Non-Hydrostatic Numerical Model of Bragg Resonance on Periodically Submerged Breakwater
Abstract
1. Introduction
2. Methodology
Governing Equations and Boundary Conditions
3. Model Setup and Validation
4. Results and Discussion
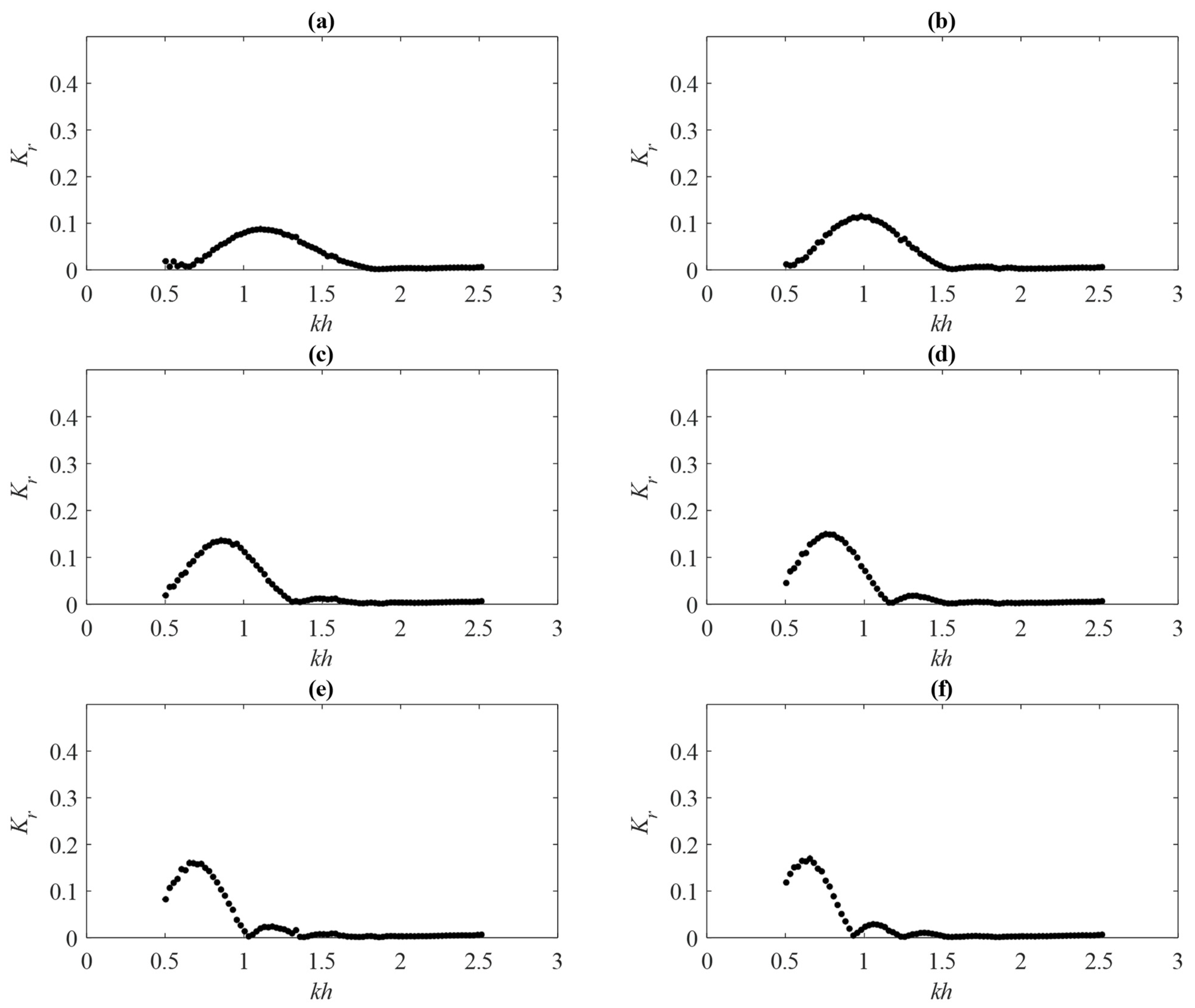
4.1. Bragg Resonance on Different Structural Wavelength
4.2. Bragg Resonance on Multiple Periodically Submerged Breakwater
5. Conclusions
Author Contributions
Funding
Acknowledgments
Conflicts of Interest
References
- Blondeaux, P.J. Sand ripples under sea waves Part 1. Ripple formation. J. Fluid Mech. 1990, 218, 1–17. [Google Scholar] [CrossRef]
- Daniel, M.; Alymov, V.; Chang, Y.; Jette, C. Wave-formed sand ripples at Duck, North Carolina. J. Geophys. Res. Ocean 2001, 106, 22575–22592. [Google Scholar]
- Liu, H.W.; Li, X.F.; Lin, P.Z. Analytical study of Bragg resonance by singly periodic sinusoidal ripples based on the modified mild-slope equation. Coast. Eng. 2019, 150, 121–134. [Google Scholar] [CrossRef]
- Stegner, A.; Wesfreid, J.E. Dynamical evolution of sand ripples under water. Phys. Rev. 1999, 60, R3487. [Google Scholar] [CrossRef]
- Yu, J.; Mei, C. Formation of sand bars under surface waves. J. Fluid Mech. 2000, 416, 315–348. [Google Scholar] [CrossRef]
- Mei, C.C.; Hara, T.; Naciri, M. Note on Bragg Scattering of Water-Waves by Parallel Bars on the Seabed. J. Fluid Mech. 1988, 186, 147–162. [Google Scholar] [CrossRef]
- Jeon, C.H.; Cho, Y.S. Bragg reflection of sinusoidal waves due to trapezoidal submerged breakwaters. Ocean Eng. 2006, 33, 2067–2082. [Google Scholar] [CrossRef]
- Wang, S.K.; Hsu, T.W.; Tsai, L.H.; Chen, S.H. An application of Miles’ theory to Bragg scattering of water waves by doubly composite artificial bars. Ocean Eng. 2006, 33, 331–349. [Google Scholar] [CrossRef]
- Liu, H.W.; Luo, H.; Zeng, H.D. Optimal Collocation of Three Kinds of Bragg Breakwaters for Bragg Resonant Reflection by Long Waves. J. Waterw. Port Coast. Ocean Eng. 2015, 141, 04014039. [Google Scholar] [CrossRef]
- Liu, H.W.; Liu, Y.; Lin, P. Bloch band gap of shallow-water waves over infinite arrays of parabolic bars and rectified cosinoidal bars and Bragg resonance over finite arrays of bars. Ocean Eng. 2019, 188, 106235. [Google Scholar] [CrossRef]
- Davies, A.G. On the Interaction between Surface-Waves and Undulations on the Seabed. J. Mar. Res. 1982, 40, 331–368. [Google Scholar]
- Davies, A.G.; Heathershaw, A.D. Surface-Wave Propagation over Sinusoidally Varying Topography. J. Fluid Mech. 1984, 144, 419–443. [Google Scholar] [CrossRef]
- Zhang, J.S.; Jeng, D.S.; Liu, P.L.F.; Zhang, C.; Zhang, Y. Response of a porous seabed to water waves over permeable submerged breakwaters with Bragg reflection. Ocean Eng. 2012, 43, 1–12. [Google Scholar] [CrossRef]
- Gao, J.L.; Ma, X.Z.; Dong, G.H.; Chen, H.Z.; Liu, Q.; Zang, J. Investigation on the effects of Bragg reflection on harbor oscillations. Coast. Eng. 2021, 170, 103997. [Google Scholar] [CrossRef]
- Huan-Wen, L.; Zhou, X.-M. Explicit modified mild-slope equation for wave scattering by piecewise monotonic and piecewise smooth bathymetries. J. Eng. Math. 2014, 87, 29–45. [Google Scholar] [CrossRef]
- Huan-Wen, L.; Zeng, H.-D.; Huang, H.-D. Bragg resonant reflection of surface waves from deep water to shallow water by a finite array of trapezoidal bars. Appl. Ocean Res. 2020, 94, 101976. [Google Scholar] [CrossRef]
- Cho, Y.S.; Lee, J.I.; Kim, Y.T. Experimental study of strong reflection of regular water waves over submerged breakwaters in tandem. Ocean Eng. 2004, 31, 1325–1335. [Google Scholar] [CrossRef]
- Cho, Y.S.; Yoon, S.B.; Lee, J.I.; Yoon, T.H. A Concept of Beach Protection with Submerged Breakwaters. J. Coast. Res. 2001, 671–678. [Google Scholar]
- Chang, H.K.; Liou, J.C. Long wave reflection from submerged trapezoidal breakwaters. Ocean Eng. 2007, 34, 185–191. [Google Scholar] [CrossRef]
- Huan-Wen, L.; Luo, J.-X.; Lin, P.; Liu, R. Analytical Solution for Long-Wave Reflection by a General Breakwater or Trench with Curvilinear Slopes. J. Eng. Mech. 2013, 139, 229–245. [Google Scholar] [CrossRef]
- Mei, C.C. Resonant Reflection of Surface-Water Waves by Periodic Sandbars. J. Fluid Mech. 1985, 152, 315–335. [Google Scholar] [CrossRef]
- Miles, J.W. Oblique Surface-Wave Diffraction by a Cylindrical Obstacle. Dyn. Atmos. Ocean. 1981, 6, 121–123. [Google Scholar] [CrossRef]
- Liang, B.C.; Wu, G.X.; Liu, F.S.; Fan, H.R.; Li, H.J. Numerical study of wave transmission over double submerged breakwaters using non-hydrostatic wave model. Oceanologia 2015, 57, 308–317. [Google Scholar] [CrossRef]
- Zijlema, M.; Stelling, G.; Smit, P. SWASH: An operational public domain code for simulating wave fields and rapidly varied flows in coastal waters. Coast. Eng. 2011, 58, 992–1012. [Google Scholar] [CrossRef]
- Rijnsdorp, D.P.; Smit, P.B.; Zijlema, M. Non-hydrostatic modelling of infragravity waves under laboratory conditions. Coast. Eng. 2014, 85, 30–42. [Google Scholar] [CrossRef]
- Heathershaw, A.D. Seabed-wave resonance and sand bar growth. Nature 1982, 296, 343–345. [Google Scholar] [CrossRef]
- Goda, Y.; Suzuki, Y. Estimation of incident and reflected waves in random wave experiments. In Proceedings of the 15th International Conference on Coastal Engineering, Honolulu, HI, USA, 11–17 July 1976; ASCE: Reston, VA, USA, 1976; pp. 828–845. [Google Scholar]


















| h | Range of T | Range of L | Range of kh |
|---|---|---|---|
| 0.2 m | |||
| 0.3 m | |||
| 0.4 m |
| BR − 0.1 | BR − 0.08 | BR − 0.06 | BR − 0.04 | BR − 0.02 | Expected BR | BR + 0.02 | BR + 0.04 | BR + 0.06 | BR + 0.08 | BR + 0.1 | |
|---|---|---|---|---|---|---|---|---|---|---|---|
| 2S/L | 0.9 | 0.92 | 0.94 | 0.96 | 0.98 | 1 | 1.02 | 1.04 | 1.06 | 1.08 | 1.1 |
Disclaimer/Publisher’s Note: The statements, opinions and data contained in all publications are solely those of the individual author(s) and contributor(s) and not of MDPI and/or the editor(s). MDPI and/or the editor(s) disclaim responsibility for any injury to people or property resulting from any ideas, methods, instructions or products referred to in the content. |
© 2023 by the authors. Licensee MDPI, Basel, Switzerland. This article is an open access article distributed under the terms and conditions of the Creative Commons Attribution (CC BY) license (https://creativecommons.org/licenses/by/4.0/).
Share and Cite
Oginni, T.E.; Zhao, X. Non-Hydrostatic Numerical Model of Bragg Resonance on Periodically Submerged Breakwater. J. Mar. Sci. Eng. 2023, 11, 650. https://doi.org/10.3390/jmse11030650
Oginni TE, Zhao X. Non-Hydrostatic Numerical Model of Bragg Resonance on Periodically Submerged Breakwater. Journal of Marine Science and Engineering. 2023; 11(3):650. https://doi.org/10.3390/jmse11030650
Chicago/Turabian StyleOginni, Tolulope Emmanuel, and Xizeng Zhao. 2023. "Non-Hydrostatic Numerical Model of Bragg Resonance on Periodically Submerged Breakwater" Journal of Marine Science and Engineering 11, no. 3: 650. https://doi.org/10.3390/jmse11030650
APA StyleOginni, T. E., & Zhao, X. (2023). Non-Hydrostatic Numerical Model of Bragg Resonance on Periodically Submerged Breakwater. Journal of Marine Science and Engineering, 11(3), 650. https://doi.org/10.3390/jmse11030650

