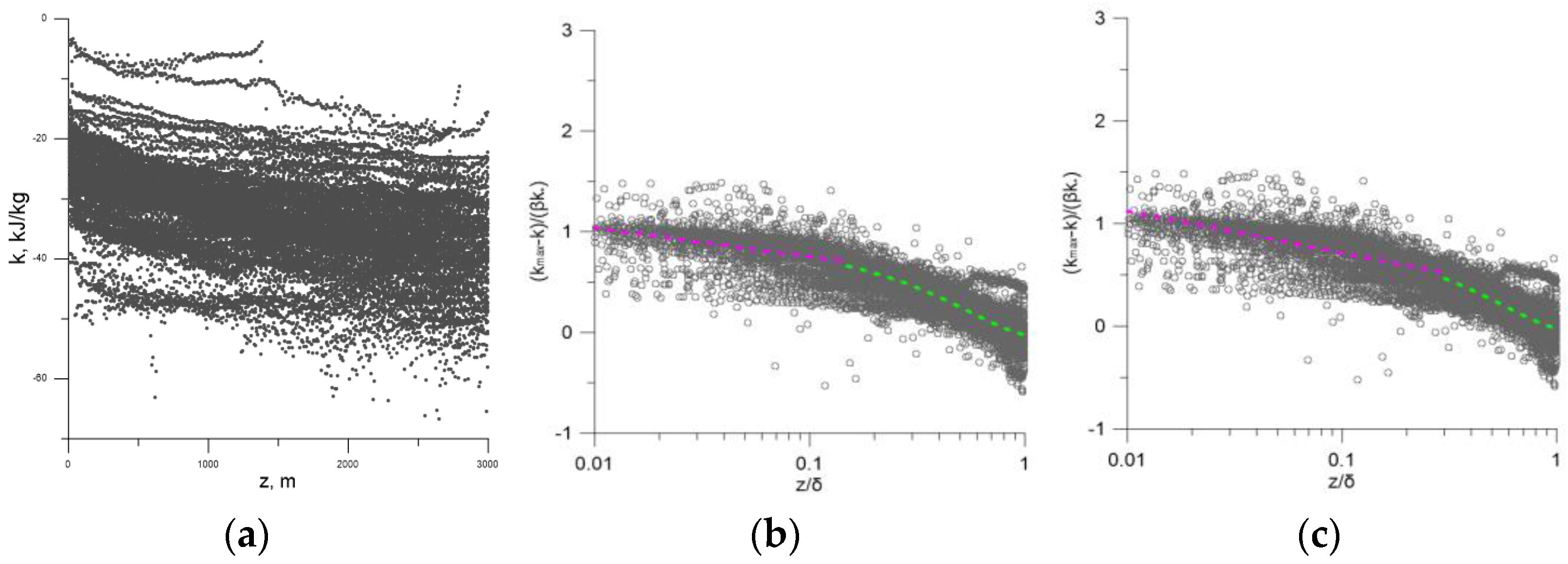
Figure 7. Ensemble of all considered enthalpy profiles for physical (a) and dimensionless variables using the approximation limits z δ = 0.15 (b) and z δ = 0.3 (c). Pink curve corresponds to the logarithmic approximation and green curve corresponds to the parabolic approximation (wake part).
Figure 7. Ensemble of all considered enthalpy profiles for physical (a) and dimensionless variables using the approximation limits z δ = 0.15 (b) and z δ = 0.3 (c). Pink curve corresponds to the logarithmic approximation and green curve corresponds to the parabolic approximation (wake part).
Jmse 11 01581 g007
Figure 8. Dependence of C k (a) and k (b) on wind speed at the meteorological height. The small black open circles correspond to the obtained ensemble averaged values, and the large black circles represent the binned values (bins contain approximately 10 points for averaging) for the approximation limit z δ = 0.15 . The small red open circles correspond to the obtained ensemble-averaged values, and the large red circles represent the binned values (bins contain approximately 10 points for averaging) for the approximation limit z δ = 0.3 . The green diamonds correspond to the data from [13], the orange squares: the data from [14], yellow squares [28], and yellow crosses [31].
Figure 8. Dependence of C k (a) and k (b) on wind speed at the meteorological height. The small black open circles correspond to the obtained ensemble averaged values, and the large black circles represent the binned values (bins contain approximately 10 points for averaging) for the approximation limit z δ = 0.15 . The small red open circles correspond to the obtained ensemble-averaged values, and the large red circles represent the binned values (bins contain approximately 10 points for averaging) for the approximation limit z δ = 0.3 . The green diamonds correspond to the data from [13], the orange squares: the data from [14], yellow squares [28], and yellow crosses [31].
Jmse 11 01581 g008
Figure 9. Dependence of enthalpy roughness k / ( k ( 10 ) - k ( 0 ) ) (a) and C k / C D ratio (b) on the wind speed at the meteorological height. Black circles correspond to the obtained binned values for the approximation limit z δ = 0.15 . Red circles correspond to the binned values for the approximation limit z δ = 0.3 . Green diamonds correspond to the data from [13], orange squares—the data from [14], yellow squares [28], and yellow crosses [31].
Figure 9. Dependence of enthalpy roughness k / ( k ( 10 ) - k ( 0 ) ) (a) and C k / C D ratio (b) on the wind speed at the meteorological height. Black circles correspond to the obtained binned values for the approximation limit z δ = 0.15 . Red circles correspond to the binned values for the approximation limit z δ = 0.3 . Green diamonds correspond to the data from [13], orange squares—the data from [14], yellow squares [28], and yellow crosses [31].
Jmse 11 01581 g009
Table 1. List of selected TCs, GPS dropsondes, and SFMR acquisition time.
Table 1. List of selected TCs, GPS dropsondes, and SFMR acquisition time.
TC NameCategoryGPS Dropsonde Acquisition Time (UTC)SFMR Acquisition Time
Lily42002/10/022002/10/02 01:58:12–11:23:55 UTC
2002/10/032002/10/03 12:58:12–20:24:50 UTC
Frances42004/08/30
2004/08/312004/08/31 14:53:12–21:41:55 UTC
2004/09/01
2004/09/022004/09/02 14:10:12–23:05:55 UTC
Dennis42005/07/08
2005/07/09
2005/07/10
Ike42008/09/062008/09/06 03:18:53–23:59:59 UTC
2008/09/072008/09/07 00:00:00–21:27:59 UTC
Omar42008/11/08
Paloma42008/11/082008/11/08 12:09:06–21:27:22 UTC
Bill42009/08/192009/08/19 00:00:00–23:59:59 UTC
2009/08/202009/08/20 00:00:00–23:59:59 UTC
Fabian42003/09/01
2003/09/02
2003/09/03
2003/09/04
2003/09/05
Gustav42008/08/302008/08/30 03:02:38–23:59:59 UTC
2008/08/312008/08/31 00:00:00–23:59:59 UTC
Earl42010/08/302010/08/30 00:00:00–23:59:59 UTC
2010/08/312010/08/31 00:00:00–23:59:59 UTC
2010/09/012010/09/01 00:00:00–09:40:03 UTC
2010/09/022010/09/02 02:13:31–23:59:59 UTC
Katia42011/09/06
Gonzalo42014/10/162014/10/16 00:00:00–23:59:59 UTC
2014/10/16 07:45:10–17:26:48 UTC
2014/10/172014/10/17 00:00:00–09:59:59 UTC
2014/10/17 07:44:29–18:31:50 UTC
Joaquin42015/10/01
2015/10/022015/10/02 00:00:00–23:59:59 UTC
Harvey42017/08/26
Florence42018/09/09
2018/09/10
2018/09/11
2018/09/12
Isabel52003/09/122003/09/12 15:03:12–22:10:55 UTC
2003/09/132003/09/13 14:52:12–21:25:55 UTC
2003/09/142003/09/12 14:52:12–22:18:50 UTC
2003/09/15
2003/09/16
2003/09/17
2003/09/18
Dean52007/08/17
2007/08/19
2007/08/20
2007/08/21
2007/08/22
Katrina52005/08/272005/08/27 13:21:31–21:20:40 UTC
2005/08/282005/08/28 16:08:51–23:59:59 UTC
Maria52017/09/202017/09/23 01:12:01–15:32:11 UTC
2017/09/222017/09/22 08:04:19–23:59:59 UTC
2017/09/22 18:06:30–23:59:59 UTC
2017/09/232017/09/23 00:20:00–05:54:37 UTC
2017/09/23 00:00:00–23:59:59 UTC
2017/09/242017/09/24 09:02:11–17:46:19 UTC
2017/09/24 00:00:00–23:59:59 UTC
2017/09/252017/09/25 09:12:13–23:59:59 UTC
2017/09/25 00:00:00–23:59:59 UTC
2017/09/262017/09/26 00:00:00–05:18:14 UTC
2017/09/26 00:00:00–23:59:59 UTC
Matthew52016/10/012016/10/01 11:35:12–14:46:15 UTC
2016/10/042016/10/04 22:48:38–23:59:59 UTC
2016/10/062016/09/06 00:00:00–14:42:46 UTC
2016/10/07
2016/10/08
2016/09/292016/09/29 00:00:00–23:59:59 UTC
Patricia52015/10/232015/10/23 00:00:00–10:00:41 UTC
Rita52005/09/212005/09/21 13:50:01–21:16:30 UTC
2005/09/222005/09/22 15:30:11–22:31:20 UTC
2005/09/232005/09/23 14:39:31–23:59:59 UTC
2005/09/23 15:20:41–23:14:05 UTC
Wilma52005/10/20
2005/10/21
2005/10/222005/10/22 15:33:21–23:59:59 UTC
2005/10/232005/10/22 00:00:00–22:29:40 UTC
Irma52017/09/04
2017/09/05
2017/09/06
2017/09/07
2017/09/08
2017/09/09
Ivan52004/09/132004/09/13 19:57:12–23:59:59 UTC
2004/09/142004/09/14 00:00:00–23:59:59 UTC
2004/09/152004/09/15 00:00:00–23:59:59 UTC
Jose52017/09/18
2017/09/192017/09/19 19:20:26–23:59:59 UTC
2017/09/202017/09/20 00:00:00–23:59:59 UTC
Disclaimer/Publisher’s Note: The statements, opinions and data contained in all publications are solely those of the individual author(s) and contributor(s) and not of MDPI and/or the editor(s). MDPI and/or the editor(s) disclaim responsibility for any injury to people or property resulting from any ideas, methods, instructions or products referred to in the content.

Share and Cite

MDPI and ACS Style

Ermakova, O.; Rusakov, N.; Poplavsky, E.; Sergeev, D.; Troitskaya, Y. Air–Sea Enthalpy and Momentum Exchange Coefficients from GPS Dropsonde Measurements in Hurricane Conditions. J. Mar. Sci. Eng. 2023, 11, 1581. https://doi.org/10.3390/jmse11081581

AMA Style

Ermakova O, Rusakov N, Poplavsky E, Sergeev D, Troitskaya Y. Air–Sea Enthalpy and Momentum Exchange Coefficients from GPS Dropsonde Measurements in Hurricane Conditions. Journal of Marine Science and Engineering. 2023; 11(8):1581. https://doi.org/10.3390/jmse11081581

Chicago/Turabian Style

Ermakova, Olga, Nikita Rusakov, Evgeny Poplavsky, Daniil Sergeev, and Yuliya Troitskaya. 2023. "Air–Sea Enthalpy and Momentum Exchange Coefficients from GPS Dropsonde Measurements in Hurricane Conditions" Journal of Marine Science and Engineering 11, no. 8: 1581. https://doi.org/10.3390/jmse11081581

APA Style

Ermakova, O., Rusakov, N., Poplavsky, E., Sergeev, D., & Troitskaya, Y. (2023). Air–Sea Enthalpy and Momentum Exchange Coefficients from GPS Dropsonde Measurements in Hurricane Conditions. Journal of Marine Science and Engineering, 11(8), 1581. https://doi.org/10.3390/jmse11081581

Note that from the first issue of 2016, this journal uses article numbers instead of page numbers. See further details here.

Article Metrics

Back to TopTop