Effects of Inclination Angles on the Hydrodynamics of Knotless Net Panels in Currents
Abstract
1. Introduction
2. Numerical Modelling
2.1. Net Panel Models
2.2. Viscous Fluid Dynamics Solver
2.3. Computational Domain, Grids and Boundary Conditions
2.4. Data Analysis
3. Results and Discussions
3.1. Effects of Inclination Angles on Local Flow around Net Panels
3.2. Effects of Inclination Angles on Velocity Reductions behind Net Panels
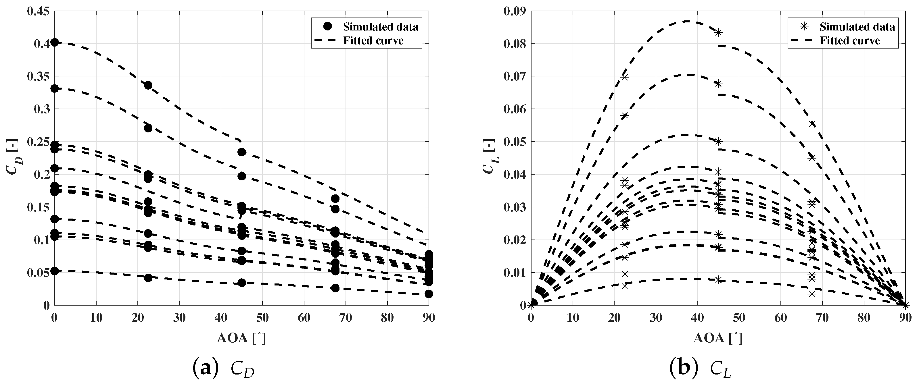
3.3. Effects of Inclination Angles on Hydrodynamic Coefficients
4. Applications and Validations of the Novel Screen Force Model
4.1. The Fluid–Structure Coupling Method
4.2. Validations of Hydrodynamic Forces on and Velocity Reductions behind Fixed Net Panels
5. Conclusions
- (1)
- The inclination angles have dominant effects on the time-averaged velocity magnitudes around net meshes. More specifically, considerable flow interactions amongst the transverse and longitudinal net meshes for the net panel perpendicular to the incoming current are observed. The flow interacting effects amongst net meshes are nonetheless weakened at larger inclination angles. It can be seen that local flow acceleration zones around twines present a shrinking tendency, while low-speed regions are of larger dominance gradually.
- (2)
- From the transient vorticity fields, the so-called cross-flow properties at downstream wakes proposed by Løland [5] can be validated from our numerical results. Nevertheless, the longitudinal layout of twines induced by the increase in the inclination angles of nets has weakened the cross-flow properties.
- (3)
- The profiles of velocity decelerations behind the net panels for 0–45 are not as trivial as those for 45–90. For the case with 0–45, the velocity around the mesh centre can restore the initial momentum, while the velocity reductions are primarily concentrated in the downstream area where the twines are projected. Thus, the overall differences in velocity distributions are not significant. With regard to the case with = 45–90, the majority of wake regions are concentrated close to the bottom vicinities of contours.
- (4)
- Given the quantitative relationships between the downstream momentum losses and inclination angles, the novel formulae estimating downstream velocity reductions are further developed as an improvement of the former equations by Wang et al. [1]. The accuracies and applicabilities of the novel formulae with a broad scope of AOAs substantiate that the relative discrepancies of all validated cases are within 5% through the comparisons against experimental data.
- (5)
- The distributions of simulated and with inclination angles over all cases are compatible with the laws revealed by Kristiansen and Faltinsen [31]. Sensible differences can nevertheless be detected for the nets parallel to currents. This work has further elaborated Fourier-series formulae of screen force models, and the predicted hydrodynamics results by the improved and the previous formulae have been compared with the experimentally measured data. The improved features for hydrodynamic drags are justified, whereas the abilities for hydrodynamic lifts and the decelerations of fluid while passing net panels desire more advancements at small inclination angles.
Author Contributions
Funding
Institutional Review Board Statement
Informed Consent Statement
Conflicts of Interest
References
- Wang, G.; Martin, T.; Huang, L.; Bihs, H. Modelling the flow around and wake behind net panels using large eddy simulations. Ocean Eng. 2021, 239, 109846. [Google Scholar] [CrossRef]
- Wang, G.; Martin, T.; Huang, L.; Bihs, H. An improved screen force model based on CFD simulations of the hydrodynamic loads on knotless net panels. Appl. Ocean Res. 2022, 118, 102965. [Google Scholar] [CrossRef]
- Martin, T.; Bihs, H. A non-linear implicit approach for modelling the dynamics of porous tensile structures interacting with fluids. J. Fluids Struct. 2021, 100, 103168. [Google Scholar] [CrossRef]
- Klebert, P.; Su, B. Turbulence and flow field alterations inside a fish sea cage and its wake. Appl. Ocean Res. 2020, 98, 102113. [Google Scholar] [CrossRef]
- Løland, G. Current Forces on and Flow through Fish Farms. Ph.D. Thesis, Norwegian University of Science and Technology, Trondheim, Norway, 1991. [Google Scholar]
- Cha, B.J.; Kim, H.Y.; Bae, J.H.; Yang, Y.S.; Kim, D.H. Analysis of the hydrodynamic characteristics of chain-link woven copper alloy nets for fish cages. Aquac. Eng. 2013, 56, 79–85. [Google Scholar] [CrossRef]
- Bi, C.W.; Zhao, Y.P.; Dong, G.H.; Xu, T.J.; Gui, F.K. Experimental investigation of the reduction in flow velocity downstream from a fishing net. Aquac. Eng. 2013, 57, 71–81. [Google Scholar] [CrossRef]
- Endresen, P.C.; Føre, M.; Fredheim, A.; Kristiansen, D.; Enerhaug, B. Numerical modeling of wake effect on aquaculture nets. In Proceedings of the ASME 2013 32nd International Conference on Ocean, Offshore and Arctic Engineering, Nantes, France, 9–14 June 2013. [Google Scholar] [CrossRef]
- Føre, H.M.; Endresen, P.C.; Norvik, C.; Lader, P. Hydrodynamic Loads on Net Panels With Different Solidities. J. Offshore Mech. Arct. Eng. 2021, 143, 051901. [Google Scholar] [CrossRef]
- Shao, D.; Huang, L.; Wang, R.Q.; Gualtieri, C.; Cuthbertson, A. Flow Turbulence Characteristics and Mass Transport in the Near Wake Region of an Aquaculture Cage Net Panel Flow Turbulence Characteristics and Mass Transport in the Near-Wake Region of an Aquaculture Cage Net Panel. Water 2021, 13, 294. [Google Scholar] [CrossRef]
- Patursson, Ø.; Swift, M.R.; Tsukrov, I.; Simonsen, K.; Baldwin, K.; Fredriksson, D.W.; Celikkol, B. Development of a porous media model with application to flow through and around a net panel. Ocean Eng. 2010, 37, 314–324. [Google Scholar] [CrossRef]
- Bi, C.W.; Zhao, Y.P.; Dong, G.H.; Xu, T.J.; Gui, F.K. Numerical simulation of the interaction between flow and flexible nets. J. Fluids Struct. 2014, 45, 180–201. [Google Scholar] [CrossRef]
- Yang, X.; Zeng, X.; Gualtieri, C.; Cuthbertson, A.; Wang, R.Q.; Shao, D. Numerical Simulation of Scalar Mixing and Transport through a Fishing Net Panel. J. Mar. Sci. Eng. 2022, 10, 1511. [Google Scholar] [CrossRef]
- Chen, H.; Christensen, E.D. Development of a numerical model for fluid-structure interaction analysis of flow through and around an aquaculture net cage. Ocean Eng. 2017, 142, 597–615. [Google Scholar] [CrossRef]
- Cheng, H.; Chen, M.; Li, L.; Chen, H. Development of a coupling algorithm for fluid-structure interaction analysis of submerged aquaculture nets. Ocean Eng. 2022, 243, 110208. [Google Scholar] [CrossRef]
- Martin, T.; Kamath, A.; Bihs, H. A Lagrangian approach for the coupled simulation of fixed net structures in a Eulerian fluid model. J. Fluids Struct. 2020, 94, 102962. [Google Scholar] [CrossRef]
- Martin, T.; Tsarau, A.; Bihs, H. A numerical framework for modelling the dynamics of open ocean aquaculture structures in viscous fluids. Appl. Ocean Res. 2020, 106, 102410. [Google Scholar] [CrossRef]
- Wang, G.; Martin, T.; Huang, L.; Bihs, H. Numerical investigation of the hydrodynamics of a submersible steel-frame offshore fish farm in regular waves using CFD. Ocean Eng. 2022, 256, 111528. [Google Scholar] [CrossRef]
- Lader, P.; Enerhaug, B.; Fredheim, A.; Klebert, P.; Pettersen, B. Forces on a cruciform/sphere structure in uniform current. Ocean Eng. 2014, 82, 180–190. [Google Scholar] [CrossRef]
- Bi, C.W.; Balash, C.; Matsubara, S.; Zhao, Y.P.; Dong, G.H. Effects of cylindrical cruciform patterns on fluid flow and drag as determined by CFD models. Ocean Eng. 2017, 135, 28–38. [Google Scholar] [CrossRef]
- Zou, B.; Thierry, N.N.B.; Tang, H.; Xu, L.; Zhou, C.; Wang, X.; Dong, S.; Hu, F. Flow field and drag characteristics of netting of cruciform structures with various sizes of knot structure using CFD models. Appl. Ocean Res. 2020, 106, 102466. [Google Scholar] [CrossRef]
- Tang, M.F.; Dong, G.H.; Xu, T.J.; Bi, C.w.; Wang, S. Large-eddy simulations of flow past cruciform circular cylinders in subcritical Reynolds numbers. Ocean Eng. 2021, 220, 108484. [Google Scholar] [CrossRef]
- Dutta, D.; Bihs, H.; Afzal, M.S. Computational Fluid Dynamics modelling of hydrodynamic characteristics of oscillatory flow past a square cylinder using the level set method. Ocean Eng. 2022, 253, 111211. [Google Scholar] [CrossRef]
- Tu, G.; Liu, H.; Ru, Z.; Shao, D.; Yang, W.; Sun, T.; Wang, H.; Gao, Y. Numerical analysis of the flows around fishing plane nets using the lattice Boltzmann method. Ocean Eng. 2020, 214, 107623. [Google Scholar] [CrossRef]
- Tsukrov, I.; Drach, A.; Decew, J.; Robinson Swift, M.; Celikkol, B. Characterization of geometry and normal drag coefficients of copper nets. Ocean Eng. 2011, 38, 1979–1988. [Google Scholar] [CrossRef]
- Zhan, J.M.; Jia, X.P.; Li, Y.S.; Sun, M.G.; Guo, G.X.; Hu, Y.Z. Analytical and experimental investigation of drag on nets of fish cages. Aquac. Eng. 2006, 35, 91–101. [Google Scholar] [CrossRef]
- Tang, M.F.; Dong, G.H.; Xu, T.J.; Zhao, Y.P.; Bi, C.W.; Guo, W.J. Experimental analysis of the hydrodynamic coefficients of net panels in current. Appl. Ocean Res. 2018, 79, 253–261. [Google Scholar] [CrossRef]
- Bi, C.W.; Zhao, Y.P.; Dong, G.H.; Wu, Z.M.; Zhang, Y.; Xu, T.J. Drag on and flow through the hydroid-fouled nets in currents. Ocean Eng. 2018, 161, 195–204. [Google Scholar] [CrossRef]
- Zhou, C.; Xu, L.; Hu, F.; Qu, X. Hydrodynamic characteristics of knotless nylon netting normal to free stream and effect of inclination. Ocean Eng. 2015, 110, 89–97. [Google Scholar] [CrossRef]
- Tang, H.; Hu, F.; Xu, L.; Dong, S.; Zhou, C.; Wang, X. The effect of netting solidity ratio and inclined angle on the hydrodynamic characteristics of knotless polyethylene netting. J. Ocean Univ. China 2017, 16, 814–822. [Google Scholar] [CrossRef]
- Kristiansen, T.; Faltinsen, O.M. Modelling of current loads on aquaculture net cages. J. Fluids Struct. 2012, 34, 218–235. [Google Scholar] [CrossRef]
- Tang, H.; Xu, L.; Hu, F. Hydrodynamic characteristics of knotted and knotless purse seine netting panels as determined in a flume tank. PLoS ONE 2018, 16, 814–822. [Google Scholar] [CrossRef]
- Menter, F.R. Two-equation eddy-viscosity turbulence models for engineering applications. AIAA J. 1994, 32, 1598–1605. [Google Scholar] [CrossRef]
- Gritskevich, M.S.; Garbaruk, A.V.; Schütze, J.; Menter, F.R. Development of DDES and IDDES formulations for the k-ω shear stress transport model. Flow Turbul. Combust. 2012, 88, 431–449. [Google Scholar] [CrossRef]
- Menter, F.R.; Kuntz, M.; Langtry, R. Ten Years of Industrial Experience with the SST Turbulence Model. In Proceedings of the 4th International Symposium on Turbulence Heat and Mass Transfer, Antalya, Turkey, 12–17 October 2003; Volume 4, pp. 625–632. [Google Scholar]
- Mittal, S.; Kumar, V.; Raghuvanshi, A. Unsteady incompressible flows past two cylinders in tandem and staggered arrangements. Int. J. Numer. Methods Fluids 1997, 25, 1315–1344. [Google Scholar] [CrossRef]
- Nelder, J.A.; Mead, R. A simplex method for function minimization. Comput. J. 1965, 7, 308–313. [Google Scholar] [CrossRef]
- Yao, Y.; Chen, Y.; Zhou, H.; Yang, H. Numerical modeling of current loads on a net cage considering fluid-structure interaction. J. Fluids Struct. 2016, 62, 350–366. [Google Scholar] [CrossRef]
- Peskin, C.S. Numerical analysis of blood flow in the heart. J. Comput. Phys. 1977, 25, 220–252. [Google Scholar] [CrossRef]
- You, X.; Hu, F.; Takahashi, Y.; Shiode, D.; Dong, S. Resistance performance and fluid-flow investigation of trawl plane netting at small angles of attack. Ocean Eng. 2021, 236, 109525. [Google Scholar] [CrossRef]










| Cases | Incoming | Bar | Bar | Reynolds | Solidity |
|---|---|---|---|---|---|
| Velocities | Diameters | Lengths | Number | Ratio | |
| [m/s] | d [mm] | l [m] | [-] | [-] | |
| C1-0, C1-22.5, C1-45, C1-67.5, C1-90 | 0.550 | 1.750 | 0.020 | 952.97 | 16.73% |
| C2-0, C2-22.5, C2-45, C2-67.5, C2-90 | 0.100 | 1.750 | 0.020 | 172.97 | 16.73% |
| C3-0, C3-22.5, C3-45, C3-67.5, C3-90 | 0.325 | 1.750 | 0.020 | 562.16 | 16.73% |
| C4-0, C4-22.5, C4-45, C4-67.5, C4-90 | 0.775 | 1.750 | 0.020 | 1340.5 | 16.73% |
| C5-0, C5-22.5, C5-45, C5-67.5, C5-90 | 1.000 | 1.750 | 0.020 | 1729.7 | 16.73% |
| C6-0, C6-22.5, C6-45, C6-67.5, C6-90 | 0.550 | 0.500 | 0.020 | 326.44 | 4.940% |
| C7-0, C7-22.5, C7-45, C7-67.5, C7-90 | 0.550 | 1.125 | 0.020 | 611.58 | 10.93% |
| C8-0, C8-22.5, C8-45, C8-67.5, C8-90 | 0.550 | 2.375 | 0.020 | 1291.1 | 22.34% |
| C9-0, C9-22.5, C9-45, C9-67.5, C9-90 | 0.550 | 3.000 | 0.020 | 1630.9 | 27.75% |
| C10-0, C10-22.5, C10-45, C10-67.5, C10-90 | 0.550 | 1.750 | 0.010 | 951.35 | 31.94% |
| C11-0, C11-22.5, C11-45, C11-67.5, C11-90 | 0.550 | 1.750 | 0.015 | 951.35 | 21.97% |
| C12-0, C12-22.5, C12-45, C12-67.5, C12-90 | 0.550 | 1.750 | 0.025 | 951.35 | 13.51% |
| C13-0, C13-22.5, C13-45, C13-67.5, C13-90 | 0.550 | 1.750 | 0.030 | 951.35 | 11.33% |
| Items | Data |
|---|---|
| Fluid material | Water |
| Density | 998.3 |
| Kinematic viscosity | 1.19 × 10 |
| Temperature | 15 |
| Cases | Angles of Attack [Degree] | ||||
|---|---|---|---|---|---|
| 0 (Wang et al. [1]) | 22.5 | 45 | 67.5 | 90 | |
| C1 | 0.943 | 0.942 | 0.940 | 0.903 | 0.757 |
| C2 | 0.933 | 0.921 | 0.925 | 0.875 | 0.754 |
| C3 | 0.941 | 0.935 | 0.938 | 0.895 | 0.755 |
| C4 | 0.944 | 0.945 | 0.944 | 0.918 | 0.753 |
| C5 | 0.944 | 0.943 | 0.943 | 0.914 | 0.748 |
| C6 | 0.987 | 0.986 | 0.983 | 0.976 | 0.756 |
| C7 | 0.968 | 0.966 | 0.965 | 0.945 | 0.740 |
| C8 | 0.883 | 0.889 | 0.894 | 0.868 | 0.790 |
| C9 | 0.915 | 0.917 | 0.919 | 0.879 | 0.726 |
| C10 | 0.855 | 0.853 | 0.870 | 0.831 | 0.747 |
| C11 | 0.916 | 0.920 | 0.921 | 0.885 | 0.734 |
| C12 | 0.971 | 0.971 | 0.968 | 0.944 | 0.768 |
| C13 | 0.960 | 0.960 | 0.957 | 0.930 | 0.745 |
| Validation | Incoming | Angles of Attack | AAVR | Experimental | Relative |
|---|---|---|---|---|---|
| Cases | Velocities [m/s] | [Degree] | [-] | Data [-] | Discrepancies (RD) [-] |
| The knotless polyethylene net panel with d = 2.600 mm, l = 0.020 m | 0.113 | 0 | 0.887 | 0.909 | −2.42% |
| 30 | 0.887 | 0.897 | −1.11% | ||
| 45 | 0.887 | 0.888 | −0.11% | ||
| 60 | 0.863 | 0.851 | 1.41% | ||
| 0.170 | 0 | 0.888 | 0.912 | −2.63% | |
| 30 | 0.888 | 0.848 | 4.72% | ||
| 45 | 0.888 | 0.882 | 0.68% | ||
| 60 | 0.864 | 0.840 | 2.86% | ||
| 0.226 | 0 | 0.889 | 0.913 | −2.63% | |
| 30 | 0.889 | 0.890 | −0.11% | ||
| 45 | 0.889 | 0.873 | 1.83% | ||
| 60 | 0.865 | 0.829 | 4.34% |
| −0.132 | −0.123 | 1.208 | |
| 340.797 | 205.486 | 1.404 | |
| −59.643 | −40.789 | −0.099 | |
| −9.129 | −22.592 | 0.005 | |
| 2.245 | −10.21 | ||
| −12473.957 | −12828.831 | ||
| 0.063 | 0.297 | ||
| 27831.591 | 60436.89 | ||
| 1458.245 | 1787.102 | ||
| 0.619 | −0.121 | ||
| −24020.784 | |||
| 706.455 | |||
| 3775.06 | |||
| 253.464 | |||
| −9.623 | |||
| 128457.65 | |||
| −0.025 | |||
| −21641.925 | |||
| −9227634.55 | |||
| 0.368 |
| Net Cases | AOA | d | l | References | ||
|---|---|---|---|---|---|---|
| [degree] | [m/s] | [mm] | [cm] | [-] | ||
| N1 | 0 | 0.750 | 2.800 | 2.900 | 0.184 | Patursson et al. [11] |
| N2 | 0 | 0.500 | ||||
| N3 | 0 | 0.125 | ||||
| N4 | 15 | 0.500 | ||||
| N5 | 30 | 0.500 | ||||
| N6 | 45 | 0.500 | ||||
| N7 | 60 | 0.500 | ||||
| N8 | 75 | 0.500 | ||||
| N9 | 0 | 0.500 | 1.450 | 1.300 | 0.211 | Zhan et al. [26] |
| N10 | 30 | |||||
| N11 | 60 | |||||
| N12 | 22.5 | 1.000 | 2.000 | 1.730 | 0.230 | Føre et al. [9] |
| N13 | 45 | |||||
| N14 | 67.5 |
| Net Cases/ | [-]/ [N] | [-]/ [N] | Velocity Reduction [-] | ||||||
|---|---|---|---|---|---|---|---|---|---|
| RD | Exp. | CSFM | NSFM | Exp. | CSFM | NSFM | Exp. | CSFM | NSFM |
| N1 | 0.257 | 0.298 | 0.243 | - | - | - | 0.100 | 0.137 | 0.111 |
| 15.88% | −5.33% | - | - | - | 36.19% | 10.57% | |||
| N2 | 0.260 | 0.302 | 0.247 | - | - | - | 0.111 | 0.139 | 0.113 |
| 16.24% | −5.12% | - | - | - | 25.79% | 2.26% | |||
| N3 | 0.266 | 0.324 | 0.265 | - | - | - | 0.074 | 0.041 | 0.047 |
| 22.02% | −0.34% | - | - | - | −45.34% | −36.30% | |||
| N4 | 0.232 | 0.283 | 0.223 | 0.036 | 0.055 | 0.037 | 0.112 | 0.136 | 0.106 |
| 22.38% | −3.50% | 55.62% | 3.37% | 20.86% | −5.17% | ||||
| N5 | 0.209 | 0.241 | 0.180 | 0.064 | 0.074 | 0.057 | 0.110 | 0.131 | 0.097 |
| 15.73% | −13.67% | 14.60% | −11.18% | 19.45% | −11.51% | ||||
| N6 | 0.157 | 0.192 | 0.152 | 0.066 | 0.068 | 0.056 | 0.114 | 0.127 | 0.101 |
| 22.43% | −3.06% | 3.05% | −13.89% | 11.13% | −11.57% | ||||
| N7 | 0.106 | 0.134 | 0.130 | 0.063 | 0.056 | 0.046 | 0.133 | 0.121 | 0.118 |
| 25.80% | 22.13% | −11.59% | −27.46% | −9.23% | −11.49% | ||||
| N8 | 0.077 | 0.070 | 0.094 | 0.036 | 0.036 | 0.025 | 0.263 | 0.132 | 0.143 |
| −9.47% | 22.31% | 0.28% | −30.08% | −49.66% | −45.70% | ||||
| N9 | 0.338 | 0.362 | 0.354 | - | - | - | - | - | - |
| 7.20% | 4.71% | - | - | - | - | - | - | ||
| N10 | 0.277 | 0.295 | 0.263 | - | - | - | - | - | - |
| 6.49% | −5.01% | - | - | - | - | - | - | ||
| N11 | 0.165 | 0.163 | 0.165 | - | - | - | - | - | - |
| −1.75% | −0.30% | - | - | - | - | - | - | ||
| N12 | 171.429 | 194.388 | 163.586 | 36.735 | 51.144 | 35.339 | - | - | - |
| 13.39% | −4.58% | 39.23% | −3.80% | - | - | - | |||
| N13 | 123.324 | 140.011 | 118.609 | 45.481 | 48.797 | 39.390 | - | - | - |
| 13.53% | −3.82% | 7.29% | −13.39% | - | - | - | |||
| N14 | 80.467 | 73.797 | 82.551 | 29.738 | 34.440 | 25.194 | - | - | - |
| −8.29% | 2.59% | 15.81% | −15.28% | - | - | - | |||
Disclaimer/Publisher’s Note: The statements, opinions and data contained in all publications are solely those of the individual author(s) and contributor(s) and not of MDPI and/or the editor(s). MDPI and/or the editor(s) disclaim responsibility for any injury to people or property resulting from any ideas, methods, instructions or products referred to in the content. |
© 2023 by the authors. Licensee MDPI, Basel, Switzerland. This article is an open access article distributed under the terms and conditions of the Creative Commons Attribution (CC BY) license (https://creativecommons.org/licenses/by/4.0/).
Share and Cite
Wang, G.; Cui, Y.; Guan, C.; Gong, P.; Wan, R. Effects of Inclination Angles on the Hydrodynamics of Knotless Net Panels in Currents. J. Mar. Sci. Eng. 2023, 11, 1148. https://doi.org/10.3390/jmse11061148
Wang G, Cui Y, Guan C, Gong P, Wan R. Effects of Inclination Angles on the Hydrodynamics of Knotless Net Panels in Currents. Journal of Marine Science and Engineering. 2023; 11(6):1148. https://doi.org/10.3390/jmse11061148
Chicago/Turabian StyleWang, Gang, Yong Cui, Changtao Guan, Pihai Gong, and Rong Wan. 2023. "Effects of Inclination Angles on the Hydrodynamics of Knotless Net Panels in Currents" Journal of Marine Science and Engineering 11, no. 6: 1148. https://doi.org/10.3390/jmse11061148
APA StyleWang, G., Cui, Y., Guan, C., Gong, P., & Wan, R. (2023). Effects of Inclination Angles on the Hydrodynamics of Knotless Net Panels in Currents. Journal of Marine Science and Engineering, 11(6), 1148. https://doi.org/10.3390/jmse11061148

