Sign in to use this feature.

Years

Between: -

Subjects

remove_circle_outline
remove_circle_outline
remove_circle_outline
remove_circle_outline
remove_circle_outline
remove_circle_outline
remove_circle_outline
remove_circle_outline
remove_circle_outline

Journals

Article Types

Countries / Regions

remove_circle_outline
remove_circle_outline
remove_circle_outline

Search Results (378)

Search Parameters:
Keywords = flume experiment

Order results
Result details
Results per page
Select all
Export citation of selected articles as:
24 pages, 2235 KB  
Article
Check Dam Breach-Induced Amplification of Debris Flows: Insights from Field Investigations and Flume Experiments
by Yu Wang, Yukun Wang, Yanjie Ma, Jinyan Huang, Yakun Yin, Ziyang Xiao, Xingrong Liu and Boyu Li
Appl. Sci. 2026, 16(9), 4081; https://doi.org/10.3390/app16094081 - 22 Apr 2026
Viewed by 100
Abstract
While check dams are crucial for debris flow mitigation, they face increasing failure risks under extreme weather and seismic activities. Their collapse can severely amplify debris flow magnitude, yet quantitative understanding of this amplification mechanism remains limited. Based on field investigations in southern [...] Read more.
While check dams are crucial for debris flow mitigation, they face increasing failure risks under extreme weather and seismic activities. Their collapse can severely amplify debris flow magnitude, yet quantitative understanding of this amplification mechanism remains limited. Based on field investigations in southern Gansu, China, and a total of 12 flume experiments (comprising 11 distinct scenarios and 1 representative repeatability test), this study quantitatively assesses the amplification effect of dam breaches under varying channel slopes, check dam types, and bed conditions. Results indicate that dam-breach debris flow evolution comprises three stages: material initiation and deposition, breaching and material release, and recession. Crucially, dam breaching shifts the initiation mode from progressive retrogressive erosion to a near-instantaneous release of mass and potential energy. Compared to no-dam scenarios, breaches amplified peak discharge, erosion rate, and downstream inundated area by factors of 1.65–3.04, 1.44–1.55, and 2.14–2.77, respectively. This amplification is driven by the rapid initial release of material and energy, compounded by erosional entrainment during the transport phase. Furthermore, check dam type and channel slope act as key controlling factors. By revealing how check dams transition from protective structures to hazard sources, this study provides quantitative experimental evidence for optimizing dam design and advancing resilient disaster risk reduction strategies in mountainous regions. Full article
(This article belongs to the Special Issue Recent Research in Frozen Soil Mechanics and Cold Regions Engineering)
24 pages, 9055 KB  
Article
Dynamic Motion Characteristics of Floating Structures with Tuned Liquid Multiple-Column Dampers
by Bo-Jun Wang, Wen-Kai Weng and Ta-Wei Lin
Water 2026, 18(7), 846; https://doi.org/10.3390/w18070846 - 1 Apr 2026
Viewed by 279
Abstract
The pitch motion of offshore floating structures induced by wave loading is a critical design issue affecting operational safety and performance. The focus of this investigation was a tuned liquid multiple-column damper (TLMCD), which employed multiple interconnected liquid columns to enhance vibration mitigation [...] Read more.
The pitch motion of offshore floating structures induced by wave loading is a critical design issue affecting operational safety and performance. The focus of this investigation was a tuned liquid multiple-column damper (TLMCD), which employed multiple interconnected liquid columns to enhance vibration mitigation within a fixed structural footprint. The coupled equations of motion for a floating structure integrated with a TLMCD were derived, and a two-dimensional numerical model based on potential flow theory, the boundary element method, and linear wave theory was developed and validated through wave flume experiments. Parametric studies were conducted to examine the effects of key design parameters, including the liquid column water level and structural draft, on surge, heave, pitch, and liquid dynamic responses. The results indicated that, under a two-column TLMCD configuration, the pitch motion was reduced by approximately 75% compared with the no-damper case, and a further reduction was achieved by increasing the number of vertical liquid columns. The liquid column water level was identified as the dominant parameter governing pitch mitigation, whereas the structural draft primarily influenced the heave response. Overall, the results demonstrated that TLMCDs provide effective and practical motion-control capability for floating structures with limited installation space. Full article
(This article belongs to the Special Issue Hydrology and Hydrodynamics Characteristics in Coastal Area)
Show Figures

Figure 1

15 pages, 1794 KB  
Article
Numerical Investigation of Fish Egg Movement Under Slow- and Rapid-Flow Conditions
by Yizhe Wang, Junqiang Lin, Zhenji Liu, Di Zhang, Boran Zhu and Yufeng Ren
Water 2026, 18(7), 836; https://doi.org/10.3390/w18070836 - 31 Mar 2026
Viewed by 253
Abstract
To investigate the movement characteristics of fish eggs and to clarify their movement behavior as flow conditions transition from slow to rapid, a hydrodynamics-based fish egg movement model was proposed. Indoor flume experiments under slow-flow conditions conducted previously by the research group were [...] Read more.
To investigate the movement characteristics of fish eggs and to clarify their movement behavior as flow conditions transition from slow to rapid, a hydrodynamics-based fish egg movement model was proposed. Indoor flume experiments under slow-flow conditions conducted previously by the research group were used as a basis. Twenty-three operating conditions with different water depths and discharges were designed, including fifteen rapid-flow conditions and eight slow-flow conditions. Numerical simulations were performed to examine the influence of flow velocity on fish egg movement under different flow conditions. The results show that fish eggs drift with the flow under different flow conditions, and their longitudinal velocity lags behind the flow velocity. At low flow velocities, the vertical velocity distribution of fish eggs is relatively concentrated. With increasing flow velocity, the vertical velocity becomes more dispersed in the high-velocity range. A power–law relationship exists between flow velocity and the trajectory slope of fish egg movement. When the flow velocity is lower than 0.5 m/s, the trajectory slope varies significantly with flow velocity; when it exceeds 1.2 m/s, the slope approaches a constant value. Water depth has a limited influence on fish egg velocity and trajectory slope under both slow-flow and rapid-flow conditions. By combining the relationships among flow velocity, trajectory slope, and suspension rate, a flow velocity of 0.3 m/s is identified as the critical flow velocity for maintaining the safe drifting of fish eggs. The findings provide technical support for ecological operation strategies aimed at fishery resource conservation. Full article
(This article belongs to the Special Issue Ecohydraulics and Fish Behavior Simulation)
Show Figures

Figure 1

18 pages, 4322 KB  
Article
Experimental Investigation of the Local Scour Characteristics of Pipelines Crossing Rivers
by Qian Yang and Qinghua Yang
Water 2026, 18(7), 821; https://doi.org/10.3390/w18070821 - 30 Mar 2026
Viewed by 331
Abstract
Accurate prediction of burial depth and suspended length for oil and gas pipelines crossing rivers is critical for ensuring structural integrity. Systematic flume experiments were employed to examine local scour under varying hydrodynamic conditions, emphasizing relationships between scour hole expansion rate and flow [...] Read more.
Accurate prediction of burial depth and suspended length for oil and gas pipelines crossing rivers is critical for ensuring structural integrity. Systematic flume experiments were employed to examine local scour under varying hydrodynamic conditions, emphasizing relationships between scour hole expansion rate and flow velocity, water depth, and pipe diameter. Bedload transport predominantly governs riverbed evolution and scour hole development. Larger pipe diameters significantly reduce scour hole formation beneath the pipeline. Vertical expansion rate peaks immediately upon initial erosion, then progressively declines due to canalized flow, while cumulative scour depth continues increasing. Vertical dynamics at the pipe bottom conform to a first-order dynamic response equation, yielding a normalized time-dependent scour depth equation. Ultimate scour depth is collectively influenced by hydraulic parameters, pipe diameter, and sediment characteristics. Dimensionless correlations among scour depth, relative sediment size, and Froude number (Fr) were established via Gauss–Seidel iteration. Horizontal expansion exhibits distinct regimes: single-phase dominates at Fr > 0.6, whereas a secondary phase emerges at Fr ≤ 0.6. Integrating experimental data with empirical vertical expansion models, we propose a comprehensive horizontal scour expansion calculation model. These findings provide substantive insights into scour evolution mechanics and directly inform safety assessments for river-crossing pipelines. Full article
(This article belongs to the Section Hydraulics and Hydrodynamics)
Show Figures

Figure 1

19 pages, 10214 KB  
Article
Evolution of Turbulent-Structure Scale Distribution in Decelerating Open-Channel Flow
by Qian Mei, Peng Zhang, Yongqiang Wang, Shangwu Liu and Jiang Hu
Water 2026, 18(7), 815; https://doi.org/10.3390/w18070815 - 29 Mar 2026
Viewed by 323
Abstract
To investigate the evolution of turbulent-structure scales in decelerating open-channel flow, this study uses a high-frequency particle image velocimetry system in combination with a 28 m high-precision variable-slope flume to conduct controlled flume experiments. The analysis includes cross-sectional specific energy, velocity profiles, turbulence [...] Read more.
To investigate the evolution of turbulent-structure scales in decelerating open-channel flow, this study uses a high-frequency particle image velocimetry system in combination with a 28 m high-precision variable-slope flume to conduct controlled flume experiments. The analysis includes cross-sectional specific energy, velocity profiles, turbulence intensity, Reynolds stress, cross-correlation, and power spectral density. The study examines the turbulent statistical characteristics of decelerating flow and the evolution of turbulent-structure scale distributions during streamwise development. The results show that the velocity profile within the decelerating-flow region generally follows a logarithmic distribution, whereas the outer-region velocity profile gradually deviates from the logarithmic law as water depth increases. Compared with uniform open-channel flow, decelerating flow exhibits significantly higher turbulence intensities and Reynolds-stress levels. During flow development, turbulent structures maintain stronger spatial coherence, with spatial correlation increasing as water depth increases. As the nonuniformity coefficient γ increases, the turbulent-structure scale distribution shifts from bimodal to unimodal. Across the measured sections, the dominant turbulent-structure scales range approximately from λ/H = 2.5 to 20, over the ranges Reτ = 596–849 and γ = 1.2–2.8. During downstream development, turbulent kinetic energy increases progressively and is redistributed from large and small scales toward intermediate scales. These results provide new insight into turbulence-scale redistribution in decelerating open-channel flow. Full article
(This article belongs to the Special Issue Advances in Open-Channel Flow Hydrodynamics)
Show Figures

Figure 1

24 pages, 3580 KB  
Article
Wave-Induced Seabed Pore Pressure and Forces on a Buried Pipeline Under Cross-Shore Profile Evolution
by Musheng Yang, Jiaqi Xiong, Titi Sui, Youjia Li, Min Lou and Yangyang Wang
J. Mar. Sci. Eng. 2026, 14(7), 606; https://doi.org/10.3390/jmse14070606 - 25 Mar 2026
Viewed by 340
Abstract
In view of the complex seabed response and pipeline force characteristics induced by wave loading and long-term cross-shore profile evolution on shoreward submarine pipelines, this study investigates the coupled effects of profile evolution, burial depth, and pipeline angle on the surrounding seabed and [...] Read more.
In view of the complex seabed response and pipeline force characteristics induced by wave loading and long-term cross-shore profile evolution on shoreward submarine pipelines, this study investigates the coupled effects of profile evolution, burial depth, and pipeline angle on the surrounding seabed and resulting wave-induced forces. Physical model experiments were conducted in a wave flume under irregular wave conditions. A controlled variable design was adopted, dividing the experiments into five main groups and 17 subgroups based on the pipeline angle, initial burial depth, and seabed topography at different evolution stages. Pore pressure around the pipeline and wave height were measured synchronously, and seabed topography was scanned using a laser system. The results show that increasing the initial burial depth reduces both pore pressure and forces on the pipeline. Under cross-shore profile evolution, pore pressure and forces in sedimentation zones are lower and decrease further with continued evolution, whereas the opposite trend is observed in erosion zones. Changes in pipeline angle induce an asymmetric pore pressure distribution around the pipeline, with the resultant force first decreasing and then increasing. The direction of the resultant force shows greater rotation amplitude in sedimentation zones while, in erosion zones, the direction remains more concentrated. In sedimentation zones, pore pressure decreases and force changes are relatively gradual; in erosion zones, pore pressure increases and force changes are more pronounced. Overall, the variations in force direction and magnitude exhibit distinct characteristics depending on the zone type. These findings provide a scientific basis for the rational design of shoreward pipelines, enabling stability and safety optimization through integration with cross-shore profile evolution patterns, reducing engineering risks, and enhancing the economic viability and reliability of nearshore pipeline projects. Full article
(This article belongs to the Section Ocean Engineering)
Show Figures

Figure 1

19 pages, 23636 KB  
Article
A Comparison of Sedimentary Characteristics and Architecture Between Sand-Rich and Mud-Rich Deltas: Insights from Flume Experiments
by Junling Liu, Taiju Yin, Youjing Wang, Shengqian Liu, Wenjie Feng, Zhicheng Zhou and You Qi
J. Mar. Sci. Eng. 2026, 14(7), 593; https://doi.org/10.3390/jmse14070593 - 24 Mar 2026
Viewed by 296
Abstract
Existing studies have extensively investigated sand-rich shallow-water deltas. However, the sedimentary characteristics and internal architecture of mud-rich deltas remain poorly understood. In this study, two comparative flume experiments were conducted with sand–mud ratio as the key variable. High-resolution topographic data were acquired using [...] Read more.
Existing studies have extensively investigated sand-rich shallow-water deltas. However, the sedimentary characteristics and internal architecture of mud-rich deltas remain poorly understood. In this study, two comparative flume experiments were conducted with sand–mud ratio as the key variable. High-resolution topographic data were acquired using a laser scanner to extract geometric parameters of the architectural elements. Three-dimensional architectural models were established and validated against the Ganjiang Delta (sand-rich) and the Ouchi River Delta (mud-rich) in China. The results reveal contrasting depositional styles: sand-rich deltas develop dense, laterally migrating braided channels with broad fan-shaped morphologies, forming blanket-like geometries that consist of vertically stacked and laterally amalgamated channel complexes with good connectivity; mud-rich deltas are characterized by stable channels with limited bifurcation, forming elongated finger-like morphologies with isolated, ribbon-like channel–mouth bar complexes that exhibit strong lateral heterogeneity and poor connectivity. These contrasting behaviors are governed by sediment cohesion: non-cohesive sands promote channel migration and dispersion, whereas cohesive silt and mud stabilize channels and focus sediment transport along main conduits. The experimental models successfully reproduce natural delta end-members, confirming the universal control of the sand–mud ratio. The established quantitative relationships provide a predictive basis for subsurface reservoir characterization and the formulation of differentiated development strategies. Full article
Show Figures

Figure 1

19 pages, 4815 KB  
Article
Comparison of Hydraulic Behavior of Single-Baffled Block Stepped Spillways Between Regular and Irregular Designs
by Hassan Jasim Alrikaby, Abdul-Hassan K. Al-Shukur, Ahmed Mageed Hussein, Halah Kadhim Tayyeh, Brahim Benzougagh, Qosai S. Radi Marshdi, Amnah Alasqah and Khaled Mohamed Khedher
Water 2026, 18(5), 629; https://doi.org/10.3390/w18050629 - 6 Mar 2026
Viewed by 383
Abstract
This study evaluated the hydraulic performance of regular and irregular stepped spillways experimentally to reduce the hydraulic leap length and enhance energy dissipation. The study tested fourteen physical models with 40° and 45° slopes and step numbers of 5 and 10, analyzing the [...] Read more.
This study evaluated the hydraulic performance of regular and irregular stepped spillways experimentally to reduce the hydraulic leap length and enhance energy dissipation. The study tested fourteen physical models with 40° and 45° slopes and step numbers of 5 and 10, analyzing the effect of a single barrier block and its horizontal position through 98 rectangular flume experiments to evaluate energy dissipation and hydraulic jump length. The results showed that when the nappe flow transitioned to the skimming flow, energy dissipation decreased as discharge increased. Irregular stepped spillways achieved higher energy dissipation than regular ones by about 10–25%, with five-step models outperforming ten-step models due to increased turbulence. A strong positive relationship between discharge and hydraulic jump length was also observed, with jump length increasing by approximately 30–45% at 40° and 45° slopes. Five-degree irregular stepped spillways produced the shortest hydraulic jump lengths, confirming that step irregularity reduces downstream residual energy. Adding a single barrier block improved performance by shortening the hydraulic jump by about 20–35%, especially at higher discharges, with the optimal position at B/2. Overall, an irregular stepped spillway with a barrier block at B/2 was identified as the most effective configuration, enabling shorter hydraulic jumps, smaller stilling basins, and more efficient and economical spillway designs. Full article
(This article belongs to the Special Issue Advances in Open-Channel Flow Hydrodynamics)
Show Figures

Figure 1

31 pages, 7911 KB  
Article
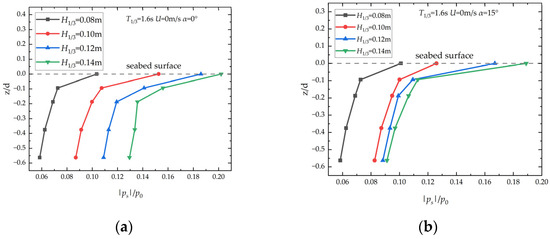
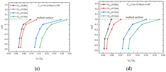
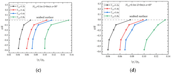
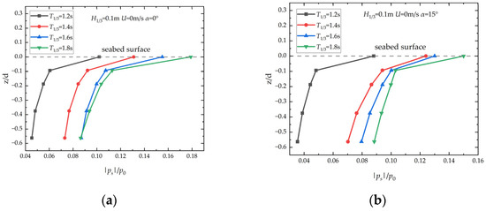
Experimental Study of the Combined Action of Random Waves and Current Induced Hydrodynamics and Seabed Response Around a Protective Three-Dimensional Pipeline
by Dayu Chang, Risheng Wang, Wenqi Si, Mengxiao Li, Zheng Wang, Dajun Liu, Ke Sun, Dong-Sheng Jeng, Lin Cui and Dejian Wei
J. Mar. Sci. Eng. 2026, 14(5), 477; https://doi.org/10.3390/jmse14050477 - 1 Mar 2026
Viewed by 329
Abstract
Submarine pipelines serve as the primary transportation infrastructure for offshore energy resources and are becoming increasingly important in modern industrial and domestic applications. A series of laboratory experiments on the dynamic seabed response of three-dimensional pipeline-seabed systems under random wave and current conditions [...] Read more.
Submarine pipelines serve as the primary transportation infrastructure for offshore energy resources and are becoming increasingly important in modern industrial and domestic applications. A series of laboratory experiments on the dynamic seabed response of three-dimensional pipeline-seabed systems under random wave and current conditions was conducted. The results demonstrate as follows: (1) Under the combined action of random waves and ambient currents, the wave profiles in the vicinity of the submarine pipeline exhibit distinct irregular and nonlinear characteristics; (2) Compared with random waves acting alone, the superposition of random waves and currents modifies wave propagation behavior: a co-directional current enhances wave propagation, whereas a countercurrent suppresses it; (3) For a pipeline subjected to the three-dimensional random waves, pore-pressure amplitude decreases with increasing wave-incidence angle. Specifically, maximum values corresponding to incidence angles of 30° and 45° are generally lower than those at 0° and 15°, at a seabed depth of z/d = 0.0938, and the value at an incident angle of 45 degrees attenuates by 21.31% compared to that of 0°; (4) Coarse sand exhibits weaker pore-pressure attenuation than fine sand around the three-dimensional pipeline-seabed scheme, indicating that sediment grain size exerts a substantial influence on seabed response; (5) The protective effect of geotextile and stone is more obvious, whereas PVC is limited to the front and underside of the pipe. The deeper the seabed, the smaller the effect of protective measures. For reproducibility, the test matrix covered wave-incidence angles α = 0°, 15°, 30°, and 45°, irregular-wave conditions with H1/3 = 0.08–0.14 m and T1/3 = 1.2–1.8 s, and currents U = –0.2 m/s at a constant still-water depth h = 0.45 m. Full article
(This article belongs to the Section Coastal Engineering)
Show Figures

Figure 1

21 pages, 5494 KB  
Article
Parametric Study of Wake Concentration from the Instantaneous Release of a Dense Fluid Upstream of a Cubic Obstacle
by Romana Akhter and Nigel B. Kaye
Fluids 2026, 11(2), 58; https://doi.org/10.3390/fluids11020058 - 20 Feb 2026
Viewed by 267
Abstract
Experimental results are reported to explore the role of release location and release volume on the dispersion of a dense gas cloud around an isolated cubic building. The experiments are analogous to the Thorney Island dense gas dispersion field tests, and the results [...] Read more.
Experimental results are reported to explore the role of release location and release volume on the dispersion of a dense gas cloud around an isolated cubic building. The experiments are analogous to the Thorney Island dense gas dispersion field tests, and the results are qualitatively similar to those of the full-scale tests. Water bath experiments were used in this study with fresh water in a flume representing the atmospheric wind and dyed saltwater representing the dense gas. Results are presented for different relative density flows, quantified using the Richardson number (Ri), for five different release volumes ranging from 10% to 60% of the building volume. Results are also presented for different upstream release distances ranging from 50% to 150% of the building height. Measurements show that there is a complex interaction between release volume, release distance, and Richardson number, and the resulting flow over and around the building. For releases close to the building, the cloud has little distance over which to adjust before being swept around the building and into the building wake. However, for larger release distances, there is adequate distance for the cloud to adjust, with the nature of the adjustment being a function of the Richardson number. For small Ri (low density difference), the cloud spreads out as it moves downstream, mixes with the ambient fluid, and increases in volume such that the volume of the cloud interacting with the building is larger than the initial release. For higher Ri flows (larger density difference), the dense cloud collapses down onto the channel bed, where it spreads out radially as it is advected downstream. The clouds are, therefore, much shallower than the building height when they collide with the building. This competition between the collapse of the cloud and its advection downstream is parameterized using a novel ‘adjusted Richardson number’ Ri*. Full article
(This article belongs to the Section Geophysical and Environmental Fluid Mechanics)
Show Figures

Figure 1

25 pages, 12272 KB  
Article
Hydrodynamic Effects of a Novel Permeable Spur Dike on Surface Flow Structure and Oil Spill Dispersion
by Congcong Chen, Ye Tian, Pingyi Wang and Meili Wang
Sustainability 2026, 18(4), 2020; https://doi.org/10.3390/su18042020 - 16 Feb 2026
Viewed by 369
Abstract
A series of generalized fixed-bed physical model experiments were conducted to investigate the hydrodynamic effects of spur dike configuration and permeability. The study was carried out in a rectangular flume at a geometric scale of 1:40. A traditional impermeable spur dike, a novel [...] Read more.
A series of generalized fixed-bed physical model experiments were conducted to investigate the hydrodynamic effects of spur dike configuration and permeability. The study was carried out in a rectangular flume at a geometric scale of 1:40. A traditional impermeable spur dike, a novel impermeable spur dike with a curved geometry, and permeable spur dikes with varying porosities (p = 11.8%, 17.6%, and 23.2%) were systematically examined. Surface velocity and flow direction were measured using a large-scale surface flow field measurement system. Additionally, tracer-based experiments were conducted to characterize oil spill spreading pathways, areas, and rates. The results showed that the novel curved-profile spur dike alleviates upstream backwater effects and weakens downstream plunging flow compared to the conventional straight-profile spur dike, resulting in a more uniform surface flow structure. At low porosity (P = 11.8%), hydrodynamic behavior resembled that of impermeable structures. In contrast, at high porosity (P = 23.2%), upstream–downstream hydraulic connectivity was enhanced, and recirculation intensity was reduced. Regarding oil spill dispersion, spur dike promoted oil retention in the upstream region and lateral spreading around the spur dike head. The extent of the spreading area was strongly influenced by both the cross-sectional geometry and the porosity of the spur dike. Among the permeable cases, the largest spreading area was observed at an intermediate porosity (P = 17.6%). However, permeable spur dike generally exhibited smaller overall spreading areas compared to impermeable spur dike. Finally, an empirical model for predicting the oil spreading area was developed by incorporating flow velocity, water depth, and porosity. These findings provide a scientific basis for optimizing spur dike design and mitigating oil spill risks. Given the severe threat that oil pollution poses to aquatic environments, the retention capacity of spur dikes serves as a critical hydraulic barrier, thereby promoting environmental and ecological sustainability. Full article
Show Figures

Figure 1

22 pages, 3335 KB  
Article
Spatial Distribution Patterns of Bed Shear Stress in Zones with Alternating Tall and Short Vegetation
by Yameng Liu, Xiaoguang Liu, Jiasheng Wang and Lingqi Yi
Sustainability 2026, 18(4), 1972; https://doi.org/10.3390/su18041972 - 14 Feb 2026
Viewed by 374
Abstract
Natural floodplain vegetation exhibits heterogeneous patterns in height and density that substantially affect flow and bed stability. Most previous studies have examined flows through uniformly distributed vegetation, resulting in a limited understanding of mixed-height canopies. Consequently, existing methods for estimating bed shear stress [...] Read more.
Natural floodplain vegetation exhibits heterogeneous patterns in height and density that substantially affect flow and bed stability. Most previous studies have examined flows through uniformly distributed vegetation, resulting in a limited understanding of mixed-height canopies. Consequently, existing methods for estimating bed shear stress remain inadequately validated under such heterogeneous conditions. To bridge this gap, we conducted flume experiments to investigate how the density and height configuration of rigid vegetation affect the spatial distribution of bed shear stress, comparing three commonly used approaches: the Law of the Wall, Reynolds stress, and turbulent kinetic energy (TKE). Results showed strong agreement between TKE and Reynolds stress methods; the Law of the Wall produced larger errors (15–25%) due to log-layer disruption in vegetated zones, limiting its use. Vegetation density dominated bed shear stress: high-density areas reduced mean stress by 17–36%, promoting deposition, whereas tall–short vegetation interfaces increased local stress by 15–26%, elevating scour risk. Flow velocity raised overall stress by 15–25%, while water depth had minimal effect. Sparse vegetation led to patchy stress distributions and higher scour potential, while dense vegetation favored uniform stress and sediment accumulation. These findings clarify bed shear stress mechanisms in heterogeneous vegetation and provide a basis for floodplain restoration and stability management. Full article
Show Figures

Figure 1

14 pages, 2037 KB  
Article
Turbulence in a Bend in the Presence of Emergent Vegetation and a 3D Pool Bedform
by Alirahm Rahimpour, Hossein Afzalimehr, Saeid Okhravi, Mohammad Nazari-Sharabian and Moses Karakouzian
Water 2026, 18(3), 431; https://doi.org/10.3390/w18030431 - 6 Feb 2026
Cited by 1 | Viewed by 501
Abstract
The interaction of emergent vegetation and three-dimensional (3D) bedforms is essential for understanding turbulent flow dynamics in curved channels. A laboratory investigation can help to collect required data under controlled conditions. Experiments were conducted in a 9.5 m-long, 0.9 m-wide recirculating flume incorporating [...] Read more.
The interaction of emergent vegetation and three-dimensional (3D) bedforms is essential for understanding turbulent flow dynamics in curved channels. A laboratory investigation can help to collect required data under controlled conditions. Experiments were conducted in a 9.5 m-long, 0.9 m-wide recirculating flume incorporating a 90° bend and a sculpted 3D pool bedform. Artificial rigid vegetation, designed to replicate the hydraulic behavior of natural emergent plants, was installed along both sidewalls. Instantaneous three-dimensional velocities were recorded using an acoustic Doppler velocimeter (ADV) across multiple cross-sections under both bare-bed and vegetated conditions. The results reveal that emergent vegetation markedly increases flow resistance, distorts mean velocity distributions, and suppresses the classical logarithmic velocity profile, particularly within the bend and pool regions. The combined presence of vegetation and the 3D pool bedform amplified turbulence intensity, elevated Reynolds shear stresses, and redistributed turbulent kinetic energy (TKE), which increased by up to sevenfold from the bend entrance to its exit. In vegetated pool sections, Reynolds stresses were approximately 12% greater than under bare-bed conditions, underscoring the synergistic effects of vegetation drag, secondary circulation, and flow separation in producing anisotropic turbulence. These findings highlight the importance of incorporating vegetation–bedform interactions in fluvial modeling frameworks, with significant implications for sediment transport prediction, channel stability evaluation, river restoration, and aquatic habitat design. Full article
Show Figures

Figure 1

16 pages, 2836 KB  
Article
Experimental Study on the Influence of Sand Dune Morphology on Near-Bed Flow Structure
by Shan Li, Zhongwu Jin and Xiaohu Guo
Water 2026, 18(3), 385; https://doi.org/10.3390/w18030385 - 2 Feb 2026
Viewed by 464
Abstract
Riverbed topography in natural rivers commonly features sand dunes, whose morphological variations can alter the turbulent flow structure near the bed and thereby affect processes of channel scour, deposition, and sediment transport. In this study, a series of flume experiments was conducted using [...] Read more.
Riverbed topography in natural rivers commonly features sand dunes, whose morphological variations can alter the turbulent flow structure near the bed and thereby affect processes of channel scour, deposition, and sediment transport. In this study, a series of flume experiments was conducted using an acoustic Doppler velocimeter (ADV) to simulate fixed bedforms of different dune scales (ratio of wavelength to flow depth, λ/h) in a laboratory flume. Velocity measurements were taken along the water depth at the dune crest and trough for each test case. The near-bed distributions of mean flow velocity, Reynolds stress, turbulent kinetic energy (TKE), and turbulence intensity were obtained at the crest and trough under three flow conditions, allowing analysis of the vertical decay of turbulence intensity at different locations on the dune. The results show that the dune steepness (Ψ, defined as dune height over wavelength) is a key parameter controlling the near-bed flow structure. As Ψ increases, the near-bed velocity gradient, Reynolds stress, TKE, and peak turbulence intensity all increase significantly, with the peak positions shifting closer to the bed. The trough region, due to flow separation and vortex shedding, exhibits substantially higher values of all turbulence-related parameters than the crest, making it the primary zone of energy dissipation and turbulence production. This study provides experimental evidence and theoretical reference for understanding the mechanism by which sand dune morphology influences flow structure, and it offers insight for predicting riverbed evolution. Full article
(This article belongs to the Section Water Erosion and Sediment Transport)
Show Figures

Figure 1

26 pages, 8533 KB  
Article
An Experimental Study on the Influence of Rigid Submerged Vegetation on Flow Characteristics in a Strongly Curved Channel
by Yu Yang, Dongrui Han, Xiongwei Zheng, Fen Zhou, Feifei Zheng and Ying-Tien Lin
Water 2026, 18(2), 256; https://doi.org/10.3390/w18020256 - 18 Jan 2026
Viewed by 348
Abstract
Flow dynamics in strongly curved channels with submerged vegetation play a crucial role in riverine ecological processes and morphodynamics, yet the combined effects of sharp curvature and rigid submerged vegetation remain inadequately understood. This study presents a comprehensive experimental investigation into the influence [...] Read more.
Flow dynamics in strongly curved channels with submerged vegetation play a crucial role in riverine ecological processes and morphodynamics, yet the combined effects of sharp curvature and rigid submerged vegetation remain inadequately understood. This study presents a comprehensive experimental investigation into the influence of rigid submerged vegetation on the flow characteristics within a 180° strongly curved channel. Laboratory experiments were conducted in a U-shaped flume with varying vegetation configurations (fully vegetated, convex bank only, and concave bank only) and two vegetation heights (5 cm and 10 cm). The density of vegetation ϕ was 2.235%. All experimental configurations exhibited fully turbulent flow conditions (Re > 60,000) and subcritical flow regimes (Fr < 1), ensuring gravitational dominance and absence of jet flow phenomena. An acoustic Doppler velocimeter (ADV) was employed to capture high-frequency, three-dimensional velocity data across five characteristic cross-sections (0°, 45°, 90°, 135°, 180°). Detailed analyses were performed on the longitudinal and transverse velocity distributions, cross-stream circulation, turbulent kinetic energy (TKE), power spectral density, turbulent bursting, and Reynolds stresses. The results demonstrate that submerged vegetation fundamentally alters the flow structure by increasing flow resistance, modifying the velocity inflection points, and reshaping turbulence characteristics. Vegetation height was found to delay the manifestation of curvature-induced effects, with taller vegetation shifting the maximum longitudinal velocity to the vegetation canopy top further downstream compared to shorter vegetation. The presence and distribution of vegetation significantly impacted secondary flow patterns, altering the direction of cross-stream circulation in fully vegetated regions. TKE peaked near the vegetation canopy, and its vertical distribution was strongly influenced by the bend, causing the maximum TKE to descend to the mid-canopy level. Spectral analysis revealed an altered energy cascade in vegetated regions and interfaces, with a steeper dissipation rate. Turbulent bursting events showed a more balanced contribution among quadrants with higher vegetation density. Furthermore, Reynolds stress analysis highlighted intensified momentum transport at the vegetation–non-vegetation interface, which was further amplified by the channel curvature, particularly when vegetation was located on the concave bank. These findings provide valuable insights into the complex hydrodynamics of vegetated meandering channels, contributing to improved river management, ecological restoration strategies, and predictive modeling. Full article
(This article belongs to the Topic Advances in Environmental Hydraulics, 2nd Edition)
Show Figures

Figure 1

Back to TopTop