Research on the Residual Strength of Cracked Plate Considering Fatigue Crack Propagation under Cyclic Load
Abstract
:1. Introduction
2. Numerical Analysis
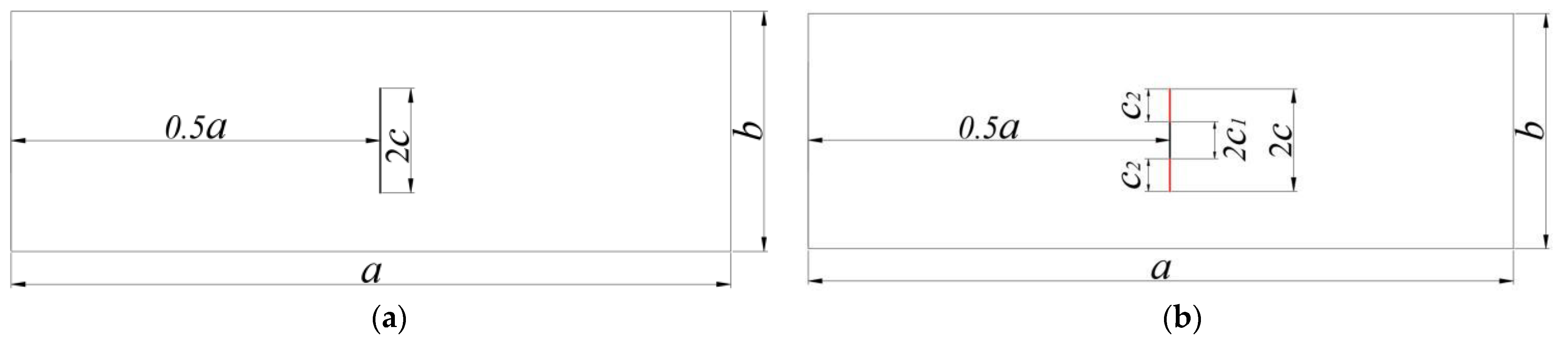
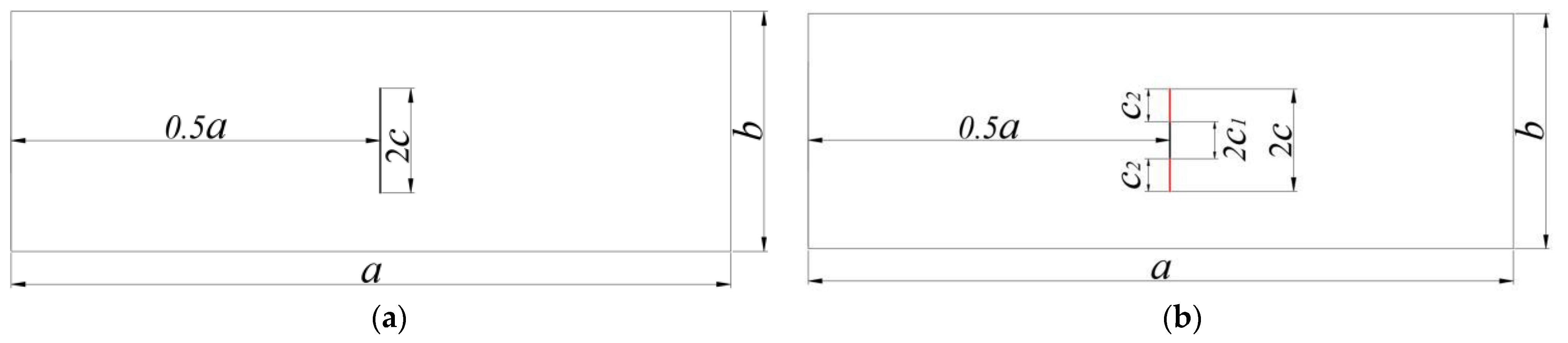
2.1. Geometric Model and Material Parameters
2.2. The Initial Welding Deformation
2.3. Mesh and Boundary Conditions
2.4. The Simulation Method of Crack Propagation
3. Results and Discussion
3.1. The Effect of the Number of Load Cycles
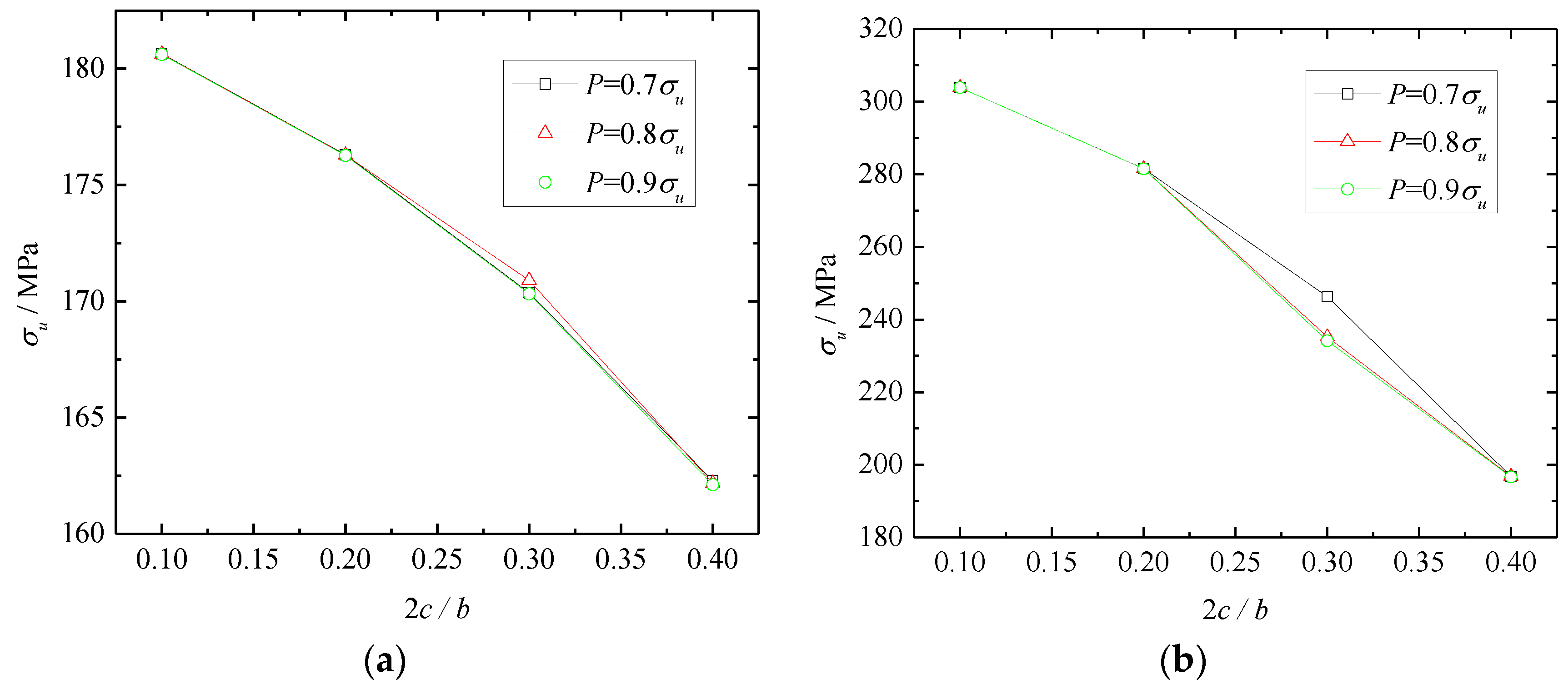
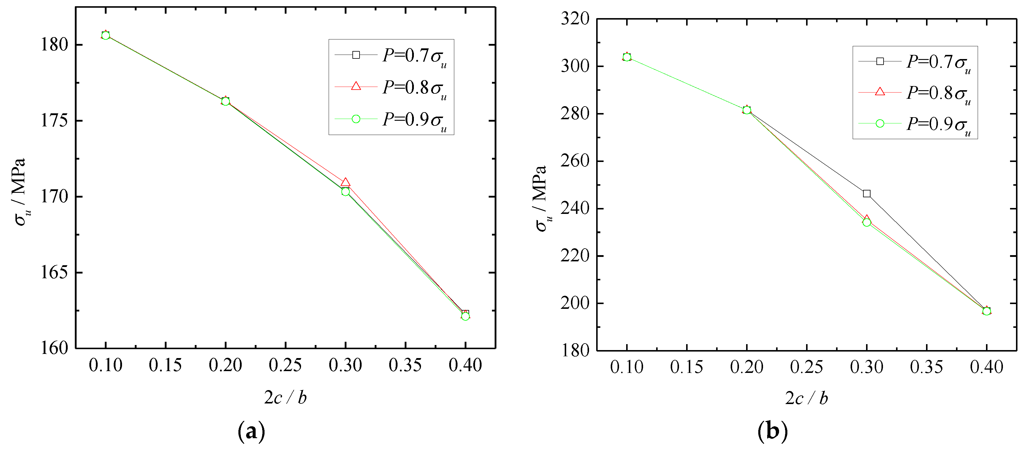
3.2. Effect of the Magnitude of the Cyclic Load
3.3. Results of Stress Field Distribution
3.4. Results of Out-of-Plane Deformation Distribution
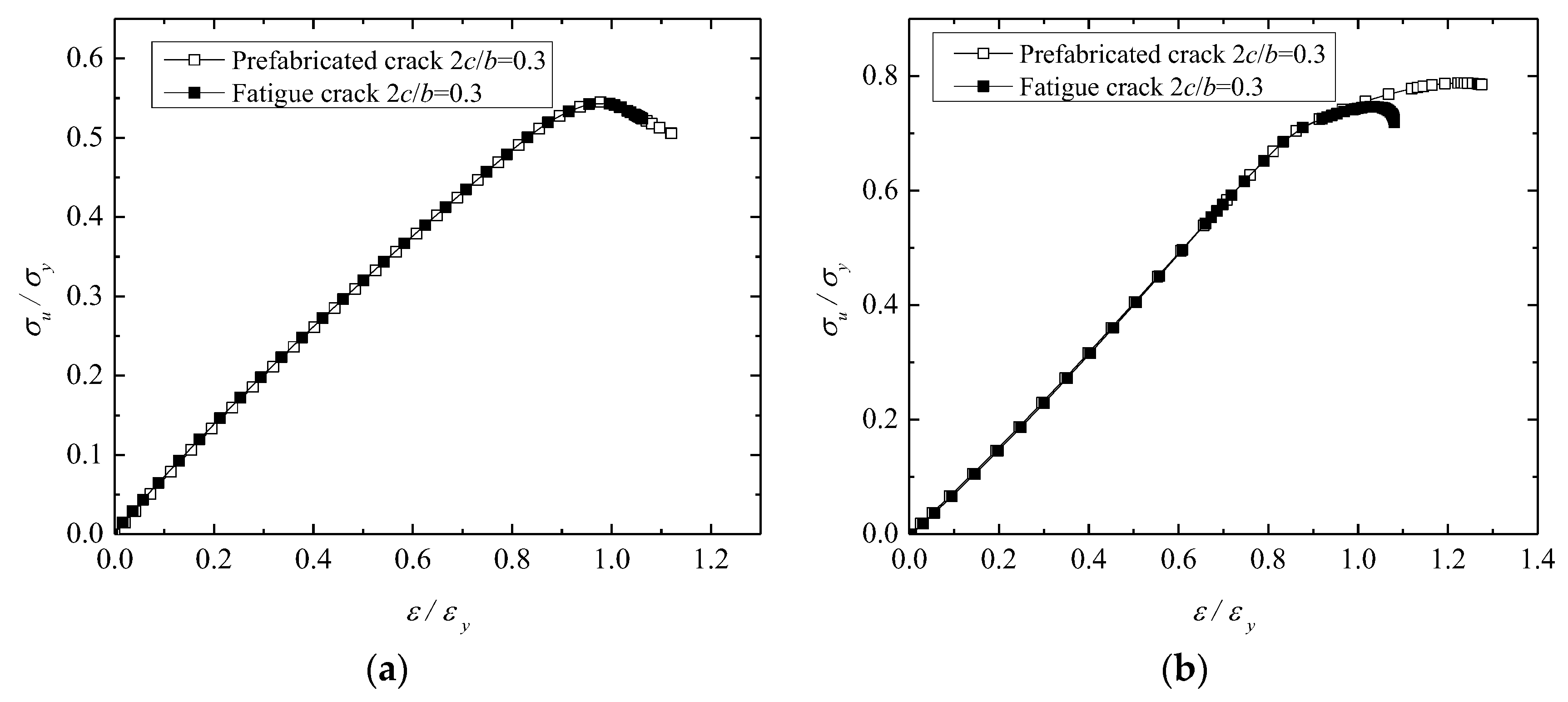
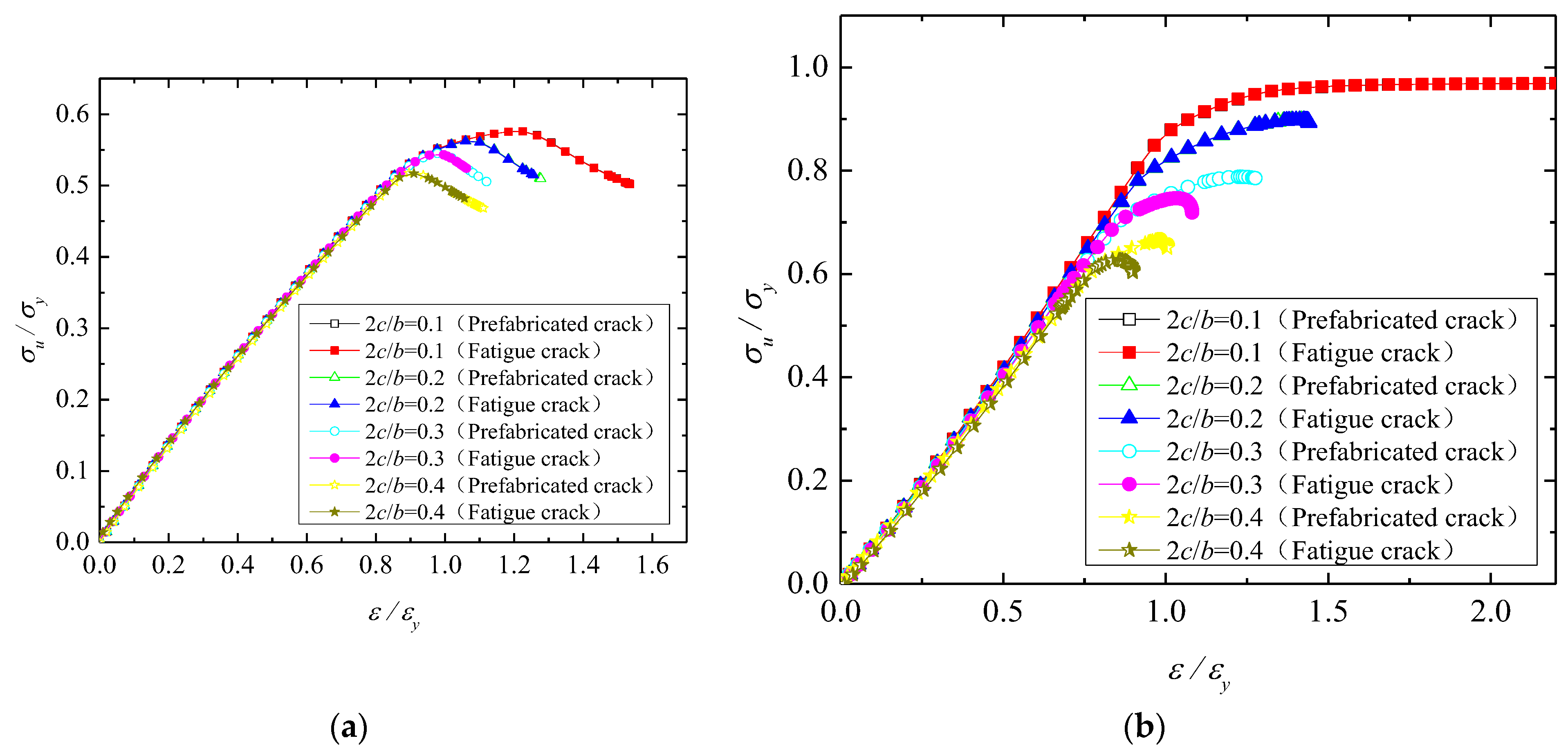
3.5. Effect of Crack Type
3.6. Effect of Crack Length
4. Conclusions
Author Contributions
Funding
Institutional Review Board Statement
Informed Consent Statement
Acknowledgments
Conflicts of Interest
References
- Paik, J.K. Residual ultimate strength of steel plates with longitudinal cracks under axial compression: Experiments. Ocean Eng. 2008, 35, 1775–1783. [Google Scholar] [CrossRef]
- Paik, J.K. Residual ultimate strength of steel plates with longitudinal crack under axial compression: Nonlinear finite method investigations. Ocean Eng. 2009, 36, 266–276. [Google Scholar] [CrossRef]
- Margaritis, Y.; Toulios, M. The ultimate and collapse response of cracked stiffened plates subjected to uniaxial compression. Thin-Walled Struct. 2012, 50, 157–173. [Google Scholar] [CrossRef]
- Shi, G.J.; Wang, D.Y. Residual ultimate strength of open box girders with cracked damage. Ocean Eng. 2012, 43, 90–101. [Google Scholar] [CrossRef]
- Shi, G.J.; Wang, D.Y. Residual ultimate strength of cracked box girders under torsional loading. Ocean Eng. 2012, 43, 102–112. [Google Scholar] [CrossRef]
- Huang, X.L.; Zhang, X.J.; Bai, G.J.; Xu, W.; Wang, H. Residual Strength Analysis of Thin-Walled Structures with Multiple Site Damage Based on Crack Tip Opening Angle Method. J. Shanghai Jiaotong Univ. 2013, 47, 519–524. [Google Scholar]
- Saad-Eldeen, S.; Garbatov, Y.; Soares, C.G. Experimental investigation on the residual strength of thin steel plates with a central elliptic opening and locked cracks. Ocean Eng. 2016, 115, 19–29. [Google Scholar] [CrossRef]
- Hu, K.; Yang, P.; Xia, T.; Peng, Z. Residual ultimate strength of large opening box girder with crack damage under torsion and bending loads. Ocean Eng. 2018, 162, 274–289. [Google Scholar] [CrossRef]
- Shi, X.H.; Zhang, J.C. Guedes Soares. Numerical assessment of experiments on the residual ultimate strength of stiffened plates with a crack. Ocean Eng. 2019, 171, 443–457. [Google Scholar] [CrossRef]
- Li, D.Y.; Feng, L.; Xiao, W. A study on residual ultimate strength of steel unstiffened plate with a crack. Appl. Ocean Res. 2020, 103, 106589. [Google Scholar]
- Chen, T.; Hu, L.; Zhang, N.; Yu, Q.-Q. Boundary element analysis of fatigue behavior for CFRP-strengthened steel plates with center inclined cracks. Thin-Walled Struct. 2018, 125, 164–171. [Google Scholar] [CrossRef]
- Li, L.; Chen, T.; Zhang, N. Numerical analysis of fatigue performance of CFRP–repaired steel plates with central inclined cracks. Eng. Struct. 2019, 185, 194–202. [Google Scholar] [CrossRef]
- Demir, O. Analytical investigation on prediction of fatigue crack growth lives of cracked nonhomogeneous materials. J. Mech. Mater. Struct. 2021, 16, 429–440. [Google Scholar] [CrossRef]
- Xia, T.; Yang, P.; Song, Y.; Hu, K.; Qian, Y.; Feng, F. Ultimate strength and post ultimate strength behaviors of hull plates under extreme longitudinal cyclic load. Ocean Eng. 2019, 193, 106589. [Google Scholar] [CrossRef]
- Paik, J.K.; Lee, D.H.; Noh, S.H.; Park, D.K.; Ringsberg, J.W. Full-scale collapse testing of a steel stiffened plate structure under cyclic axial-compressive loading. Structures 2020, 26, 996–1009. [Google Scholar] [CrossRef]
- Cui, H.W.; Ding, Q.Y. Ultimate strength and fracture failure of hull stiffened plates based on plastic accumulation under cyclic loading. Ocean Eng. 2022, 261, 112016. [Google Scholar] [CrossRef]
- Hu, K.; Yang, P.; Xia, T. Ultimate strength prediction of cracked panels under extreme cyclic loads considering crack prop-agation. Ocean Eng. 2022, 266, 112948. [Google Scholar] [CrossRef]
- Yao, T.; Fujikubo, M.; Yanagihara, D.; Varghese, B. Influences of welding imperfections on buckling/ultimate strength of ship bottom plating subjected to combined bi-axial & lateral pressure. In Proceedings of the International Symposium on Thin Walled Structures, Singapore, 1 January 1998; pp. 425–432. [Google Scholar]
- Xu, M.C.; Garbatov, Y.; Soares, C.G. Residual ultimate strength assessment of stiffened panels with locked cracks. Thin-Walled Struct. 2014, 85, 398–410. [Google Scholar] [CrossRef]
- Schijve, J.; Skorupa, M.; Machniewicz, T.; Gruszczynski, P. Fatigue crack growth in the aluminium alloy D16 under constant and variable amplitude loading. Int. J. Fatigue 2004, 26, 1–15. [Google Scholar] [CrossRef]
- Faulkner, D. A Review of Effective Plating for Use in the Analysis of Stiffened Plating in Bending and Compression. J. Ship Res. 1975, 19, 1–17. [Google Scholar] [CrossRef]
- Cui, C.; Yang, P.; Xia, T.; Du, J. Assessment of residual ultimate strength of cracked steel plates under longitudinal compression. Ocean Eng. 2016, 121, 174–183. [Google Scholar] [CrossRef]
- Zheng, L.K.; Sun, M.H.; Zheng, C.X.; Du, F.S. Mechanics behavior of plastic deformation zone in twin-roll strip vibration cast-rolling. J. Plast. Eng. 2021, 28, 103–111. [Google Scholar]



















| Plate Length | Plate Width | Plate Thickness | Crack Width |
|---|---|---|---|
| 2550 | 850 | 11 | 3 |
| Elastic Modulus | Poisson’s Ratio | Yield Strength |
|---|---|---|
| 205,800 | 0.3 | 313.6 |
| Case | Nx | Ny | Nsum | /MPa | Difference/% |
|---|---|---|---|---|---|
| Coarse mesh | 80 | 18 | 15,392 | 170.71 | −0.15 |
| Middle mesh | 130 | 36 | 18,092 | 170.96 | - |
| Refined mesh | 232 | 68 | 29,036 | 171.01 | 0.029 |
| Analysis Method | Error (%) | ||
|---|---|---|---|
| FEM method | Intact plate | 0.585 | - |
| 0.576 | 0.61 | ||
| 3 | 0.545 | 1.6 | |
| 5 | 0.472 | 1.49 | |
| Cui | Intact plate | 0.588 | 0.51 |
| 0.573 | - | ||
| 3 | 0.537 | - | |
| 5 | 0.465 | - | |
| Faulkner formula | Intact plate | 0.553 | 5.79 |
Disclaimer/Publisher’s Note: The statements, opinions and data contained in all publications are solely those of the individual author(s) and contributor(s) and not of MDPI and/or the editor(s). MDPI and/or the editor(s) disclaim responsibility for any injury to people or property resulting from any ideas, methods, instructions or products referred to in the content. |
© 2023 by the authors. Licensee MDPI, Basel, Switzerland. This article is an open access article distributed under the terms and conditions of the Creative Commons Attribution (CC BY) license (https://creativecommons.org/licenses/by/4.0/).
Share and Cite
Dong, Q.; Xu, G.; Hu, Y.; Peng, Z. Research on the Residual Strength of Cracked Plate Considering Fatigue Crack Propagation under Cyclic Load. J. Mar. Sci. Eng. 2023, 11, 706. https://doi.org/10.3390/jmse11040706
Dong Q, Xu G, Hu Y, Peng Z. Research on the Residual Strength of Cracked Plate Considering Fatigue Crack Propagation under Cyclic Load. Journal of Marine Science and Engineering. 2023; 11(4):706. https://doi.org/10.3390/jmse11040706
Chicago/Turabian StyleDong, Qin, Geng Xu, Yaoyu Hu, and Ziya Peng. 2023. "Research on the Residual Strength of Cracked Plate Considering Fatigue Crack Propagation under Cyclic Load" Journal of Marine Science and Engineering 11, no. 4: 706. https://doi.org/10.3390/jmse11040706
APA StyleDong, Q., Xu, G., Hu, Y., & Peng, Z. (2023). Research on the Residual Strength of Cracked Plate Considering Fatigue Crack Propagation under Cyclic Load. Journal of Marine Science and Engineering, 11(4), 706. https://doi.org/10.3390/jmse11040706
