Abstract
The classic S-plane control method combines PD structure with fuzzy control theory, with the advantages of a simple control structure and fewer parameters to be adjusted. It has been proved as a practical method in an autonomous underwater vehicle (AUV) motion control at low and medium speeds, but it takes no account of the situational static load and varying hydrodynamic forces which influence the control quality and even result in a “dolphin effect” at the time of high-speed movement. For this reason, an improved S-plane controller is designed based on the sliding mode variable structure, sliding mode surface, and control items in order to respond to the situational static load and high-speed movement. The improved S-plane controller is verified by Lyapunov stability analysis. The thrust allocation strategies are also discussed with constraints introduced in accordance with task requirements. In order to verify the practicability and effectiveness of the improved S-plane controller, both simulation experiments and field trials of AUV motion control, long-range cruise, and path point following were carried out. The results have demonstrated the superiority of the improved S-plane controller over the classic S-plane controller.
1. Introduction
With the advancements in automation technology, artificial intelligence, deep learning, and system identification, notable breakthroughs have been made in intelligent underwater vehicles [1,2,3,4]. Autonomous underwater vehicles (AUVs) have played a decisive part in workplaces where human divers find it difficult or impossible to access. By far, AUVs have been widely used in underwater pipeline detection, undersea cable maintenance, dam detection, deep-sea resource exploration, etc. [5,6,7]. AUVs have presented a bright prospect in civilian and military fields as a practical tool for special or demanding underwater operations [8].
AUVs are subject to significant coupling and high nonlinear characteristics [9]. The different modes of movement, complex environments, and uncertain factors jointly make it difficult to establish an accurate AUV motion model. For this reason, the design of the AUV motion control system must take the control quality into consideration for the purpose of the admirable completion of operational tasks. A number of control methods have been put forward over the past years to meet different requirements for AUV motion control.
Shi et al. [10] proposed a fuzzy PID method by combining fuzzy logic with PID control in the design of a motion control system for a novel underwater vehicle. The 3D simulation experiments of motion control were conducted to prove the superiority of the proposed method over the conventional PID method in robustness and dynamic response. Hasan Mustafa Wassef et al. [11] developed an adaptive fuzzy nonlinear PID controller for underwater vehicles to eliminate the effect of the disturbances caused by ocean currents. Its anti-interference advantage was verified in contrast simulation experiments with the fuzzy PID controller and the conventional PID controller. The simulation results showed that the proposed controller improved the vehicle’s confrontation against deep-water and near-surface wave disturbances. Keymasi Khalaji Ali et al. [12] proposed a finite time sliding mode controller to reduce external disturbances. The performance and stability of the method were compared with the sliding mode controller. The numerical comparison results showed that the proposed approach was effective and applicable in practice. A fuzzy control system was designed by Zhilenkov Anton [13]. The comparison with the PD controller showed that the designed fuzzy controller provides a higher quality of control of the plant under uncertainties. Cruz Ulloa Christyan et al. [14] combined closed-loop fuzzy theory with visual control and proposed a fuzzy visual control method. The simulation results showed that the robot movements were very close to the morphological behavior of a real jellyfish regarding the curves of displacements, speeds, and accelerations. Keymasi Khalaji Ali et al. [15] put forward a tracking control approach based on passive self-adaption. The adaptive rules were used to estimate and reduce the influence of unknown interference. The stability of the proposed method was analyzed using passivity properties and the Lyapunov theory. The comparative results showed the advantages of the proposed method. Xue et al. [16] developed a model-independent adaptive controller for an underwater vehicle manipulator system. The proposed controller showed good trajectory tracking performance without a precise dynamic model of the manipulator system, which was of great importance to applications in engineering. A robust nonlinear predictive method was proposed by Nikou Alexandros et al. [17]. The proposed controller fell within the tube-based non-linear model predictive control methodology and could handle the rich expressivity in both safety and reachability specifications. Oliveira Everton L. et al. [18] came up with a model predictive method based on interference observation whose robustness and performance were verified in simulation experiments of underwater vehicle manipulator systems. Shojaei Khoshnam [19] worked on an adaptive neural network controller. The combination of multi-layer neural networks (NNs) and adaptive robust control techniques were designed to handle the compensation of model uncertainties including unknown parameters, time-varying environmental disturbances induced by waves and ocean currents, and NN approximation errors. Simulation results showed the effective performance of the method for practical applications. Tony Salloom et al. [20] proposed an adaptive neural network for parameter regulation via the genetic algorithm. The contrast simulation experiments showed the advantages of the proposed network in regulation efficiency and control accuracy over manual parameter regulation. Deep reinforcement learning was applied to adaptive path planning and intelligent control of underwater vehicles [21]. The study proposed an adaptive motion planning and obstacle avoidance technique based on deep reinforcement learning for an AUV. The research adopted a twin-delayed deep deterministic policy algorithm. The simulation results showed that the motion planning system could precisely guide an AUV with six degrees of freedom dynamics toward the target. Elhaki Omid et al. [22] combined a saturated adaptive robust neural network with reinforcement learning, and the stability of the proposed closed-loop system was investigated by Lyapunov’s direct methodology, and simulations along with a comparative study certified the contributions. The radial basis function was combined with sliding mode control [23] to improve the performance of target tracking. Lyapunov stability analysis and homogeneity theory proved that tracking errors can converge on a small region that contained the origin with prescribed performance in finite time. A comparative study with sliding mode control verified the superiority of the proposed method in steady-state error and convergence time. Liang et al. [24] completed the design of a PID neural network sliding mode controller based on nonlinear high-order observation, together with a comparative analysis with the neural network sliding mode controller. The strength of the proposed controller in tracking accuracy and anti-interference was verified in simulation experiments. Karpenko Mark et al. [25] designed a bias feedback attitude control system based on point following, and the simulation experiments showed that the proposed system was able to reduce the overall resources together with quality control performance. Cortes Perez Noel et al. [26] designed a mirror active vision system for underwater vehicles and applied it to target tracking experiments. The active vision system is tested by an experiment. The experiment results showed that the target could be detected and tracked under low light conditions. Shi et al. [27] proposed an underwater vehicle dynamic target tracking control method based on deep reinforcement learning, whose performance was verified in simulation experiments. Simulation experiment results demonstrated good control performance regarding both stability and computational complexity, indicating the effectiveness of the proposed algorithm in target tracking tasks.
Simulation experiments have been carried out for all the above-mentioned control methods, some of which have been practically applied in engineering. The existing methods primarily deal with motion control of underwater vehicles at low and medium speed (≤1.0 m/s). However, there are few studies on high-speed underwater vehicle motion control and operations demanding high speeds. In addition, some of the existing control methods are complicated in structure or involve many parameters that require a long adjustment process, which makes them ineffective in engineering practices.
The classic S-plane method has been recognized as a practical approach in engineering fields [28]. In practical operations, however, the static loads such as buoyancy and gravity of an AUV may vary due to the sensors or facilities it carries as required by the operational tasks. The classic S-plane method fails to consider the variable static loads and the changing hydrodynamic force at the time of high-speed movement, causing difficulty in high-speed control or even failure in convergence. In addition to motion control, there are more demanding operation tasks in different situations that expect better performance and higher control accuracy in which the classic S-plane is currently incompetent. According to the analysis of field trial results, the average overshoot of velocity control based on the classic S-plane method in the horizontal plane is approximately 0.1 m/s and that in heading control is approximately 3.9°. In regard to operations with high requirements on control quality, such as an overshoot of less than 0.05 m/s in velocity control or an overshoot of less than 2.0° in heading control, the classic S-plane method would find it difficult to meet the requirements.
In order to deal with the influence of variable static load and high-speed movement in AUV motion control, an improved S-plane controller is developed. The improved controller introduces the concept of sliding mode surface and sliding mode variable structure and considers the above factors in form of control items to counter the influence of situational static load and high-speed movement. A Lyapunov analysis is conducted to prove the stability of the improved S-plane controller. Both simulation experiments and field trials of AUV motion control, long-range cruise, and path point following were carried out. The results have demonstrated the superiority of the improved S-plane controller over the classic S-plane controller. The improved S-plane controller admirably coped with the impacts of situational static loads and high-speed movement and improved the high-speed control quality in different operation tasks.
This paper is organized as follows. In the second section, the underwater vehicle platform is introduced, including the structure design and propulsion system, as well as software and hardware architectures. In the third section, the motion coordinate system and the dynamical model are established. In the fourth section, an improved S-plane controller is designed. The stability analysis of the controller is carried out based on the Lyapunov function, together with the thrust allocation strategies for the redundant propulsion system. In the fifth and sixth sections, a detailed analysis of the results of the simulation experiments and field trials is carried out to verify the feasibility and effectiveness of the improved method.
2. Underwater Vehicle Platform
2.1. AUV Structure
As shown in Figure 1, the research is carried out on a composite platform composed of a fundamental control system, target detection system, emergency system etc. [29]. With the top priority to control quality in multiple functions including motion control, long-range cruise and path point following [30], the platform is driven with a thruster-based layout.
Figure 1.
Profile of the AUV.
The platform weighs over 2 t and is approximately 5 m long with a maximum radius of 0.45 m. It is designed into a streamlined droplet with slightly positive buoyancy. The platform is in a double shell structure with the outer layer as the protective shell and the inner layer as the pressure shell. The streamlined protection shell is designed to reduce drag force with composite materials for the bow and the stern. The pressure shell bears high strength with waterproof sealing rings. The batteries and electronic control cabin are placed inside the pressure shell which is made up of a ball head in front, a main housing, and a ball head at the stern.
2.2. Propulsion System
Without a rudder or fin, the propulsion system includes eight thrusters and corresponding accessories, including four conduit thrusters and four slot thrusters. ① and ② are the left thruster and right thruster, respectively. ③ and ④ are the side thruster at the bow and the side thruster at the stern, respectively. ⑤ and ⑥ are the vertical thruster at the bow and the vertical thruster at the stern, respectively. ⑦ and ⑧ are the upward thruster and downward thruster, respectively.
2.3. Hardware Architecture
The hardware architecture shown in Figure 2 contains the intelligent planning sector, the autonomous navigation sector, and the motion control sector. These sectors allow real-time data transmission with each other via a PC/104 ISA bus [31]. The hardware architecture has been tested on several underwater vehicles of the same series in lake trials and sea trials, whose feasibility and effectiveness have been verified. The intelligent planning sector interprets and delivers target instructions. The autonomous navigation sector is connected with a GPS and an inertial navigation system (INS), providing high-precision navigation data [32]. The motion control sector deals with sensor data sampling and decoding, control algorithm calculation, thrust allocation strategy, thrust instruction sending, etc. The target instructions from the intelligent planning sector are transmitted through UDP. The longitude and latitude data from the autonomous navigation sector is transmitted through TCP. The attitude angle from the fiber optical gyrocompass (FOG) and velocity information from the Doppler velocity logger are collected through a serial card. The depth and leakage data are acquired through the A/D card, and the D/A card sends analog voltage instructions to the thrusters.
Figure 2.
Hardware architecture of the platform.
2.4. Software Architecture
The control program is developed in C programming language [33]. The modular design aims to improve the expansibility and portability of the software [34,35]. The controlling software architecture fulfills functions of sensor data acquisition, data preprocessing and fusion, control algorithm calculation, thrust allocation, thrusting instruction transmission, and data storage.
The test platform follows the information flow as shown in Figure 3 at the time of motion control. The unit of target generating and processing receives the objective instructions and classifies the instructions according to the tasks. The control target is initialized in the unit of control commands, including the selection of the motion control model and the type and parameters of motion control. The aforesaid information is then sent to the unit of control algorithm where the data from different sensors gather after being pre-processed, filtered, and fused. The unit of the control algorithm is the core section that has the control target processed, such as remote control or automatic control. In automatic control, the target is calculated by the control algorithm and then the results are sent to the thrust allocation module. After strategy selection and force calculation, the thrusting force required from each thruster is obtained. The calculated force is then converted into analog instructions that drive the thrusters to enable the AUV to move as expected. Meanwhile, the inspection module of the actuators and sensors transmits the information of the emergency module, acoustic visual module, optical visual module, and the thrusters to the memory where such data are stored.
Figure 3.
Information flow of the motion control sector.
3. Dynamics Modelling
3.1. Coordinate Systems
Based on the standard symbol system, the body coordinate system and the inertial coordinate system are constructed, as shown in Figure 4 [36]. reflects the dynamic characteristics of the AUV while describes the attitude angles.
Figure 4.
Body coordinate system and inertial coordinate system.
The two coordinate systems can be transformed as follows [37]:
Where is the transformation matrix, is the rolling angle, is the pitch angle, and is the heading angle. stands for sin() and stands for cos().
3.2. Dynamical Model
The AUV motion equations are as follows [38]:
where are the external forces and torques acting upon the AUV. m is the mass of the AUV. are inertia moments. stand for linear velocity and are angular velocity. mean the center of gravity.
Static loads such as buoyancy and gravity are variable since the AUV needs to be equipped with different facilities or sensors as required by different operation tasks. The research object in this paper is symmetrical in structure, so its movement model is established as follows with full consideration of the situational static loads and high speeds [39].
is the force/moment vector provided by the thrusters, is the inertia force, and is the coefficient matrix of the damping force. is the force/moment vector caused by the static loads in the body coordinate system. is the mass matrix (including additional mass) and is the speed vector in the body coordinate system.
The AUV is presumed symmetrical in three planes, and thus:
Where , , and are the first-order hydrodynamic derivatives of the hull, and:
where is the buoyancy and is the gravity of the AUV. indicate the buoyancy center.
The AUV motion model shown in Equation (4) derives the following properties.
Property I. The mass matrix is positive definite and symmetric. and . and are the minimum and maximum of . is the modulus of .
Property II. is anti-symmetric. .
Property III. is a positive definite matrix. .
Property IV. The uncertainty of the model is assumed to be determined with the upper bound based on a known function, with ^ standing for the estimation matrix, ~ standing for the estimation deviation matrix, and standing for the upper limit of the modulus of the estimation deviation matrix; hence:
4. Motion Controller
4.1. S-Plane Controller
Based on the combination of PD control structure with fuzzy control theory, the classic S-plane method is very effective with a simple structure and few parameters, which makes it rather practical in engineering applications. Its practicability in AUV motion control has been soundly verified in plenty of field trials [40].
The S-plane controller functions are based on the mathematical model [28]:
is the normalized output of control. means the exponential function. is the normalized deviation and is its variation rate, where and . and are, respectively, the control parameters of and . is the expected thrusting force (or torque) calculated by the control algorithm. is the maximum thrusting force (or torque) that the AUV can provide.
It can be seen that the static load of the AUV is not considered in the mathematical model. The existence of considerable static loads will surely influence the control quality. In addition, the damping force that varies with the increasing speed is also prone to cause difficulties in high-precision motion control.
4.2. Improved S-Plane Controller
With the reference to the sliding mode variable structure and S-plane function, the design of the improved S-plane control method derives from Equation (4), where the situational static load and high speed are initially considered. is used to indicate high-speed movement. The item reflects the concept of sliding mode surface. means the reference to the S-plane function. stands for the situational static load. Therefore, an improved S-plane control method is designed by bringing in the sliding mode variable structure and giving thought to the situational static load and high-speed movement.
is the control output matrix of the improved S-plane controller and the estimated mass matrix. indicates the derivative of the desired speed vector. K1 and are positive definite diagonal gain matrices and is a positive definite diagonal matrix. means sign function. stands for the estimated matrix of inertia force coefficients, stands for the estimated matrix of damping force coefficients, and stands for the estimated static load vector, including force and torque. means positive definite diagonal matrix. is the chosen sigmoid function and SE is similar to the sliding mode surface in sliding mode variable structure control.
In Equation (9), and are defined as:
where indicates the attitude angle and position matrix of the AUV in the geodetic coordinate system. is the estimated deviation matrix of .
To ensure the stability of the proposed control model, the Lyapunov function shown in Equation (11) is constructed:
The derivation of in Equation (11) leads to:
With respect to the bounded and , the derivation of in Equation (10) leads to:
When equivalently transformed, Equation (4) is changed into Equations (14)–(16).
When Equation (13) is substituted with Equation (16):
When Equation (12) is substituted with Equation (17):
When equivalently transformed, Equation (10) is changed into:
When Equation (18) is substituted with Equation (19):
According to Property II, Equation (20) can be simplified as:
When Equation (21) is substituted with Equation (9):
According to Property I and III, and with the consideration of bounded in Equation (9), in Equation (22) is bounded and:
where , , and are the minimum eigenvalues of their corresponding matrix. is the modulus of .
According to Property IV and triangle inequality, Equation (23) can be changed into:
where ,,, and are, respectively, the upper limits of the modulus of the estimated deviation matrix.
Based on the appropriate and , when Equation (24) satisfies , and satisfies:
The sliding mode surface of the improved S-plane controller is defined as:
where is the matrix of control parameters over deviation and is the matrix of control parameters over deviation variation rate.
At the time of high-speed movement, the AUV is controlled with speed in the surge direction while it is controlled with the position in the other degrees of freedom. For this reason, the control inputs in the surge direction are speed deviation and accelerated speed, while the inputs in the other degrees of freedom are the deviation and its variation rate of angle or position.
and are expressed as:
The model of the improved S-plane controller is finalized as:
where ,,,,,, and are the th component of their corresponding vector. ,,,,, and are the element at the th row and the th column in their corresponding matrix.
4.3. Thrust Allocation Strategy
Due to the slender and symmetric outline of the research object, the movement in the roll direction is typically ignored [41]. In accordance with the configuration of the propelling system as illustrated in Figure 1, and are left thruster and right thruster, respectively, with and as the arm of force and as the included angle to the center of the research object. and are the thrusting forces from side thrusters at the bow and the stern, with and being the arm of force to the center of the research object. and are the thrusting forces from the vertical thrusters at the bow and the stern, with and being the arm of force to the center of the research object. and are the thrusting forces from the upward thruster and downward thruster, with and being the arm of force and is the included angle to the center of the research object. The forces required in the five degrees of freedom and the thrusting forces provided by the eight thrusters follow the relationship below.
It can be inferred from Equation (29) that the control over thrusters is redundant. For the purpose of simplified calculation, constraints are introduced for thrust allocation in accordance with practical task requirements.
In regard to the significant drag force in the sway direction, the heading angle is adjusted to achieve path tracking at the time of a high-speed cruise.
In the case of high-speed movement, since the movement in the heave direction produces great hydrodynamic force, the trimming angle is adjusted to achieve depth control. For this reason, there is no requirement for external force in the heave direction.
Considering the deduction of thrusting force, the four slot thrusters stop service at the time of high-speed movement; hence:
The thrust allocation strategy for control in the surge direction is developed according to the respective maximum thrust provided by the upward thruster, downward thruster, left thruster, and right thruster, with as the ratio of the maximum force between the upward and downward thrusters, as well as the left and right thrusters.
Equations (29)–(33) jointly lead to the force provided by each thruster at the time of high-speed navigation.
In position control, the AUV proceeds stably and potent forces can be provided by the slot thrusters. Therefore, the constraints are added as follows. The upward and downward thrusters are shut; thus, . The left and right thrusters provide force in the surge direction and steering moment. The side thrusters at the bow and the stern provide force in the sway direction. The vertical thrusters at the bow and the stern provide force in the heave direction. Accordingly, Equation (29) is simplified as:
Equations (35) and (36) are the constraints.
Equations (34)–(36) jointly lead to the force provided by each thruster in the case of AUV position control.
5. Simulation Experiments and Analysis
The static loads of the AUV may vary with the sensors or facilities it carries as required in different operation tasks. Based on the experience of sea trials and analysis of the static loads in different situations, it is concluded that the possible static loads range between 20 N and 150 N. Given the applicability of the assumptions, simulation experiments were carried out with 20 N, 100 N, and 150 N selected as the static loads.
Contrastive simulation experiments were considered to be an effective way to highlight the superiority of the improved S-plane method over the classic S-plane method under the same static load. In the improved S-plane controller, was 50 N, with , , , and .
It is noteworthy that the static load of the AUV varies in different situations, it() was set differently from that in the simulator so as to verify the robustness of the improved controller. Moreover, different current conditions were also included to examine the robustness of the controller to external disturbances.
Simulation I. In the contrastive simulation experiment, the static load was set to 20 N, with no current. The AUV was stationary on the water’s surface at the beginning. The desired velocity in the surge direction was 3.0 m/s and the desired depth was 5 m. The contrastive simulation results are shown in Figure 5.
Figure 5.
Contrastive control results with a static load of 20 N. (a) Results of velocity control; (b) results of depth control; (c) changes of trimming angle.
It can be seen from the results that both the classic and improved S-plane controllers reached the desired value with no steady-state error. With the classic S-plane controller, a maximum overshoot of 0.15 m/s and significant fluctuations can be seen in the velocity control in Figure 5a, and a maximum overshoot of 0.35 m together with oscillations from 30–70 s in depth control in Figure 5b. In contrast, based on the improved S-plane controller, there was barely any overshoot or oscillation in the velocity control and the depth control. Additionally, the system based on the improved S-plane method produced a much milder influence on the trimming angle in contrast with the drastic changes caused by the classic S-plane controller, as shown in Figure 5c.
Simulation II. The static load was set to 100 N, with a current velocity of 0.25 m/s and a direction of 0°. The rest of the conditions were the same as in Simulation I. The simulation results are shown in Figure 6.
Figure 6.
Contrastive control results with a static load of 100 N. (a) Results of velocity control; (b) results of depth control; (c) changes of trimming angle.
With a static load of 100 N, the classic S-plane controller showed a maximum overshoot of 0.20 m/s in the velocity control in Figure 6a and significant oscillations of over 0.5 m from 18–65 s in the depth control in Figure 6b. However, the improved S-plane controller provided admirable control results with almost no overshoot and reached the stability state in a smooth way. Although both controllers caused impacts on the trimming angle, the influence caused by the classic S-plane controller lasted almost 70 s during the control process, while that caused by the improved S-plane controller immediately cleared off within the first 25 s during the control period, as shown in Figure 6c.
Simulation III The static load was set to 150 N, with a current velocity of 0.25 m/s and a direction of 45°. The rest of the conditions were the same as in Simulation I. The simulation results are displayed in Figure 7.

Figure 7.
Contrastive control results with a static load of 150 N. (a) Results of velocity control; (b) results of depth control; (c) changes of trimming angle.
With a much greater static load this time, the classic S-plane controller produced a maximum overshoot of 0.25 m/s in the velocity control in Figure 7a and significant oscillations of over 0.6 m from 20–62 s in the depth control in Figure 7b. However, the improved S-plane controller provided marvelous results with a much shorter time reaching the stability state than that with a static load of 100 N. As shown in Figure 7c, the improved S-plane controller enabled the trimming angle to recover within a much shorter time than that of the classic S-plane controller. The contrastive simulation experiments have verified the robustness and superiority of the improved S-plane controller and justified the feasibility of the sliding mode variable structure.
The controller has no prior knowledge of the currents, so the currents are treated as external interferences in the controller. As the results show, the control quality presents barely any difference with and without the existence of currents. This means the controller is capable of dealing with external interference, which verifies its strong robustness. In addition, the smooth responses from the improved S-plane method benefit from the strategies developed to solve the chattering effect. Based on the strategies of slow start–smooth running–slow stop, the small input at the initial stage is provided to avoid abrupt state change. Moreover, the outputs of the symbolic function are also saturated. These measures jointly help to reduce the chattering effect of the sliding mode variable structure to a large extent.
6. Field Trials and Analysis
Field trials were conducted with the purpose of verifying the control performance, as well as the stability and reliability of the improved S-plane controller in continuous operation. Motion control is the foundation for all the other functions, so contrastive field trials of AUV motion control were carried out between the classic and the improved S-plane methods, and the long-range cruise and path point following were completed to examine the improved S-plane method.
The contrastive controls over velocity and heading angle in the horizontal surface were first carried out. Then, contrastive controls over velocity and depth in the vertical plane were conducted to verify the effectiveness of the proposed controller, followed by the long-range cruise and trial of path point following. The surroundings and environment of the sea trials are shown in Figure 8.
Figure 8.
Environment of the sea trials.
6.1. Contrastive Trials of Velocity and Heading Control on a Horizontal Surface
On an equal basis, the AUV was stationary on the water surface at the beginning, with an initial heading angle of 0°. The desired velocity was 2.0 m/s in the surge direction and the desired heading angle was 60°. The results of velocity and heading control based on the classic S-plane method and the improved S-plane method are shown below, together with a detailed view of the control values from 200–250 s during the control process.
As shown in Figure 9a, the velocity control curve based on the classic S-plane method is satisfactory on the whole. It takes the system approximately 100 s to reach stability. In the detailed view shown in Figure 9b, oscillations go up and down around the desired value with the maximum offset over 0.112 m/s. In contrast, the system based on the improved S-plane method reaches stability within a much shorter time of about 60 s, and as shown in Figure 10b, the bias is smaller than that based on the classic S-plane method.
Figure 9.
Results of velocity control in horizontal surface based on the classic S-plane method. (a) Results of velocity control; (b) detailed local values.
Figure 10.
Results of velocity control in horizontal surface based on the improved S-plane method. (a) Results of velocity control; (b) detailed local values.
As shown in Figure 11 and Figure 12, the improved S-plane method proves its effectiveness and superiority again in the heading control with barely any fluctuations or overshoot. Although both methods have caused deviations, the improved S-plane method excels compared to the classic method with a smaller and milder offset.
Figure 11.
Results of heading control based on the classic S-plane method. (a) Results of heading control; (b) detailed local values.
Figure 12.
Results of heading control based on the improved S-plane method. (a) Results of heading control; (b) detailed local values.
With maximum overshoot, standard deviation, and arithmetic mean value, the contrast of the velocity and heading control results based on the two methods ranging from 200–250 s during the control process are listed as shown in Table 1.
Table 1.
The contrast of velocity and heading control results with two different methods (200–250 s).
In the stability state, it can be seen from the parameters that the proposed improved S-plane controller provides admirable control quality and higher control precision in motion control on the horizontal surface, with greater robustness against the time-varying control system. Such superiority is especially noticeable in the heading control.
6.2. Contrastive Trials of Velocity and Depth Control on the Vertical Plane
Again, for the purpose of contrasting the two different methods, sea trials were carried out for velocity and depth control on the vertical plane.
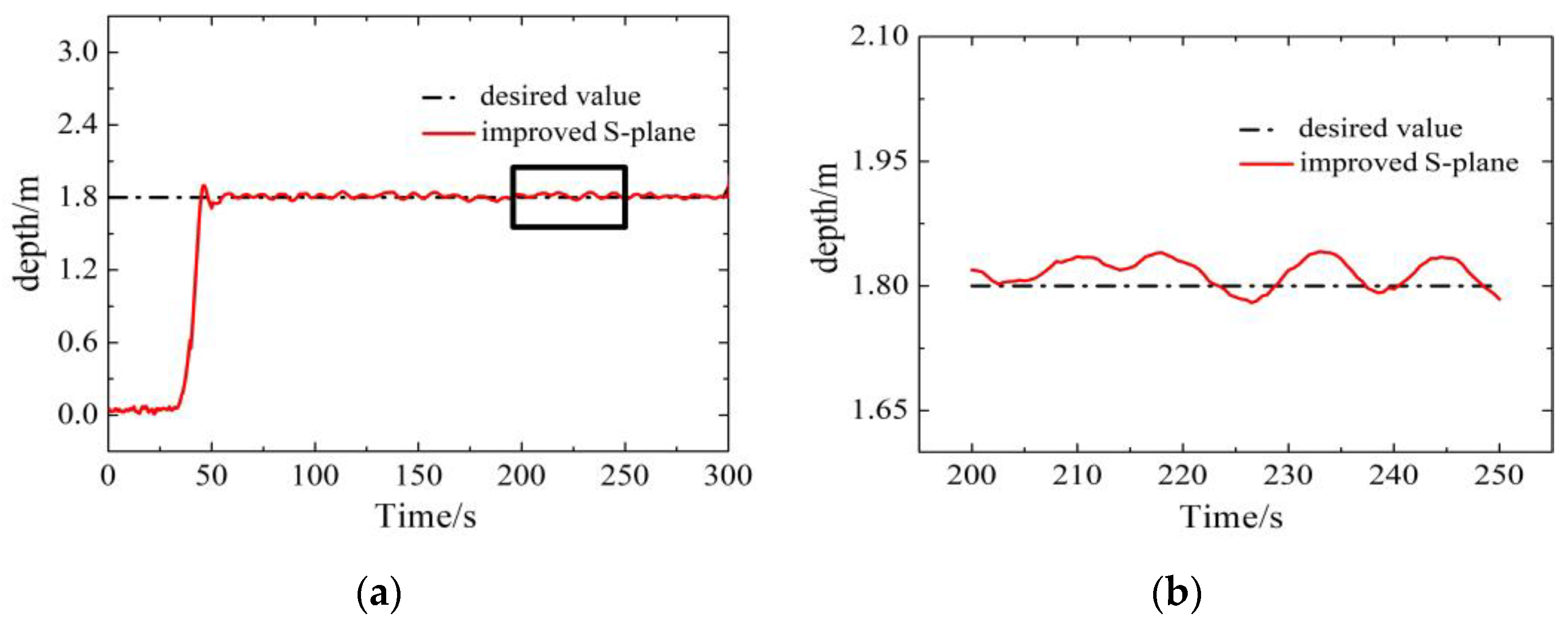
On an equal basis, the velocity control proceeded with the AUV at the depth of 0.5 m for both methods. The velocity control began with an initial velocity of 0 m/s with a desired velocity of 1.5 m/s. In the depth control, the AUV was expected to dive from the water surface down to the desired depth of 1.8 m. The results of velocity and depth control based on the two methods are shown below, together with a detailed view of the control values from 200–250 s during the control process.
As shown in Figure 13 and Figure 14, both methods present admirable performance in velocity control in the vertical plane. The improved S-plane method wins out with a control curve that almost perfectly fits the desired value as shown in Figure 14b.
Figure 13.
Results of velocity control in vertical plane based on the classic S-plane method. (a) Results of velocity control; (b) detailed local values.
Figure 14.
Results of velocity control in vertical plane based on the improved S-plane method. (a) Results of velocity control; (b) detailed local values.
As shown in Figure 15 and Figure 16, in depth control, it takes both methods a little while to begin to go under the water’s surface. When reaching the stability state, the classic S-plane method causes frequent oscillations, while the improved S-plane method enables the system to stabilize at the desired depth with mild oscillations and insignificant overshoot, as shown in Figure 16b.
Figure 15.
Results of depth control based on the classic S-plane method. (a) Results of depth control; (b) detailed local values.
Figure 16.
Results of depth control based on the improved S-plane method. (a) Results of depth control; (b) detailed local values.
With maximum overshoot, standard deviation, and arithmetic mean value, the contrast of the velocity and depth control results based on the two methods ranging from 200–250 s are listed as shown in Table 2.
Table 2.
The contrast of velocity and depth control results with two different methods.
The improved S-plane method proves its superiority over the classic S-plane method again with a smaller maximum overshoot and standard deviation. Despite almost the same arithmetic mean value from both methods, the improved S-plane method showed much milder deviations in depth control, as shown in Figure 16b, which guarantees the stability of the AUV motion control system. Such superiority is of great significance to real operations with high requirements on control precision.
6.3. Long-Range Cruise
The long-range cruise was carried out to verify the performance, reliability, and stability of the improved S-plane controller. The AUV was expected to cruise along a quadrilateral route of 12 km × 4 km. The cruise lasted for approximately 4 h, with an average speed of 2 m/s and a maximum cruising speed of 2.5 m/s.
It can be seen from the long-range cruise results that the actual route fit the desired route. The improved S-plane controller proved its control competence, especially at the apex of the quadrangle. The detailed route data during the first part of the cruise are shown in Figure 17b. Although the torrential currents caused a few deviations, the offsets were within the permissible range of engineering requirements. The AUV control system functioned normally with no hardware or software failure during the long-range cruise, which verified the stability and reliability of the improved S-plane method.
Figure 17.
Results of the long-range cruise. (a) The curve of the long-range route; (b) detailed route values.
6.4. Path Point Following
The trial of the path point following was conducted to examine the AUV’s competence in the search or scanning operations of underwater pipelines or cables based on the improved S-plane controller. The pectinate path was marked with eight points to be covered, as shown in Figure 18, with a long side of approximately 550 m and a short side of 200 m. To test the performance and robustness of the improved S-plane method, the eight points were selected to be non-orthogonal with the longitude or latitude. The AUV was expected to reach the eight points (A–H) in succession in the scanning. It ran along the path at a constant speed of 2.0 m/s. Considering the challenging water conditions, a circle with a radius of 10 m with each marked point as the center was defined as the acceptable range of reach.
Figure 18.
The trajectory of path points following.
Based on the detailed view of reaching the eight points, as shown in Figure 19, and the analysis of the deviations from the connection lines between the points, as shown in Table 3, the AUV was able to reach all eight acceptable circles in a stable way, with a maximum deviation of 9.44 m, which was within the permissible range in engineering. The following trial verified the control accuracy of the improved S-plane method, which could be of practical use in improving the efficiency of sweeping search operations.
Figure 19.
Detailed view of reaching the eight points. (a) Detailed view of reaching Point A; (b) detailed view of reaching Point B; (c) detailed view of reaching Point C; (d) detailed view of reaching Point D; (e) detailed view of reaching Point E; (f) detailed view of reaching Point F; (g) detailed view of reaching Point G; (h) detailed view of reaching Point H.
Table 3.
An analysis of path point following based on the improved S-plane method.
The control trials in the horizontal plane, vertical plane, long-range cruise, and path point following have all witnessed the superiority and excellence of the improved S-pane method. This is because the novel controller is based on the sliding mode variable structure and takes the situational static load into account, which enhances the method’s robustness to external disturbances. In addition, the control items introduced in the improved S-plane model could directly offset the adverse influences from the static load.
7. Conclusions
This paper focuses on an improved S-plane controller designed for high-speed AUVs with different static loads, as required in multi-purpose operations. The existing control methods, including the classic S-plane method, can sufficiently deal with low- and medium-speed AUV motion control but they are limited in performance, with a lack of consideration of situational static load and hydrodynamic force as the result of high-speed movement.
On the basis of the classic S-plane control model and giving thoughts to the static load and hydrodynamic forces that change with AUV speed, an improved S-plane controller based on the sliding mode variable structure is developed by taking the static load and hydrodynamic forces as the control items. The stability of the proposed control method is testified by Lyapunov’s stability theory.
In order to compare and analyze the influence of situational static loads on the control quality of the classic S-plane controller and the improved S-plane controller, simulation experiments were carried out. Given the commonly used sensors or facilities that the AUV may carry in operations, the static loads of minimum, maximum, and medium weights together with the current disturbances were set in the contrastive simulations. It is especially noteworthy that the situational static load was intentionally set to be different from that of the simulator, so as to verify the robustness of the improved S-plane controller. The simulation results show that the system based on the classic S-plane method suffered from overshoot in the velocity control and oscillations in the depth control with drastic fluctuations in the trimming angle as the result of a failure to consider the static load. By contrast, the improved S-plane controller countered the static loads and guaranteed control quality. The contrastive simulation experiments have verified the robustness of the improved S-plane controller.
On the basis of the simulation experiments, field trials were also carried out to further test the performance of the improved S-plane controller. Since motion control is the foundation of all the other functions, it was firstly conducted in velocity, heading, and depth control in the horizontal plane and the vertical plane, respectively, followed by the long-range cruise and path point following to examine the stability and reliability of the improved S-plane method. In the horizontal plane, the improved S-plane controller presented a maximum overshoot and standard deviation of approximately 0.011 m/s and 0.008 m/s in the velocity control, as well as 1.24° and 0.56° in the heading control. In the vertical plane, the improved S-plane controller showed a maximum overshoot and standard deviation of approximately 0.016 m/s and 0.005 m/s, as well as 0.041 m and 0.016 m in the depth control. The precision in AUV high-speed motion control was verified. In addition, the stability of the improved S-plane method was proved during the approximately 4 h long-range cruise with no failures on the hardware and software architectures. The path point following was finally conducted to examine the AUV’s competence in the search or scanning operations of underwater pipelines or cables based on the improved S-plane controller. The AUV was able to reach all eight path points, with a maximum deviation of 9.44 m, which was within the permissible range in engineering. The improved S-plane method can be of great use to field tasks that have high expectations on AUV motion control quality, especially in cases of high-speed movement or challenging working environments.
The research object in the study is driven by thrusters, but theoretically, the research findings are also of great value to AUVs with propellers and rudders. Later studies will concentrate on the effectiveness of the improved S-plane controller on AUVs with different propulsion structures or outer dimensions so as to lay the foundation for a wide application of the proposed technology.
Author Contributions
Conceptualization, C.J. and J.W.; methodology, C.J. and L.W.; software, C.J. and G.W.; validation, C.J., B.H. and G.W.; formal analysis, C.J.; investigation, L.W. and J.L.; resources, L.W. and C.J.; data curation, C.J. and J.W.; writing—original draft preparation, C.J.; writing—review and editing, L.W. and C.J.; visualization, B.H.; supervision, L.W. and C.J.; project administration, L.W. and C.J.; funding acquisition, L.W. and J.L. All authors have read and agreed to the published version of the manuscript.
Funding
This research was funded by the National Natural Science Foundation of China (grant numbers 51309148, 51779057, 51709061, and 61803119).
Institutional Review Board Statement
Not applicable.
Informed Consent Statement
Not applicable.
Data Availability Statement
Not applicable.
Conflicts of Interest
The authors declare no conflict of interest.
References
- Kazantsev, Y.V.; Glazyrin, V.; Khalyasmaa, A.I.; Shayk, S.M.; Kuparev, M.A. Advanced Algorithms in Automatic Generation Control of Hydroelectric Power Plants. Mathematics 2022, 10, 4809. [Google Scholar] [CrossRef]
- Kolsi, L.; Al Dahidi, S.; Kamel, S.; Aich, W.; Boubaker, S.; Nidhal, B.K. Prediction of Solar Energy Yield Based on Artificial Intelligence Techniques for the Ha’il Region, Saudi Arabia. Sustainability 2022, 15, 774. [Google Scholar] [CrossRef]
- Sofos, F.; Papakonstantinou Christos, G.; Valasaki, M.; Karakasidis Theodoros, E. Fiber-Reinforced Polymer Confined Concrete: Data-Driven Predictions of Compressive Strength Utilizing Machine Learning Techniques. Appl. Sci. 2022, 13, 567. [Google Scholar] [CrossRef]
- Karimi, H. Computer simulation and modeling the metal to insulating transition of liquid mercury via pair, empirical, and many-body potentials. J. Mol. Model. 2022, 28, 377. [Google Scholar] [CrossRef]
- Gašparović, B.; Lerga, J.; Mauša, G.; Ivašić, K.M. Deep Learning Approach for Objects Detection in Underwater Pipeline Images. Appl. Artif. Intell. 2022, 36, 2146853. [Google Scholar] [CrossRef]
- Cambridge, M. The application of inspection and monitoring in the reduction of risk for mine tailings dams. Proc. Inst. Civ. Eng. Geotech. Eng. 2022, 175, 00248. [Google Scholar] [CrossRef]
- Casanova, E.; Knowles Timothy, D.J.; Bayliss, A.; Walton-Doyle, C.; Barclay, A.; Evershed, R.P. Compound-specific radiocarbon dating of lipid residues in pottery vessels: A new approach for detecting the exploitation of marine resources. J. Archaeol. Sci. 2022, 137, 105528. [Google Scholar] [CrossRef]
- Al Shafatul Islam Subad, R.; Saikot, M.M.H.; Park, K. Soft Multi-Directional Force Sensor for Underwater Robotic Application. Sensors 2022, 22, 3850. [Google Scholar] [CrossRef]
- Tholen, C.; El Mihoub Tarek, A.; Nolle, L.; Zielinski, O. Artificial Intelligence Search Strategies for Autonomous Underwater Vehicles Applied for Submarine Groundwater Discharge Site Investigation. J. Mar. Sci. Eng. 2022, 10, 7. [Google Scholar] [CrossRef]
- Liwei, S.; Yao, H.; Shuxiang, S.; Shuxiang, G.; Huiming, X.; Xihuan, H.; Yu, L.; Zhan, C.; Zan, L.; Debin, X. A Fuzzy PID Algorithm for a Novel Miniature Spherical Robots with Three-dimensional Underwater Motion Control. J. Bionic Eng. 2020, 17, 959–969. [Google Scholar]
- Hasan, M.W.; Abbas, N.H. Disturbance Rejection for Underwater robotic vehicle based on adaptive fuzzy with nonlinear PID controller. ISA Trans. 2022, 130, 360–376. [Google Scholar] [CrossRef] [PubMed]
- Keymasi, K.A.; Bahrami, S. Finite-time sliding mode control of underwater vehicles in 3D space. Trans. Inst. Meas. Control. 2022, 44, 3215–3228. [Google Scholar] [CrossRef]
- Zhilenkov, A.; Chernyi, S.; Firsov, A. Autonomous Underwater Robot Fuzzy Motion Control System with Parametric Uncertainties. Designs 2021, 5, 24. [Google Scholar] [CrossRef]
- Cruz, U.C.; Terrile, S.; Barrientos, A. Soft Underwater Robot Actuated by Shape-Memory Alloys “JellyRobcib” for Path Tracking through Fuzzy Visual Control. Appl. Sci. 2020, 10, 7160. [Google Scholar] [CrossRef]
- Keymasi, K.A.; Haghjoo, M. Adaptive passivity-based control of an autonomous underwater vehicle. Proc. Inst. Mech. Eng. Part C J. Mech. Eng. Sci. 2022, 236, 10563–10572. [Google Scholar] [CrossRef]
- Xue, G.; Liu, Y.; Shi, Z.; Guo, L.; Li, Z. Research on Trajectory Tracking Control of Underwater Vehicle Manipulator System Based on Model-Free Adaptive Control Method. J. Mar. Sci. Eng. 2022, 10, 652. [Google Scholar] [CrossRef]
- Nikou, A.; Verginis Christos, K.; Heshmatialamdari, S.; Dimarogonas Dimos, V. A robust non-linear MPC framework for control of underwater vehicle manipulator systems under high-level tasks. IET Control. Theory Appl. 2020, 15, 323–337. [Google Scholar] [CrossRef]
- Oliveira Éverton, L.; Orsino Renato, M.M.; Donha Décio, C. Disturbance-Observer-Based Model Predictive Control of Underwater Vehicle Manipulator Systems. IFAC PapersOnLine 2021, 54, 348–355. [Google Scholar] [CrossRef]
- Shojaei, K. Neural network feedback linearization target tracking control of underactuated autonomous underwater vehicles with a guaranteed performance. Ocean. Eng. 2022, 258, 111827. [Google Scholar] [CrossRef]
- Tony, S.; Xinbo, Y.; Wei, H.; Okyay, K. Adaptive Neural Network Control of Underwater Robotic Manipulators Tuned by a Genetic Algorithm. J. Intell. Robot. Syst. 2020, 97, 657–672. [Google Scholar]
- Hadi, B.; Khosravi, A.; Sarhadi, P. Deep reinforcement learning for adaptive path planning and control of an autonomous underwater vehicle. Appl. Ocean. Res. 2022, 129, 103326. [Google Scholar] [CrossRef]
- Elhaki, O.; Shojaei, K.; Mehrmohammadi, P. Reinforcement learning-based saturated adaptive robust neural-network control of underactuated autonomous underwater vehicles. Expert Syst. Appl. 2022, 197, 116714. [Google Scholar] [CrossRef]
- Guo, L.; Liu, W.; Li, L.; Lou, Y.; Wang, X.; Liu, Z. Neural Network Non-Singular Terminal Sliding Mode Control for Target Tracking of Underactuated Underwater Robots with Prescribed Performance. J. Mar. Sci. Eng. 2022, 10, 252. [Google Scholar] [CrossRef]
- Liang, J.; Huang, W.; Zhou, F.; Liang, J.; Lin, G.; Xiao, E.; Li, H.; Zhang, X. Double-Loop PID-Type Neural Network Sliding Mode Control of an Uncertain Autonomous Underwater Vehicle Model Based on a Nonlinear High-Order Observer with Unknown Disturbance. Mathematics 2022, 10, 3332. [Google Scholar] [CrossRef]
- Karpenko, M.; Halverson Julie, K.; Besser, R. Waypoint following dynamics of a quaternion error feedback attitude control system. Proc. Inst. Mech. Eng. Part G J. Aerosp. Eng. 2022, 236, 281–293. [Google Scholar] [CrossRef]
- Cortés, P.N.; Torres, M.L.A. A Mirror-Based Active Vision System for Underwater Robots: From the Design to Active Object Tracking Application. Front. Robot. AI 2021, 8, 542717. [Google Scholar] [CrossRef]
- Shi, J.; Fang, J.; Zhang, Q.; Wu, Q.; Zhang, B.; Gao, F. Dynamic Target Tracking of Autonomous Underwater Vehicle Based on Deep Reinforcement Learning. J. Mar. Sci. Eng. 2022, 10, 1406. [Google Scholar] [CrossRef]
- He, Y.; Xie, Y.; Pan, G.; Cao, Y.; Huang, Q.; Ma, S.; Zhang, D.; Cao, Y. Depth and Heading Control of a Manta Robot Based on S-Plane Control. J. Mar. Sci. Eng. 2022, 10, 1698. [Google Scholar] [CrossRef]
- Koyippilly, S.K.; Bandana, M.; Varun, G.M. Into the World of Underwater Swarm Robotics: Architecture, Communication, Applications and Challenges. Recent Adv. Comput. Sci. Commun. 2020, 13, 110–119. [Google Scholar]
- Neira, J.; Sequeiros, C.; Huamani, R.; Machaca, E.; Fonseca, P.; Nina, W. Review on Unmanned Underwater Robotics, Structure Designs, Materials, Sensors, Actuators, and Navigation Control. J. Robot. 2021, 2021, 5542920. [Google Scholar] [CrossRef]
- Kot, R. Review of Obstacle Detection Systems for Collision Avoidance of Autonomous Underwater Vehicles Tested in a Real Environment. Electronics 2022, 11, 3615. [Google Scholar] [CrossRef]
- Kaiser Carl, L.; Lindzey, L. Improving Navigation for Long Endurance Underwater Robots. Oceanography 2020, 33, 99. [Google Scholar]
- Zuluaga Carlos, A.; Aristizábal Luis, M.; Rúa, S.; Franco Diego, A.; Osorio Dorie, A.; Vásquez Rafael, E. Development of a Modular Software Architecture for Underwater Vehicles Using Systems Engineering. J. Mar. Sci. Eng. 2022, 10, 464. [Google Scholar] [CrossRef]
- Ernstsson, A.; Griebler, D. Kessler Christoph. Assessing Application Efficiency and Performance Portability in Single-Source Programming for Heterogeneous Parallel Systems. Int. J. Parallel Program. 2022, 51, 61–82. [Google Scholar] [CrossRef]
- Amandeep, K.; Ashutosh, D.; Grover, P.S. A Framework for Evaluating Extensibility in an Aspect-oriented Software System and its Validation. Recent Pat. Eng. 2020, 14, 557–566. [Google Scholar]
- Manimaran, R. Hydrodynamic investigations on the performance of an underwater remote operated vehicle under the wave using OpenFOAM. Ships Offshore Struct. 2022, 17, 2186–2202. [Google Scholar] [CrossRef]
- Bobkov, V.; Kudryashov, A.; Inzartsev, A. A Technique to Navigate Autonomous Underwater Vehicles Using a Virtual Coordinate Reference Network during Inspection of Industrial Subsea Structures. Remote Sens. 2022, 14, 5123. [Google Scholar] [CrossRef]
- McFarland Christopher, J.; Whitcomb Louis, L. Stable adaptive identification of fully-coupled second-order 6 degree-of-freedom nonlinear plant models for underwater vehicles: Theory and experimental evaluation. Int. J. Adapt. Control. Signal Process. 2021, 35, 786–810. [Google Scholar] [CrossRef]
- Tanveer, A.; Ahmad Sarvat, M. High fidelity modelling and GA optimized control of yaw dynamics of a custom built remotely operated unmanned underwater vehicle. Ocean. Eng. 2022, 266, 112836. [Google Scholar] [CrossRef]
- Zhang, G.; Liu, J.; Sun, Y.; Ran, X.; Chai, P. Research on AUV Energy Saving 3D Path Planning with Mobility Constraints. J. Mar. Sci. Eng. 2022, 10, 821. [Google Scholar] [CrossRef]
- Borovik, A.I.; Rybakova, E.I.; Galkin, S.V.; Mikhailov, D.N.; Konoplin, A.Y. Experience of Using the Autonomous Underwater Vehicle MMT-3000 for Research on Benthic Communities in Antartica. Oceanology 2022, 62, 709–720. [Google Scholar] [CrossRef]
Disclaimer/Publisher’s Note: The statements, opinions and data contained in all publications are solely those of the individual author(s) and contributor(s) and not of MDPI and/or the editor(s). MDPI and/or the editor(s) disclaim responsibility for any injury to people or property resulting from any ideas, methods, instructions or products referred to in the content. |
© 2023 by the authors. Licensee MDPI, Basel, Switzerland. This article is an open access article distributed under the terms and conditions of the Creative Commons Attribution (CC BY) license (https://creativecommons.org/licenses/by/4.0/).