Next Article in Journal
Robust Model Predictive Control Based on Active Disturbance Rejection Control for a Robotic Autonomous Underwater Vehicle
Next Article in Special Issue
A New Method of Ship Type Identification Based on Underwater Radiated Noise Signals
Previous Article in Journal
Detecting Maritime GPS Spoofing Attacks Based on NMEA Sentence Integrity Monitoring
Previous Article in Special Issue
Effect of Tip Rake Distribution on the Hydrodynamic Performance of Non-Planar Kappel Propeller
 
 
Font Type:
Arial Georgia Verdana
Font Size:
Aa Aa Aa
Line Spacing:
Column Width:
Background:
Article

Interphase Mechanical Energy Transfer of Gas-Liquid Flow in Variable Cross-Section Tubes

1
School of Astronautics, Beihang University, Beijing 100191, China
2
Aircraft and Propulsion Laboratory, Ningbo Institute of Technology, Beihang University, Ningbo 315100, China
*
Author to whom correspondence should be addressed.
J. Mar. Sci. Eng. 2023, 11(5), 926; https://doi.org/10.3390/jmse11050926
Submission received: 31 March 2023 / Revised: 15 April 2023 / Accepted: 25 April 2023 / Published: 26 April 2023
(This article belongs to the Special Issue Advances in Marine Propulsion)

Abstract

The use of gas energy includes a wide range of applications to directly accelerate the liquid in a pipeline without the aid of mechanical equipment, such as marine gas-liquid jet propulsion. To clarify the characteristics of energy transfer by interphase forces for gas-liquid flows in variable cross-section tubes, two-fluid models of annular flow, bubbly flow and homogeneous flow were adopted, respectively, along with four newly elaborated coefficients, which are the work factor of gas f g , reflecting the relative ability of gas to power liquid, the interface work transfer coefficient k g (representing the relative magnitude of mechanical work received by liquid from gas), the interphase work-to-energy conversion coefficient k l (denoting the capability of energy transfer through work performed by interphase forces) and the interphase mechanical efficiency η w . The results reveal the interphase work transfer is strongly influenced by the structural parameters of the tubes (or nozzles), and an optimized design is necessary to improve the performance. The higher the degree of gas dispersion in the liquid, the more advantageous the conversion of gas work into the liquid’s mechanical energy. Of these three flow patterns, annular flow has the lowest k l and η w ( k l = 0.0797, η w = 0.9885 in present example), while homogeneous flow displays the limit of interphase mechanical energy conversion because the gas-liquid momentum coupling reaches the maximum ( k l = 0.9979, η w = 1).

1. Introduction

Gas-liquid two-phase flow is a very common type of flow widely used for energy in the chemical and power industry, as well as other fields [1,2,3,4,5]. Pneumatic conveying is a classic case in which gas carries discrete particles or another fluid downstream of the pipeline using interfacial forces. From the perspective of energy transport, this process is the gas phase that acts as the power source, working directly on another phase in order to realize energy conversion and transfer. Taking ejector pressurization as an example, the high-speed air flow formed by high-pressure steam is the power source in the gas-water two-phase flow injector [6]. The gas phase directly expands the water in a variable section pipeline where both are accelerated to form a supersonic saturated gas-water mixture. After a condensation shock, a sudden pressure increment occurs, leading to considerable pressure gain in comparison to the original steam. The low water-head hydropower system proposed by Sun et al. [4] is another case involving interphase mechanical energy transfer where the dropping water directly pressurizes the natural air in the gas-water energy conversion equipment and then the high-pressure air pumps the water upward through the interfacial forces in the high-pressure pump.
When a certain mass flow of high-pressure air is introduced into the water nozzle during water jet propulsion, the liquid phase is also accelerated, while the air flow expands, gaining additional kinetic energy increments and introducing thrust augmentation, or efficiency enhancement [5,7,8,9,10,11,12]. In contrast to turbomachinery, such as gas turbines, water pumps, etc., the gas in the two-phase flow directly pushes water to form a powerful jet. Today, improving efficiency and reducing energy loss are some of the most important issues in engineering. To achieve the optimal use of energy, much work has been performed on the optimization of energy systems, such as optimizing the gas microturbine cycle by bee algorithm [13], adopting phase change materials in freezers [14] and optimizing indirect flat evaporative coolers using exergy analysis [15]. Therefore, before we optimize the use of gas energy in two-phase flows, it is important to understand the approaches through which the gas transfers its potential pressure energy to the liquid’s kinetic energy in variable cross-sectional tubes.
Gas-liquid two-phase flow patterns in horizontal or vertical pipelines can be divided into stratified, wavy, annular, bubbly and mist flows, etc. [2,16]. The gas-liquid interfacial area and spatial distribution vary considerably for different flow patterns; the coupling mechanism and coupling strength between two phases are also different. Since the work of gas to liquid is accomplished through momentum coupling along the gas-liquid interface, the delivery capability of gas power to liquid must change with the flow pattern [17].
In separated flows, such as stratified, wavy and annular flows, the two phases are segregated by a continuous interface. The physical properties and velocities of the two phases are different, so the mathematical model consists of hydrodynamic equations for every single phase, as well as the appropriate kinematic and dynamic relations at the interface. Free streamline theory is one of the successful examples of this processing strategy, although its interface relation is very simple [18]. The one-dimensional two fluid model is widely used in engineering applications to reduce the computational difficulties caused by multi-dimensional effects and to simultaneously capture the main characteristics of the flow accurately [19]. One-dimensional models focus on the average quantities in which the time, volume and ensemble average are adopted, disregarding details of the flow field, and making it necessary to introduce additional relationships to close the equations [20,21,22].
Fontalvo et al. [17] studied the influence of different interface friction formulations, and the formation and propagation of interfacial waves by a two-fluid model for vertical annular flow, where the interfacial fraction factor derived by Wallis et al. was introduced as the closure condition. Castello-Branco et al. [19] analyzed the stability of vertical annular flow using a transient one-dimensional two fluid model where the interfacial shear stress was determined by the correlation of Whalley and Hewitt. They found that the closure relationship notably influences the calculated wave frequencies and growth rates. Emamzadeh [1] accurately predicted the transition from the stratified regime to the annular regime in a horizontal pipe flow using his two-fluid model in which the interphase relation derived by Ottens is selected. By considering droplet entrainment and gas condensation, Stevanovic and Studovic [23] developed a simple one dimensional model to describe steady vertical annular flow, or the horizontal stratified flow of gas, liquid and liquid droplets, using Wallis’ correlation to determine the interphase shear stress. Utilizing a similar model, Sugawara explored the deposition and entrainment of droplets in annular flow [24].
Using bubbly flow as an example in a dispersed flow, a number of bubbles with different physical properties and slip velocities are scattered in liquid, which can be presented by a trajectory model or a two fluid model. Wang and Chen [25] achieved an accurate prediction of the relative velocities between phases and good agreement with the subsonic flow experiments by means of their bubble model for a convergent-divergent pipe flow in which drag, virtual mass and pressure gradient forces were introduced and the modified Rayleigh-Plesset equation is adopted to describe the dynamic property of the bubble. Gowing et al. [8] applied a similar model to simulate a steady one-dimensional bubbly flow in three different convergent nozzles; their predicted thrust and efficiency were nearly identical to the experimental results. Fu et al. [26] analyzed bubbly flow in convergent-divergent nozzles using a two fluid model and discussed the influence of mass flow rate, nozzle area ratio and bubble radius on the jet thrust. Wu et al. [9] developed a trajectory model for bubbly flow in which the drag, virtual mass, pressure gradient, gravity and Saffman forces for bubbles are taken into account. A modified Rayleigh-Plesset equation and the Keller-Herring equation are used to express the bubble dynamics. Three-dimensional numerical simulation of the flow in a convergent-divergent nozzle showed good agreement with the experiments, validating the concept of thrust augmentation by air injection.
For some specific flow regimes, such as cavitation flow, flash flow [27] and bubbly flow with very small bubbles, a homogeneous two-phase flow model with acceptable accuracy and greater convenience is suitable where the relative velocity is negligible, which is considered to be the limit of gas-liquid flow with infinite velocity relaxation rates and maximum momentum exchange between the two phases. LeMartelot et al. [27] developed three homogeneous flow models, representing three limit states: interphase mechanical equilibrium, mechanical and thermal equilibrium, and thermodynamic equilibrium. Städtke [21] also derived a homogeneous flow model from the two-fluid model.
Variable cross-section flow is attracting more interest, and new flow methods have been developed. Neil and Stuart [28] measured the jet thrust of an annular flow nozzle with variable cross-section and compared it with a two-fluid model where the interfacial friction factor was developed by Ambrosini et al. [29]. It was demonstrated that the predicted thrusts compared reasonably well with experiments. Noticeably, Pandey and Singh [30] investigated the peristaltic transport of Herschel–Bulkley fluids in variable cross-section tubes by using a model where non-linear governing equations are linearized by a low Reynolds number and long wavelength approximations. For the pipe networks with complex geometric structures, Baranovskii [31] proposed a novel network model to describe steady-state 3D flows by rejecting averaging of the velocity field and applying conjugation conditions that provide the mass balance for interior joints of the network. Based on this model, a feedback optimal control problem was also studied by Baranovskii [32]. Zahedi and Babaee Rad [33] studied the effects of 90-degree horizontal elbows with different curvature radii on air–water slug flow behaviors experimentally and numerically.
For the gas-liquid interaction of a two-phase flow, much attention has been directed to interphase forces and their mechanisms, or model expressions. Less attention has been given to the characteristics of momentum transfer and mechanical energy conversion between gas and liquid in the tube—especially in variable cross-section nozzles—which is important to the study and application of water jet propulsion and to making full use of gas energy. In this work, which focuses on flow in variable cross-section nozzles that generate thrust, the mechanical work performed on the liquid and the energy conversion efficiency during gas expansion and flow acceleration were analyzed using a two-fluid model for annular and bubbly flows, and a homogeneous model with mechanical equilibrium, selected to represent the growing interphase coupling in different flow patterns. The interphase energy and work transfer were calculated quantitatively and compared systematically for three flow patterns, which were rarely involved before. These are crucial for the selection of flow patterns in nozzle design and can provide direction for optimization to achieve maximum efficiency gains.

2. Parameters of Energy Transfer and Conversion Capabilities

In the gas-liquid flow of a variable cross-section pipe, the gas phase acts as the energy source, or the fuel [8], and it performs expansion directly on the fluid, resulting in an increase in fluid kinetic energy. To obtain a systematic description of the work transfer and energy conversion, four coefficients were introduced, as follows.
(a) Work factor of gas
In gas-liquid two-phase flows, the work factor of gas f g is introduced to measure the proportion of gas output performed by interfacial forces to the theoretically available work of the gas.
Taking the gas-liquid flow in the pipe as a steady flow system, the energy equation of gas is obtained by neglecting the gravitational potential energy and wall friction, which excludes deviations from different experiential wall friction formulas for various flow patterns.
m ˙ g [ ( h g ) i n ( h g ) o u t ] = m ˙ g [ ( u g 2 2 ) o u t ( u g 2 2 ) i n ] + W ˙ f , g Q ˙
where m ˙ g is the mass flow rate of gas, h g is the specific enthalpy of gas and u g is the gas velocity. The gas produced shaft work to liquid through the gas-liquid interfaces at a rate of W ˙ f , g . Equation (1) shows that W ˙ f , g is just a definite part of the enthalpy drop of the gas and can be obtained directly.
However, Equation (1) does not provide an explanation of how the power is generated, making it necessary to calculate the work--or the power--by forces. Because it is a one-dimensional steady flow, the streamlines coincide with the path lines. Then the flow parameters can be specifically described by a spatial coordinate, or equivalently expressed by time coordinates. Thus, the overall work performed by the gas on the liquid can be obtained by W f , g = 0 t g F i u g d t , where F i is the interfacial force and t g is the flowing time of a particular fluid particle in the system. The work factor of gas is defined as:
f g = W f , g 0 t g m ˙ g [ ( h g ) i n ( h g ) o u t ] d t
In Equation (2), the denominator is the effort of the gas to maintain this work output. This coefficient represents the capability of the gas to output work through interfacial forces.
(b) Interface work transfer coefficient
The interfacial force is a pair of interaction forces for gas and liquid. The velocities of gas and liquid are usually different, thus the mechanical power of F i on the liquid can be expressed as W ˙ f , l = F i u l , where u l is liquid velocity. The interface work transfer coefficient k g is a ratio of the work received by the liquid to the output work of the gas performed by the gas-liquid interfacial force.
k g = W f , l W f , g = 0 t g F i u g d t 0 t g F i u l d t
It is apparent that greater slip velocity results in a smaller interface work transfer coefficient, which means greater work loss.
(c) Interphase work-to-energy conversion coefficient
The interphase work-to-energy conversion coefficient is one of the most popular metrics in gas-liquid two-phase flow; it is defined as the ratio between the mechanical work received by the liquid and the theoretical work available to the gas, which demonstrates how much of the gas energy is used to accelerate the liquid. The expression for this coefficient is:
k l = W f , l 0 t g m ˙ g [ ( h g ) i n ( h g ) o u t ] d t
Apparently, k l = f g k g .
(d) Interphase mechanical efficiency
Interphase mechanical efficiency is defined as the ratio of the total mechanical energy of the gas and liquid at the outlet of the pipe to the energy at the inlet considered not only from the perspective of the gas but from the overall perspective of the gas-liquid two-phase nozzle flow that generates the thrust.
η w = ( P l * u l A l + P g * u g A g + m ˙ g e g ) o u t ( P l * u l A l + P g * u g A g + m ˙ g e g ) i n
where e g is the specific internal energy of gas. This efficiency represents the total energy loss caused by the transfer of mechanical energy between phases.

3. Annular Flow in Variable Cross-Section Tubes

Based on the two fluid model proposed by Wallis [18], a one-dimensional model was established for annular flow in a variable cross-section pipe. The current model disregarded the exchange of mass and heat between phases; only momentum exchange was included to study the mechanism and law of work and energy transfer between the phases.

3.1. Flow Model

Regardless of the mixing process in front of the pipeline, the annular flow was regarded as a steady flow with an unchanged flow pattern during the entire process.
The mass equations for gas and liquid are given by:
1 A d d x ( α g ρ g u g A ) = σ g M
1 A d d x ( α l ρ l u l A ) = σ l M
where α g and α l are the volume fraction of gas and liquid, respectively; ρ g and ρ l are the density of gas and liquid, respectively; σ g M and σ l M are the mass transfer to gas and liquid, respectively; and A is the cross-sectional area of the pipeline. Assuming that there is no phase transition, gas concentration or liquid evaporation in the annular flow, the source term in Equations (6) and (7) is zero: σ g M = σ l M = 0 .
The momentum equations for gas and liquid are given by:
1 A d d x α g ρ g u g 2 A + α g d P d x = F g + σ g M u ex
1 A d d x α l ρ l u l 2 A + α l d P d x = F l + σ l M u ex
where P is the shared static pressure of gas, liquid and interface, and F g and F l are the momentum transfer to gas and liquid, respectively. Under ideal wall assumptions, F l is the momentum transfer from gas to liquid through interfacial forces. u e x is the velocity associated with the interfacial mass transfer.
The energy equations of gas and liquid are given by:
1 A d d x α g ρ g u g A e g + P ρ g + u g 2 2 = F g u g + σ g M h ex + u ex 2 2
1 A d d x α l ρ l u l A e l + P ρ l + u l 2 2 = F l u l + σ l M h ex + u ex 2 2
where h e x is the enthalpy associated with mass transfer. As a result of the fast flow velocity and short staying time in the tube, the heat transfer in the flow was insufficient, so heat exchanges between phases and external heat exchanges were all ignored, resulting in an adiabatic flow.
Because the pressure was not high, the liquid was considered to be an incompressible flow with a constant density. Gases, however, are compressible, and the ideal gas equation of state was chosen. To ensure the symmetry of the gas-liquid governing equations, the stiffened gas equation of state (SG EOS) was used to describe the state of the gas and the liquid:
h g = γ g ( P + P g ) ρ g ( γ g 1 ) + e g ,
h l = γ l ( P + P l ) ρ l ( γ l 1 ) + e l ,
where γ g and γ l are the specific heat ratio of gas and liquid, respectively, and P g , e g , P l and e l are constants determined by the properties of gas and liquid, respectively. In Equations (12) and (13), P indicates how stiffened it is compared to the ideal gas and e represents the internal energy offset. The SG EOS takes into account the compressibility of liquid and is widely used in compressible two phase flow models. For more details, see Yeom and Choi [34].
The void fraction for gas and liquid reads:
α g + α l = 1
All the variables in Equations (6)–(14)are related only to the position x of the tube axis, where the tube profile A = A(x) is a geometric parameter that is known when the tube profile is given. There are nine unknowns: P , u g , u l , h g ,   h l , ρ g ,   ρ l , α g   and   α l , and nine ordinary differential equations. After the momentum transfer model F g and F l were established, the equations were closed and could be solved using the Runge-Kutta method.

3.2. Closure Condition

The momentum exchange between gas and liquid in annular flow relies on interfacial shear force, which is influenced mainly by interfacial wave properties, such as wave type, length, velocity and amplitude, as well as other characteristic parameters [1,35,36,37] and entrainment [3]. However, due to the complex mechanisms of interfacial waves and entrainment, an analytical model for interfacial shear force is difficult to obtain; thus, empirical, or semi-empirical, relations--fitted by experiments--are widely used. In these relationships, the interfacial shear stress is obtained from the measured pressure drop based on the momentum balance equation of the gas core; its expression refers to the knowledge of wall friction in a single-phase tube flow, which can be expressed as [3,20,37,38,39]:
τ i = 1 2 f i ρ g ( u g u l ) u g u l
where f i is the interfacial friction factor obtained through experiment, which can be expressed by dimensionless parameters such as the Reynolds number of the gas and liquid, dimensionless liquid thickness, etc., after dimensional analysis. Wallis proposed one of the earliest models for vertical annular flow [20]. Based on the Wallis model, many improvements were made to develop different f i models suitable for flow conditions in a specific range [3,24,35,36,40,41,42,43].
To obtain a correlation applicable to a wider flow range, Aliyu et al. [3] fitted the interfacial friction factor with 332 experimental points and obtained a correlation applicable to the ranges: gas fraction, 0.1–1; pressure, 0.09–0.6 MPa; and pipe diameter, 5–127 mm. The formula is:
f i = f s 1 + 0.3 ( t / D ) 0.12 Re g 0.54 F r g 1.2 1.5
in which t is the liquid thickness, D is the pipe diameter, f s = 0.046 Re g 0.2 , Re g = ρ g u s g D / μ g , the gas Froude number F r g = u s g / g D , and gas superficial velocity u s g = D g 2 u g / D 2 . According to Equation (16), the momentum exchange term can be expressed as:
F g = 4 π α g A τ i = 4 π α g A 1 2 f i ρ g ( u g u l ) u g u l
The interfacial shear force is a pair of interaction forces; thus, F l = F g is obtained to close Equations (6)–(14).

3.3. Validation of the Annular Flow Model

This work emphasizes accurately describing the interphase work and energy transfer in variable cross-sectional tubes; thus, the interfacial shear stress model is crucial. To verify the current model, a marine two-phase nozzle was tested, and the pressure drop and nozzle thrust were measured.
(1) Set-up
Figure 1 presents the schematic of the testing system of this nozzle. The pipeline system is divided into two parts: water supply and gas supply. The water supplied by a water tank is driven by an XWL42.15 high-pressure plunger pump produced by the AR Company of Italy with a maximum pressure of 15 MPa. After that, the water enters an NXQ hydraulic bladder accumulator, which can suppress the pressure pulsation to generate a steady water flow. The water flow rate can be adjusted in the range of 0–65 L/min by controlling the motor speed with different frequency inputs. The nitrogen supplied by a high-pressure nitrogen cylinder passes through a pressure-reducing valve to obtain a stable pressure source. Then, a sonic nozzle is used to control the gas flow rate. A check valve at the end is used to prevent backflow. Finally, the water and gas are introduced into the mixing chamber and then the test nozzle.
(2) The test nozzle
The structure of the experimental nozzle is shown in Figure 2a. A mixing chamber, in which the water flows through a porous rectifier in the center and the radially injected gas flows through the annular slit, is fixed on the support frame. The testing nozzle is attached to the mixing chamber, and it has an inlet diameter of 11.5 mm, a nozzle length of 25 mm and an outlet diameter of 5.5 mm. The nozzle profile is a Wittosinski curve. Herein, the flow pattern in the nozzle is a unique annular flow with a central water jet surrounded by annular gas flow. In practical application of the underwater nozzle, this configuration can easily produce an annular flow without a long gas-liquid mixer.
(3) Measurement devices
The thrust, water flow rate, nitrogen gas flow rate and pressure were measured in this experiment. A turbine flow meter (LWGB-6) with a range of 0–6 m 3 / h and an accuracy of ± 0.5 % F.S. was used to measure the water flow rate. The gas flow rate was indirectly calculated by the pressure before the sonic nozzle. There were six pressure measuring points distributed on the nozzle wall axially, as shown in Figure 2a,b, which were measured by six piezoresistive pressure transmitters (Cyyz11) from Star sensor manufacturing Co., Ltd., Langfang, China. The measuring range was 0–2.5 MPa, and the accuracy class was ± 0.1 % F.S. The thrust was measured by a target disk with a diameter of 72 mm, as shown in Figure 2c. The force sensor adopted the HZC-01 sensor made by Cheng Yin company, with a range of 0–50 kg and an accuracy of ± 0.05 % F.S. The pressure, flow rates and thrust signals were collected to the computer via a data acquisition card for further analysis.
(4) Testing results
As shown in Table 1, five tests were conducted with different gas and water flow rates, and the nozzle inlet pressures were also measured. The nozzle outlet pressure in these tests was 1 atm. Based on these conditions, the nozzle inlet conditions for the two fluid model could be obtained. To predict the interfacial shear force in this unique annular flow nozzle by using the present model, a simple transformation was adopted. Its principle is shown in Figure 3, where the two nozzles have the same diameters, and the liquid film thickness in the left nozzle (a) is identical to that of the gas in the right nozzle (b). If the flow parameters, such as velocity and density, fulfill u g 1 = u g 2 , u l 1 = u l 2 , ρ g 1 = ρ g 2 and ρ l 1 = ρ l 2 , their interfacial shear stress is considered to be identical at this cross-section. Then, the pressure variation and thrust were calculated and compared with experimental results.
Figure 4a shows the calculated and measured pressure distributions along the nozzle axis for the five tests. The results indicate that the theoretical model can predict the first five pressures well, with only the last value being larger than the experiments. The difference was mainly caused by the enhanced interphase momentum exchange near the nozzle exit, where the two phases are mixed to a larger extent due to the instability of this flow pattern. According to Figure 4b, the predicted thrusts agreed reasonably with experiments, and the most significant deviation was about −10%. It is demonstrated that the predicting accuracy of this model was not sensitive to the boundary conditions in the current tests, and it can accurately describe the interphase work and energy transfer.

3.4. Results and Discussion for Annular Flow

The annular flow was simulated using the variable cross-section pipeline shown in Figure 5a under the working conditions of P o u t = 0.1 MPa, m ˙ l = 0.5 kg/s and m ˙ g = 0.042 kg/s. The inlet diameter D i n was 50 mm, the outlet diameter D o u t was 20 mm, and the length diameter ratio L / D i n was 5.
In the subsonic case (shown in Figure 5a–e), while the cross-section converged linearly as the gas and liquid flowed downstream (Figure 5a), the relative thickness of the liquid layer increased as the gas velocity became faster than the liquid velocity (Figure 5b), and the dimensionless interfacial stresses increased rapidly after x/L > 0.6 (Figure 5b) due to significant interphase velocity slip. The resulting interfacial forces climbed more slowly than the stresses because of the decreasing interfacial area. The total pressure of the gas gradually decreased and that of the liquid increased at the same time (Figure 5c), indicating that the mechanical energy of gas was transferred to liquid by the work of the interphase force.
The work factor of gas f g , defined in Equation (2), was used to measure the energy conversion capability in this process. The interphase work transfer coefficient k g , defined in Equation (3), represented work loss caused by interfacial slip. Figure 5d shows that all three coefficients decreased along the coordinate direction, despite enhanced energy conversion and transfer (Figure 5e). As shown in Figure 5a–e, the interfacial shear force and interphase energy transfer were continuously intensified by decreasing the cross-section area of the pipeline to control expansion and accelerate the gas process, which converted more gas work into the mechanical energy of the liquid.
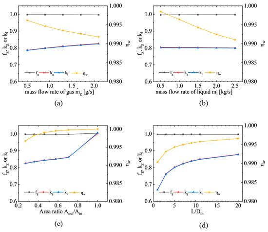
Figure 6a–e illustrates the influence of the inlet conditions and geometry parameters. Overall, the interphase mechanical efficiency η w was the least affected of the four parameters defined in Section 2, with an absolute variation of only 0.5%. A greater mass flow rate of gas resulted in a higher k g and η w but led to a fall in f g , as shown in Figure 6a, which means that more gas made it possible for the liquid to receive the work of the gas. This benefit came at the cost of reducing the capability of the gas work output. Although greater liquid mass flow can also bring a higher k g , f g was nearly independent of this, and η w showed a slight trend to decrease (Figure 6b).
Higher gas total pressure had a greater ability to work on the liquid, resulting in a larger f g ; however, the resulting greater velocity slip was not conducive to energy transfer, leading to a smaller k g . Thus, the effect of the interphase work-to-energy conversion coefficient k l from the total gas pressure at the inlet was relatively small, implying that a reasonably lower gas total pressure supply is sufficient in engineering design (Figure 6c).
In the convergent nozzle, a smaller area ratio A o u t / A i n resulted in greater convergence and higher exit velocity. According to Figure 6d, when the area ratio A o u t / A i n was becoming smaller, f g , k g , k l and η w were all decreasing, indicating that a high jet speed can pay the price for efficient loss of energy transfer and conversion. If the length-diameter ratio increased, the residence time of the gas became longer, resulting in a higher interphase work-to-energy conversion coefficient k l . However, the interphase mechanical efficiency η w decreased, as shown in Figure 6e.
From the perspective of correlation sensitivity, the gas flow rate is the most important inlet condition that can significantly affect the work factor of the gas f g and the interphase work transfer coefficient k g . In general, the interphase mechanical energy transfer is significantly more affected by structural parameters than by inlet conditions. By changing the cross-section area of the pipeline, more gas work is transferred to the mechanical energy of liquid, resulting in greater momentum of the jet; however, the efficiency of the energy transfer is decreased. For two-phase jet propulsion, the main goal of the nozzle design is to generate a larger thrust with higher propulsion efficiency, indicating the importance of conducting fine design and optimization of two-phase flow nozzles.

4. Bubbly Flow in Variable Cross-Section Tubes

Based on the bubbly flow model derived by Wang and Chen [25], a one-dimensional steady bubbly flow model for the variable cross-section pipeline was established, disregarding the mass and heat exchange between phases. The gas was assumed to be an adiabatic flow, and the effects of boundary layer and turbulence were ignored.

4.1. Flow Model

The respective mass equations for the gas and liquid are:
d d x α g ρ g u g A = 0
d d x α l ρ l u l A = 0
The void fraction equation reads:
α g + α l = 1
For simplicity, the bubbles whose coalescence and fission are ignored are assumed to be spherical and dispersed on any cross-section of the pipe. With no mass transfer at the interface, the relationship between the bubble volume, V g , and gas density, ρ g , is obtained as ρ g V B = ρ g i n V B i n , where the subscript i n indicates the pipe inlet. Thus, the mass equation for a single bubble can be expressed as a differential form with the bubble radius R:
d d x ρ g R 3 = 0
As for the annular flow in Section 3, the effect of gravity on the pipeline flow was not considered, and wall friction was also ignored. The combined momentum equation for the two-phase mixture is:
1 A d d x ( α l ρ l u l 2 A + α g ρ g u g 2 A ) + d p d x = ρ l d d x 1 4 α g u g u l 2 + α g R D g 2 R D t 2 + 5 2 D g R D t 2
For a non-deformable bubble moving in the fluid, interfacial forces can be decomposed into skin and form drag force, virtual mass, Basset, wall lubrication, lift and turbulent dispersion force [22,44]. The last three forces are relatively small and suitable to the multi-dimensional case; they were not considered in the current one-dimensional model. The Basset force is suitable for unsteady flow and was also excluded. The bubble momentum equation is:
1 2 ρ l V B D l u l D t D g u g D t + 1 2 ρ l u l u g D g V B D t V B d p d x C D 1 2 ρ l u g u l u g u l π R 2 = ρ g V B D g u g D t
where D l / D t = / t + u l / x is the substantial derivative based on the liquid velocity, and C D is the drag coefficient. The first term on the left side of Equation (23) represents the virtual mass force F B v m , the second term is the additional virtual mass force caused by radial deformation of bubbles F B d v m and the fourth term is the drag force F B d ; the inertial force on the right side can be ignored due to the negligible mass of a bubble.
Considering the inertial effects related to the growth and collapse of the bubbles, a modified Rayleigh-Plesset equation was introduced to relate the bubble radius to the local pressure:
R D g 2 R D t 2 + 3 2 D g R D t 2 + 4 ν e R D g R D t + 2 σ ρ l R i n R i n R R i n R 3 k + p p i n ρ l + p i n p v ρ l 1 R i n R 3 k 1 4 u g u l 2 = 0
where ν e = 0.125   ω N R i n 2 , σ is the surface tension coefficient, and p v is the saturation vapor pressure. (Assume that the gas is adiabatic, and its specific heat ratio k is a constant; here, k = 1.4.).
According to Equation (24), four interfacial stresses were induced by the expansion of the bubbles and lead to the pressure difference between gases and liquids:
τ 1 = ρ l R D g 2 R D t 2 + 3 2 ρ l D g R D t 2
τ 2 = ρ l 4 ν e R D g R D t
τ 3 = 2 σ R i n R i n R R i n R 3 k
τ 4 = 1 4 ρ l u g u l 2
Formula (25) denotes the interfacial stress due to the radial deformation of bubbles and the inertia effect of liquid, resulting in a pressure difference between liquid at the bubble surface and at infinite distance. Formula (26) is the normal stress at the bubble surface due to liquid viscosity. Formula (27) denotes interfacial stress due to surface tension. Formula (28) is the interfacial stress resulting from the average pressure of surrounding fluids caused by the motion of the bubbles.
Among these interfacial forces, the directions of virtual mass force F B v m , drag force F B d and deformation virtual mass force F B d v m are opposite to the bubble velocity; thus, they are the driving forces for liquids.
In Equation (1), the power of interphase forces on gas can be disassembled into:
W ˙ f , g = W ˙ v m f , g + W ˙ d m f , g + W ˙ d f , g + W ˙ e f , g
Though the duration of 0 t g , the work of these forces on gas can be expressed as: W v m f , g = 0 t g Δ N F B v m u g d t , W d m f , g = 0 t g Δ N F B d v m u g d t , W d f , g = 0 t g Δ N F B d f u g d t , where Δ N = N ˙ Δ t is the number of bubbles over the time of Δ t , N ˙ = m ˙ g ρ g V B is the number flow rate of bubbles and W e f , g represents the work of interfacial stress (25)~(28) on gases. However, the expression of W e f , g cannot be expressed analytically, but can be obtained indirectly through Equations (1) and (29). The total pressure increments of liquid result from the work of interfacial forces, and the power can be decomposed into:
W ˙ f , l = W ˙ v m f , l + W ˙ d m f , l + W ˙ d f , l + W ˙ e f , l
The work of each force on liquid can be expressed as: W v m f , l = 0 t g Δ N F B v m u l d t , W d m f , l = 0 t g Δ N F B d v m u l d t and W d f , l = 0 t g Δ N F B d f u l d t .
For steady flow, / t = 0 in Equations (22)–(24) is considered. Equations (18)–(24) Are a set of second-order, non-linear ordinary differential equations with seven unknowns ( α g , α l , u g , u l , ρ g , R , p ). They are closed and, given the initial conditions, can be solved by the fourth-order Runge-Kutta method with variable step size.

4.2. Validation of the Bubbly Flow Model

This bubbly flow model used in variable cross-section tubes is well-established and has been verified extensively. Wang and Chen [25] compared this bubbly flow model with experimental data, showing that it can reasonably predict the subsonic bubbly flow and the phase relative velocity. After that, Zhang et al. [11] utilized the same model to simulate the bubbly nozzle flow of a two-phase underwater ramjet. Compared with the experiment, the predicted thrust was consistent with the measured data, within ±20% deviations. This model, therefore, is sufficient to simulate the interphase work and energy transfer.

4.3. Results and Discussion for Bubbly Flow

The convergent pipeline shown in Figure 5a was adopted with flow conditions of P o u t = 0.1 MPa, m ˙ l = 1.5 kg/s, m ˙ g = 0.001 kg/s and R i n = 1 mm, and an identical inlet velocity for gas and liquid.
As illustrated in Figure 7a, by decreasing the cross-section linearly, the bubble radius increased continuously throughout the flow, indicating that the bubble was expanding and working on the liquid. The gas and liquid continued to accelerate in the pipeline, but the bubbles moved faster than the liquid. Figure 7b shows that the forces on a single bubble increased sharply in the second half of the pipeline, indicating that intense momentum exchange occurred. Among the interfacial forces, drag force and virtual mass force were dominant, and deformation virtual mass force was relatively small. Figure 7c indicates that the mechanical energy of gas was transferred to liquid.
Figure 7d shows the distribution of the three coefficients along the pipeline. That the gas work factor f g was always close to one shows excellent energy conversion capability for bubbly flow, and the interphase work-to-energy conversion coefficient k l was affected mainly by k g (i.e., the interfacial slip). As shown in Figure 7e, almost all of the enthalpy drop of gas (black line) was converted to the work W f , g (red line), resulting in the work factor of gas f g being up to 99.75%, and only 0.25% of the gas enthalpy drop was to increase its kinetic energy (Figure 8). About 80.32% of W f , g was transferred to liquid (dark blue line in Figure 7e), which mainly depended on drag force (66.25%) and virtual mass force (29.78%), and the energy transferred by the deformation virtual mass force and other forces accounted for less than 4% (Figure 8). In this process, the main energy loss resulted from the interphase velocity slip, implying that reducing velocity slip is the key to improving work and energy transfer between phases. Noticeably, it should start by improving the drag force and virtual mass force.
For bubbly flow in the pipeline, sketched in Figure 5a, with different inlet conditions and different geometries, the steady bubbly flow model described above was adopted to simulate the flow characteristics, as shown in Figure 9a–d. In general, the work factor of gas f g was always close to one, which means that the gas output nearly all of its available energy to liquid; thus, the variation and value of interphase work-to-energy conversion coefficient k l were always similar to the interface work transfer coefficient k g . Meanwhile, the interphase mechanical efficiency η w also showed a slight trend of variation, with a value of about 0.99~1.
As shown in Figure 9a, a greater mass flow rate of gas injected into the bubbly flow helped to accelerate the liquid and decrease the velocity slip, leading to a larger k g , but the cost was the increment of total mechanical energy loss, which resulted in a smaller η w . Though greater mass flow rate of liquid also caused a fall of η w , k g and k l were almost unchanged, indicating that increasing the liquid flow rate apparently did not change the relative movement of the bubbles inside it, so the interphase work transfer capability remained unchanged (Figure 9b).
For bubbly flow in a convergent nozzle, the smaller area ratio contributed to smaller k g , k l and η w (Figure 9c), which also showed that the greater generated thrust resulted not only from the greater interphase work loss, but also from the higher loss of total mechanical energy of the two phases. According to Figure 9d, a larger length-diameter ratio meant a longer interacting time between the bubbles and liquid, and, thus, more work could be transferred to the liquid through interfacial forces, resulting in larger k l and η w , which suggests an available way to improve gas energy usage in the future.
From the perspective of correlation sensitivity, the gas flow rate was the only inlet condition that affected the interface work transfer coefficient k g , and, thus, the interphase work-to-energy conversion coefficient k l . For bubbly flow, the inlet conditions and geometry parameters mainly affected the interphase work transfer, while the energy conversion of gas was always maintained at a high level. Compared with the inlet conditions, the geometry parameters of the pipelines could impact the interphase work transfer to a greater extent, implying that the optimization design of the pipe geometry is crucial.

5. Homogeneous Flow in Mechanical Equilibrium

In the homogeneous flow model, two phases evolved in mechanical equilibrium, so the gas, liquid and interface—having the same pressure and velocity at any cross section—represented limiting momentum exchange coupled by interfacial forces. In the absence of shock waves, each phase was assumed to be an isentropic flow, which greatly simplified the model. This method of the corresponding model, derived by Kapila et al. [45], was given by LeMartelot et al. [27].
The flow in the pipeline was also assumed to be a one-dimensional steady flow. According to LeMartelot et al. [27], at the left and right sides of each cross-section, the following relations read:
ρ + u + A + = ρ u A , s k + = s k , Y k + = Y k , H k + = H k
where the subscript k represents the gas (k = g) and liquid (k = l), respectively. The mass fraction of gas and liquid can be expressed as Y k = α k ρ k / ρ . According to SG EOS (Equations (12) and (13)) and the isentropic condition, the density of gas and liquid reads ρ g = ρ g i n P + P g P i n + P g 1 / γ g and ρ l = ρ l i n P + P l P i n + P l 1 / γ l , respectively. Thus, the mixture density can be expressed as a function of pressure: 1 ρ = Y g i n ρ g P + Y l i n ρ l P .
The total enthalpy of the mixture can be given by H = Y g i n h g + Y l i n h l + u 2 / 2 , and the static enthalpy of gas and liquid can be expressed by the SG EOS h g = γ g ( P + P g ) ( γ g 1 ) ρ g and h l = γ l ( P + P l ) ( γ l 1 ) ρ l , respectively. According to the conservation of total enthalpy, the velocity at any cross-section can be expressed as a function of pressure:
u = 2 H i n Y g i n h g P + Y l i n h l P
For subsonic or transonic flows, and given inlet conditions W i n = ρ g i n , ρ l i n , α g i n , P i n T and tube profile A(x), the mass flow rate can be determined from the outlet section, which depends only upon the outlet pressure:
m ˙ = ρ o u t ( P o u t ) u o u t ( P o u t ) A o u t
The velocity at any cross section A i of the tube can be obtained from the mass flow rate formula u i ( P i ) = m ˙ ρ i ( P i ) A i , where the pressure P i must be determined. According to the conservation of total enthalpy:
Y g i n h g P i + Y l i n h l P i + 1 2 u i ( P i ) 2 = H i n
only the pressure P i is unknown, and it can be solved using the Newton-Raphson method. Once the local pressure was obtained, other quantities were determined by using the above corresponding relations.
No pressure difference and no velocity slip mean that the momentum coupling between phases reached the maximum, and there were infinite interfacial forces to ensure an identical velocity at all times. Thus, the interface work transfer coefficient satisfied k g = 1 , and, theoretically, the interphase work-to-energy conversion coefficient k l reached its highest value in homogeneous flow.
The pipe geometry shown in Figure 5a was utilized, and the inlet conditions were as follows: liquid flow rate, 1.43 kg/s; gas flow rate, 0.001 kg/s; and outlet pressure, 0.1 MPa. The calculated interphase work-to-energy conversion coefficient k l was 0.9981, indicating that only a small part of the gas enthalpy drop was converted into its kinetic energy, and most of that was transferred to liquid. Since there was no relative slip between phases, energy loss was zero, and the interphase mechanical efficiency η w was one.
In homogeneous flow, the interphase work-to-energy conversion coefficient k l was close to one, and the variation of flow conditions had very little effect on it; therefore, sensitivity analysis and detailed discussion are not included here.

6. Comparison among Three Flow Regimes

From annular flow and bubbly flow to homogeneous flow, the momentum coupling between phases gradually strengthened and finally achieved a maximum level. These four coefficients (defined in Section 2 for the three flow regimes) are shown in Table 2 and were obtained under the same pipe geometry (Figure 5a) and flow conditions (the liquid mass flow rate was 1.3679 kg/s, the gas mass flow rate was 0.0012 kg/s, and the outlet pressure was 0.1 MPa).
Under the same conditions, the interphase work-to-energy conversion coefficient k l and the interphase mechanical efficiency η w gradually increased from annular flow to bubbly flow to homogeneous flow, indicating that the liquid in the homogeneous flow could receive more transferred energy by interphase force, paying the lowest price to the energy conversion. Thus, from the perspective of interphase mechanical energy transfer, homogeneous flow was the limit of the gas-liquid two phase flow. Additionally, although the interphase energy transfer ability of bubbly flow was obviously weaker than that of the homogeneous flow, it was much stronger than that of the annular flow, and the interphase work-to-energy conversion coefficient k l was nearly ten times higher than that of the annular flow.
Among the three flow patterns, the difference in the work transfer coefficient k g was more apparent than in the gas work factor, implying that the velocity slip is the main influencing factor on interphase work-to-energy conversion coefficient k l . The velocity slip between the phases in the annular flow was greatest, so its interphase work transfer coefficient k g was only 0.1058. A higher degree of gas dispersion in liquid contributed to a greater transfer of mechanical energy, implying that enhancing interphase mixing is the best way to reduce energy loss.

7. Conclusions

This work established a two fluid model of annular flow, a two fluid model of bubbly flow and a homogeneous flow model in which only interphase momentum exchanges were considered in all three one-dimensional models. To capture the interphase energy conversion and work transfer, an interfacial shear stress model, proposed by Aliyu et al. [3], was adopted to close the current annular flow model. Drag force, virtual mass force and additional virtual mass force were included in the bubbly flow model; the interfacial forces due to the radial deformation of bubbles involved in the modified Rayleigh-Plesset equation were also analyzed. Based on the three flow regimes, work efficiency and energy transfer characteristics were discussed and compared systematically by introducing four new coefficients: gas work factor f g , interface work transfer coefficient k g , interphase work-to-energy conversion coefficient k l and interphase mechanical efficiency η w . The main conclusions are as follows:
(1) For both the annular and bubbly flows, the gas flow rate was the most important inlet condition to significantly promote the interphase work transfer. Geometry parameters appeared to affect interphase mechanical energy transfer similarly for these two flow patterns and—to a larger extent—in comparison with inlet conditions;
(2) By changing the cross-sectional area of the pipeline, the interphase energy transfer was intensified to generate a greater jet momentum, but k l and η w were lower compared to the constant section tube, indicating the importance of carrying out the fine design and optimization of two-phase flow nozzles. In general, a higher mass flow rate of gas, a larger length-diameter ratio or a greater area ratio can produce higher k l . A smaller mass flow rate of liquid, or larger area ratio, contributes to a higher η w ;
(3) From annular flow to bubbly flow to homogeneous flow, the interphase momentum coupling mechanisms were distinguished, the result being that the influence of the inlet conditions and geometry parameters on interphase energy conversion and transfer was not identical. The higher degree of gas dispersion in the liquid was conducive to the conversion of gas work into the mechanical energy of the liquid. Among these three flow patterns, the annular flow had the lowest interphase work-to-energy conversion coefficient and mechanical efficiency ( k l = 0.0797 , η w = 0.9885 ); the bubbly flow was second ( k l = 0.8060 , η w = 0.9945 ); and the homogeneous flow was the limit for interphase mechanical energy conversion because the gas-liquid momentum coupling reached the maximum, resulting in the highest conversion coefficient and mechanical efficiency ( k l = 0.9979 , η w = 1 ).
The results of this study provide insight into the application and understanding of interphase momentum transfer and mechanical energy conversion in gas-liquid variable cross-section tube flow. The work potential of gas in other flow patterns still requires further study. The influences of mass and heat transfer between phases on mechanical energy conversion are also a topic for future research.

Author Contributions

Conceptualization, B.F. and L.Q.; methodology, B.F. and L.Q.; investigation, B.F.; writing—original draft preparation, B.F.; writing—review and editing, B.F., L.Y., L.Q. and J.L.; supervision, L.Y., L.Q. and J.L.; funding acquisition, L.Q. All authors have read and agreed to the published version of the manuscript.

Funding

This research was funded by National Natural Science Foundation of China, grant number 50706003.

Institutional Review Board Statement

Not applicable.

Informed Consent Statement

Not applicable.

Data Availability Statement

Data supporting the findings of this study are available from the corresponding author upon reasonable request.

Acknowledgments

The authors gratefully acknowledge the support of the National Natural Science Foundation of China.

Conflicts of Interest

The authors declare no conflict of interest.

Nomenclature

A Pipe cross-sectional area, m2
C D Drag coefficient
D Pipe diameter, m
e Specific internal energy, J/kg
F Force, N; momentum transfer
F r Froude number
f Friction factor
f g Work factor of gas
H Enthalpy
h Specific enthalpy
k Specific heat ratio
k g Interface work transfer coefficient
k l Interphase work-to-energy conversion coefficient
L Pipe length, m
m ˙ Mass flow rate, kg/s
N ˙ Number flow rate, s−1
P Static pressure, Pa
P * Total pressure, Pa
Q ˙ Heat transfer rate, J/s
R Bubble radius, m
R e Reynolds number
t Time, s; liquid thickness, m
u Velocity, m/s
u s Superficial velocity, m/s
V Bubble volume, m3
W Work, J
W ˙ Power, J/s
x Cartesian coordinate, m
Y Mass fraction
Greek symbols
α Void fraction
γ Specific heat ratio
η w Interphase mechanical efficiency
μ Dynamic viscosity, Pa.s
ρ Density, Kg/m3
σ Interfacial mass transfer rate; surface tension coefficient, N/m
τ Stress, N/m2
Superscript
d Drag
d v m Virtual mass force due to deformation
e x Interfacial exchange
M Mass
Q Heat transfer
v m Virtual mass force
Subscript
B Bubble
d f Drag force
d m f Virtual mass force due to deformation
e f Forces due to expansion
g Gas phase
i Interface
i n Pipe inlet
k Phase k
l Liquid phase
o u t Pipe outlet
v Vapor
v m f Virtual mass force

References

  1. Emamzadeh, M. Modelling of Annular Two-Phase Flow in Horizontal and Vertical Pipes Including the Transition from the Stratified Flow Regime; Imperial College London: London, UK, 2012. [Google Scholar]
  2. Berna, C.; Escrivá, A.; Muñoz-Cobo, J.L.; Herranz, L.E. Review of Droplet Entrainment in Annular Flow: Interfacial Waves and Onset of Entrainment. Prog. Nucl. Energy 2014, 74, 14–43. [Google Scholar] [CrossRef]
  3. Aliyu, A.M.; Baba, Y.D.; Lao, L.; Yeung, H.; Kim, K.C. Interfacial Friction in Upward Annular Gas–Liquid Two-Phase Flow in Pipes. Exp. Therm. Fluid Sci. 2017, 84, 90–109. [Google Scholar] [CrossRef]
  4. Sun, Y.; Xu, Z.; Wang, C.; Fan, Y. Experimental Studies on the Upward Flow Characteristics of High-Pressure Gas and Water in Small-Diameter Vertical Pipes. Phys. Fluids 2019, 31, 025114. [Google Scholar] [CrossRef]
  5. Haustein, H.D.; Gany, A.; Elias, E. Multiphase Marine Ramjet Using Liquefied Gas as a Source of Bubbles. J. Mar. Sci. Eng. 2020, 8, 710. [Google Scholar] [CrossRef]
  6. Yan, J.; Liu, J.; Lin, W.; Chen, G.; Xing, Q. Research on Mechanism of Steam-Water Two-Phase Flow Injector. Nucl. Power Eng. 2001, 22, 490–500. [Google Scholar]
  7. Gany, A.; Shemer, A.; Gofer, A.; Har-Lev, D. Testing Air-Augmented Waterjet Propulsion. In Waterjet Propulsion 5; The Royal Institution of Naval Architects: London, UK, 2008; pp. 47–52. [Google Scholar]
  8. Gowing, S.; Mori, T.; Neely, S. Research on Two Phase Waterjet Nozzles. J. Fluids Eng. 2010, 132, 121302. [Google Scholar] [CrossRef]
  9. Wu, X.; Choi, J.-K.; Singh, S.; Hsiao, C.-T.; Chahine, G.L. Experimental and Numerical Investigation of Bubble Augmented Waterjet Propulsion. J. Hydrodyn. 2012, 24, 635–647. [Google Scholar] [CrossRef]
  10. Choi, J.-K.; Wu, X.; Chahine, G.L. Bubble Augmented Propulsion with a Convergent-Divergent Nozzle. In Proceedings of the 30th Symposium on Naval Hydrodynamics, Hobart, TAS, Australia, 2–7 November 2014; p. 14. [Google Scholar]
  11. Zhang, J.; Xia, Z.; Huang, L.; Ma, L. Experimental and Numerical Parametric Studies on Two-Phase Underwater Ramjet. J. Propuls. Power 2018, 34, 161–169. [Google Scholar] [CrossRef]
  12. Zhang, J.; Xia, Z.; Huang, L.; Ma, L. Power Cycle Analysis of Two-Phase Underwater Ramjet. Appl. Ocean Res. 2018, 71, 69–76. [Google Scholar] [CrossRef]
  13. Daneshgar, S.; Zahedi, R. Optimization of Power and Heat Dual Generation Cycle of Gas Microturbines through Economic, Exergy and Environmental Analysis by Bee Algorithm. Energy Rep. 2022, 8, 1388–1396. [Google Scholar] [CrossRef]
  14. Ghodrati, A.; Zahedi, R.; Ahmadi, A. Analysis of Cold Thermal Energy Storage Using Phase Change Materials in Freezers. J. Energy Storage 2022, 51, 104433. [Google Scholar] [CrossRef]
  15. Asemi, H.; Zahedi, R.; Daneshgar, S. Theoretical Analysis of the Performance and Optimization of Indirect Flat Evaporative Coolers. Future Energy 2023, 2, 9–14. [Google Scholar] [CrossRef]
  16. Hewitt, G.F.; Hall-Taylor, N.S. Annular Two-Phase Flow, 1st ed.; Pergamon Press: Oxford, UK, 1970. [Google Scholar]
  17. Fontalvo, E.M.G.; Branco, R.L.C.; Carneiro, J.N.E.; Nieckele, A.O. Assessment of Closure Relations on the Numerical Predictions of Vertical Annular Flows with the Two-Fluid Model. Int. J. Multiph. Flow 2020, 126, 103243. [Google Scholar] [CrossRef]
  18. Brennen, C.E. Fundamentals of Multiphase Flows, 2nd ed.; Cambridge University Press: Cambridge, UK, 2005. [Google Scholar]
  19. Castello Branco, R.L.; Fontalvo, E.M.G.; de Paula, I.B.; Carneiro, J.N.E.; Nieckele, A.O. Stability Analysis of Vertical Annular Flows with the 1D Two–Fluid Model: Effect of Closure Relations on Wave Characteristics. Int. J. Multiph. Flow 2022, 152, 103947. [Google Scholar] [CrossRef]
  20. Wallis, G.B. One-Dimensional Two-Phase Flow; McDraw-Hill Book Company: New York, NY, USA, 1969. [Google Scholar]
  21. Städtke, H. Gasdynamic Aspects of Two-Phase Flow: Hyperbolicity, Wave Propagation Phenomena, and Related Numerical Methods, 1st ed.; Wiley: Hoboken, NJ, USA, 2006; ISBN 978-3-527-40578-7. [Google Scholar]
  22. Ishii, M.; Hibiki, T. Thermo-Fluid Dynamics of Two-Phase Flow, 2nd ed.; Springer: New York, NY, USA, 2011; ISBN 978-1-4419-7984-1. [Google Scholar]
  23. Stevanovic, V.; Studovic, M. A Simple Model for Vertical Annular and Horizontal Stratified Two-Phase Flows with Liquid Entrainment and Phase Transitions: One-Dimensional Steady State Conditions. Nucl. Eng. Des. 1995, 154, 357–379. [Google Scholar] [CrossRef]
  24. Sugawara, S. Droplet Deposition and Entrainment Modeling Based on the Three-Fluid Model. Nucl. Eng. Des. 1990, 122, 67–84. [Google Scholar] [CrossRef]
  25. Wang, Y.-C.; Chen, E. Effects of Phase Relative Motion on Critical Bubbly Flows through a Converging–Diverging Nozzle. Phys. Fluids 2002, 14, 3215–3223. [Google Scholar] [CrossRef]
  26. Fu, Y.; Wei, Y.; Zhang, J. Parametric Study on the Thrust of Bubbly Water Ramjet with a Converging-Diverging Nozzle. J. Hydrodyn. 2009, 21, 591–599. [Google Scholar] [CrossRef]
  27. LeMartelot, S.; Saurel, R.; Le Métayer, O. Steady One-Dimensional Nozzle Flow Solutions of Liquid–Gas Mixtures. J. Fluid Mech. 2013, 737, 146–175. [Google Scholar] [CrossRef]
  28. McNeil, D.A.; Stuart, A.D. Vertically Upward Two-Phase Flow with a Highly Viscous Liquid-Phase in a Nozzle and Orifice Plate. Int. J. Heat Fluid Flow 2004, 25, 58–73. [Google Scholar] [CrossRef]
  29. Ambrosini, W.; Andreussi, P.; Azzopardi, B.J. A Physically Based Correlation for Drop Size in Annular Flow. Int. J. Multiph. Flow 1991, 17, 497–507. [Google Scholar] [CrossRef]
  30. Pandey, S.K.; Singh, A. Peristaltic Transport of Herschel–Bulkley Fluids in Tubes of Variable Cross Section Induced by Dilating Peristaltic Waves: Application to Sliding Hiatus Hernia. Int. J. Dynam. Control 2019, 7, 407–418. [Google Scholar] [CrossRef]
  31. Baranovskii, E.S. A Novel 3D Model for Non-Newtonian Fluid Flows in a Pipe Network. Math. Meth. Appl. Sci. 2021, 44, 3827–3839. [Google Scholar] [CrossRef]
  32. Baranovskii, E.S. Feedback Optimal Control Problem for a Network Model of Viscous Fluid Flows. Math. Notes 2022, 112, 26–39. [Google Scholar] [CrossRef]
  33. Zahedi, R.; Babaee Rad, A. Numerical and Experimental Simulation of Gas-Liquid Two-Phase Flow in 90-Degree Elbow. Alex. Eng. J. 2022, 61, 2536–2550. [Google Scholar] [CrossRef]
  34. Yeom, G.-S.; Choi, J.-I. Efficient Exact Solution Procedure for Quasi-One-Dimensional Nozzle Flows with Stiffened-Gas Equation of State. Int. J. Heat Mass Transf. 2019, 137, 523–533. [Google Scholar] [CrossRef]
  35. Chen, X.T.; Cal, X.D.; Brill, J.P. Gas-Liquid Stratified-Wavy Flow in Horizontal Pipelines. J. Energy Resour. Technol. 1997, 119, 209–216. [Google Scholar] [CrossRef]
  36. Fukano, T.; Furukawa, T. Prediction of the Effects of Liquid Viscosity on Interfacial Shear Stress and Frictional Pressure Drop in Vertical Upward Gas–Liquid Annular Flow. Int. J. Multiph. Flow 1998, 24, 587–603. [Google Scholar] [CrossRef]
  37. Kumar, K.; Fershtman, A.; Barnea, D.; Shemer, L. Evolution of Waves in a Horizontal Pipe Propagating on a Surface of a Liquid Film Sheared by Gas. Phys. Fluids 2021, 33, 062115. [Google Scholar] [CrossRef]
  38. Henstock, W.H.; Hanratty, T.J. The Interfacial Drag and the Height of the Wall Layer in Annular Flows. AIChE J. 1976, 22, 11. [Google Scholar] [CrossRef]
  39. Ullmann, A.; Brauner, N. Closure Relations for Two-Fluid Models for Two-Phase Stratified Smooth and Stratified Wavy Flows. Int. J. Multiph. Flow 2006, 32, 82–105. [Google Scholar] [CrossRef]
  40. Fore, L.B.; Beus, S.G.; Bauer, R.C. Interfacial Friction in Gas-Liquid Annular Flow: Analogies to Full and Transition Roughness. Int. J. Multiph. Flow 2000, 26, 1755–1769. [Google Scholar] [CrossRef]
  41. Ottens, M.; Klinkspoor, K.; Hoefsloot, H.C.J.; Hamersma, P.J. Wave Characteristics during Cocurrent Gas-Liquid Pipe Flow. Exp. Therm. Fluid Sci. 1999, 19, 140–150. [Google Scholar] [CrossRef]
  42. Rodrigues, H.T.; Pereyra, E.; Sarica, C. A Model for the Thin Film Friction Factor in Near-Horizontal Stratified-Annular Transition Two-Phase Low Liquid Loading Flow. Int. J. Multiph. Flow 2018, 102, 29–37. [Google Scholar] [CrossRef]
  43. Wongwises, S.; Kongkiatwanitch, W.; Hartnett, J.P.; Minkowycz, W.J. Interfacial Friction Factor in Vertical Upward Gas-Liquid Annular Two-Phase Flow. Int. Commun. Heat Mass Transf. 2001, 28, 323–336. [Google Scholar] [CrossRef]
  44. Yatabe, T.; Kanagawa, T.; Ayukai, T. Theoretical Elucidation of Effect of Drag Force and Translation of Bubble on Weakly Nonlinear Pressure Waves in Bubbly Flows. Phys. Fluids 2021, 33, 033315. [Google Scholar] [CrossRef]
  45. Kapila, A.K.; Menikoff, R.; Bdzil, J.B.; Son, S.F.; Stewart, D.S. Two-Phase Modeling of Deflagration-to-Detonation Transition in Granular Materials: Reduced Equations. Phys. Fluids 2001, 13, 3002–3024. [Google Scholar] [CrossRef]
Figure 1. Schematic of the testing system of a two phase nozzle.
Figure 1. Schematic of the testing system of a two phase nozzle.
Jmse 11 00926 g001
Figure 2. Experimental validation of the annular flow model: (a) cross-sectional view of the mixing chamber and test nozzle, (b) distribution of pressure measuring points on nozzle wall, (c) photograph of the nozzle, (d) photograph of the operating status.
Figure 2. Experimental validation of the annular flow model: (a) cross-sectional view of the mixing chamber and test nozzle, (b) distribution of pressure measuring points on nozzle wall, (c) photograph of the nozzle, (d) photograph of the operating status.
Jmse 11 00926 g002
Figure 3. The cross section of (a) traditional annular flow and (b) the current annular flow.
Figure 3. The cross section of (a) traditional annular flow and (b) the current annular flow.
Jmse 11 00926 g003
Figure 4. Comparison of predicted with measured values: (a) axial pressure profile, (b) nozzle thrust.
Figure 4. Comparison of predicted with measured values: (a) axial pressure profile, (b) nozzle thrust.
Jmse 11 00926 g004
Figure 5. Development of flow parameters along the pipeline for annular flow: (a) flow structure, (b) variation of velocities and interfacial force, (c) pressure changes, (d) distribution of energy transfer ratio, (e) accumulated work.
Figure 5. Development of flow parameters along the pipeline for annular flow: (a) flow structure, (b) variation of velocities and interfacial force, (c) pressure changes, (d) distribution of energy transfer ratio, (e) accumulated work.
Jmse 11 00926 g005
Figure 6. Influence of inlet conditions and geometry parameters in annular flow: (a) mass flow rate of gas, (b) mass flow rate of liquid, (c) gas total pressure, (d) area ratio, (e) length-diameter ratio.
Figure 6. Influence of inlet conditions and geometry parameters in annular flow: (a) mass flow rate of gas, (b) mass flow rate of liquid, (c) gas total pressure, (d) area ratio, (e) length-diameter ratio.
Jmse 11 00926 g006
Figure 7. Developments of flow parameters along the pipeline for bubbly flow: (a) flow structure, (b) variation of velocities and interfacial force, (c) pressure changes, (d) distribution of energy transfer ratio, (e) accumulated work.
Figure 7. Developments of flow parameters along the pipeline for bubbly flow: (a) flow structure, (b) variation of velocities and interfacial force, (c) pressure changes, (d) distribution of energy transfer ratio, (e) accumulated work.
Jmse 11 00926 g007
Figure 8. Work and energy in bubbly flow.
Figure 8. Work and energy in bubbly flow.
Jmse 11 00926 g008
Figure 9. Influence of inlet conditions and geometry parameters for bubbly flow: (a) mass flow rate of gas, (b) mass flow rate of liquid, (c) area ratio, (d) length-diameter ratio.
Figure 9. Influence of inlet conditions and geometry parameters for bubbly flow: (a) mass flow rate of gas, (b) mass flow rate of liquid, (c) area ratio, (d) length-diameter ratio.
Jmse 11 00926 g009
Table 1. Operating conditions of the test nozzle.
Table 1. Operating conditions of the test nozzle.
Test NumberGas Flow Rate
(g/s)
Water Flow Rate
(kg/s)
Nozzle Inlet Pressure (MPa)
10.480.3960.386
20.970.3960.469
30.480.1330.158
40.460.2630.256
50.470.5300.550
Table 2. Parameter comparisons among annular, bubbly and homogeneous flows.
Table 2. Parameter comparisons among annular, bubbly and homogeneous flows.
f g k g k l η w
Annular flow0.75350.10580.07970.9885
Bubbly flow0.99720.80620.80600.9945
Homogeneous flow0.997910.99791
Disclaimer/Publisher’s Note: The statements, opinions and data contained in all publications are solely those of the individual author(s) and contributor(s) and not of MDPI and/or the editor(s). MDPI and/or the editor(s) disclaim responsibility for any injury to people or property resulting from any ideas, methods, instructions or products referred to in the content.

Share and Cite

MDPI and ACS Style

Feng, B.; Yang, L.; Qin, L.; Li, J. Interphase Mechanical Energy Transfer of Gas-Liquid Flow in Variable Cross-Section Tubes. J. Mar. Sci. Eng. 2023, 11, 926. https://doi.org/10.3390/jmse11050926

AMA Style

Feng B, Yang L, Qin L, Li J. Interphase Mechanical Energy Transfer of Gas-Liquid Flow in Variable Cross-Section Tubes. Journal of Marine Science and Engineering. 2023; 11(5):926. https://doi.org/10.3390/jmse11050926

Chicago/Turabian Style

Feng, Bingren, Lijun Yang, Lizi Qin, and Jingxuan Li. 2023. "Interphase Mechanical Energy Transfer of Gas-Liquid Flow in Variable Cross-Section Tubes" Journal of Marine Science and Engineering 11, no. 5: 926. https://doi.org/10.3390/jmse11050926

APA Style

Feng, B., Yang, L., Qin, L., & Li, J. (2023). Interphase Mechanical Energy Transfer of Gas-Liquid Flow in Variable Cross-Section Tubes. Journal of Marine Science and Engineering, 11(5), 926. https://doi.org/10.3390/jmse11050926

Note that from the first issue of 2016, this journal uses article numbers instead of page numbers. See further details here.

Article Metrics

Back to TopTop