Low Temperature Effect on the Mechanical Properties of EH36 with Strain Rates
Abstract
1. Introduction
2. Experimental Program
2.1. Test Specimen
2.2. Test Setup
2.2.1. Quasi-Static and Low Velocity Tests
2.2.2. Dynamic Test
3. Quasi-Static Response
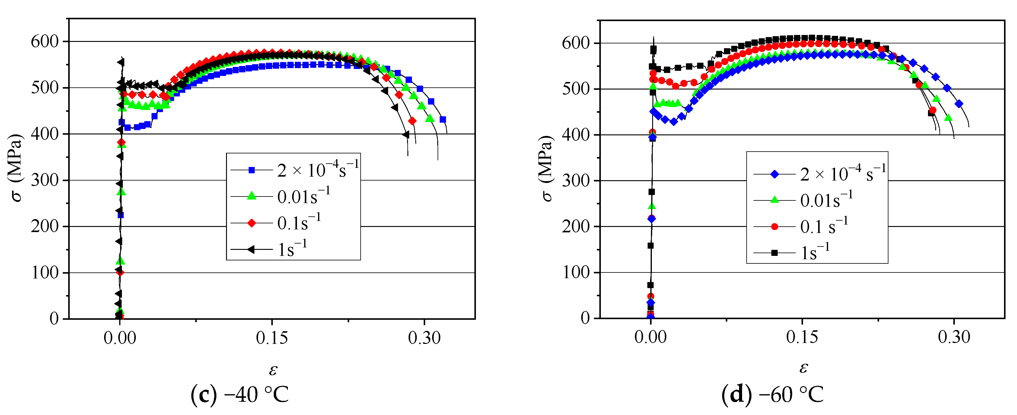
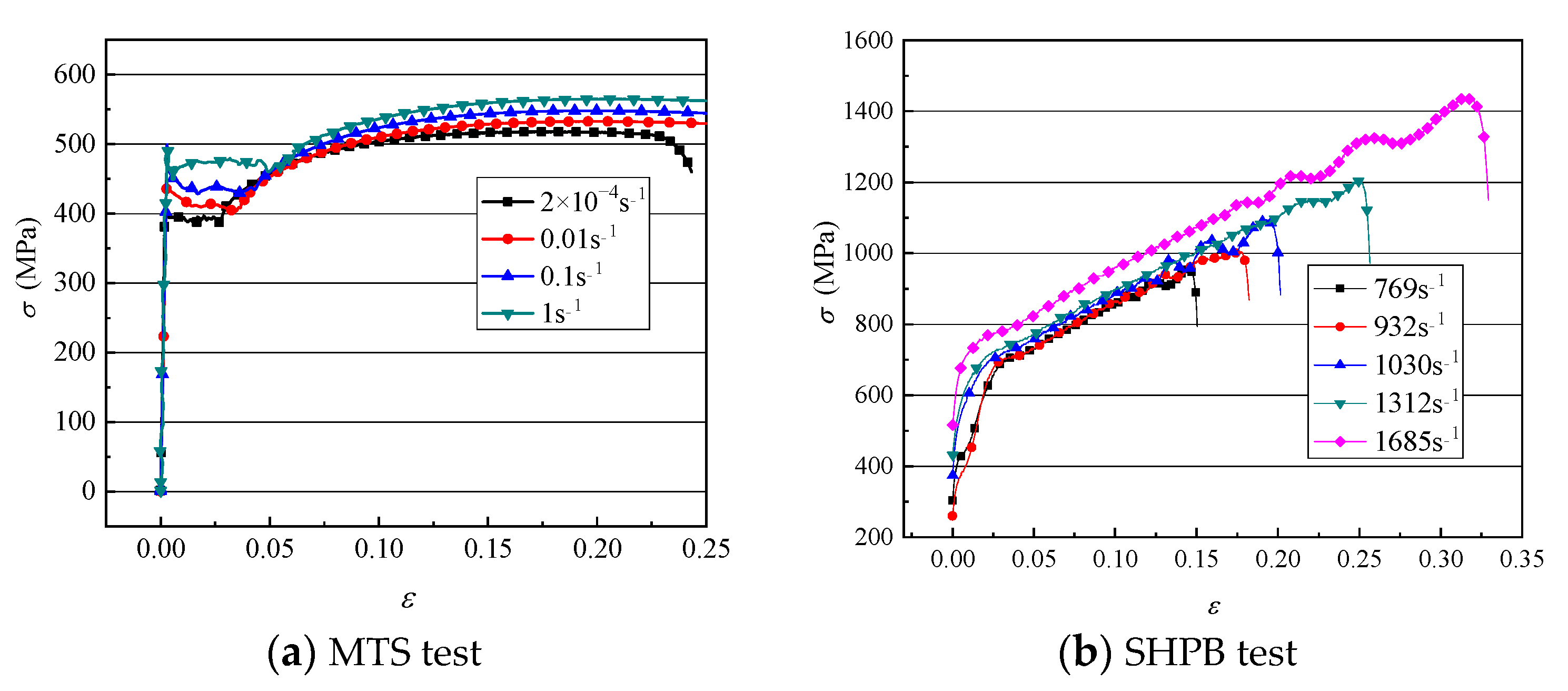
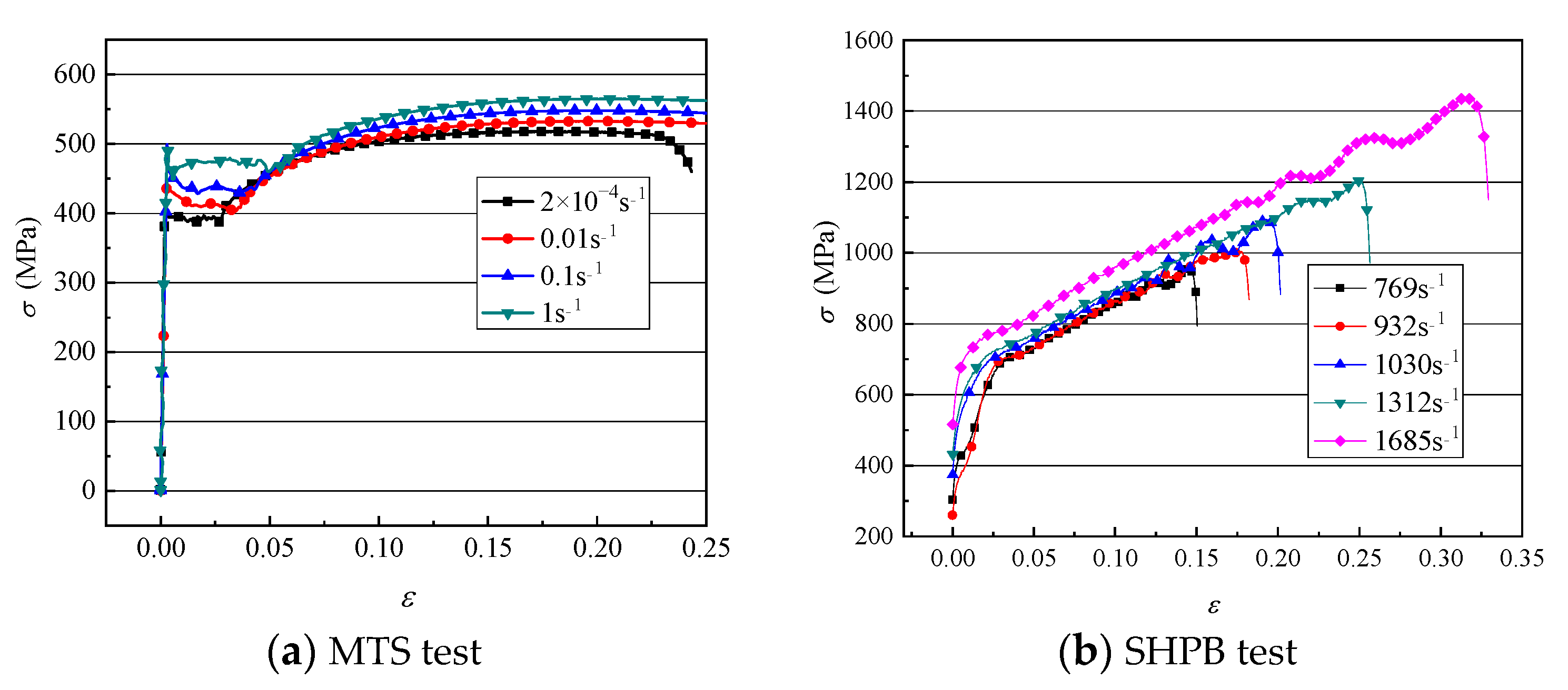
3.1. Test Results
3.2. Simplified Quasi-Static Constitutive Relationship
4. Dynamic Constitutive Model by Numerical Results
4.1. Test Results
4.2. Dynamic Constitutive Relationship with Strain Rate Effect and Low Temperature
4.3. Improved Model
4.4. Numerical Models
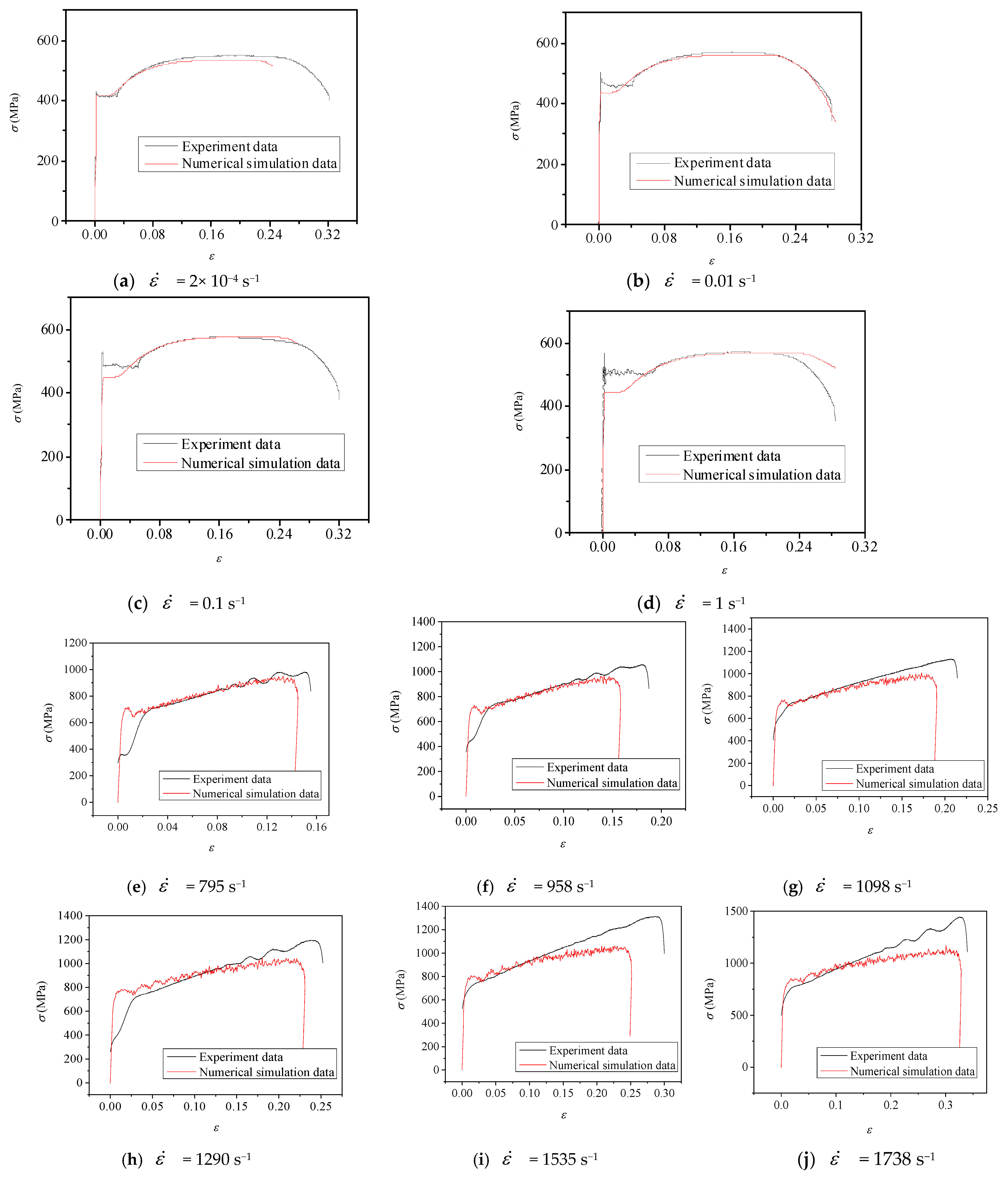
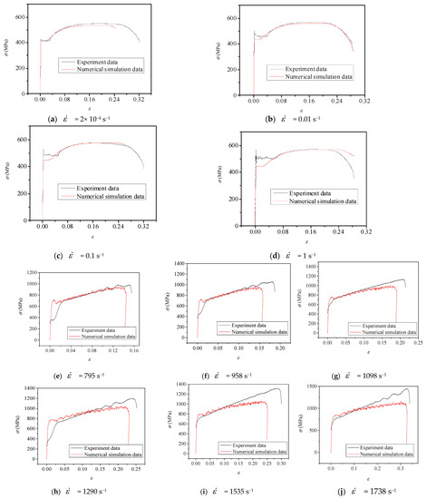
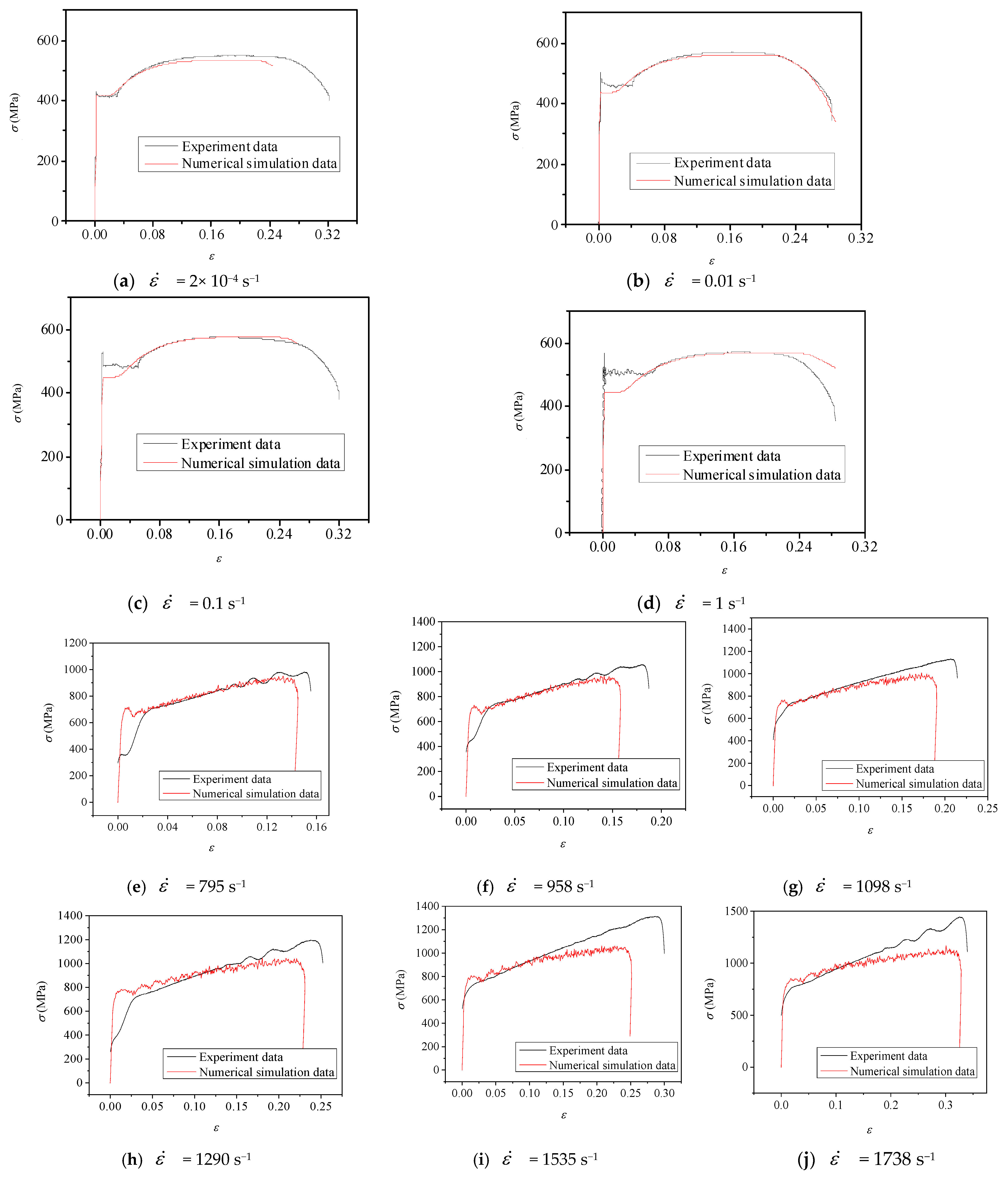
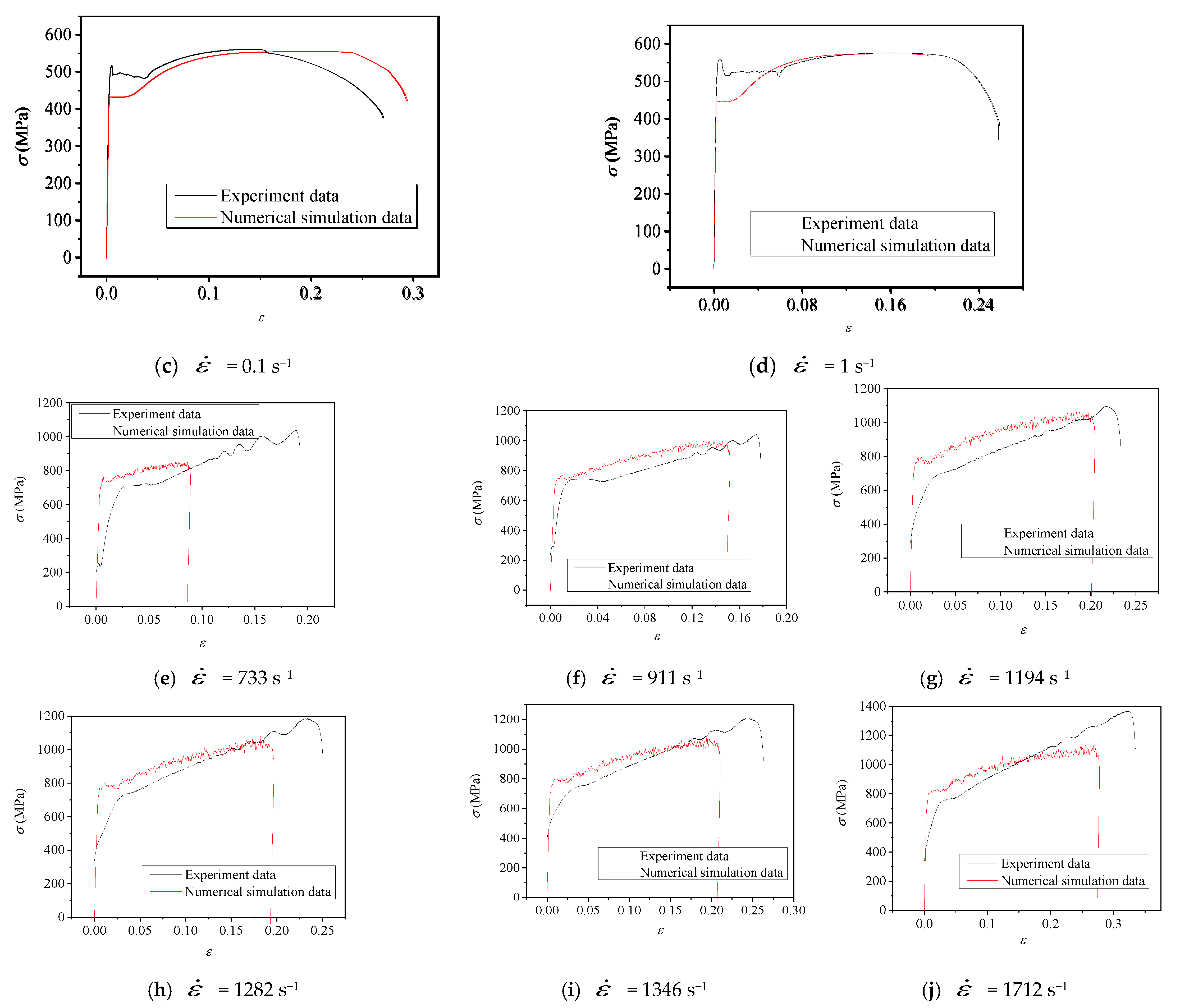
4.5. Comparison of the Numerical and Test Results
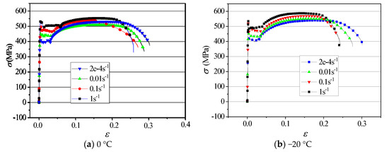
4.5.1. Low Temperature (0 °C)
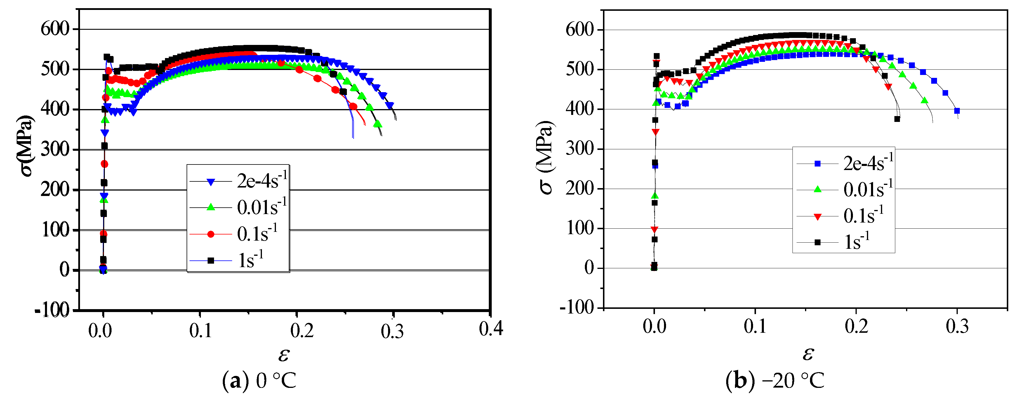
4.5.2. Other Temperatures
- (1)
- Behaviour at Room Temperature (20 °C)
- (2)
- Behaviour at −20 °C
- (3)
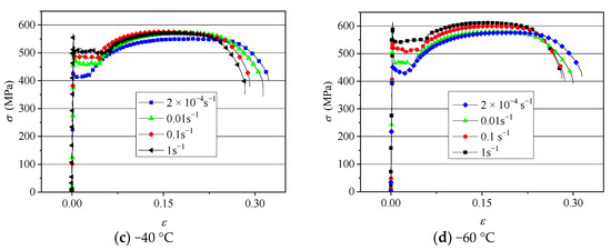
- Behaviour at −40 °C
- (4)
- Behaviour at −60 °C
5. Conclusions
Author Contributions
Funding
Institutional Review Board Statement
Informed Consent Statement
Data Availability Statement
Conflicts of Interest
References
- FMA. Finnish-Swedish Ice Calss Rules; Finnish Maritime Administration: Helsinki, Finland, 2002. [Google Scholar]
- ABS. Guidance Notes on Ice Class; American Bureau of Shipping: Houston, TX, USA, 2005. [Google Scholar]
- RMRS. Rules for the Classification and Construction of Sea-Going Ships; Russian Maritime Register of Shipping: Saint Petersburg, Russia, 2012. [Google Scholar]
- He, X.; Guedes Soares, C. Pseudo-shakedown of rectangular plates under repeated impacts. Mar. Struct. 2022, 85, 103258. [Google Scholar] [CrossRef]
- Liu, K.; Liu, B.; Villavicencio, R.; Wang, Z.; Guedes Soares, C. Assessment of material strain rate effects on square steel plates under lateral dynamic impact loads. Ships Offshore Struct. 2018, 13, 217–225. [Google Scholar] [CrossRef]
- Ehlers, S.; Østby, E. Increased crashworthiness due to arctic conditions—The influence of sub-zero temperature. Mar. Struct. 2012, 28, 86–100. [Google Scholar] [CrossRef]
- Paik, J.K.; Kim, K.J.; Lee, J.H.; Jung, B.G.; Kim, S.J. Test database of the mechanical properties of mild, high-tensile and stainless steel and aluminium alloy associated with cold temperatures and strain rates. Ships Offshore Struct. 2017, 12 (Suppl. S1), S230–S256. [Google Scholar] [CrossRef]
- Choung, J.; Nam, W.; Lee, J.-Y. Dynamic hardening behaviors of various marine structural steels considering dependencies on strain rate and temperature. Mar. Struct. 2013, 32, 49–67. [Google Scholar] [CrossRef]
- DNV. Rules for Classification for Ships Newbuildings; Det Norske Veritas: Bærum, Norway, 2008. [Google Scholar]
- IACS. Requirements Concerning—POLAR CLASS; International Association of Classification Societies: Hamburg, Germany, 2011. [Google Scholar]
- Chen, W.W.; Song, B. Split Hopkinson (Kolsky) Bar Design, Testing and Applications; Springer: New York, NY, USA, 2011. [Google Scholar]
- Dunand, M.; Mohr, D. Predicting the rate-dependent loading paths to fracture in advanced high strength steels using an extended mechanical threshold model. Int. J. Impact Eng. 2017, 108, 272–285. [Google Scholar] [CrossRef]
- Liu, B.; Villavicencio, R.; Guedes Soares, C. On the failure criterion of aluminum and steel plates subjected to low-velocity impact by a spherical indenter. Int. J. Mech. Sci. 2014, 80, 1–15. [Google Scholar] [CrossRef]
- Liu, B.; Guedes Soares, C. Effect of strain rate on dynamic responses of laterally impacted steel plates. Int. J. Mech. Sci. 2019, 160, 307–317. [Google Scholar] [CrossRef]
- Forni, D.; Chiaia, B.; Cadoni, E. High strain rate response of S355 at high temperatures. Mater. Des. 2016, 94, 467–478. [Google Scholar] [CrossRef]
- Mirmomeni, M.; Heidarpour, A.; Zhao, X.-L.; Hutchinson, C.R.; Packer, J.A.; Wu, C. Mechanical properties of partially damaged structural steel induced by high strain rate loading at elevated temperatures—An experimental investigation. Int. J. Impact Eng. 2015, 76, 178–188. [Google Scholar] [CrossRef]
- Nemat-Nasser, S.; Guo, W.-G. Thermomechanical response of DH-36 structural steel over a wide range of strain rates and temperatures. Mech. Mater. 2003, 35, 1023–1047. [Google Scholar] [CrossRef]
- Ibrahim, O.H.; Ibrahim, I.S.; Khalifa, T.A.F. Impact behavior of different stainless steel weldments at low temperatures. Eng. Fail. Anal. 2010, 17, 1069–1076. [Google Scholar] [CrossRef]
- Getter, D.J.; Kantrales, G.C.; Consolazio, G.R.; Eudy, S.; Fallaha, S. Strain rate sensitive steel constitutive models for finite element analysis of vessel-structure impacts. Mar. Struct. 2015, 44, 171–202. [Google Scholar] [CrossRef]
- Chen, J.; Li, J.; Li, Z. Experiment research on rate-dependent constitutive model of Q420 steel. Constr. Build. Mater. 2017, 153, 816–823. [Google Scholar] [CrossRef]
- Su, J.; Guo, W.; Meng, W.; Wang, J. Plastic behavior and constitutive relations of DH-36 steel over a wide spectrum of strain rates and temperatures under tension. Mech. Mater. 2013, 65, 76–87. [Google Scholar] [CrossRef]
- Detrois, M.; Antonov, S.; Tin, S.; Jablonski, P.D.; Hawk, J.A. Hot deformation behavior and flow stress modeling of a Ni-based superalloy. Mater. Charact. 2019, 157, 109915. [Google Scholar] [CrossRef]
- Forni, D.; Chiaia, B.; Cadoni, E. Strain rate behaviour in tension of S355 steel: Base for progressive collapse analysis. Eng. Struct. 2016, 119, 164–173. [Google Scholar] [CrossRef]
- Cowper, G.; Symonds, P. Strain Hardening and Strain Rate Effects in the Loading of Cantilever Beams; Brown University: Providence, RI, USA, 1957. [Google Scholar]
- Shi, G.; Zhu, X.; Ban, H. Material properties and partial factors for resistance of high-strength steels in China. J. Constr. Steel Res. 2016, 121, 65–79. [Google Scholar] [CrossRef]
- Bobbili, R.; Madhu, V.; Gogia, A.K. Neural network modeling to evaluate the dynamic flow stress of high strength armor steels under high strain rate compression. Def. Technol. 2014, 10, 334–342. [Google Scholar] [CrossRef]
- Jones, N. Structural Impact; Cambridge University Press: Cambridge, MA, USA, 1997. [Google Scholar]
- Jones, N. The credibility of predictions for structural designs subjected to large dynamic loadings causing inelastic behaviour. Int. J. Impact Eng. 2013, 53, 106–114. [Google Scholar] [CrossRef]
- Hsu, S.S.; Jones, N. Quasi-static and dynamic axial crushing of thin-walled circular stainless steel, mild steel and aluminium alloy tubes. Int. J. Crashworth. 2004, 9, 195–217. [Google Scholar] [CrossRef]
- ASTM-E8; Standard Test Methods for Tension Testing of Metallic Materials. American Society for Testing and Material: West Conshohocken, PA, USA, 2016.
- Lin, Y.C.; Xia, Y.-C.; Chen, X.-M.; Chen, M.-S. Constitutive descriptions for hot compressed 2124-T851 aluminum alloy over a wide range of temperature and strain rate. Comput. Mater. Sci. 2010, 50, 227–233. [Google Scholar] [CrossRef]

























| Strain rate/s−1 | 0.01 | 0.1 | 1 | 769 | 932 | 1030 | 1312 | 1685 |
| Yield stress/MPa | 417.6 | 434.52 | 443.24 | 641.65 | 659.46 | 676.53 | 698.23 | 736.26 |
| Temperature | 20 °C | 0 °C | −20 °C | −40 °C | −60 °C |
|---|---|---|---|---|---|
| C | 2370.6 | 2639.4 | 2453.6 | 2619.5 | 225.42 |
| P | 4.00 | 5.40 | 4.60 | 4.20 | 3.95 |
Disclaimer/Publisher’s Note: The statements, opinions and data contained in all publications are solely those of the individual author(s) and contributor(s) and not of MDPI and/or the editor(s). MDPI and/or the editor(s) disclaim responsibility for any injury to people or property resulting from any ideas, methods, instructions or products referred to in the content. |
© 2023 by the authors. Licensee MDPI, Basel, Switzerland. This article is an open access article distributed under the terms and conditions of the Creative Commons Attribution (CC BY) license (https://creativecommons.org/licenses/by/4.0/).
Share and Cite
Zhang, J.; Kang, X.; Shi, X.; Guedes Soares, C.; Song, M. Low Temperature Effect on the Mechanical Properties of EH36 with Strain Rates. J. Mar. Sci. Eng. 2023, 11, 678. https://doi.org/10.3390/jmse11030678
Zhang J, Kang X, Shi X, Guedes Soares C, Song M. Low Temperature Effect on the Mechanical Properties of EH36 with Strain Rates. Journal of Marine Science and Engineering. 2023; 11(3):678. https://doi.org/10.3390/jmse11030678
Chicago/Turabian StyleZhang, Jing, Xuelei Kang, Xinghua Shi, C. Guedes Soares, and Ming Song. 2023. "Low Temperature Effect on the Mechanical Properties of EH36 with Strain Rates" Journal of Marine Science and Engineering 11, no. 3: 678. https://doi.org/10.3390/jmse11030678
APA StyleZhang, J., Kang, X., Shi, X., Guedes Soares, C., & Song, M. (2023). Low Temperature Effect on the Mechanical Properties of EH36 with Strain Rates. Journal of Marine Science and Engineering, 11(3), 678. https://doi.org/10.3390/jmse11030678

