Study on the Vibration Characteristics of Marine Riser Based on Flume Experiment and Numerical Simulation
Abstract
1. Introduction
2. Flume Experiment of Riser
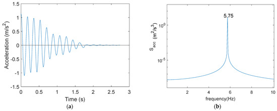
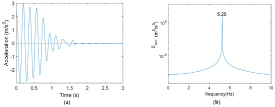
2.1. Single Riser Natural Vibration Characteristics Test
2.2. Vortex-Shedding Parameters of the Riser
2.3. Flume Experiment and Analysis of Vibration Response of Single Riser
2.4. Floating Platform with Suspended Riser System Flume Experiment and Analysis
3. Numerical Simulation
3.1. Single Riser Modal Analysis and Response Analysis
3.2. Numerical Simulation of Floating Platform and Suspension Riser System
4. Conclusions
Author Contributions
Funding
Institutional Review Board Statement
Informed Consent Statement
Data Availability Statement
Acknowledgments
Conflicts of Interest
Appendix A
| Parameter | Size (m) | Parameter | Size (m) |
|---|---|---|---|
| Platform pontoon | Platform column | ||
| Length | 0.38 | Height of column | 0.2 |
| Width | 0.067 | Length of column | 0.053 |
| Height | 0.05 | Width of column | 0.058 |
| Deck | Brace | ||
| Deck width | 0.387 | Length of brace | 0.142 |
| Deck length | 0.372 | Section radius | 0.004 |
References
- Abbas, S.M.; Alhassany, H.D.S.; Vera, D.; Jurado, F. Review of enhancement for ocean thermal energy conversion system. J. Ocean. Eng. Sci. 2022. [CrossRef]
- Zhang, W.; Li, Y.; Wu, X.; Guo, S. Review of the applied mechanical problems in ocean thermal energy conversion. Renew. Sustain. Energy Rev. 2018, 93, 231–244. [Google Scholar] [CrossRef]
- Blevins, R.D. Flow-Induced Vibration. New York. 1977. Available online: https://ui.adsabs.harvard.edu/abs/1977vnr..book.....B/abstract (accessed on 1 May 2023).
- Van Dyke, M. An Album of Fluid Motion; Parabolic Press Stanford: Stanford, CA, USA, 1982. [Google Scholar]
- Coutanceau, M.; Defaye, J.-R. Circular Cylinder Wake Configurations: A Flow Visualization Survey. Appl. Mech. Rev. 1991, 44, 255–305. [Google Scholar] [CrossRef]
- Liu, G.; Li, H.; Qiu, Z.; Leng, D.; Li, Z.; Li, W. A mini review of recent progress on vortex-induced vibrations of marine risers. Ocean Eng. 2020, 195, 106704. [Google Scholar] [CrossRef]
- Williamson, C.; Govardhan, R. A brief review of recent results in vortex-induced vibrations. J. Wind Eng. Ind. Aerodyn. 2008, 96, 713–735. [Google Scholar] [CrossRef]
- Birkhoff, G. Jets, Wakes, and Cavities; Elsevier: Amsterdam, The Netherlands, 2012. [Google Scholar]
- Zanganeh, H.; Srinil, N. Three-dimensional VIV prediction model for a long flexible cylinder with axial dynamics and mean drag magnifications. J. Fluids Struct. 2016, 66, 127–146. [Google Scholar] [CrossRef]
- Saravanan, R.; Bhattacharya, S.; Ramana Murthy, M. Dynamic Behaviour of Inverted Catenary Cold Water Pipelines for Seawater Desalination Project. In Proceedings of the Fourth International Conference in Ocean Engineering (ICOE2018); Springer: Singapore, 2019; Volume 2, pp. 463–477. [Google Scholar] [CrossRef]
- Adiputra, R.; Utsunomiya, T. Stability based approach to design cold-water pipe (CWP) for ocean thermal energy conversion (OTEC). Appl. Ocean Res. 2019, 92, 101921. [Google Scholar] [CrossRef]
- Prawira, M.Z.; Koto, J. Vortex Induced Vibration on Cold Water Pipe of OTEC. In Proceedings of the 11th International Conference on Marine Technology, MARTEC, Kuala Lumpur, Malaysia, 13–14 August 2018; pp. 33–41. [Google Scholar]
- Wang, J.; Fu, S.; Wang, J.; Li, H.; Ong, M.C. Experimental investigation on vortex-induced vibration of a free-hanging riser under vessel motion and uniform current. J. Offshore Mech. Arct. Eng. 2017, 139, 4. [Google Scholar] [CrossRef]
- Duanmu, Y.; Zou, L.; Wan, D. Numerical analysis of multi-modal vibrations of a vertical riser in step currents. Ocean Eng. 2018, 152, 428–442. [Google Scholar] [CrossRef]
- Song, L.; Fu, S.; Cao, J.; Ma, L.; Wu, J. An investigation into the hydrodynamics of a flexible riser undergoing vortex-induced vibration. J. Fluids Struct. 2016, 63, 325–350. [Google Scholar] [CrossRef]
- Pavlovskaia, E.; Keber, M.; Postnikov, A.; Reddington, K.; Wiercigroch, M. Multi-modes approach to modelling of vortex-induced vibration. Int. J. Non-Linear Mech. 2016, 80, 40–51. [Google Scholar] [CrossRef]
- Srinil, N. Multi-mode interactions in vortex-induced vibrations of flexible curved/straight structures with geometric nonlinearities. J. Fluids Struct. 2010, 26, 1098–1122. [Google Scholar] [CrossRef]
- Duanmu, Y.; Zou, L.; Wan, D.-C. Numerical simulations of vortex-induced vibrations of a flexible riser with different aspect ratiosin uniform and shear currents. J. Hydrodyn. Ser. B 2017, 29, 1010–1022. [Google Scholar] [CrossRef]
- Yunqing, S.; Zhiqiang, W.; Guoqi, Z. Bifurcation Analysis of Dual-Mode Dynamics for Marine Risers. Appl. Math. Mech. 2020, 41, 480. [Google Scholar] [CrossRef]
- Norberg, C. Fluctuating lift on a circular cylinder: Review and new measurements. J. Fluids Struct. 2003, 17, 57–96. [Google Scholar] [CrossRef]




















| Velocity (m/s) | Reynolds Number | Reduced Velocity | Acceleration RMS (m/s2) | Vibration Frequency (Hz) |
|---|---|---|---|---|
| 0.263 | 4208 | 3.13 | 0.59 | 3.56 |
| 0.316 | 5056 | 3.76 | 0.83 | 4.48 |
| 0.392 | 6272 | 4.67 | 1.49 | 4.99 |
| 0.435 | 6960 | 5.18 | 3.66 | 5.26 |
| 0.494 | 7904 | 5.88 | 2.00 | 5.41 |
| 0.546 | 8736 | 6.50 | 1.37 | 5.40 |
| 0.605 | 9680 | 7.20 | 1.18 | 5.31 |
| 0.676 | 10,816 | 8.05 | 0.97 | 5.39 |
| 0.746 | 11,936 | 8.88 | 0.79 | 5.37 |
| 0.79 | 12,640 | 9.40 | 0.77 | 5.35 |
| Velocity (m/s) | Reynolds Number | Reduced Velocity | Riser Acceleration RMS (m/s2) | Platform Acceleration RMS (m/s2) | Riser Frequency (Hz) | Platform Frequency (Hz) |
|---|---|---|---|---|---|---|
| 0.263 | 4208 | 3.13 | 0.46 | 0.29 | 3.63 | 5.38 |
| 0.316 | 5056 | 3.76 | 0.60 | 0.29 | 3.59 | 5.31 |
| 0.392 | 6272 | 4.67 | 3.29 | 1.47 | 3.90 | 3.94 |
| 0.435 | 6960 | 5.18 | 1.70 | 0.87 | 4.13 | 4.16 |
| 0.494 | 7904 | 5.88 | 1.63 | 0.89 | 4.68 | 4.41 |
| 0.546 | 8736 | 6.50 | 1.39 | 0.60 | 5.31 | 4.34 |
| 0.605 | 9680 | 7.20 | 0.90 | 0.61 | 4.68 | 4.75 |
| 0.676 | 10,816 | 8.05 | 0.77 | 0.55 | 4.75 | 5.37 |
| 0.746 | 11,936 | 8.88 | 0.73 | 0.64 | 5.13 | 5.31 |
| 0.790 | 12,640 | 9.40 | 0.80 | 0.65 | 5.31 | 5.31 |
| Velocity (m/s) | Reynolds Number | Reduced Velocity | Acceleration RMS (m/s2) | Vibration Frequency (Hz) |
|---|---|---|---|---|
| 0.263 | 4208 | 3.13 | 0.53 | 3.88 |
| 0.316 | 5056 | 3.76 | 0.65 | 4.25 |
| 0.392 | 6272 | 4.67 | 1.35 | 5.11 |
| 0.435 | 6960 | 5.18 | 3.15 | 5.58 |
| 0.494 | 7904 | 5.88 | 1.56 | 5.59 |
| 0.546 | 8736 | 6.50 | 1.30 | 5.63 |
| 0.605 | 9680 | 7.20 | 0.98 | 5.8 |
| 0.676 | 10,816 | 8.05 | 0.75 | 6.56 |
| 0.746 | 11,936 | 8.88 | 0.71 | 7 |
| 0.790 | 12,640 | 9.40 | 0.65 | 7.31 |
| Velocity (m/s) | Reynolds Number | Reduced Velocity | Riser Acceleration RMS (m/s2) | Platform Acceleration RMS (m/s2) | Riser Frequency (Hz) | Platform Frequency (Hz) |
|---|---|---|---|---|---|---|
| 0.263 | 4208 | 3.13 | 0.42 | 0.26 | 2.93 | 3.1 |
| 0.316 | 5056 | 3.76 | 0.55 | 0.26 | 3.1 | 3.28 |
| 0.392 | 6272 | 4.67 | 1.58 | 0.82 | 3.63 | 3.75 |
| 0.435 | 6960 | 5.18 | 2.92 | 1.34 | 3.9 | 3.91 |
| 0.494 | 7904 | 5.88 | 1.51 | 0.8 | 4.32 | 4.53 |
| 0.546 | 8736 | 6.50 | 1.3 | 0.57 | 4.62 | 4.88 |
| 0.605 | 9680 | 7.20 | 0.85 | 0.56 | 5.08 | 5.37 |
| 0.676 | 10,816 | 8.05 | 0.68 | 0.49 | 5.61 | 5.89 |
| 0.746 | 11,936 | 8.88 | 0.69 | 0.57 | 6.08 | 6.37 |
| 0.79 | 12,640 | 9.40 | 0.74 | 0.59 | 6.44 | 6.73 |
Disclaimer/Publisher’s Note: The statements, opinions and data contained in all publications are solely those of the individual author(s) and contributor(s) and not of MDPI and/or the editor(s). MDPI and/or the editor(s) disclaim responsibility for any injury to people or property resulting from any ideas, methods, instructions or products referred to in the content. |
© 2023 by the authors. Licensee MDPI, Basel, Switzerland. This article is an open access article distributed under the terms and conditions of the Creative Commons Attribution (CC BY) license (https://creativecommons.org/licenses/by/4.0/).
Share and Cite
Cai, Q.; Li, Z.; Chan, R.W.K.; Luo, H.; Duan, G.; Huang, B.; Wu, H. Study on the Vibration Characteristics of Marine Riser Based on Flume Experiment and Numerical Simulation. J. Mar. Sci. Eng. 2023, 11, 1316. https://doi.org/10.3390/jmse11071316
Cai Q, Li Z, Chan RWK, Luo H, Duan G, Huang B, Wu H. Study on the Vibration Characteristics of Marine Riser Based on Flume Experiment and Numerical Simulation. Journal of Marine Science and Engineering. 2023; 11(7):1316. https://doi.org/10.3390/jmse11071316
Chicago/Turabian StyleCai, Qiurui, Zhengnong Li, Ricky W. K. Chan, Han Luo, Guodi Duan, Bin Huang, and Honghua Wu. 2023. "Study on the Vibration Characteristics of Marine Riser Based on Flume Experiment and Numerical Simulation" Journal of Marine Science and Engineering 11, no. 7: 1316. https://doi.org/10.3390/jmse11071316
APA StyleCai, Q., Li, Z., Chan, R. W. K., Luo, H., Duan, G., Huang, B., & Wu, H. (2023). Study on the Vibration Characteristics of Marine Riser Based on Flume Experiment and Numerical Simulation. Journal of Marine Science and Engineering, 11(7), 1316. https://doi.org/10.3390/jmse11071316

