You are currently viewing a new version of our website. To view the old version click .
Journal of Marine Science and Engineering
  • Article
  • Open Access

23 May 2023

Joint Optimization of Inventory and Repositioning for Sea Empty Container Based on Queuing Theory

,
and
College of Transportation Engineering, Dalian Maritime University, Dalian 116026, China
*
Author to whom correspondence should be addressed.
This article belongs to the Section Ocean Engineering

Abstract

Approximately 20% of global container transportation activities are used for empty container repositioning, which does not generate profit margins. For container supply ports, in addition to periodically transporting excess empty containers to container shortage ports to reduce their inventory costs and meet empty container demand of container shortage ports, they also need to maintain a certain amount of empty container inventory to meet their uncertain needs in the future. This paper considers the container supply port and container shortage port as a whole, so that the container supply port maintains a certain amount of empty container inventory to meet its own uncertain needs, and empty container repositioning is carried out based on this. Based on queuing theory, an empty container repositioning model was established with the objective function of minimizing the total cost of the empty container inventory system and the empty container repositioning system and designing genetic algorithms to solve the model. The results indicate that considering empty container inventory and repositioning as a whole resulted in a total cost reduction of approximately 7.2%. Finally, a sensitivity analysis was conducted by changing the parameters in the model, and the results of the sensitivity analysis provided support for the decision-making of shipping lines in different situations..

1. Introduction

Container transport combines modes of transport to offer efficient “door-to-door” service. However, trade imbalances have resulted in empty container accumulation at some ports due to the mismatch between imports and exports. This creates inventory costs for container supply ports, and moving empty containers to container shortage ports may not meet the demand of container supply ports. Shipping lines face significant costs for empty container transportation, inventory, and leasing, which account for over 60% of container management costs. Maintaining a minimum inventory of empty containers at the supply port to meet uncertain demand is standard practice. However, excess inventory can lead to additional costs. Efficient repositioning of empty containers can reduce costs and enhance operational efficiency.
For the problem of empty container repositioning under a single mode of transportation: Song et al. [1] studied the multi-port empty container repositioning problem with the uncertainty of the demand and supply of empty containers in ports. The optimization models of empty container repositioning strategy and no empty container repositioning strategy were established, respectively. On the premise of meeting the demand, the proportion of empty containers provided by each port and the empty containers provided by the leasing company in all empty containers was calculated. The performance of the two strategies under the same proportion was compared, and a two-stage particle swarm optimization algorithm was designed to solve the problem. Liu et al. [2] studied the comprehensive cargo routing and empty container repositioning problem considering repackaging operations and proposed a new chance constrained programming model. Four non distributed solving methods were used to solve the problem studied. Abdelshafie et al. [3] integrated the agent-based modeling paradigm to model the global movements of empty containers. An agent-based maritime logistic empty container repositioning model was developed. The model was solved using a simulated annealing algorithm. Zhang et al. [4] proposed an optimization model for tactical and operational coordination of empty container repositioning. To solve this problem, an algorithm was designed to calculate the distance matrix of reachable transportation between ports. Zhao et al. [5] introduced an empty container repositioning problem in the sea rail intermodal transportation system that considered CO2 emissions, random demand, and supply. A nonlinear integer programming model with one chance constraint was established and solved using a two-stage tabu search algorithm. Zheng et al. [6] studied an empty container allocation problem considering the coordination among liner carriers and proposed a two-stage optimization method to solve the problems.
For the problem of empty container repositioning under multiple transportation modes: Yoonjea et al. [7] considered the empty container repositioning problem together with the multimodal transport network optimization problem, considered the combined transport of empty and full containers with collapsible containers in the transport process, and established a two-way four layer multimodal transport network involving the land transport subsystem for direct transport between two seaports. Zhang et al. [8] studied the empty container repositioning problem of China EU sea land multimodal transport in the context of the “the Belt and Road”, modeled the problem, and designed an artificial bee colony algorithm to solve the model. Xing et al. [9] analyzed the uncertain demand for empty containers and partial information such as the mean and variance of demand for foldable containers in the context of land–sea intermodal transportation. Using the distributed robust chance constrained programming method, they conducted some research on the optimization of multi-time empty container repositioning problems in China’s railway express transportation. In addition, Xing et al. [10]. also studied the optimization problem of empty container repositioning under the cooperation between the China Railway Express and international liner companies. Based on independent and cooperative transportation models, they established three empty container transportation optimization models and designed algorithms to solve them. Yu et al. [11] studied the problem of empty container repositioning between ports composed of maritime container terminals, inland container yards, and inland hinterland. Using a two-stage game model, they determined the free detention period of empty containers for shipping companies and the time for inland container operators to return empty containers. They also proposed a win–win strategy for empty container transportation between shipping companies and inland container operators.
Scholars have also made many studies on the issue of empty container inventory. Finke et al. [12] incorporated inland hinterland warehouses into the problem of empty container repositioning for shipping lines, established a mixed integer programming model, and conducted an example verification with the German hinterland. Luo et al. [13] studied the inventory management of empty containers when customer demand changes in multimodal transportation systems and discussed the impact of empty container shipping on optimal inventory levels. Poo et al. [14] discussed the dynamic control strategy of empty container inventory cost and repositioning cost in regional transportation. The research by Rajeswari et al. [15] deals with an inventory model of non-vessel operating common carrier for returnable containers with price dependent demand under a fuzzy environment. The empty container repositioning and the leasing options are utilized to replace the deficit containers, which prevents shortages.
Many scholars have conducted research on the prediction of uncertain values using queuing theory. Liu, Y. et al. [16] proposed a two-phase approach using queuing theory and optimization models to tackle the coordinated location–inventory problem in a stochastic supply chain with disruptions. Liu, D. et al. [17] utilized queuing theory to optimize the allocation problem of terminal cranes (QC), reducing carbon dioxide emissions during container unloading. Babicheva T [18] utilized queuing theory to solve the problem of optimizing the phase of traffic lights at signalized intersections. The results indicate that the queuing theory method is helpful in obtaining an explicit solution to the problem of minimizing delay at signalized road intersections. Xu, X. et al. [19] defined a new concept of subway station capacity based on aggregation and scattering processes and studied the problem of subway capacity using queuing theory. Khalid et al. [20] studies the existing departure queuing system of Cairo International Airport by using queuing theory, compared it with the best waiting time recommended in the concept of the International Air Transport Association service level, and predicted the airport growth trend by analyzing passenger flow.
Based on the research results of many scholars, the summary and analysis are as follows:
(1) Most current research only focuses on modeling and solving the problem of empty container repositioning. It simply assumes a value for the empty container supply volume of the container supply port involved without any research explanation on how it came about.
(2) In the current research on the inventory of empty containers in container supply ports, the surplus empty containers are transported to the container shortage port on the premise of ensuring that the container demand of the container supply port itself can be met without considering the container supply port and the container shortage port as a whole.
(3) Due to the uncertainty of container demand in the container supply port, it is necessary to consider the inventory cost of empty containers, and rental costs incurred at the container supply port account for the total cost.
In addition, using queuing theory to handle the problem of uncertain supply and demand of empty containers in ports has the following advantages:
(1) Consider uncertainty: Queuing theory can effectively handle uncertain values such as arrival rate, service time, and capacity. It provides a framework to simulate and analyze changes in empty container inventory status
(2) Predict System Behavior: Queuing theory can help predict system behavior, such as average waiting time, service level, and resource utilization. By analyzing the queuing model, the optimal empty container inventory that needs to be maintained for a period of time in the future can be obtained.
(3) Decision support: Queuing theory provides decision support based on system performance. By analyzing the queuing model, the allocation of empty container resources can be optimized, and the optimal empty container inventory quantity can be adjusted in a timely manner based on changes in the average supply and demand quantity of empty containers at the port and rental costs in order to maximize system efficiency and customer satisfaction.
(4) Efficiency and cost optimization: Queuing theory can help optimize resource utilization, effectively reduce the accumulation of empty containers in container supply ports and the shortage of empty containers in container shortage ports, reduce container management costs, and improve the competitiveness of shipping companies.
For this reason, this paper will treat the process of inland empty containers returning to the terminal at the container supply port as a queuing system, analyze the uncertain costs incurred at the container supply port using queuing theory, and allow the container supply port to experience its shortage due to meeting the container demand of the container shortage port. A model for empty container repositioning is established with the objective function of minimizing the total costs of the empty container inventory system and the empty container transportation system, generating an empty container repositioning scheme with the lowest total cost.

2. Problem Description

Ports can be categorized as either empty container supply ports, where more containers are imported than exported, leading to a surplus of empty containers and high storage costs, or empty container shortage ports, where there is a shortage of containers and renting containers, resulting in high costs. To reduce operating costs and make efficient use of resources, shipping companies maintain a certain inventory of empty containers in supply ports and periodically transport excess containers to ports in need.
Looking at the circulation process of containers, the relationship between full and empty containers is closely related in supply ports, and their circulation is interdependent. The process of empty containers in ports can be summarized as follows: first, the consignee unloads the full container at the port and returns the empty container to the port or its surrounding yard via a trailer. Then, the shipper uses a trailer to transport the empty container from the port or its surrounding yard to their factory for loading goods to meet their trade needs. Finally, the full container will be transported to the port or its surrounding yard for export via a trailer, while shipping companies periodically transport excess empty containers to other ports with container shortages to avoid wasting container resources and increasing inventory costs.
In container supply ports, due to the fact that the return volume of inland empty containers is greater than the local demand for containers, there may be an accumulation of empty containers. The flow process of empty containers at the port can be represented by a simple diagram, as shown in Figure 1:
Figure 1. Circulation of empty containers at container supply port.
This paper uses the relevant knowledge of queuing theory to handle the uncertain supply and demand of empty containers in the container supply port. The process of returning inland empty containers to the port will be regarded as the customer input process of the queuing system. The facilities and equipment related to empty container inventory and repositioning will be simulated as service entities in the queuing system. The process of local container demand arrival in the container supply port will be regarded as the service process. Based on this, a joint optimization model with the minimum sum of the empty container inventory and repositioning costs will be constructed.

3. Mathematical Model

3.1. Analysis of the Return Process of Inland Empty Containers

Due to the randomness of both the return volume of inland empty containers and the volume of self-used empty containers, as well as the probability distribution of complying with certain parameters over a while, this paper considers the empty container inventory system at the container supply port and the empty container repositioning system as a whole, and the empty container inventory system at the container supply port is considered a queuing system. The uncertain costs incurred at the container supply port are calculated using queuing theory. Therefore, it is necessary to analyze the inland empty container return process at the container supply port.
The arrival of container ships at ports is a discrete random event that follows a Poisson distribution. The return of inland empty containers is related to the arrival of container ships. Considering a queuing system in which customers arrive in batches, there is not only one service object arriving but a batch. Therefore, the arrival interval sequences of customers { τ , i 1 } are independent of each other, and the compliance parameter is λ 1 The negative exponential distribution of F ( t ) = 1 e λ 1 t , t 0 ; that is, the arrival compliance parameter of each batch of empty containers is λ 1 Poisson distribution, but at each arrival time, it does not arrive at an empty container but rather arrives at a batch of empty containers. The number of empty containers arriving in each batch is a random variable ξ , and P ( ξ = k ) = c k . Figure 2 shows the process of inland empty containers returning to the port at the container supply port.
Figure 2. Schematic diagram of inland empty containers returning to the port at the container supply port.
According to the above figure, three batches of empty containers were returned during the 0 t 3 period, with the batches being ξ 1 ,   ξ 2 ,   ξ 3 . Assume that each batch of empty containers returns randomly over a while; that is, in batches, ξ 1 is the return number of empty containers within the time ( 0 , t 1 ] . Divide the time ( 0 , t 1 ] into n segments of equal length:
l 1 = ( 0 , 1 n ] l 2 = ( 1 n , 2 n ] l i = ( i 1 n , i n ] l n = ( n 1 n , 1 ]
At this point, two assumptions are made:
(1) The probability of exactly returning an empty container within each l i period is approximately proportional to the length of the period by 1 n , set to λ 2 n . When n is large and 1 n is small, the probability of returning two empty containers within the period li approaches zero indefinitely. Therefore, the probability of no empty containers returning within the li period is 1 λ 2 n .
(2) Whether there are empty containers returned in each segment of l i   l n is relatively independent.
The total number of empty containers returned for the time period ( 0 , t 1 ] , ξ 1 is considered as the number of periods in which empty containers are returned within n divided small periods l i   l n . Based on the above two assumptions, ξ 1 should obey the binomial distribution B ( n , λ 2 n ) , with:
P ( ξ 1 = i ) = ( n i ) ( λ 2 n ) i ( 1 λ 2 n ) n i
When n :
( n i ) n i 1 i ! ,       ( 1 λ 2 n ) n e λ 2
Therefore:
P ( ξ 1 = i ) = ( n i ) ( λ 2 n ) i ( 1 λ 2 n ) n i = e λ 2 λ 2 i i !
From the above derivation, it can be concluded that when it is assumed that each batch of empty containers returns randomly over a period of time rather than concentrated at a certain point in time, the return volume of each batch of empty containers follows a Poisson distribution with certain parameters. Because the arrival compliance parameter of each batch of empty containers is according to the additivity of the Poisson distribution, the return process of the entire inland empty container in the container supply port can be considered as a whole Poisson event flow.
We can use the same method to prove that the occurrence of the demand for empty containers at the supply port also follows a Poisson event flow with certain parameters. Therefore, the time interval between the arrival of adjacent empty container demand at the port follows a negative exponential distribution with certain parameters.
In summary, the entire process of empty container inventory and empty container repositioning can be considered as a queuing system, and the facilities and equipment involved in empty container inventory and empty container repositioning in ports can be considered as service organizations in the queuing system; The arrival process of inland empty container returns is regarded as a customer input process in a queuing system, and queuing is performed according to the first come, first served rule, while the return volume is considered to be continuous; The arrival process of one’s own container needs is regarded as the service process of the system, and the service time to meet the empty container needs is considered to be 0.
To sum up, the entire empty container inventory system and empty container repositioning system can be considered a queuing system with an infinite queue length, an infinite customer source, and a single service desk, an (M/M/1) queuing system.

3.2. Assumptions

Based on the reality of container transportation, the following assumptions are made before modeling:
  • The research cycle is time T, and the research unit is days;
  • The shipping schedule is fixed and known, clearly knowing the accessibility of the ship between ports;
  • Each port in the route can only be a container supply port or a container shortage port and cannot be both a container supply port and a container shortage port;
  • We only consider the flow of empty containers and consider that empty containers can only flow from the supply port to the shortage port;
  • The principle of priority for full containers is adopted. During the voyage, priority is given to meeting the requirements for full container transportation, and empty containers can only be transported when there is surplus capacity;
  • The import and export volume of full containers at the port during each period is known;
  • Regardless of the constraints of the container type, they are considered the same container type;
  • Full containers can be immediately unloaded into the queuing system at the container supply port, and empty containers can be immediately filled with goods to participate in transportation tasks, regardless of the loading and unloading time of the container;
  • The empty containers waiting for service in the queuing system generate the same inventory cost as the empty containers that have already entered the inventory;
  • The demand for containers at the container supply port and the container shortage port must be met. When the demand cannot be met through empty container repositioning, it will be met through leasing containers. It is considered that there is no limit on the quantity of leased containers, and the empty and leased containers that are repositioned can be obtained immediately.

3.3. Symbol Description

The symbolic representations and meanings of various parameters involved in the mathematical model are shown in Table 1.
Table 1. Symbolic nomenclature.

3.4. Mathematical Model

The arrival process of inland return and the arrival process of container demand both follow the Poisson distribution. In a random process, when the state at time t is known, the probability of the state at a time greater than time t is only related to the state at time t and not to the state before time t . Therefore, a birth and death process diagram of empty container inventory in the queuing system is constructed to better calculate the probability of empty container inventory status in the queuing system, as shown in Figure 3.
Figure 3. Birth and death process diagram of empty container inventory status.
In Figure 3, each state represents the number of empty containers in the inventory. The transition probabilities represent the probabilities of transitioning between different inventory states at different time points. The range of inventory status is 0 E i t . The transition probabilities between different states are λ and μ . Analyzing the birth–death diagram of the empty container inventory allows for the determination of the probability distribution of different states and enables the calculation of the probabilities of the empty container inventory states in the queueing system.
The following equation can be obtained according to the birth and death process of empty container inventory status at the container supply port and its state transfer method:
λ i × p i 0 = μ i × p i 1 ( n = 0 )
λ i × p i n 1 + μ i × p i n + 1 = λ i × p i n + μ i × p i n ( 1 n E i t )
n = 0 E i t k p i n = 1
The steady-state probability distribution can be obtained from the above three equations:
p i 0 = { 1 ρ i 1 ρ i E i t k + 1 , ρ i 1 1 E i t k + 1 , ρ i = 1
p i n = { ρ i n × p i 0 , ρ i 1 p i 0 , ρ i = 1 , ( n E i t k )
The average queue length of the system at the container supply port i during the time t k 1 to t k , i.e., the average empty container inventory:
H i t k = n = 0 E i t k n × p i n = { n = 0 E i t k ( n × ρ i n × 1 ρ i 1 ρ i E i t k + 1 ) , ρ 1 n = 0 E i t k ( n × 1 E i t k + 1 ) , ρ = 1
The average container shortage at the container supply port i during the period from t k 1 to t k :
L i t k = μ i × p i 0 × t = { μ i × 1 ρ i 1 ρ i E i t k + 1 × t , ρ 1 μ i × 1 E i t k + 1 × t , ρ = 1
The objective function is as follows:
min z = { i = 1 n k = 1 K ( n = 0 E i t k n × ρ i n × 1 ρ i 1 ρ i E i t k + 1 ) × t × C H i + i = 1 n k = 1 K ( μ i × 1 ρ i 1 ρ i E i t k + 1 ) × t × C L i + k = 1 K j = 1 m i = 1 n x i j t k C O i j r i j + j = 1 m k = 1 K y j t k C R j ,     ρ 1 i = 1 n k = 1 K ( n = 0 E i t k n × 1 E i t k + 1 ) × t × C H i + i = 1 n k = 1 K ( μ i × 1 E i t k + 1 ) × t × C L i + k = 1 K j = 1 m i = 1 n x i j t k C O i j r i j + j = 1 m k = 1 K y j t k C R j ,     ρ = 1
The constraints are as follows:
S i t k = t = t k 1 t k s i t + E i t k 1
E i t k = S i t k j = 1 m x i j t k
j = 1 m x i j t k × r i j S i t k
D j t k = t = t k 1 t k d j t
i = 1 n x i j t k × r i j + y j t k = D j t k
i = 1 n x i j t k × r i j D j t k
j = 1 m x i j t k + F i t k C a p ( v )
x i j t k 0 , y j t k 0 ,   and   are   all   integers .
Equations (4)–(10) represent analyzing and calculating the uncertain costs incurred at the container supply port using the relevant queuing theories. The objective function (11) represents the minimum total cost of the entire system, including the inventory cost and rental cost of empty containers at the container supply port, the transfer cost of empty containers from the container supply port to the container shortage port, and the rental cost of the container shortage port. Equations (12) and (13) represent the state transfer equation between the transferable empty container quantity at the container supply port and the empty container inventory quantity after the empty container transfer. Equation (14) indicates that the empty container transfer amount at the container supply port is not greater than the maximum empty container transfer amount that the port can provide. Equation (15) represents the total number of empty containers required for a single container shortage port. Equation (16) indicates that the container demand at the container shortage port must be met. Equation (17) indicates that the number of empty containers transferred into the container shortage port is not greater than its shortage. Equation (18) is the constraint on the ship’s transport capacity. Equation (19) is a non-negative integer constraint for the decision variable.

4. Algorithm Design

This paper uses genetic algorithms to obtain satisfactory solutions to the problems described. It mainly simulates that everything in nature retains the more competitive individuals through selection and inheritance. The entire process is to first select any initial population and then perform operations such as selection, crossover, and mutation on the initial population to obtain a group of more competitive populations. The process is repeated continuously to make the feasible solution converge towards a more optimal region and, finally, obtain a group of the most competitive individuals, who are also the satisfactory solution to the problem. The overall process framework of algorithm design is shown in Figure 4.
Figure 4. Algorithm flow chart.

4.1. Coding and Population Initialization

In this paper, the solution space is coded in the form of a matrix, which is composed of M rows (the binary chain length of the maximum empty container quantity that can be transported from the container supply port) and N columns (The sum of the number of container shortage ports that can be reached by each container supply port in the transportation network). Furthermore, P o p _ s i z e (population size) is composed of a Matrix of M rows and N columns, constituting a feasible solution set.
For example, for a transportation network composed of five ports, assuming that Port 1 and Port 2 are container supply ports, Port 3, Port 4, and Port 5 are container shortage ports. The maximum empty container quantity that can be transferred from Port 1 and Port 2 is 10; a chromosome X of the feasible solution to the problem is represented as follows:
X = [ 1 0 0 0 0 0 0 0 0 1 0 0 0 0 0 1 1 1 0 1 1 0 0 0 ]
The specific scheme represented by this chromosome is as follows: Container Supply Port 1 transports 8, 1, and 1 empty containers to Container Shortage Port 1, Container Shortage Port 2, and Container Shortage Port 3; and Container Supply Port 2 transports 6, 2, and 2 empty containers to Container Shortage Port 1, Container Shortage Port 2, and Container Shortage Port 3, respectively. All additional container requirements for container supply ports and container shortage ports are met through container leasing.

4.2. Chromosome Selection Design

This paper uses roulette to design selection operators. In this example, the fitness function is the objective function value corresponding to the feasible solution. The probability that any individual in the population will be inherited by the next generation of the population consists of two parts: the sum of all fitness values in the current population ( i = 1 m z i ) and the fitness value corresponding to the current chromosome ( z i ) . Its mathematical expression is:
P x = ( i = 1 m z i ) z i i = 1 m [ ( i = 1 m z i ) z i ]

4.3. Chromosome Crossover Design

This paper uses a two-point crossover method to design crossover chromosomes, and an empty container repositioning scheme for container supply ports is randomly selected from the chromosomes for gene exchange. Set:
X 1 = ( x 11 1 , x 12 1 , x 13 1 , x 21 1 , x 22 1 , x 23 1 , x 31 1 , x 32 1 , x 33 1 ) X 2 = ( x 11 2 , x 12 2 , x 13 2 , x 21 2 , x 22 2 , x 23 2 , x 31 2 , x 32 2 , x 33 2 )
which is a 9-dimensional real vector of two parent solutions. From the two parent solution vectors, randomly select a solution component (such as x 21 , x 22 , x 23 ) for gene exchange, and generate two offspring as follows:
X 3 = ( x 11 1 , x 12 1 , x 13 1 , x 21 2 , x 22 2 , x 23 2 , x 31 1 , x 32 1 , x 33 1 ) X 4 = ( x 11 2 , x 12 2 , x 13 2 , x 21 1 , x 22 1 , x 23 1 , x 31 2 , x 32 2 , x 33 2 )
It should be pointed out that the crossed sub-solution vector may not meet the constraints of the container shortage port’s shortage quantity or ship capacity, and it is necessary to remove and regenerate the sub-generations that do not meet the conditions to ensure that the resulting solution vector meets all constraints.

4.4. Chromosome Mutation Design

In this paper, the method of fundamental mutation is used for the chromosome mutation design. In a specific chromosome, a random column is randomly designated as the mutation object with a mutation probability of P m = 0.1 , and a random bit is selected from the binary chain of the column for mutation. For example, the fifth column of the chromosome is X selected as the mutation object, and the mutated chromosome is X . The mutation process is as follows:
X = [ 1 0 0 0 0 0 0 0 0 1 0 0 0 0 0 1 1 1 0 1 1 0 0 0 ] X = [ 1 0 0 0 0 0 0 0 0 1 0 0 0 0 0 1 1 1 0 1 1 0 1 0 ]
Similarly, after implementing a mutation, it is necessary to adjust the results that do not meet the conditions to ensure that the resulting solution vector meets all constraints.

5. Experimental Results and Analysis

5.1. Case Data

Assuming that there are five ports in the transportation network, ports 1 and 2 are container supply ports, ports 3, 4, and 5 are container shortage ports, and three ships carry out reciprocating pendulum transportation between the five ports according to a fixed shipping schedule. At the same time, it is considered that each ship starts from Container Supply Port 1 and then successively connects to Container Supply Port 2, Container Shortage Port 1, Container Shortage Port 2, and Container Shortage Port 3. The direction of the empty container flow is also from Container Supply Port 1 to Container Supply Port 2 and then to Container Shortage Port 1, Container Shortage Port 2, and Container Shortage Port 3. The length of the decision-making period is 7, i.e., the time interval between the two adjacent ships in the same port to call at the port is 7 days, and the shipping schedule is shown in Table 2.
Table 2. Shipping schedule of each ship’s route.
According to the shipping schedule, the corresponding time of decision points t 1 , t 2 , t 3 , t 4 , t 5 , and t 6 in March and April are 3.01, 3.08, 3.15, 3.22, 3.29, and 4.05, respectively. In this example, a numerical experiment is conducted at decision point 1. That is, at 3.01, an empty container repositioning scheme is generated based on constraints such as the supply and demand of empty containers and ship accessibility.
Assume that the arrival process of λ 2 = 364 inland empty containers returning to Container Supply Port 1 follows a Poisson distribution with a parameter of λ 1 = 387 , and the time interval of arrival of container demand follows a negative exponential distribution with a parameter of μ 1 = 300 ; the arrival process of inland empty containers returning to Container Supply Port 2 follows a Poisson distribution with parameter, and the time interval between arrival of container demand follows a negative exponential distribution with parameter μ 2 = 304 . In both Container Supply Port 1 and Container Supply Port 2, the inventory cost of empty containers is C H = 15 , and the rental cost is C L = 50 .
Based on the length of the decision period, the number of inland empty containers returned and the number of self-used containers of container shortage ports on the route within 7 days from 3.1 to 3.7 were intercepted, as shown in Table 3.
Table 3. The number of inland empty containers returned and the required number of self-used containers at each container shortage port.
In addition to knowing the supply and demand of empty containers at each port within a certain period, generating an empty container repositioning plan also requires clarifying the unit transportation cost of empty containers between ports, the rental cost of empty container ports, and the shipping capacity of ships. The unit transportation cost from the container supply port to the container shortage port is related to the distance between the ports and the loading and unloading costs of empty containers and haulage costs at each port. In order to reduce variables, various expenses are integrated, collectively referred to as the unit transportation cost of empty containers. Table 4 shows the unit empty container transportation costs between ports, and Table 5 shows the unit rental container costs of three empty shortage container ports, and Table 6 shows the remaining transportation capacity of ships between ports.
Table 4. Unit empty container transportation cost between ports.
Table 5. Unit container rental cost.
Table 6. Remaining transportation capacity of ships between ports.

5.2. Results and Analysis

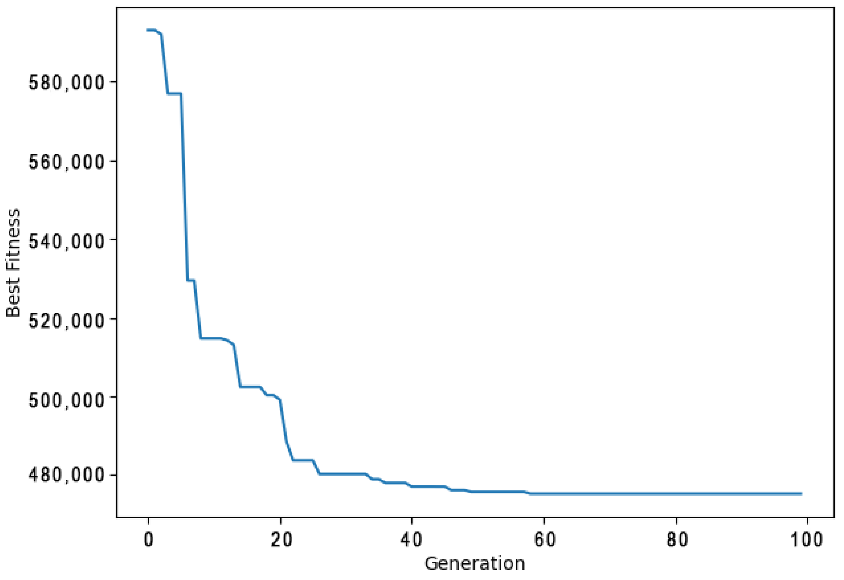
After knowing the above data, we ran the designed genetic algorithm to solve the problem on Python 3.11 and obtained a schematic diagram of the optimal fitness value obtained through genetic iteration, as shown in Figure 5.
Figure 5. Schematic diagram of optimal fitness of genetic iteration.
Analyzing Figure 5 shows that using genetic algorithms to solve satisfactory solutions is feasible. The optimal fitness value obtains a stable value after several generations, indicating that the algorithm has excellent convergence. The final solution space is as follows:
X = [ 170 , 189 , 300 , 190 , 341 , 360 ]
The optimal fitness is as follows:
m i n z = 474393
Due to the unknown return quantity of inland empty containers at the container supply port and the specific quantity of local container demand, simulation is needed to understand the supply and demand situation of empty containers at the container supply port, which can better compare with traditional empty container transportation. To solve this problem, we use the average inland empty container return volume and average local container demand in the calculation example designed in the previous section to simulate the specific empty container supply and demand situation of the container supply port during the seven days from 3.1 to 3.7, as shown in Table 7.
Table 7. The number of inland empty containers returned and the required number of self-used containers at each container supply port.
By simulating the specific quantity of empty container supply and demand at the container supply port from 3.1 to 3.7 days, the optimal empty container repositioning scheme can be obtained based on the results of program operation. As shown in Table 8.
Table 8. Optimal empty container repositioning scheme.
In traditional empty container repositioning problems, priority is often given to meeting the empty container demand of the supply port, and then, excess empty containers are transported to the shortage port. Although some scholars have also studied the relationship between the optimal empty container inventory of the supply port and the empty container repositioning scheme, it is usually a two-stage optimization, that is, first calculating an optimal empty container inventory to meet the empty container demand of the supply port, and the excess empty containers are transported to the shortage port on this basis. Table 9 shows the traditional empty container repositioning scheme.
Table 9. Optimal empty container repositioning scheme.
In this scheme, in order to meet the uncertainty needs of the container supply port, it is assumed that the number of empty containers held is 100. Through calculation, it is found that the total cost of supply ports and shortage ports under this inventory is 511,200. The total cost of the optimal empty container repositioning scheme obtained through the optimization method proposed in this article is 474,393, which is significantly lower than the cost of the traditional empty container repositioning scheme. The cost is reduced by approximately 7.2%

5.3. Sensitivity Analysis

In order to know the impact of changes in different parameters on the solution results, sensitivity analysis experiments are conducted.
Keeping other parameters unchanged, we independently changed the container leasing cost C L of the container supply port to a multiple of the initial value to obtain different empty container repositioning plans and objective function values, as shown in Table 10.
Table 10. The relationship between C L and the empty container transportation plan, empty container inventory, and total cost.
As seen from Table 10, with the continuous increase in the cost of leasing containers for container supply ports, the optimal number of empty containers in the port and the objective function value show an upward trend. This is because as the rental cost of container ports continues to rise, the shortage cost also increases. Therefore, in order to minimize the total cost, the container supply ports must maintain more empty container inventory to cope with their uncertain empty container demand, which leads to higher empty container inventory costs. This phenomenon reflects the impact of container rental costs at the container supply port on the transportation plan and empty container inventory.
We increased the average container demand per unit time μ of the container supply port to obtain different empty container repositioning schemes and objective function values, as shown in Table 11.
Table 11. The relationship between μ 1 / μ 2 and the empty container transportation plan, empty container inventory, and total cost.
From the data shown in Table 11, when the average local container demand per unit time at the container supply port is low, the optimal empty container inventory at container supply port 1 is higher. As the average local demand for containers increases, the number of empty containers and the objective function value first decreases and then gradually increases. This phenomenon can be explained by analyzing the supply and demand relationship of empty containers. When the local average container demand at the container supply port is small, the available container volume is greater than the total empty container demand of the entire shipping network. Therefore, excess empty containers are stored in the empty container retention system at the container supply port, leading to the waste of empty container resources and additional empty container inventory costs. As the local average container demand increases, the supply and demand relationship of empty containers within the entire shipping network gradually becomes balanced. Therefore, when the local average container demand increases to 270/273, the total cost within the entire shipping network is the lowest.
However, as the demand for containers continues to increase, the probability of container shortage at the supply port also gradually increases. In order to avoid the occurrence of a shortage of containers during the scheduling process, the container supply port needs to have more empty container inventory to meet its uncertain empty container demand. Therefore, the number of empty containers and the objective function have gradually increased. In summary, these results reflect the impact of the local average container demand of the container supply port on its optimal empty container inventory and the empty container repositioning plan of the entire shipping network, as well as how to develop a reasonable empty container inventory strategy to minimize total costs under different levels of container demand.
We increased the average number of inland empty container returns per unit time λ of the container supply port to obtain different empty container repositioning schemes and objective function values, as shown in Table 12.
Table 12. The relationship between λ 1 / λ 2 and the empty container transportation plan, empty container inventory, and total cost.
As the average number of inland empty container returns increases, the overall system’s empty container inventory and total cost show different trends. Before the average inland empty container return volume increased to 463/436, the empty container inventory of the two container supply ports gradually decreased with the increase in inland empty container return volume, and the total cost of the entire system also decreased accordingly. This is because the more empty containers return from inland, the lower the probability of shortage at the supply port. At this time, the flow of empty containers within the shipping network is relatively stable, and both supply ports can meet their internal demand for empty containers. Therefore, the inventory of empty containers can be gradually reduced and excess empty containers can be transported to the shortage port to reduce the inventory cost of empty containers at the supply port and the rental cost of the shortage port.
However, as the average inland empty container return increased to 463/436, the empty container inventory of the two container supply ports began to show varying degrees of an upward trend, while the total cost of the entire system also increased. This is because the increase in inland empty container returns at this time led to an increase in the number of empty containers in the entire shipping network, which is far greater than the total empty container demand of the entire shipping network. At this time, the container supply port experiences the phenomenon of empty container accumulation, resulting in additional empty container inventory costs and the waste of empty container resources.
Based on the results of the sensitivity analysis, we can conclude that the rental cost of container supply ports is an important factor affecting the inventory of empty containers. When the cost of renting containers is low, the container supply port can meet its demand by renting more containers, thus, maintaining a lower inventory of empty containers. When the cost of renting containers is high, the container supply port needs more empty container inventory to meet its uncertain demand. Therefore, when formulating a transportation plan, consideration should be given to the rental cost of the container supply port, and the empty container inventory should be adjusted accordingly to minimize the total cost.
In addition, the number of average local container demands and average inland empty container returns at the container supply port also affect empty container inventory quantity and total cost, as shown in Figure 6 and Figure 7.
Figure 6. Trend chart of changes in empty container inventory and objective function values (changing μ 1 / μ 2 ).
Figure 7. Trend chart of changes in empty container inventory and objective function values (changing λ 1 / λ 2 ).
From Figure 6 and Figure 7, it can be seen that as the difference between the number of average local container demands and average inland empty container returns at the container supply port increases, although the probability of shortage at the container supply port decreases, the total cost and empty container inventory first decrease and then increase. This is because the supply of empty containers in the entire shipping network is far greater than the demand for empty containers. At this time, there is a backlog of empty container inventory in the supply port, resulting in a waste of empty container resources.
To address this issue, an empty container mutual leasing strategy can be considered to reduce the inventory quantity of empty containers and reduce their inventory costs, thereby improving the corporate efficiency of shipping lines. The implementation of this strategy can be achieved by sharing empty container resources among shipping alliance members, thereby more efficiently utilizing available empty container resources and reducing the total cost of the entire shipping network. Therefore, optimizing the inventory and repositioning of empty containers while considering the empty container mutual leasing strategy in shipping alliances is an important direction for future research.

6. Conclusions

Queuing theory can predict the system’s future state based on the law of service time and customer arrival system of the queuing system. It can predict the uncertain empty container demand at the container supply port well. This paper considers the empty container inventory system and empty container repositioning system a queuing system with an infinite queue length, an infinite customer source, and a single service station (M/M/1). Based on queuing theory, a mathematical model is established to minimize the total cost of the empty container inventory system and the empty container repositioning system. A genetic algorithm is designed to solve the optimization problem. The optimal empty container repositioning scheme is obtained when the ship docks at the container supply port. After the repositioning, the remaining empty containers enter the empty container inventory system to meet uncertain self-used empty container demand for a while. A specific numerical example verifies the effectiveness of the mathematical model and algorithm. Based on this, the results of the numerical experiments are analyzed to reveal the impact of the average empty container demand per unit time at the container supply port and the unit container rental cost at the container supply port on the empty container inventory and the empty container repositioning plan.
In reality, the ports at both ends of the route usually refer to a port group composed of multiple ports instead of a single port. The demand or supply of empty containers by ports in the port group has the same rules. In a general market environment, the rental cost of the container supply port group is far lower than the rental cost of the container shortage port group. Therefore, this article considers the empty container inventory system and the empty container repositioning system as a whole, which can effectively reduce the operating costs of shipping lines and provide decision-making support for shipping lines.
There are two directions worth studying in the future. The first direction considers the impact of multiple container types and container type substitution on empty container repositioning decisions. The second direction is considering cooperation between shipping lines when making empty container shipping decisions.

Author Contributions

Conceptualization, Q.-B.W.; methodology, Q.-B.W.; software, Z.-W.W.; validation, Q.-B.W., Z.-W.W. and J.-F.Z.; formal analysis, Q.-B.W.; investigation, Z.-W.W.; resources, Q.-B.W.; data curation, Z.-W.W.; writing—original draft preparation, Z.-W.W.; writing—review and editing, Q.-B.W.; visualization, Z.-W.W.; supervision, Q.-B.W., J.-F.Z. All authors have read and agreed to the published version of the manuscript.

Funding

This research received no external funding.

Data Availability Statement

All the basic data involved in this study are shown in Section 5.1. In Section 5.3, we also show each group of data obtained during the experiment in the form of tables and line chart. At the same time, we also encourage relevant research based on our research data, which will be one of our further optimization directions.

Conflicts of Interest

The authors declare no conflict of interest.

References

  1. Song, J.; Tang, X.; Wang, C.; Xu, C.; Wei, J. Optimization of Multi-Port Empty Container Repositioning under Uncertain Environments. Sustainability 2022, 14, 13255. [Google Scholar] [CrossRef]
  2. Liu, M.; Liu, Z.; Liu, R.; Sun, L. Distribution-Free Approaches for an Integrated Cargo Routing and Empty Container Repositioning Problem with Repacking Operations in Liner Shipping Networks. Sustainability 2022, 14, 14773. [Google Scholar] [CrossRef]
  3. Abdelshafie, A.; Rupnik, B.; Kramberger, T. Simulated Global Empty Containers Repositioning Using Agent-Based Modelling. Systems 2023, 11, 130. [Google Scholar] [CrossRef]
  4. Zhang, H.; Lu, L.; Wang, X. Tactical and Operational Cooperative Empty Container Repositioning Optimization Model Based on Business Flow and Initial Solutions Generation Rules. Symmetry 2019, 11, 300. [Google Scholar] [CrossRef]
  5. Zhao, Y.; Xue, Q.; Zhang, X. Stochastic Empty Container Repositioning Problem with CO2 Emission Considerations for an Intermodal Transportation System. Sustainability 2018, 10, 4211. [Google Scholar] [CrossRef]
  6. Zheng, J.; Sun, Z.; Gao, Z. Empty container exchange among liner carriers. Transp. Res. Part E Logist. Transp. Rev. 2015, 83, 158–169. [Google Scholar] [CrossRef]
  7. Yoonjea, J.; Subrata, S.; Debajyoti, C. Direct Shipping Service Routes with An Empty Container Management Strategy. Transp. Res. Part E Logist. Transp. Rev. 2018, 118, 123–142. [Google Scholar]
  8. Zhang, s.; Ruan, x.; Xia, y. Foldable Container in Empty Container Repositioning in Intermodal Transportation Network of Belt and Road Initiative: Strengths and Limitations. Marit. Policy Manag. 2018, 45, 351–369. [Google Scholar] [CrossRef]
  9. Xing, L.; Xu, Q.; Cai, J.; Jin, Z. Distributed Robust Chance-Constrained Empty Container Repositioning Optimization of the China Railway Express. Symmetry 2020, 12, 706. [Google Scholar] [CrossRef]
  10. Xing, L.; Yan, H.; Yin, Y.; Xu, Q. Research on the Optimization of Empty Container Repositioning of China Railway Express in Cooperation with International Liner Companies. Sustainability 2021, 13, 3182. [Google Scholar] [CrossRef]
  11. Yu, M.; Fransoo, J.; Lee, C. Detention decisions for empty containers in the hinterland transportation system. Transp. Res. Part B Methodol. 2018, 110, 188–208. [Google Scholar] [CrossRef]
  12. Finke, S.; Kotzab, H. An Inland-Depots-For-Empty-Containers-Model for The Hinterland. Marit. Bus. Rev. 2017, 2, 126–141. [Google Scholar] [CrossRef]
  13. Luo, T.; Chang, D. Empty Container Repositioning Strategy in Intermodal Transport with Demand Switching. Adv. Eng. Inform. 2019, 40, 1–13. [Google Scholar] [CrossRef]
  14. Poo, M.; Yip, T. An Optimization Model for Container Inventory Management. Ann. Oper. Res. 2019, 273, 433–453. [Google Scholar] [CrossRef]
  15. Rajeswari, S.; Sugapriya, C.; Nagarajan, D. Fuzzy inventory model for NVOCC’s returnable containers under empty container repositioning with leasing option. Complex Intell. Syst. 2021, 7, 753–764. [Google Scholar] [CrossRef]
  16. Liu, Y.; Dehghani, E.; Jabalameli, M.; Diabat, A.; Lu, C. A Coordinated Location-Inventory Problem with Supply Disruptions: A Two-Phase Queuing Theory–Optimization Model Approach. Comput. Ind. Eng. 2020, 142, 106326. [Google Scholar] [CrossRef]
  17. Liu, D.; Ge, Y. Modeling Assignment of Quay Cranes Using Queueing Theory for Minimizing CO2 Emission at A Container Terminal. Transp. Res. Part D Transp. Environ. 2018, 61, 140–151. [Google Scholar] [CrossRef]
  18. Babicheva, T. The Use of Queuing Theory at Research and Optimization of Traffic on the Signal controlled Road Intersections. Procedia Comput. Sci. 2015, 55, 469–478. [Google Scholar] [CrossRef]
  19. Xu, X.; Liu, J.; Li, H.; Hu, J. Analysis of Subway Station Capacity with The Use of Queueing Theory. Transp. Res. Part C Emerg. Technol. 2014, 38, 28–43. [Google Scholar] [CrossRef]
  20. Abdulaziz Alnowibet, K.; Khireldin, A.; Abdelawwad, M.; Mohamed, A.W. Airport Terminal Building Capacity Evaluation Using Queuing System. Alex. Eng. J. 2022, 61, 10109–10118. [Google Scholar] [CrossRef]
Disclaimer/Publisher’s Note: The statements, opinions and data contained in all publications are solely those of the individual author(s) and contributor(s) and not of MDPI and/or the editor(s). MDPI and/or the editor(s) disclaim responsibility for any injury to people or property resulting from any ideas, methods, instructions or products referred to in the content.

Article Metrics

Citations

Article Access Statistics

Multiple requests from the same IP address are counted as one view.